Sign in to use this feature.

Years

Between: -

Subjects

remove_circle_outline
remove_circle_outline
remove_circle_outline
remove_circle_outline
remove_circle_outline
remove_circle_outline
remove_circle_outline

Journals

Article Types

Countries / Regions

Search Results (14)

Search Parameters:
Keywords = VUV interaction

Order results
Result details
Results per page
Select all
Export citation of selected articles as:
16 pages, 1650 KB  
Article
Application of VUV/Sulfite Defluorination System for the Simple Detection of Perfluoroalkyl Substances
by Shiyong Tao, Yilin Chen, Xiao Mei, Luyao Jin, Feng Wu and Jing Xu
Molecules 2025, 30(11), 2475; https://doi.org/10.3390/molecules30112475 - 5 Jun 2025
Cited by 1 | Viewed by 2102
Abstract
This study investigated the defluorination of PFOA and PFOS using a vacuum ultraviolet (VUV)/sulfite system, and evaluated its potential application in quantifying individual perfluoroalkyl substances (PFAS). Results showed that 81.9% and 87.5% defluorination of PFOA and PFOS were achieved after 120 min of [...] Read more.
This study investigated the defluorination of PFOA and PFOS using a vacuum ultraviolet (VUV)/sulfite system, and evaluated its potential application in quantifying individual perfluoroalkyl substances (PFAS). Results showed that 81.9% and 87.5% defluorination of PFOA and PFOS were achieved after 120 min of photoreaction under conditions of pH 12 and 20 mM of sulfite. Higher pH and sulfite dosage facilitated the reaction, while competing ions could suppress the defluorination efficiency. Based on the optimized defluorination conditions for individual PFAS, the potential of fluoride release amount, as an indirect quantification indicator, was further assessed. A strong linearity between the fluoride release and initial PFAS concentration (R2 > 0.999) was observed in the PFAS concentration range of 2–100 μM, and such linearity was also shown in the presence of sediment leachates. This correlation enabled the estimation of individual PFAS concentrations by measuring fluoride release after defluorination treatment. The approach was further demonstrated in an adsorption experiment, where calculated distribution coefficients (Koc) for PFAS–sediment interactions were consistent with previously reported values, supporting the analytical validity of the method under controlled conditions. Overall, this work presents a simple and cost-effective indirect analytical strategy of applying a VUV/sulfite defluorination system for individual PFAS quantitative detection in complex environmental matrices. Full article
(This article belongs to the Section Green Chemistry)
Show Figures

Graphical abstract

10 pages, 1715 KB  
Article
Proximity Effect of Optically Active h-BCN Nanoflakes Deposited on Different Substrates to Tailor Electronic, Spintronic, and Optoelectronic Properties
by Ahmad Alsaad, Jaeil Bai, Wai-Ning Mei, Joel Turallo, Carolina Ilie and Renat Sabirianov
Int. J. Mol. Sci. 2025, 26(5), 2096; https://doi.org/10.3390/ijms26052096 - 27 Feb 2025
Cited by 2 | Viewed by 954
Abstract
Hexagonal BCN (h-BCN), an isoelectronic counterpart to graphene, exhibits chirality and offers the distinct advantage of optical activity in the vacuum ultraviolet (VUV) region, characterized by significantly higher wavelengths compared to graphene nanoflakes. h-BCN possesses a wide bandgap and demonstrates desirable semiconducting properties. [...] Read more.
Hexagonal BCN (h-BCN), an isoelectronic counterpart to graphene, exhibits chirality and offers the distinct advantage of optical activity in the vacuum ultraviolet (VUV) region, characterized by significantly higher wavelengths compared to graphene nanoflakes. h-BCN possesses a wide bandgap and demonstrates desirable semiconducting properties. In this study, we employ Density Functional Theory (DFT) calculations to investigate the proximity effects of adsorbed h-BCN flakes on two-dimensional (2D) substrates. The chosen substrates encompass monolayers of 3D transition metals and WSe2, as well as a bilayer consisting of WSe2/Ni. Notably, the hydrogen-terminated h-BCN nanoflakes retain their planar configuration following adsorption. We observe a strong interaction between h-BCN and fcc-based monolayers such as Ni(111), resulting in the closure of the optical bandgap, while the adsorption energy on WSe2 is significantly weaker, preserving an approximate 1.1 eV bandgap. Furthermore, we demonstrate the magnetism induced by the proximity of adsorbed chiral h-BCN molecules, and the chiral-induced spin selectivity within the proposed systems. Full article
Show Figures

Figure 1

28 pages, 10092 KB  
Article
Electronic States of Epigallocatechin-3-Gallate in Water and in 1,2-dipalmitoyl-sn-glycero-3-phospho-(1′-rac-glycerol) (Sodium Salt) Liposomes
by Filipa Pires, Demeter Tzeli, Nykola C. Jones, Søren V. Hoffmann and Maria Raposo
Int. J. Mol. Sci. 2025, 26(3), 1084; https://doi.org/10.3390/ijms26031084 - 27 Jan 2025
Cited by 3 | Viewed by 1676
Abstract
In this work, the spectroscopy of epigallocatechin-3-gallate (EGCG) and EGCG bonded to 1,2-dipalmitoyl-sn-glycero-3-phospho-(1′-rac-glycerol) (sodium salt) (DPPG) lipid is studied both experimentally by combining high-resolution vacuum ultraviolet (VUV) photo-absorption measurements in the 4.0–9.0 eV energy range and by theoretical calculations using density functional theory [...] Read more.
In this work, the spectroscopy of epigallocatechin-3-gallate (EGCG) and EGCG bonded to 1,2-dipalmitoyl-sn-glycero-3-phospho-(1′-rac-glycerol) (sodium salt) (DPPG) lipid is studied both experimentally by combining high-resolution vacuum ultraviolet (VUV) photo-absorption measurements in the 4.0–9.0 eV energy range and by theoretical calculations using density functional theory (DFT) methodology. There is a good agreement between the experimental and theoretical data, and the inclusion of the solvent both implicitly and explicitly further improves this agreement. For all experimentally measured absorption bands observed in the VUV spectra of EGCG in water, assignments to the calculated electronic transitions are provided. The calculations reveal that the spectrum of DPPG-EGCG has an intense peak around 150 nm, which is in accordance with experimental data, and it is assigned to an electron transfer transition from resorcinol–pyrogallol groups to different smaller groups of the EGCG molecule. Finally, the increase in absorbance observed experimentally in the DPPG-EGCG spectrum can be associated with the interaction between the molecules. Full article
(This article belongs to the Section Molecular Biology)
Show Figures

Figure 1

17 pages, 3240 KB  
Article
Comparative VUV Synchrotron Excitation Study of YAG: Eu and YAG: Cr Ceramics
by Amangeldy M. Zhunusbekov, Zhakyp T. Karipbayev, Akbota Tolegenova, Kuat K. Kumarbekov, Erik E. Nurmoldin, Muratbek M. Baizhumanov, Aleksei Kotlov and Anatoli I. Popov
Crystals 2024, 14(10), 897; https://doi.org/10.3390/cryst14100897 - 16 Oct 2024
Cited by 7 | Viewed by 3340
Abstract
Using synchrotron radiation, a comparative VUV excitation study of YAG ceramics doped with Eu3+ and Cr3+ ions under VUV excitation (10.5–3.7 eV) at 9 K was conducted in this work. Both ceramics exhibit distinct excitation peaks in the VUV region, indicating [...] Read more.
Using synchrotron radiation, a comparative VUV excitation study of YAG ceramics doped with Eu3+ and Cr3+ ions under VUV excitation (10.5–3.7 eV) at 9 K was conducted in this work. Both ceramics exhibit distinct excitation peaks in the VUV region, indicating high-energy transitions related to the internal electronic levels of the dopants and interband transitions within the YAG matrix. For YAG:Eu, the main excitation peaks at 6–7 eV correspond to transitions within the 4f-shell of Eu3+ and Eu3+-O2− charge transfer states, showing weak dependence on the crystal field and high energy conversion efficiency. In contrast, YAG:Cr shows broad excitation bands due to transitions between levels influenced by strong crystal field interactions, resulting in lower luminescence efficiency. The study highlights the importance of crystal structure and dopant interactions in determining the spectral characteristics of YAG-based ceramics, offering potential for their application in advanced optoelectronic devices. Full article
(This article belongs to the Special Issue Structure and Properties of Ceramic Materials)
Show Figures

Figure 1

47 pages, 16044 KB  
Review
Comprehensive Review on the Impact of Chemical Composition, Plasma Treatment, and Vacuum Ultraviolet (VUV) Irradiation on the Electrical Properties of Organosilicate Films
by Mikhail R. Baklanov, Andrei A. Gismatulin, Sergej Naumov, Timofey V. Perevalov, Vladimir A. Gritsenko, Alexey S. Vishnevskiy, Tatyana V. Rakhimova and Konstantin A. Vorotilov
Polymers 2024, 16(15), 2230; https://doi.org/10.3390/polym16152230 - 5 Aug 2024
Cited by 12 | Viewed by 4272
Abstract
Organosilicate glass (OSG) films are a critical component in modern electronic devices, with their electrical properties playing a crucial role in device performance. This comprehensive review systematically examines the influence of chemical composition, vacuum ultraviolet (VUV) irradiation, and plasma treatment on the electrical [...] Read more.
Organosilicate glass (OSG) films are a critical component in modern electronic devices, with their electrical properties playing a crucial role in device performance. This comprehensive review systematically examines the influence of chemical composition, vacuum ultraviolet (VUV) irradiation, and plasma treatment on the electrical properties of these films. Through an extensive survey of literature and experimental findings, we elucidate the intricate interplay between these factors and the resulting alterations in electrical conductivity, dielectric constant, and breakdown strength of OSG films. Key focus areas include the impact of diverse organic moieties incorporated into the silica matrix, the effects of VUV irradiation on film properties, and the modifications induced by various plasma treatment techniques. Furthermore, the underlying mechanisms governing these phenomena are discussed, shedding light on the complex molecular interactions and structural rearrangements occurring within OSG films under different environmental conditions. It is shown that phonon-assisted electron tunneling between adjacent neutral traps provides a more accurate description of charge transport in OSG low-k materials compared to the previously reported Fowler–Nordheim mechanism. Additionally, the quality of low-k materials significantly influences the behavior of leakage currents. Materials retaining residual porogens or adsorbed water on pore walls show electrical conductivity directly correlated with pore surface area and porosity. Conversely, porogen-free materials, developed by Urbanowicz, exhibit leakage currents that are independent of porosity. This underscores the critical importance of considering internal defects such as oxygen-deficient centers (ODC) or similar entities in understanding the electrical properties of these materials. Full article
(This article belongs to the Special Issue Polymer-SiO2 Composites II)
Show Figures

Graphical abstract

18 pages, 5073 KB  
Article
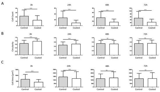
Reduced Cell Adhesion on LightPLAS-Coated Implant Surfaces in a Three-Dimensional Bioreactor System
by Kai Oliver Böker, Linda Gätjen, Christopher Dölle, Katarina Vasic, Shahed Taheri, Wolfgang Lehmann and Arndt Friedrich Schilling
Int. J. Mol. Sci. 2023, 24(14), 11608; https://doi.org/10.3390/ijms241411608 - 18 Jul 2023
Cited by 1 | Viewed by 2065
Abstract
Most implants used in trauma surgery are made of steel and remain inside the body only temporarily. The strong tissue interaction of such implants sometimes creates problems with their explantation. Modified implant surfaces, which decrease tissue attachment, might allow an easier removal and [...] Read more.
Most implants used in trauma surgery are made of steel and remain inside the body only temporarily. The strong tissue interaction of such implants sometimes creates problems with their explantation. Modified implant surfaces, which decrease tissue attachment, might allow an easier removal and therefore a better outcome. Such a modification must retain the implant function, and needs to be biocompatible and cost-effective. Here, we used a novel VUV-light (Vacuum-Ultraviolett)-based coating technology (LightPLAS) to generate coated stainless-steel plates. The tested LightPLAS coating only had an average thickness of around 335 nm, making it unlikely to interfere with implant function. The coated plates showed good biocompatibility according to ISO 10993-5 and ISO 10993-12, and reduced cell adhesion after four different time points in a 2D cell culture system with osteoblast-like MG-63 cells. Furthermore, we could show decreased cell adhesion in our 3D cell culture system, which mimics the fluid flow above the implant materials as commonly present in the in vivo environment. This new method of surface coating could offer extended options to design implant surfaces for trauma surgery to reduce cell adhesion and implant ingrowth. This may allow for a faster removal time, resulting in shorter overall operation times, thereby reducing costs and complication rates and increasing patient wellbeing. Full article
(This article belongs to the Section Materials Science)
Show Figures

Graphical abstract

12 pages, 928 KB  
Article
Multiphoton Resonance in Attosecond Transient Absorption
by Jinxing Xue, Meng Wang, Cangtao Zhou and Shuangchen Ruan
Photonics 2022, 9(4), 257; https://doi.org/10.3390/photonics9040257 - 12 Apr 2022
Cited by 1 | Viewed by 3131
Abstract
We present the theory and simulation of attosecond transient absorption in helium atoms under the single-active-electron approximation. This study investigates the attosecond dynamics of intrinsic atomic states that interact with a field comprising vacuum ultraviolet (VUV) and extreme ultraviolet (XUV) fields. The absorption [...] Read more.
We present the theory and simulation of attosecond transient absorption in helium atoms under the single-active-electron approximation. This study investigates the attosecond dynamics of intrinsic atomic states that interact with a field comprising vacuum ultraviolet (VUV) and extreme ultraviolet (XUV) fields. The absorption spectrum of the helium atom is obtained from the response function, which is constructed by numerically solving the three-dimensional time-dependent Schrödinger equation. We observe a fine structure near the intrinsic atomic level, which is modulated with a 0.2 fs period. Based on high-order time-dependent perturbation theory, the frequency-dependent phase of the dipole response induced by the VUV and XUV fields is analytically obtained, and the fine structure is well explained by the phase difference. In addition, the absorption fringes are dependent on the chirp of the VUV field. This study investigates the features of the attosecond transient absorption in the VUV region, which may have valuable applications in the study of ultrafast phenomena in atoms, molecules, and solids. Full article
(This article belongs to the Special Issue Ultrafast Spectroscopy: Fundamentals and Applications)
Show Figures

Figure 1

12 pages, 2036 KB  
Article
Free Radicals and ROS Induce Protein Denaturation by UV Photostability Assay
by Paolo Ruzza, Claudia Honisch, Rohanah Hussain and Giuliano Siligardi
Int. J. Mol. Sci. 2021, 22(12), 6512; https://doi.org/10.3390/ijms22126512 - 17 Jun 2021
Cited by 45 | Viewed by 5737
Abstract
Oxidative stress, photo-oxidation, and photosensitizers are activated by UV irradiation and are affecting the photo-stability of proteins. Understanding the mechanisms that govern protein photo-stability is essential for its control enabling enhancement or reduction. Currently, two major mechanisms for protein denaturation induced by UV [...] Read more.
Oxidative stress, photo-oxidation, and photosensitizers are activated by UV irradiation and are affecting the photo-stability of proteins. Understanding the mechanisms that govern protein photo-stability is essential for its control enabling enhancement or reduction. Currently, two major mechanisms for protein denaturation induced by UV irradiation are available: one generated by the local heating of water molecules bound to the proteins and the other by the formation of reactive free radicals. To discriminate which is the likely or dominant mechanism we have studied the effects of thermal and UV denaturation of aqueous protein solutions with and without DHR-123 as fluorogenic probe using circular dichroism (CD), synchrotron radiation circular dichroism (SRCD), and fluorescence spectroscopies. The results indicated that the mechanism of protein denaturation induced by VUV and far-UV irradiation were mediated by the formation of reactive free radicals (FR) and reactive oxygen species (ROS). The development at Diamond B23 beamline for SRCD of a novel protein UV photo-stability assay based on consecutive repeated CD measurements in the far-UV (180–250 nm) region has been successfully used to assess and characterize the photo-stability of protein formulations and ligand binding interactions, in particular for ligand molecules devoid of significant UV absorption. Full article
(This article belongs to the Section Molecular Biology)
Show Figures

Graphical abstract

22 pages, 2696 KB  
Review
Optical Emission Spectroscopy as a Diagnostic Tool for Characterization of Atmospheric Plasma Jets
by Rok Zaplotnik, Gregor Primc and Alenka Vesel
Appl. Sci. 2021, 11(5), 2275; https://doi.org/10.3390/app11052275 - 4 Mar 2021
Cited by 86 | Viewed by 12199
Abstract
A suitable technique for localized surface treatment of solid materials is an atmospheric pressure plasma jet (APPJ). The properties of the APPJ plasma often depend on small details like the concentration of gaseous impurities what influences the surface kinetics. The simplest and often [...] Read more.
A suitable technique for localized surface treatment of solid materials is an atmospheric pressure plasma jet (APPJ). The properties of the APPJ plasma often depend on small details like the concentration of gaseous impurities what influences the surface kinetics. The simplest and often most useful configuration of the APPJ is presented, characterized by optical emission spectroscopy (OES), and results are discussed in view of various papers. Furthermore, results of additional recent papers on the characterization of the APPJ by OES are presented as well. Because the APPJ is operating at atmospheric pressure, even the water vapor traces may significantly alter the type and concentration of reactive species. The APPJ sustained in noble gases represents a source of vacuum ultraviolet (VUV) radiation that is absorbed in the surface of the treated material, thus causing bond scission. The addition of minute amounts of reactive gases causes significant suppression of VUV radiation and the formation of reactive radicals. These radicals such as OH, O, N, NO, O3, and alike interact chemically with the surface causing its functionalization. Huge gradients of these radicals have been reported, so the surface finish is limited to the area reached by the radicals. Particularly OH radicals significantly prevail in the OES spectra, even when using very pure noble gas. They may cause suppression of other spectral features. OH radicals are especially pronounced in Ar plasmas. Their density decreases exponentially with a distance from the APPJ orifice. Full article
(This article belongs to the Special Issue Frontiers in Atmospheric Pressure Plasma Technology)
Show Figures

Figure 1

14 pages, 1634 KB  
Communication
Monochromatic Conical IR Emission from Decaying KrF Laser Filaments in Xenon as Coherent Stimulated Four-Wave Mixing Process
by Igor V. Smetanin, Alexey V. Shutov, Nikolay N. Ustinovskii, Vladimir D. Zvorykin, Anna V. Bogatskaya and Alexander M. Popov
Photonics 2021, 8(2), 47; https://doi.org/10.3390/photonics8020047 - 12 Feb 2021
Viewed by 3061
Abstract
We develop theoretical background for the new nonlinear optical phenomenon of narrowly directed monochromatic IR conical emission which has been recently observed when 248-nm UV filaments propagate in xenon (V. D. Zvorykin, et al., Laser Phys. Lett. 13, 125404 (2016)). We treat it [...] Read more.
We develop theoretical background for the new nonlinear optical phenomenon of narrowly directed monochromatic IR conical emission which has been recently observed when 248-nm UV filaments propagate in xenon (V. D. Zvorykin, et al., Laser Phys. Lett. 13, 125404 (2016)). We treat it as coherent stimulated four-wave mixing process in which two pump KrF laser photons are converted into the coupled pair of resonance IR(828 nm) and VUV (147 nm) photons through 5p5(2P3/2)6p[1/2]05p5(2P3/2)6s[3/2]1o and 5p5(2P3/2)6s[3/2]1o1S0 transitions. We explore the coherent interaction regime which proceeds at a time scale shorter than transverse relaxation time T2. The momentum and energy conservation laws determine the characteristic angle of conical emission. We find that the threshold of this coherent process is determined by the KrF laser pump pulse area. Full article
(This article belongs to the Special Issue Novel Nonlinear Phenomena with Strong Laser Fields)
Show Figures

Figure 1

31 pages, 8807 KB  
Article
Entropy and Random Walk Trails Water Confinement and Non-Thermal Equilibrium in Photon-Induced Nanocavities
by Vassilios Gavriil, Margarita Chatzichristidi, Dimitrios Christofilos, Gerasimos A. Kourouklis, Zoe Kollia, Evangelos Bakalis, Alkiviadis-Constantinos Cefalas and Evangelia Sarantopoulou
Nanomaterials 2020, 10(6), 1101; https://doi.org/10.3390/nano10061101 - 2 Jun 2020
Cited by 2 | Viewed by 4607
Abstract
Molecules near surfaces are regularly trapped in small cavitations. Molecular confinement, especially water confinement, shows intriguing and unexpected behavior including surface entropy adjustment; nevertheless, observations of entropic variation during molecular confinement are scarce. An experimental assessment of the correlation between surface strain and [...] Read more.
Molecules near surfaces are regularly trapped in small cavitations. Molecular confinement, especially water confinement, shows intriguing and unexpected behavior including surface entropy adjustment; nevertheless, observations of entropic variation during molecular confinement are scarce. An experimental assessment of the correlation between surface strain and entropy during molecular confinement in tiny crevices is difficult because strain variances fall in the nanometer scale. In this work, entropic variations during water confinement in 2D nano/micro cavitations were observed. Experimental results and random walk simulations of water molecules inside different size nanocavitations show that the mean escaping time of molecular water from nanocavities largely deviates from the mean collision time of water molecules near surfaces, crafted by 157 nm vacuum ultraviolet laser light on polyacrylamide matrixes. The mean escape time distribution of a few molecules indicates a non-thermal equilibrium state inside the cavity. The time differentiation inside and outside nanocavities reveals an additional state of ordered arrangements between nanocavities and molecular water ensembles of fixed molecular length near the surface. The configured number of microstates correctly counts for the experimental surface entropy deviation during molecular water confinement. The methodology has the potential to identify confined water molecules in nanocavities with life science importance. Full article
(This article belongs to the Special Issue Dynamics and Applications of Photon-Nanostructured Systems)
Show Figures

Graphical abstract

12 pages, 2646 KB  
Article
Decay Kinetics of CeF3 under VUV and X-ray Synchrotron Radiation
by Irina Kamenskikh, Evgeny Tishchenko, Marco Kirm, Sergey Omelkov, Andrei Belsky and Andrey Vasil’ev
Symmetry 2020, 12(6), 914; https://doi.org/10.3390/sym12060914 - 2 Jun 2020
Cited by 12 | Viewed by 3302
Abstract
Characteristic dimensions and evolution times of regions of secondary electronic excitations created by the interaction of ionizing radiation with matter cannot be measured directly. At the same time these are essential parameters both for engineering of nanostructured composite materials defining optimal layer thickness [...] Read more.
Characteristic dimensions and evolution times of regions of secondary electronic excitations created by the interaction of ionizing radiation with matter cannot be measured directly. At the same time these are essential parameters both for engineering of nanostructured composite materials defining optimal layer thickness and nanoparticles radii and for the development of optimized scintillators. The paper demonstrates how such spatial and temporal data can be extracted from luminescence decay kinetics excited by vacuum ultraviolet (VUV) and X-ray photons at modern sources of synchrotron radiation MAX IV and PETRA III. Specific features of energy-band structure of self-activated crystal CeF3 are discussed, and its potential for a super-fast detection of ionizing radiation evaluated. Diffusion-controlled dipole–dipole interaction of Frenkel excitons is demonstrated to account well for the luminescence non-exponential decay kinetics providing information on the scales of excited regions created by photons of different energy. For 20 eV photons the radius of excited regions is estimated to be 10 nm, and for 200 eV photons it increases to 18 nm. Effective radius of excited regions of complicated shape created by 19 keV is as large as 80 nm and the diffusion length of Frenkel excitons over radiative time is 14 nm. Full article
(This article belongs to the Special Issue Advances in Synchrotron and Undulator Radiation Studies)
Show Figures

Figure 1

12 pages, 3580 KB  
Article
Effect of VUV Radiation on Surface Modification of Polystyrene Exposed to Atmospheric Pressure Plasma Jet
by Rok Zaplotnik and Alenka Vesel
Polymers 2020, 12(5), 1136; https://doi.org/10.3390/polym12051136 - 15 May 2020
Cited by 31 | Viewed by 4358
Abstract
Precise tailoring of surface properties by gaseous plasma treatments remains a key scientific challenge, especially when adequate surface wettability should be laterally distributed, and sharp interfaces between hydrophobic and hydrophilic areas are desirable. The evolution of surface wettability and functional groups on polystyrene [...] Read more.
Precise tailoring of surface properties by gaseous plasma treatments remains a key scientific challenge, especially when adequate surface wettability should be laterally distributed, and sharp interfaces between hydrophobic and hydrophilic areas are desirable. The evolution of surface wettability and functional groups on polystyrene (PS) upon treatment with argon plasma jet was monitored by water contact angles and X-ray photoelectron spectroscopy (XPS). An array of water droplets was deposited on PS samples treated either directly by the plasma jet or only VUV radiation arising from the plasma. Rather sharp interfaces between the activated and not-affected regions were observed in both cases. The functionalization with highly-oxidized carbon functional groups, as determined by high-resolution C1s XPS spectra, was by far more efficient using the VUV radiation only. In contrast, the optimal wettability was achieved using direct plasma treatment. The results were explained by different mechanisms involved in the interaction of radiation and reactive plasma species with the polymer surface. Full article
(This article belongs to the Special Issue Surface Chemistry of Polymers)
Show Figures

Graphical abstract

21 pages, 1988 KB  
Review
The Astrophysical Formation of Asymmetric Molecules and the Emergence of a Chiral Bias
by Adrien D. Garcia, Cornelia Meinert, Haruna Sugahara, Nykola C. Jones, Søren V. Hoffmann and Uwe J. Meierhenrich
Life 2019, 9(1), 29; https://doi.org/10.3390/life9010029 - 16 Mar 2019
Cited by 43 | Viewed by 8111
Abstract
The biomolecular homochirality in living organisms has been investigated for decades, but its origin remains poorly understood. It has been shown that circular polarized light (CPL) and other energy sources are capable of inducing small enantiomeric excesses (ees) in some primary [...] Read more.
The biomolecular homochirality in living organisms has been investigated for decades, but its origin remains poorly understood. It has been shown that circular polarized light (CPL) and other energy sources are capable of inducing small enantiomeric excesses (ees) in some primary biomolecules, such as amino acids or sugars. Since the first findings of amino acids in carbonaceous meteorites, a scenario in which essential chiral biomolecules originate in space and are delivered by celestial bodies has arisen. Numerous studies have thus focused on their detection, identification, and enantiomeric excess calculations in extraterrestrial matrices. In this review we summarize the discoveries in amino acids, sugars, and organophosphorus compounds in meteorites, comets, and laboratory-simulated interstellar ices. Based on available analytical data, we also discuss their interactions with CPL in the ultraviolet (UV) and vacuum ultraviolet (VUV) regions, their abiotic chiral or achiral synthesis, and their enantiomeric distribution. Without doubt, further laboratory investigations and upcoming space missions are required to shed more light on our potential extraterrestrial molecular origins. Full article
(This article belongs to the Special Issue The Origin of Chirality in Life (Chiral Symmetry Breaking))
Show Figures

Graphical abstract

Back to TopTop