Sign in to use this feature.

Years

Between: -

Subjects

remove_circle_outline
remove_circle_outline
remove_circle_outline
remove_circle_outline
remove_circle_outline

Journals

Article Types

Countries / Regions

Search Results (10)

Search Parameters:
Keywords = VILIP1

Order results
Result details
Results per page
Select all
Export citation of selected articles as:
35 pages, 1902 KB  
Review
From Amyloid to Synaptic Dysfunction: Biomarker-Driven Insights into Alzheimer’s Disease
by Luisa Agnello, Caterina Maria Gambino, Anna Maria Ciaccio, Francesco Cacciabaudo, Davide Massa, Anna Masucci, Martina Tamburello, Roberta Vassallo, Mauro Midiri, Concetta Scazzone and Marcello Ciaccio
Curr. Issues Mol. Biol. 2025, 47(8), 580; https://doi.org/10.3390/cimb47080580 - 22 Jul 2025
Cited by 6 | Viewed by 4682
Abstract
Alzheimer’s disease (AD) is the most prevalent neurodegenerative disorder and represents a major public health challenge. With increasing life expectancy, the incidence of AD has also increased, highlighting the need for early diagnosis and improved monitoring. Traditionally, diagnosis has relied on clinical symptoms [...] Read more.
Alzheimer’s disease (AD) is the most prevalent neurodegenerative disorder and represents a major public health challenge. With increasing life expectancy, the incidence of AD has also increased, highlighting the need for early diagnosis and improved monitoring. Traditionally, diagnosis has relied on clinical symptoms and neuroimaging; however, the introduction of biomarkers has revolutionized disease assessment. Traditional biomarkers, including the Aβ42/Aβ40 ratio, phosphorylated tau (p-Tau181, p-Tau217, and p-Tau231), total tau (t-tau), and neurofilament light chain (NfL), are fundamental for staging AD progression. Updated guidelines introduced the ATX(N) model, which extends biomarker classification to include additional promising biomarkers, such as SNAP-25, YKL-40, GAP-43, VILIP-1, progranulin (PGRN), TREM2, IGF-1, hFABP, MCP-1, TDP-43, and BDNF. Recent advancements have allowed for the detection of these biomarkers not only in CSF but also in plasma and neuron-derived exosomes, offering less invasive and more accessible diagnostic options. This review explores established and emerging biomarkers and emphasizes their roles in early diagnosis, patient stratification, and precision medicine. Full article
(This article belongs to the Section Molecular Medicine)
Show Figures

Figure 1

21 pages, 1659 KB  
Article
Concordance between the In Vivo Content of Neurospecific Proteins (BDNF, NSE, VILIP-1, S100B) in the Hippocampus and Blood in Patients with Epilepsy
by Maria A. Tikhonova, Anna A. Shvaikovskaya, Svetlana Y. Zhanaeva, Galina I. Moysak, Anna A. Akopyan, Jamil A. Rzaev, Konstantin V. Danilenko and Lyubomir I. Aftanas
Int. J. Mol. Sci. 2024, 25(1), 502; https://doi.org/10.3390/ijms25010502 - 29 Dec 2023
Cited by 9 | Viewed by 2083
Abstract
The identification of reliable brain-specific biomarkers in periphery contributes to better understanding of normal neurophysiology and neuropsychiatric diseases. The neurospecific proteins BDNF, NSE, VILIP-1, and S100B play an important role in the pathogenesis of neuropsychiatric disorders, including epilepsy. This study aimed to assess [...] Read more.
The identification of reliable brain-specific biomarkers in periphery contributes to better understanding of normal neurophysiology and neuropsychiatric diseases. The neurospecific proteins BDNF, NSE, VILIP-1, and S100B play an important role in the pathogenesis of neuropsychiatric disorders, including epilepsy. This study aimed to assess the correspondence of the expression of BDNF, NSE, VILIP-1, and S100B in the blood (serum and peripheral blood mononuclear cells (PBMCs)) to the in vivo hippocampal levels of subjects with drug-resistant epilepsy who underwent neurosurgery (N = 44) using multiplex solid-phase analysis, ELISA, and immunohistochemical methods, as well as to analyze the correlations and associations of the blood and hippocampal levels of these proteins with clinical parameters. We first studied the concordance between in vivo brain and blood levels of BDNF, NSE, VILIP-1, and S100B in epileptic patients. A positive correlation for NSE between hippocampal and PBMC levels was revealed. NSE levels in PBMCs were also significantly correlated with average seizure duration. BDNF levels in PBMCs were associated with seizure frequency and hippocampal sclerosis. Thus, NSE and BDNF levels in PBMCs may have potential as clinically significant biomarkers. Significant correlations between the levels of the neurospecific proteins studied herein suggest interactions between BDNF, NSE, VILIP-1, and S100B in the pathophysiology of epilepsy. Full article
Show Figures

Figure 1

28 pages, 4619 KB  
Article
Heavy Metals and Essential Metals Are Associated with Cerebrospinal Fluid Biomarkers of Alzheimer’s Disease
by Mirjana Babić Leko, Matej Mihelčić, Jasna Jurasović, Matea Nikolac Perković, Ena Španić, Ankica Sekovanić, Tatjana Orct, Klara Zubčić, Lea Langer Horvat, Nikolina Pleić, Spomenka Kiđemet-Piskač, Željka Vogrinc, Nela Pivac, Andrea Diana, Fran Borovečki, Patrick R. Hof and Goran Šimić
Int. J. Mol. Sci. 2023, 24(1), 467; https://doi.org/10.3390/ijms24010467 - 27 Dec 2022
Cited by 42 | Viewed by 7194
Abstract
Various metals have been associated with the pathogenesis of Alzheimer’s disease (AD), principally heavy metals that are environmental pollutants (such as As, Cd, Hg, and Pb) and essential metals whose homeostasis is disturbed in AD (such as Cu, Fe, and Zn). Although there [...] Read more.
Various metals have been associated with the pathogenesis of Alzheimer’s disease (AD), principally heavy metals that are environmental pollutants (such as As, Cd, Hg, and Pb) and essential metals whose homeostasis is disturbed in AD (such as Cu, Fe, and Zn). Although there is evidence of the involvement of these metals in AD, further research is needed on their mechanisms of toxicity. To further assess the involvement of heavy and essential metals in AD pathogenesis, we compared cerebrospinal fluid (CSF) AD biomarkers to macro- and microelements measured in CSF and plasma. We tested if macro- and microelements’ concentrations (heavy metals (As, Cd, Hg, Ni, Pb, and Tl), essential metals (Na, Mg, K, Ca, Fe, Co, Mn, Cu, Zn, and Mo), essential non-metals (B, P, S, and Se), and other non-essential metals (Al, Ba, Li, and Sr)) are associated with CSF AD biomarkers that reflect pathological changes in the AD brain (amyloid β1–42, total tau, phosphorylated tau isoforms, NFL, S100B, VILIP-1, YKL-40, PAPP-A, and albumin). We used inductively coupled plasma mass spectroscopy (ICP-MS) to determine macro- and microelements in CSF and plasma, and enzyme-linked immunosorbent assays (ELISA) to determine protein biomarkers of AD in CSF. This study included 193 participants (124 with AD, 50 with mild cognitive impairment, and 19 healthy controls). Simple correlation, as well as machine learning algorithms (redescription mining and principal component analysis (PCA)), demonstrated that levels of heavy metals (As, Cd, Hg, Ni, Pb, and Tl), essential metals (Ca, Co, Cu, Fe, Mg, Mn, Mo, Na, K, and Zn), and essential non-metals (P, S, and Se) are positively associated with CSF phosphorylated tau isoforms, VILIP-1, S100B, NFL, and YKL-40 in AD. Full article
(This article belongs to the Special Issue Neuropathological Advances in Brain Disorders from MNS2023)
Show Figures

Figure 1

14 pages, 1295 KB  
Article
Serum Amyloid Beta Precursor Protein, Neurofilament Light, and Visinin-like Protein-1 in Rugby Players: An Exploratory Study
by Jessica E. Morgan, Sarean A. Gaynor-Metzinger, Steven D. Beck, Iustin C. Scobercea, India J. Austin, Hannah E. Blankenship, Julien S. Baker, Allan Knox, Jorge M. Serrador and Matthew J. Rogatzki
Sports 2022, 10(12), 194; https://doi.org/10.3390/sports10120194 - 29 Nov 2022
Cited by 2 | Viewed by 2994
Abstract
Concussion diagnosis is difficult and may be improved with the addition of a blood-based biomarker that indicates concussion. The purpose of this research was to investigate the capability of serum amyloid beta precursor protein (APP), neurofilament light (NfL), and visinin-like protein-1 (VILIP-1) to [...] Read more.
Concussion diagnosis is difficult and may be improved with the addition of a blood-based biomarker that indicates concussion. The purpose of this research was to investigate the capability of serum amyloid beta precursor protein (APP), neurofilament light (NfL), and visinin-like protein-1 (VILIP-1) to distinguish athletes who were diagnosed with a concussion pitch-side. An observational cross-sectional study design was used to replicate sideline concussion diagnosis. Subjects included mutually exclusive pre-match (n = 9), post-match (n = 15), and SRC (n = 7) groups. Six paired pre-and post-match subjects were analyzed for APP. APP increased significantly from pre-match (mean = 57.98 pg·mL−1, SD = 63.21 pg·mL−1) to post-match (mean = 111.37 pg·mL−1, SD = 106.89 pg·mL−1, p = 0.048) in the paired subjects. NfL was lower in the SRC group (median = 8.71 pg·mL−1, IQR = 6.09 pg·mL−1) compared to the post-match group (median = 29.60 pg·mL−1, IQR = 57.45 pg·mL−1, p < 0.001). VILIP-1 was higher in the post-match group (median = 212.18 pg·mL−1, IQR = 345.00 pg·mL−1) compared to both the pre-match (median = 32.63 pg·mL−1, IQR = 52.24 pg·mL−1), p = 0.001) and SRC (median = 30.21 pg·mL−1, IQR = 47.20 pg·mL−1), p = 0.003) groups. APP, NfL, and VILIP-1 were all able to distinguish between pre-match and post-match groups (AUROC > 0.700) but not from the SRC group (AUROC < 0.660). Our results show that APP, NfL, and VILIP-1 were not helpful in differentiating concussed from non-concussed athletes pitch-side in this study. Full article
(This article belongs to the Special Issue Sports Injury: Prevention and Rehabilitation)
Show Figures

Figure 1

18 pages, 3946 KB  
Article
Lessons from the Cerebrospinal Fluid Analysis of HTLV-1-Infected Individuals: Biomarkers of Inflammation for HAM/TSP Development
by Nicole Lardini Freitas, Yago Côrtes Pinheiro Gomes, Flávia dos Santos Souza, Rafael Carvalho Torres, Juliana Echevarria-Lima, Ana Claudia Celestino Bezerra Leite, Marco Antonio Sales Dantas Lima, Abelardo Queiroz Campos Araújo, Marcus Tulius Teixeira Silva and Otávio de Melo Espíndola
Viruses 2022, 14(10), 2146; https://doi.org/10.3390/v14102146 - 29 Sep 2022
Cited by 12 | Viewed by 3688
Abstract
HTLV-1-associated myelopathy/tropical spastic paraparesis (HAM/TSP) is a neurodegenerative disease that leads to motor impairment due to a chronic inflammatory process in the central nervous system (CNS). However, the HAM/TSP pathogenesis is not completely clear, and biomarkers to define the disease prognosis are still [...] Read more.
HTLV-1-associated myelopathy/tropical spastic paraparesis (HAM/TSP) is a neurodegenerative disease that leads to motor impairment due to a chronic inflammatory process in the central nervous system (CNS). However, the HAM/TSP pathogenesis is not completely clear, and biomarkers to define the disease prognosis are still necessary. Thus, we aimed to identify biomarkers for HAM/TSP and potential mechanisms involved in disease development. To that end, the concentrations of VILIP-1, BDNF, VEGF, β-NGF, TGF-β1, fractalkine/CX3CL1, IL-6, IL-18, and TNF-α, and the soluble forms of TREM-1, TREM-2, and RAGE, were assessed using a multiplex bead-based immunoassay in paired cerebrospinal fluid (CSF) and serum samples from HAM/TSP patients (n = 20), asymptomatic HTLV-1 carriers (AC) (n = 13), and HTLV-1-seronegative individuals (n = 9), with the results analyzed according to the speed of HAM/TSP progression. HAM/TSP patients had elevated fractalkine in the serum but not in the CSF, particularly those with low neuroinflammatory activity (CSF/serum ratio of neopterin <1 and of CXCL10 < 2). HAM/TSP patients with normal CSF levels of neurofilament light chain (NfL) showed elevated β-NGF in serum, and serum BDNF levels were increased in HTLV-1-infected individuals, particularly in HTLV-1 AC. Both HTLV-1 AC and HAM/TSP patients had lower TGF-β1 levels in CSF compared to uninfected individuals, and HAM/TSP patients with active CNS inflammation showed higher CSF levels of IL-18, which correlated with markers of inflammation, neuronal death, and blood–brain-barrier permeability. Although none of the factors evaluated were associated with the speed of HAM/TSP progression, reduced TGF-β1 levels in CSF suggest that suppressive responses to control subclinical and/or active neurodegeneration are impaired, while increased CSF IL-18 indicates the involvement of inflammasome-mediated mechanisms in HAM/TSP development. Full article
(This article belongs to the Special Issue State-of-the-Art HIV and HTLV Research in Latin America)
Show Figures

Figure 1

11 pages, 1836 KB  
Article
Evaluation of Synaptic and Axonal Dysfunction Biomarkers in Alzheimer’s Disease and Mild Cognitive Impairment Based on CSF and Bioinformatic Analysis
by Maciej Dulewicz, Agnieszka Kulczyńska-Przybik, Renata Borawska, Agnieszka Słowik and Barbara Mroczko
Int. J. Mol. Sci. 2022, 23(18), 10867; https://doi.org/10.3390/ijms231810867 - 17 Sep 2022
Cited by 7 | Viewed by 3436
Abstract
Synaptic loss and dysfunction are one of the earliest signs of neurodegeneration associated with cognitive decline in Alzheimer’s disease (AD) and other neurodegenerative diseases. This study aimed to assess the relationships between biological processes of the synaptic pathology underlying AD, molecular functions, and [...] Read more.
Synaptic loss and dysfunction are one of the earliest signs of neurodegeneration associated with cognitive decline in Alzheimer’s disease (AD) and other neurodegenerative diseases. This study aimed to assess the relationships between biological processes of the synaptic pathology underlying AD, molecular functions, and dynamics of the change concentrations of selected proteins reflecting synaptic and axonal pathology in dementia stages. Neurogranin (Ng), neuronal pentraxin receptor (NPTXR), and Visinin-like protein 1 (VILIP1) concentrations were measured in the cerebrospinal fluid (CSF) of MCI, AD, and non-demented controls (CTRL) using quantitative immunological methods. Gene ontology (GO) enrichment analysis was used for the functional analysis of tested proteins. The CSF Aβ42/Ng ratio was significantly different between all the compared groups. The CSF NPTXR/Ng ratio was significantly different between MCI compared to CTRL and AD compared to CTRL. The GO enrichment analysis revealed that two terms (the Biological Process (BP) and Cellular Component (CC) levels) are significantly enriched for NPTXR and Ng but not for VILIP1. Both Ng and NPTXR concentrations in CSF are promising synaptic dysfunction biomarkers for the early diagnosis of the disease. Moreover, both proteins are biochemically associated with classical biomarkers and VILIP-1. Mapping shared molecular and biological functions for the tested proteins by GO enrichment analysis may be beneficial in screening and setting new research targets. Full article
(This article belongs to the Special Issue Molecular Pathogenesis of Alzheimer's Disease 2.0)
Show Figures

Figure 1

20 pages, 2520 KB  
Article
Zinc Modulation of Neuronal Calcium Sensor Proteins: Three Modes of Interaction with Different Structural Outcomes
by Viktoriia E. Baksheeva, Philipp O. Tsvetkov, Arthur O. Zalevsky, Vasiliy I. Vladimirov, Neonila V. Gorokhovets, Dmitry V. Zinchenko, Sergei E. Permyakov, François Devred and Evgeni Yu. Zernii
Biomolecules 2022, 12(7), 956; https://doi.org/10.3390/biom12070956 - 8 Jul 2022
Cited by 10 | Viewed by 4293
Abstract
Neuronal calcium sensors (NCSs) are the family of EF-hand proteins mediating Ca2+-dependent signaling pathways in healthy neurons and neurodegenerative diseases. It was hypothesized that the calcium sensor activity of NCSs can be complemented by sensing fluctuation of intracellular zinc, which could [...] Read more.
Neuronal calcium sensors (NCSs) are the family of EF-hand proteins mediating Ca2+-dependent signaling pathways in healthy neurons and neurodegenerative diseases. It was hypothesized that the calcium sensor activity of NCSs can be complemented by sensing fluctuation of intracellular zinc, which could further diversify their function. Here, using a set of biophysical techniques, we analyzed the Zn2+-binding properties of five proteins belonging to three different subgroups of the NCS family, namely, VILIP1 and neurocalcin-δ/NCLD (subgroup B), recoverin (subgroup C), as well as GCAP1 and GCAP2 (subgroup D). We demonstrate that each of these proteins is capable of coordinating Zn2+ with a different affinity, stoichiometry, and structural outcome. In the absence of calcium, recoverin and VILIP1 bind two zinc ions with submicromolar affinity, and the binding induces pronounced conformational changes and regulates the dimeric state of these proteins without significant destabilization of their structure. In the presence of calcium, recoverin binds zinc with slightly decreased affinity and moderate conformational outcome, whereas VILIP1 becomes insensitive to Zn2+. NCALD binds Zn2+ with micromolar affinity, but the binding induces dramatic destabilization and aggregation of the protein. In contrast, both GCAPs demonstrate low-affinity binding of zinc independent of calcium, remaining relatively stable even at submillimolar Zn2+ concentrations. Based on these data, and the results of structural bioinformatics analysis, NCSs can be divided into three categories: (1) physiological Ca2+/Zn2+ sensor proteins capable of binding exchangeable (signaling) zinc (recoverin and VILIP1), (2) pathological Ca2+/Zn2+ sensors responding only to aberrantly high free zinc concentrations by denaturation and aggregation (NCALD), and (3) Zn2+-resistant, Ca2+ sensor proteins (GCAP1, GCAP2). We suggest that NCS proteins may therefore govern the interconnection between Ca2+-dependent and Zn2+-dependent signaling pathways in healthy neurons and zinc cytotoxicity-related neurodegenerative diseases, such as Alzheimer’s disease and glaucoma. Full article
(This article belongs to the Collection Advances in Metal Binding Proteins)
Show Figures

Graphical abstract

11 pages, 6104 KB  
Communication
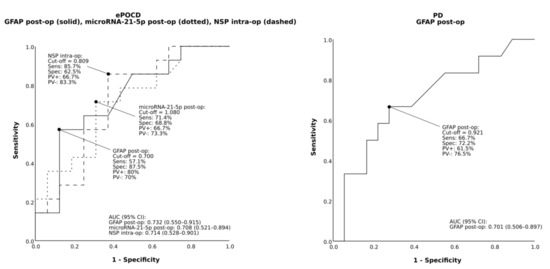
Circulating MicroRNAs and Novel Proteins as Potential Biomarkers of Neurological Complications after Heart Bypass Surgery
by Krzysztof Szwed, Magdalena Szwed, Mariusz Kozakiewicz, Joanna Karłowska-Pik, Natalia Soja-Kukieła, Adrianna Bartoszewska and Alina Borkowska
J. Clin. Med. 2021, 10(14), 3091; https://doi.org/10.3390/jcm10143091 - 13 Jul 2021
Cited by 13 | Viewed by 2815
Abstract
Postoperative recovery can be impaired by many conditions, some of which are difficult to diagnose clinically. These include type 2 neurological complications such as hypoactive subtype of postoperative delirium (PD) and early postoperative cognitive dysfunction (ePOCD). Hope for their timely detection may lie [...] Read more.
Postoperative recovery can be impaired by many conditions, some of which are difficult to diagnose clinically. These include type 2 neurological complications such as hypoactive subtype of postoperative delirium (PD) and early postoperative cognitive dysfunction (ePOCD). Hope for their timely detection may lie with novel biomarkers. Plasma concentrations of microRNA-1-3p, microRNA-21-5p, glial fibrillary acidic protein (GFAP), neuroserpin (NSP), phosphorylated axonal neurofilament subunit H (pNfH) and visinin-like protein 1 (VILIP-1) were investigated in 30 patients undergoing elective off-pump coronary artery bypass grafting. Blood samples were collected at the start and end of a surgery as well as 24 h postoperatively. Associations between the studied biomarkers’ perioperative expression and type 2 neurological complications were analyzed. PD was associated with postoperative expression of GFAP; ePOCD was associated with postoperative expression of microRNA-21-5p and GFAP as well as intraoperative expression of NSP. The predictive accuracy of these molecules was found acceptable, with all their areas under the curve (AUC) values above 0.7. Multivariable regression indicated that microRNA-21-5p, GFAP and NSP were the only significant predictors of ePOCD. Evaluation of a multi-marker model including these three molecules revealed its outstanding predictive accuracy for ePOCD (AUC = 0.95). The use of microRNA-21-5p, GFAP and NSP for monitoring postoperative recovery warrants further research considering their potential to predict PD and ePOCD. Full article
(This article belongs to the Section Clinical Laboratory Medicine)
Show Figures

Figure 1

56 pages, 2200 KB  
Review
Cerebrospinal Fluid Biomarkers of Alzheimer’s Disease: Current Evidence and Future Perspectives
by Donovan A. McGrowder, Fabian Miller, Kurt Vaz, Chukwuemeka Nwokocha, Cameil Wilson-Clarke, Melisa Anderson-Cross, Jabari Brown, Lennox Anderson-Jackson, Lowen Williams, Lyndon Latore, Rory Thompson and Ruby Alexander-Lindo
Brain Sci. 2021, 11(2), 215; https://doi.org/10.3390/brainsci11020215 - 10 Feb 2021
Cited by 115 | Viewed by 17442
Abstract
Alzheimer’s disease is a progressive, clinically heterogeneous, and particularly complex neurodegenerative disease characterized by a decline in cognition. Over the last two decades, there has been significant growth in the investigation of cerebrospinal fluid (CSF) biomarkers for Alzheimer’s disease. This review presents current [...] Read more.
Alzheimer’s disease is a progressive, clinically heterogeneous, and particularly complex neurodegenerative disease characterized by a decline in cognition. Over the last two decades, there has been significant growth in the investigation of cerebrospinal fluid (CSF) biomarkers for Alzheimer’s disease. This review presents current evidence from many clinical neurochemical studies, with findings that attest to the efficacy of existing core CSF biomarkers such as total tau, phosphorylated tau, and amyloid-β (Aβ42), which diagnose Alzheimer’s disease in the early and dementia stages of the disorder. The heterogeneity of the pathophysiology of the late-onset disease warrants the growth of the Alzheimer’s disease CSF biomarker toolbox; more biomarkers showing other aspects of the disease mechanism are needed. This review focuses on new biomarkers that track Alzheimer’s disease pathology, such as those that assess neuronal injury (VILIP-1 and neurofilament light), neuroinflammation (sTREM2, YKL-40, osteopontin, GFAP, progranulin, and MCP-1), synaptic dysfunction (SNAP-25 and GAP-43), vascular dysregulation (hFABP), as well as CSF α-synuclein levels and TDP-43 pathology. Some of these biomarkers are promising candidates as they are specific and predict future rates of cognitive decline. Findings from the combinations of subclasses of new Alzheimer’s disease biomarkers that improve their diagnostic efficacy in detecting associated pathological changes are also presented. Full article
(This article belongs to the Special Issue Cerebrospinal Fluid Biomarkers in Dementia Disorders)
Show Figures

Figure 1

19 pages, 5987 KB  
Review
Neurogranin and VILIP-1 as Molecular Indicators of Neurodegeneration in Alzheimer’s Disease: A Systematic Review and Meta-Analysis
by Maciej Dulewicz, Agnieszka Kulczyńska-Przybik and Barbara Mroczko
Int. J. Mol. Sci. 2020, 21(21), 8335; https://doi.org/10.3390/ijms21218335 - 6 Nov 2020
Cited by 31 | Viewed by 4377
Abstract
Neurogranin (Ng) and visinin-like protein 1 (VILIP-1) are promising candidates for Alzheimer’s Disease (AD) biomarkers closely related to synaptic and neuronal degeneration. Both proteins are involved in calcium-mediated pathways. The meta-analysis was performed in random effects based on the ratio of means (RoM) [...] Read more.
Neurogranin (Ng) and visinin-like protein 1 (VILIP-1) are promising candidates for Alzheimer’s Disease (AD) biomarkers closely related to synaptic and neuronal degeneration. Both proteins are involved in calcium-mediated pathways. The meta-analysis was performed in random effects based on the ratio of means (RoM) with calculated pooled effect size. The diagnostic utility of these proteins was examined in cerebrospinal fluid (CSF) of patients in different stages of AD compared to control (CTRL). Ng concentration was also checked in various groups with positive (+) and negative (-) amyloid beta (Aβ). Ng highest levels of RoM were observed in the AD (n = 1894) compared to CTRL (n = 2051) group (RoM: 1.62). Similarly, the VILIP-1 highest values of RoM were detected in the AD (n = 706) compared to CTRL (n = 862) group (RoM: 1.34). Concentrations of both proteins increased in more advanced stages of AD. However, Ng seems to be an earlier biomarker for the assessment of cognitive impairment. Ng appears to be related with amyloid beta, and the highest levels of Ng in CSF was observed in the group with pathological Aβ+ status. Our meta-analysis confirms that Ng and VILIP-1 can be useful CSF biomarkers in differential diagnosis and monitoring progression of cognitive decline. Although, an additional advantage of the protein concentration Ng is the possibility of using it to predict the risk of developing cognitive impairment in normal controls with pathological levels of Aβ1-42. Analyses in larger cohorts are needed, particularly concerning Aβ status. Full article
(This article belongs to the Special Issue Molecular Biomarkers of Selected Diseases of Civilization)
Show Figures

Figure 1

Back to TopTop