Optical Emission Spectroscopy as a Diagnostic Tool for Characterization of Atmospheric Plasma Jets
Abstract
1. Introduction
2. OES Characterization of the Reactive Species along the APPJ Plasma Jet
3. Examples of Using OES for Gas Temperature and Electron Density Measurements
4. Some Examples of Using OES in Practical Applications of APPJs
5. Summary
Author Contributions
Funding
Institutional Review Board Statement
Informed Consent Statement
Data Availability Statement
Acknowledgments
Conflicts of Interest
References
- Vesel, A.; Mozetic, M. New developments in surface functionalization of polymers using controlled plasma treatments. J. Phys. D Appl. Phys. 2017, 50, 293001. [Google Scholar] [CrossRef]
- Reuter, S.; von Woedtke, T.; Weltmann, K.-D. The kINPen—A review on physics and chemistry of the atmospheric pressure plasma jet and its applications. J. Phys. D Appl. Phys. 2018, 51, 233001. [Google Scholar] [CrossRef]
- Vesel, A.; Zaplotnik, R.; Primc, G.; Mozetič, M. Evolution of the surface wettability of PET polymer upon treatment with an atmospheric-pressure plasma jet. Polymers 2020, 12, 87. [Google Scholar] [CrossRef] [PubMed]
- Zaplotnik, R.; Vesel, A. Effect of VUV radiation on surface modification of polystyrene exposed to atmospheric pressure plasma jet. Polymers 2020, 12, 1136. [Google Scholar] [CrossRef]
- Nishime, T.M.C.; Wagner, R.; Kostov, G.K. Study of modified area of polymer samples exposed to a He atmospheric pressure plasma jet using different treatment conditions. Polymers 2020, 12, 1028. [Google Scholar] [CrossRef] [PubMed]
- Darmawati, S.; Rohmani, A.; Nurani, L.H.; Prastiyanto, M.E.; Dewi, S.S.; Salsabila, N.; Wahyuningtyas, E.S.; Murdiya, F.; Sikumbang, I.M.; Rohmah, R.N.; et al. When plasma jet is effective for chronic wound bacteria inactivation, is it also effective for wound healing? Clin. Plasma Med. 2019, 14, 100085. [Google Scholar] [CrossRef]
- Xu, G.M.; Shi, X.M.; Cai, J.F.; Chen, S.L.; Li, P.; Yao, C.W.; Chang, Z.S.; Zhang, G.J. Dual effects of atmospheric pressure plasma jet on skin wound healing of mice. Wound Repair Regen. 2015, 23, 878–884. [Google Scholar] [CrossRef]
- Keidar, M. Plasma for cancer treatment. Plasma Sources Sci. Technol. 2015, 24, 033001. [Google Scholar] [CrossRef]
- Xu, G.; Liu, J.; Yao, C.; Chen, S.; Lin, F.; Li, P.; Shi, X.; Zhang, G.J. Effects of atmospheric pressure plasma jet with floating electrode on murine melanoma and fibroblast cells. Phys. Plasmas 2017, 24, 083504. [Google Scholar] [CrossRef]
- Sarani, A.; Nicula, C.; Gonzales, X.F.; Thiyagarajan, M. Characterization of kilohertz-ignited nonthermal He and He/O2 plasma pencil for biomedical applications. IEEE Trans. Plasma Sci. 2014, 42, 3148–3160. [Google Scholar] [CrossRef]
- Schneider, S.; Lackmann, J.-W.; Ellerweg, D.; Denis, B.; Narberhaus, F.; Bandow, J.E.; Benedikt, J. The role of VUV radiation in the inactivation of bacteria with an atmospheric pressure plasma jet. Plasma Process. Polym. 2012, 9, 561–568. [Google Scholar] [CrossRef]
- Reyes, P.G.; Gomez, A.; Martinez, H.; Flores, O.; Torres, C.; Vergara, J. Characterization of ethanol plasma glow discharge, decomposition in several species and solid film formation. IEEE Trans. Plasma Sci. 2016, 44, 2995–3000. [Google Scholar] [CrossRef]
- Barletta, F.; Leys, C.; Colombo, V.; Gherardi, M.; Britun, N.; Snyders, R.; Nikiforov, A. Insights into plasma-assisted polymerization at atmospheric pressure by spectroscopic diagnostics. Plasma Process. Polym. 2020, 17, 1900174. [Google Scholar] [CrossRef]
- Penkov, O.V.; Lee, D.-H.; Kim, H.; Kim, D.-E. Frictional behavior of atmospheric plasma jet deposited carbon–ZnO composite coatings. Compos. Sci. Technol. 2013, 77, 60–66. [Google Scholar] [CrossRef]
- Penkov, O.V.; Lee, D.H.; Kim, D.E. Wear resistant coatings for polymeric substrates deposited by atmospheric pressure plasma jet. Sci. Adv. Mater. 2015, 7, 113–119. [Google Scholar] [CrossRef]
- Chang, K.-M.; Huang, S.-H.; Wu, C.-J.; Lin, W.-L.; Chen, W.-C.; Chi, C.-W.; Lin, J.-W.; Chang, C.-C. Transparent conductive indium-doped zinc oxide films prepared by atmospheric pressure plasma jet. Thin Solid Films 2011, 519, 5114–5117. [Google Scholar] [CrossRef]
- Penkov, O.V.; Khadem, M.; Lim, W.-S.; Kim, D.-E. A review of recent applications of atmospheric pressure plasma jets for materials processing. J. Coat. Technol. Res. 2015, 12, 225–235. [Google Scholar] [CrossRef]
- Reuter, S.; Sousa, J.S.; Stancu, G.D.; Hubertus van Helden, J.-P. Review on VUV to MIR absorption spectroscopy of atmospheric pressure plasma jets. Plasma Sources Sci. Technol. 2015, 24, 054001. [Google Scholar] [CrossRef]
- Zaplotnik, R.; Bišćan, M.; Krstulović, N.; Popović, D.; Milošević, S. Cavity ring-down spectroscopy for atmospheric pressure plasma jet analysis. Plasma Sources Sci. Technol. 2015, 24, 054004. [Google Scholar] [CrossRef]
- Mozetič, M.; Ricard, A.; Babič, D.; Poberaj, I.; Levaton, J.; Monna, V.; Cvelbar, U. Comparison of NO titration and fiber optics catalytic probes for determination of neutral oxygen atom concentration in plasmas and postglows. J. Vac. Sci. Technol. A 2003, 21, 369–374. [Google Scholar] [CrossRef]
- Lu, X.P.; Wu, S.Q. On the active species concentrations of atmospheric pressure nonequilibrium plasma jets. IEEE Trans. Plasma Sci. 2013, 41, 2313–2326. [Google Scholar] [CrossRef]
- Winter, J.; Brandenburg, R.; Weltmann, K.D. Atmospheric pressure plasma jets: An overview of devices and new directions. Plasma Sources Sci. Technol. 2015, 24, 064001. [Google Scholar] [CrossRef]
- Lu, X.; Laroussi, M.; Puech, V. On atmospheric-pressure non-equilibrium plasma jets and plasma bullets. Plasma Sources Sci. Technol. 2012, 21, 034005. [Google Scholar] [CrossRef]
- Niemi, K.; Reuter, S.; Graham, L.M.; Waskoenig, J.; Gans, T. Diagnostic based modeling for determining absolute atomic oxygen densities in atmospheric pressure helium-oxygen plasmas. Appl. Phys. Lett. 2009, 95, 151504. [Google Scholar] [CrossRef]
- Zhang, Q.Y.; Shi, D.Q.; Xu, W.; Miao, C.Y.; Ma, C.Y.; Ren, C.S.; Zhang, C.; Yi, Z. Determination of vibrational and rotational temperatures in highly constricted nitrogen plasmas by fitting the second positive system of N2 molecules. AIP Adv. 2015, 5, 057158. [Google Scholar] [CrossRef]
- Zhao, T.-L.; Xu, Y.; Song, Y.-H.; Li, X.-S.; Liu, J.-L.; Liu, J.-B.; Zhu, A.-M. Determination of vibrational and rotational temperatures in a gliding arc discharge by using overlapped molecular emission spectra. J. Phys. D Appl. Phys. 2013, 46, 345201. [Google Scholar] [CrossRef]
- Srivastava, N.; Wang, C.J. Effects of water addition on OH radical generation and plasma properties in an atmospheric argon microwave plasma jet. J. Appl. Phys. 2011, 110, 053304. [Google Scholar] [CrossRef]
- Sarani, A.; De Geyter, N.; Nikiforov, A.Y.; Morent, R.; Leys, C.; Hubert, J.; Reniers, F. Surface modification of PTFE using an atmospheric pressure plasma jet in argon and argon+CO2. Surf. Coat. Technol. 2012, 206, 2226–2232. [Google Scholar] [CrossRef]
- Nikiforov, A.Y.; Sarani, A.; Leys, C. The influence of water vapor content on electrical and spectral properties of an atmospheric pressure plasma jet. Plasma Sources Sci. Technol. 2011, 20, 015014. [Google Scholar] [CrossRef]
- Park, H.S.; Kim, S.J.; Joh, H.M.; Chung, T.H.; Bae, S.H.; Leem, S.H. Optical and electrical characterization of an atmospheric pressure microplasma jet with a capillary electrode. Phys. Plasmas 2010, 17, 033502. [Google Scholar] [CrossRef]
- Sarani, A.; Nikiforov, A.Y.; Leys, C. Atmospheric pressure plasma jet in Ar and Ar/H2O mixtures: Optical emission spectroscopy and temperature measurements. Phys. Plasmas 2010, 17, 063504. [Google Scholar] [CrossRef]
- Yanguas-Gil, A.; Focke, K.; Benedikt, J.; von Keudell, A. Optical and electrical characterization of an atmospheric pressure microplasma jet for Ar/CH4 and Ar/C2H2 mixtures. J. Appl. Phys. 2007, 101, 103307. [Google Scholar] [CrossRef]
- Weltmann, K.-D.; Kindel, E.; Brandenburg, R.; Meyer, C.; Bussiahn, R.; Wilke, C.; von Woedtke, T. Atmospheric pressure plasma jet for medical therapy: Plasma parameters and risk estimation. Contrib. Plasma Phys. 2009, 49, 631–640. [Google Scholar] [CrossRef]
- Ilik, E.; Durmus, C.; Akan, T. Adding water droplets into atmospheric pressure plasma jet of helium. IEEE Trans. Plasma Sci. 2019, 47, 5000–5005. [Google Scholar] [CrossRef]
- Seo, K.S.; Cha, J.H.; Han, M.K.; Ha, C.S.; Kim, D.H.; Lee, H.J.; Lee, H.J. Surface treatment of glass and poly(dimethylsiloxane) using atmospheric-pressure plasma jet and analysis of discharge characteristics. Jap. J. Appl. Phys. 2015, 54. [Google Scholar] [CrossRef]
- Roy, N.C.; Talukder, M.R.; Chowdhury, A.N. OH and O radicals production in atmospheric pressure air/Ar/H2O gliding arc discharge plasma jet. Plasma Sci. Technol. 2017, 19. [Google Scholar] [CrossRef]
- Sahu, B.B.; Jin, S.B.; Han, J.G. Development and characterization of a multi-electrode cold atmospheric pressure DBD plasma jet aiming plasma application. J. Anal. At. Spectrom. 2017, 32, 782–795. [Google Scholar] [CrossRef]
- Thiyagarajan, M.; Sarani, A.; Nicula, C. Optical emission spectroscopic diagnostics of a non-thermal atmospheric pressure helium-oxygen plasma jet for biomedical applications. J. Appl. Phys. 2013, 113, 233302. [Google Scholar] [CrossRef]
- Chauvet, L.; Therese, L.; Caillier, B.; Guillot, P. Characterization of an asymmetric DBD plasma jet source at atmospheric pressure. J. Anal. At. Spectrom. 2014, 29, 2050–2057. [Google Scholar] [CrossRef]
- Gerling, T.; Nastuta, A.V.; Bussiahn, R.; Kindel, E.; Weltmann, K.D. Back and forth directed plasma bullets in a helium atmospheric pressure needle-to-plane discharge with oxygen admixtures. Plasma Sources Sci. Technol. 2012, 21, 034012. [Google Scholar] [CrossRef][Green Version]
- Pipa, A.V.; Reuter, S.; Foest, R.; Weltmann, K.D. Controlling the NO production of an atmospheric pressure plasma jet. J. Phys. D Appl. Phys. 2012, 45, 085201. [Google Scholar] [CrossRef]
- Jia, H.; Fujiwara, H.; Kondo, M.; Kuraseko, H. Optical emission spectroscopy of atmospheric pressure microwave plasmas. J. Appl. Phys. 2008, 104, 054908. [Google Scholar] [CrossRef]
- Sainct, F.P.; Durocher-Jean, A.; Gangwar, R.K.; Mendoza Gonzalez, N.Y.; Coulombe, S.; Stafford, L. Spatially-resolved spectroscopic diagnostics of a miniature RF atmospheric pressure plasma jet in argon open to ambient air. Plasma 2020, 3, 5. [Google Scholar] [CrossRef]
- Yuan, Q.; Ren, P.; Zhou, Y.; Yin, G.; Dong, C. OES diagnostic of radicals in 33 MHz radio-frequency Ar/C2H5OH atmospheric pressure plasma jet. Plasma Sci. Technol. 2018, 21, 025402. [Google Scholar] [CrossRef]
- Golda, J.; Biskup, B.; Layes, V.; Winzer, T.; Benedikt, J. Vacuum ultraviolet spectroscopy of cold atmospheric pressure plasma jets. Plasma Process. Polym. 2020, 17. [Google Scholar] [CrossRef]
- Herron, J.T.; Green, D.S. Chemical kinetics database and predictive schemes for nonthermal humid air plasma chemistry. Part II. Neutral species reactions. Plasma Chem. Plasma Process. 2001, 21, 459–481. [Google Scholar] [CrossRef]
- Kim, S.J.; Chung, T.H.; Bae, S.H.; Leem, S.H. Characterization of atmospheric pressure microplasma jet source and its application to bacterial inactivation. Plasma Process. Polym. 2009, 6, 676–685. [Google Scholar] [CrossRef]
- Resnik, M. Plasma-Induced Modifications of Polypropylene Tubes for Biomedical Applications. Ph.D. Thesis, Jozef Stefan International Postgraduate School, Ljubljana, Slovenija, 2018. [Google Scholar]
- Gott, R.P.; Xu, K.G. OH production and jet length of an atmospheric-pressure plasma jet for soft and biomaterial treatment. IEEE Trans. Plasma Sci. 2019, 47, 4988–4999. [Google Scholar] [CrossRef]
- Cordaro, L.; De Masi, G.; Fassina, A.; Mancini, D.; Cavazzana, R.; Desideri, D.; Sonato, P.; Zuin, M.; Zaniol, B.; Martines, E. On the electrical and optical features of the plasma coagulation controller low temperature atmospheric plasma jet. Plasma 2019, 2, 12. [Google Scholar] [CrossRef]
- Cordaro, L.; De Masi, G.; Fassina, A.; Gareri, C.; Pimazzoni, A.; Desideri, D.; Indolfi, C.; Martines, E. The role of thermal effects in plasma medical applications: Biological and calorimetric analysis. Appl. Sci. 2019, 9, 5560. [Google Scholar] [CrossRef]
- Schulz-von der Gathen, V.; Schaper, L.; Knake, N.; Reuter, S.; Niemi, K.; Gans, T.; Winter, J. Spatially resolved diagnostics on a microscale atmospheric pressure plasma jet. J. Phys. D Appl. Phys. 2008, 41, 194004. [Google Scholar] [CrossRef]
- Yang, Y.; Zhang, Y.Z.; Liao, Z.L.; Pei, X.K.; Wu, S.Q. OH radicals distribution and discharge dynamics of an atmospheric pressure plasma jet above water surface. IEEE Trans. Radiat. Plasma Med. Sci. 2018, 2, 223–228. [Google Scholar] [CrossRef]
- Voráč, J.; Dvořák, P.; Procházka, V.; Ehlbeck, J.; Reuter, S. Measurement of hydroxyl radical (OH) concentration in an argon RF plasma jet by laser-induced fluorescence. Plasma Sources Sci. Technol. 2013, 22, 025016. [Google Scholar] [CrossRef]
- Yonemori, S.; Nakagawa, Y.; Ono, R.; Oda, T. Measurement of OH density and air–helium mixture ratio in an atmospheric-pressure helium plasma jet. J. Phys. D Appl. Phys. 2012, 45, 225202. [Google Scholar] [CrossRef]
- Yonemori, S.; Ono, R. Flux of OH and O radicals onto a surface by an atmospheric-pressure helium plasma jet measured by laser-induced fluorescence. J. Phys. D Appl. Phys. 2014, 47, 125401. [Google Scholar] [CrossRef]
- Schröter, S.; Wijaikhum, A.; Gibson, A.R.; West, A.; Davies, H.L.; Minesi, N.; Dedrick, J.; Wagenaars, E.; de Oliveira, N.; Nahon, L.; et al. Chemical kinetics in an atmospheric pressure helium plasma containing humidity. Phys. Chem. Chem. Phys. 2018, 20, 24263–24286. [Google Scholar] [CrossRef]
- Van Gessel, A.F.H.; van Grootel, S.C.; Bruggeman, P.J. Atomic oxygen TALIF measurements in an atmospheric-pressure microwave plasma jet within situxenon calibration. Plasma Sources Sci. Technol. 2013, 22, 055010. [Google Scholar] [CrossRef]
- Reuter, S.; Niemi, K.; Schulz-von der Gathen, V.; Döbele, H.F. Generation of atomic oxygen in the effluent of an atmospheric pressure plasma jet. Plasma Sources Sci. Technol. 2008, 18, 015006. [Google Scholar] [CrossRef]
- Wang, C.; Srivastava, N. OH number densities and plasma jet behavior in atmospheric microwave plasma jets operating with different plasma gases (Ar, Ar/N2, and Ar/O2). Eur. Phys. J. D 2010, 60, 465–477. [Google Scholar] [CrossRef]
- Srivastava, N.; Wang, C.J. Determination of OH radicals in an atmospheric pressure helium microwave plasma jet. IEEE Trans. Plasma Sci. 2011, 39, 918–924. [Google Scholar] [CrossRef]
- Fuh, C.A.; Clark, S.M.; Wu, W.; Wang, C. Electronic ground state OH(X) radical in a low-temperature atmospheric pressure plasma jet. J. Appl. Phys. 2016, 120, 163303. [Google Scholar] [CrossRef]
- Hibert, C.; Gaurand, I.; Motret, O.; Pouvesle, J.M. OH(X) measurements by resonant absorption spectroscopy in a pulsed dielectric barrier discharge. J. Appl. Phys. 1999, 85, 7070–7075. [Google Scholar] [CrossRef]
- Cheng, K.-Y.; Lin, Z.-H.; Cheng, Y.-P.; Chiu, H.-Y.; Yeh, N.-L.; Wu, T.-K.; Wu, J.-S. Wound healing in streptozotocin-induced diabetic rats using atmospheric-pressure argon plasma jet. Sci. Rep. 2018, 8, 12214. [Google Scholar] [CrossRef]
- Jacofsky, M.; Lubahn, C.; McDonnell, C.; Seepersad, Y.; Fridman, G.; Fridman, A.; Dobrynin, D. Spatially resolved optical emission spectroscopy of a helium plasma jet and its effects on wound healing rate in a diabetic murine model. Plasma Med. 2014, 4, 177–191. [Google Scholar] [CrossRef]
- Lin, Z.H.; Tschang, C.Y.T.; Liao, K.C.; Su, C.F.; Wu, J.S.; Ho, M.T. Ar/O2 argon-based round atmospheric-pressure plasma jet on sterilizing bacteria and endospores. IEEE Trans. Plasma Sci. 2016, 44, 3140–3147. [Google Scholar] [CrossRef]
- Narimisa, M.; Krčma, F.; Onyshchenko, Y.; Kozáková, Z.; Morent, R.; De Geyter, N. Atmospheric pressure microwave plasma jet for organic thin film deposition. Polymers 2020, 12, 354. [Google Scholar] [CrossRef] [PubMed]
- Zhao, P.; Zheng, W.; Meng, Y.D.; Nagatsu, M. Characteristics of high-purity Cu thin films deposited on polyimide by radio-frequency Ar/H2 atmospheric-pressure plasma jet. J. Appl. Phys. 2013, 113, 123301. [Google Scholar] [CrossRef]
- Kehrer, M.; Duchoslav, J.; Hinterreiter, A.; Mehic, A.; Stehrer, T.; Stifter, D. Surface functionalization of polypropylene using a cold atmospheric pressure plasma jet with gas water mixtures. Surf. Coat. Technol. 2020, 384, 125170. [Google Scholar] [CrossRef]
- Weiss, M.; Barz, J.; Ackermann, M.; Utz, R.; Ghoul, A.; Weltmann, K.D.; Stope, M.B.; Wallwiener, D.; Schenke-Layland, K.; Oehr, C.; et al. Dose-Dependent Tissue-Level Characterization of a Medical Atmospheric Pressure Argon Plasma Jet. ACS Appl. Mater. Interfaces 2019, 11, 19841–19853. [Google Scholar] [CrossRef]









| REF | Gas Composition | APPJ Configuration | Findings by OES Diagnostics |
|---|---|---|---|
| [13] | Ar/TEOS (tetraethyl orthosilicate) | AlmaJET, single electrode corona jet, AC power supply, 12 kHz, 12 kV amplitude, power 11.5 W, Ar flow 2 slm, 17 ppm TEOS | Besides peaks characteristic for Ar plasma with the presence of water vapor, the addition of TEOS resulted in the appearance of additional excited species: CH, CN, and C2 bands. Trot of OH(A), N2(C), and CH(A) were determined using two different simulation software. Trot calculated from OH was much lower (410 K) than Trot calculated from N2 (550 K) and CH (590 K). |
| [27] | Ar + H2O | 2.45 GHz MW plasma, 104 W, gas flow 1.7 slm, H2O content = 0–1.9% | The length of the plasma jet was decreasing with increasing water content. At very high water content, the plasma was unstable. In pure Ar plasma, N2 dominated in OES spectra measured 2 mm from the nozzle. With the addition of water vapor, N2 diminished, and OH became dominant. Trot was determined, and it increased with water addition. |
| [28] | Ar with/o CO2 | DBD plasma jet, 71 kHz, 6 kV (peak-to-peak), 3 slm of pure Ar and 2.9/0.1 slm of Ar/CO2 | Besides Ar, molecular N2, atomic O and OH were observed in pure Ar plasma. The addition of CO2 caused a decrease in emission lines and the disappearance of oxygen, whereas OH and N2 were still observed. Additionally, the CO Angstrom band was observed in Ar/CO2 mixture. |
| [29] | Ar + H2O (up to 7600 ppm) | Second ring-shaped ground electrode, sinusoidal voltage frequency 71 kHz, 10–20 kV (peak to-peak), power 12.88 W, gas flow 0.695–4.82 slm | OES was measured 15 mm from the ground electrode. OH and lines of Ar were found. Trot was determined, and it was increasing with the increase in the water content. The addition of water to Ar caused the decrease in all atomic line intensities. The emission of OH radicals was not linearly dependent on the water content, but it had a maximum at 350 ppm. |
| [30] | He or Ar (with/o addition of O2) | Additional outer ground electrode, pulsed power supply (voltage up to 3 kV, 60 kHz), sinusoidal or RF power supply, Ar or He flow rate 1–8 L/min | The electron temperature was measured (0.4 eV). The plume temperature was also measured versus voltage and flow rate. Depending on the frequency and gas flow, it was in the range 25–40 °C. Ar, as well as atomic O, OH, and N2 peaks, were found in Ar plasma. OH peak was much stronger than O line even if O2 was added to Ar. The origin of water was the desorption of water molecules from the quartz discharge tube. |
| [31] | Ar with/o H2O | Additional grounded outer electrode, 71 kHz, power 12.8 W, peak-to-peak voltage 12.2–17 kV, 0.7–4.8 slm with 0.05–0.76% of water | Besides Ar lines, significant OH radiation was observed as well as N2 lines and O-atom line. The increase in water content caused a decrease in all atomic lines. The addition of water also caused an increase in the gas temperature from 620 (pure Ar) to 1130 K (0.76% H2O). OES profiles were measured along with the jet every 5 mm up to a distance of 35 mm. The OH concentration was maximal at the minimum addition of water to the feed gas (0.05%). |
| [32] | Ar, He (with/o addition of CH4 or C2H2) | Coaxial configuration with the inner and outer electrode, 13.56 MHz, rms voltage 200–250 V, rms current 0.4–0.6 A, 3 slm of Ar/He and 160 sccm Ar(He)/CH4 | The collimating lens was positioned 140 mm from the end of the jet. The special construction of APPJ allowed the insertion of Ar(He)/CH4 gas by a capillary tube into the main Ar/He flow, which prevents the mixing of the surrounding gas. In pure Ar plasma, the Ar and OH emission dominated. Additionally, in the Ar/CH4 mixture, CH and C2 bands were observed. In Ar/CH4, CH was more dominant than C2; whereas, in Ar/C2H2, C2 band was more intense. Opposite to other authors, no N2 emission was detected by OES because of special construction that prevented the mixing of the surrounding air. Electron density (8 × 1020 m−3) and gas temperature (<400 K) were also measured from the fine structure of the rotational bands of OH. |
| [33] | Ar | kINPen, DC supply, 3–6 W, Ar flow 5 slm | OES was measured at various axial positions along with the plasma jet up to 12 mm (sampled every 2 mm). A maximum in the intensity of Ar lines was at 4 mm from the exit. The intensity of N2 lines was increasing along with the jet because of the mixing of the surrounding gas. Significant OH emission was also detected. They found that APPJ is a source of UV-B (309 nm) and UV-A radiation (350, 380 nm), whereas no UV-C was detected in the range 250–280 nm. Irradiance in the UV range was determined to be 5 mW/cm2 at the maximum power and the lowest axial distance. It can be concluded that several seconds of exposure of skin does not exceed the allowed exposure limit of 3 mJ/cm2. |
| [34] | He + H2O | AC power supply, 18 kV, 15 kHz, He flow 20 L/min, H2O flow 3 mL/min | An increase in OH was observed when water droplets were added to He APPJ. |
| [35] | Ar or He | DBD type APPJ, AC power supply, 5 kV, 50 kHz, He flow: 2–4 slm, Ar flow: 1–3.5 slm | For Ar plasma, OH and N2 species were dominant. For He plasma, N2+ and O were observed. Emission profiles were measured versus a distance from the tube exit. |
| [36] | Air/Ar/H2O | 2% H2O in Ar/Air mixture, Ar flow 3 lpm, air flow: 3–15 lpm, voltage 4–7 kV, 250 Hz square wave power source | Production of OH and O radicals was investigated. The production of OH and O was increasing with increasing Ar content in the gas mixture and with the applied voltage, but decreasing with increasing air flow. |
| [37] | He | DBD plasma jet, pulsed DC power supply, 10 kHz, duty cycle 20%, peak-to-peak voltage 2–3.2 kV, min. power 5 W, He flow 2.5–5.5 slm | NO, OH, N2 molecular, atomic N, He and O, and O2+ species observed. Gas temperature was found to be ~310 K, and the electron excitation temperature was ~5420 K. OES was also used to investigate the generation of various species when the plasma jet was impinging onto the liquid. |
| [38] | He + O2 | DBD-type APPJ, AC power supply, 60 kHz, peak to peak voltage 6–14 kV, 18 W, gas flow 3 slm, 0.1–0.5% of O2 | Besides He lines, also OH, O, N2, and N2+ species were detected. Rotational and vibrational temperatures from OH radical were determined in the active and afterglow region. Gas temperature slightly increased when O2 was added or when moved from active to afterglow region. In the active plasma region, it was 310 and 340 K for He or He/O2, respectively. Whereas Tvib was 2200 or 2500 K, respectively. |
| [39] | He | DBD type APPJ, square wave AC supply, peak-to-peak voltage 6 kV, flow rate: 2–7 L/min | The spatial distribution of radicals along the plasma plume was investigated versus the applied voltage and gas flow rate. Various He emission lines, O, OH, N2 and N2+ were observed. A strong decrease in emission intensity of He, O, and OH with a distance from the APPJ exit was observed. Opposite, N2 and N2+ reached a maximum at a distance of 5 mm from the exit and then gradually decreased. |
| [40] | He/O2 | Powered hollow electrode, 2–10 kVpp, 18 kHz, up to 0.33% O2 addition, flow 3 slm | The radiation intensity of RN and ROS radicals was strongly dependent on the O2 concentration. For ROS radicals, different behavior of the emission intensity versus the O2 concentration was observed than for RN radicals. |
| [41] | Ar | kINPen, 1.4 MHz, gas flow: 5–15 slm | Production of NO radicals versus air admixture was investigated. The NO emission had a maximum at 0.1–0.2% of air admixture in Ar. |
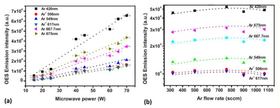
| [42] | Ar, He, Ar + He | MW power 5–70 W, gas flow 100–1000 sccm | The influence of the MW power and gas flow rate on the emission intensity of plasma radicals was investigated. A strong dependence of emission intensities on the power was observed. |
| [43] | He/O2 | Micro-APPJ, 13.56 MHz, up to 0.6% O2 admixture | OES measurements in UV and VUV for the various admixture of O2 from 0 to 0.6%. The following species were observed in the range 100–350 nm: O, O2, NO, and OH. |
| [44] | Ar/C2H5OH | 33 MHz RF power source, various powers | C, CN, CH, and C2 species were observed in ethanol plasma. An increase in ethanol content in Ar caused a decrease in Ar lines and an increase in the relative amount of C2. No significant dependence of the intensity ratio of excited species with the increase in RF power. |
Publisher’s Note: MDPI stays neutral with regard to jurisdictional claims in published maps and institutional affiliations. |
© 2021 by the authors. Licensee MDPI, Basel, Switzerland. This article is an open access article distributed under the terms and conditions of the Creative Commons Attribution (CC BY) license (http://creativecommons.org/licenses/by/4.0/).
Share and Cite
Zaplotnik, R.; Primc, G.; Vesel, A. Optical Emission Spectroscopy as a Diagnostic Tool for Characterization of Atmospheric Plasma Jets. Appl. Sci. 2021, 11, 2275. https://doi.org/10.3390/app11052275
Zaplotnik R, Primc G, Vesel A. Optical Emission Spectroscopy as a Diagnostic Tool for Characterization of Atmospheric Plasma Jets. Applied Sciences. 2021; 11(5):2275. https://doi.org/10.3390/app11052275
Chicago/Turabian StyleZaplotnik, Rok, Gregor Primc, and Alenka Vesel. 2021. "Optical Emission Spectroscopy as a Diagnostic Tool for Characterization of Atmospheric Plasma Jets" Applied Sciences 11, no. 5: 2275. https://doi.org/10.3390/app11052275
APA StyleZaplotnik, R., Primc, G., & Vesel, A. (2021). Optical Emission Spectroscopy as a Diagnostic Tool for Characterization of Atmospheric Plasma Jets. Applied Sciences, 11(5), 2275. https://doi.org/10.3390/app11052275

