Sign in to use this feature.

Years

Between: -

Subjects

remove_circle_outline
remove_circle_outline
remove_circle_outline

Journals

Article Types

Countries / Regions

Search Results (6)

Search Parameters:
Keywords = ULX

Order results
Result details
Results per page
Select all
Export citation of selected articles as:
5 pages, 298 KB  
Article
SS 433: Flares and L2 Overflow Spirals
by Michael Bowler
Galaxies 2024, 12(4), 40; https://doi.org/10.3390/galaxies12040040 - 18 Jul 2024
Viewed by 1402
Abstract
Flaring in the SS 433 microquasar is dominated by outbursts from material at distances from the centre of mass of the binary system comparable to the separation of the two components. This note completes a demonstration that ejected plasma leaves the system in [...] Read more.
Flaring in the SS 433 microquasar is dominated by outbursts from material at distances from the centre of mass of the binary system comparable to the separation of the two components. This note completes a demonstration that ejected plasma leaves the system in the region of the L2 point, there overflowing the outer Roche lobe and giving rise to a spiral structure as it leaves the system as part of the local environment. It also provides a new measure of the mass ratio of the binary. Full article
Show Figures

Figure 1

14 pages, 1005 KB  
Article
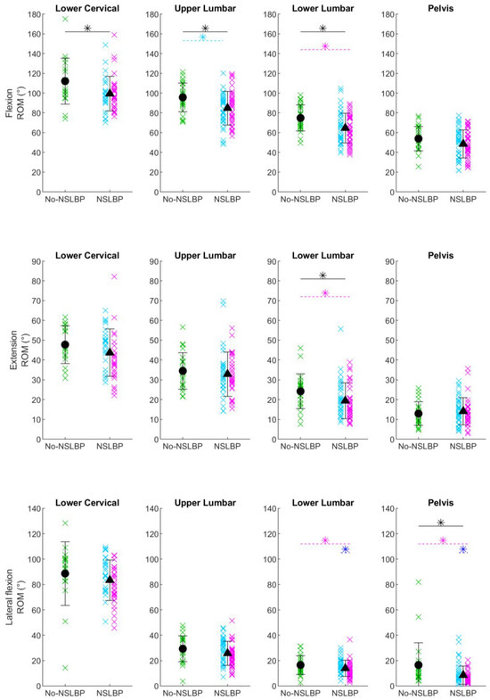
Assessment of Spinal and Pelvic Kinematics Using Inertial Measurement Units in Clinical Subgroups of Persistent Non-Specific Low Back Pain
by Liba Sheeran, Mohammad Al-Amri, Valerie Sparkes and Jennifer L. Davies
Sensors 2024, 24(7), 2127; https://doi.org/10.3390/s24072127 - 26 Mar 2024
Cited by 13 | Viewed by 4056
Abstract
Inertial measurement units (IMUs) offer a portable and quantitative solution for clinical movement analysis. However, their application in non-specific low back pain (NSLBP) remains underexplored. This study compared the spine and pelvis kinematics obtained from IMUs between individuals with and without NSLBP and [...] Read more.
Inertial measurement units (IMUs) offer a portable and quantitative solution for clinical movement analysis. However, their application in non-specific low back pain (NSLBP) remains underexplored. This study compared the spine and pelvis kinematics obtained from IMUs between individuals with and without NSLBP and across clinical subgroups of NSLBP. A total of 81 participants with NSLBP with flexion (FP; n = 38) and extension (EP; n = 43) motor control impairment and 26 controls (No-NSLBP) completed 10 repetitions of spine movements (flexion, extension, lateral flexion). IMUs were placed on the sacrum, fourth and second lumbar vertebrae, and seventh cervical vertebra to measure inclination at the pelvis, lower (LLx) and upper (ULx) lumbar spine, and lower cervical spine (LCx), respectively. At each location, the range of movement (ROM) was quantified as the range of IMU orientation in the primary plane of movement. The ROM was compared between NSLBP and No-NSLBP using unpaired t-tests and across FP-NSLBP, EP-NSLBP, and No-NSLBP subgroups using one-way ANOVA. Individuals with NSLBP exhibited a smaller ROM at the ULx (p = 0.005), LLx (p = 0.003) and LCx (p = 0.01) during forward flexion, smaller ROM at the LLx during extension (p = 0.03), and a smaller ROM at the pelvis during lateral flexion (p = 0.003). Those in the EP-NSLBP group had smaller ROM than those in the No-NSLBP group at LLx during forward flexion (Bonferroni-corrected p = 0.005), extension (p = 0.013), and lateral flexion (p = 0.038), and a smaller ROM at the pelvis during lateral flexion (p = 0.005). Those in the FP-NSLBP subgroup had smaller ROM than those in the No-NSLBP group at the ULx during forward flexion (p = 0.024). IMUs detected variations in kinematics at the trunk, lumbar spine, and pelvis among individuals with and without NSLBP and across clinical NSLBP subgroups during flexion, extension, and lateral flexion. These findings consistently point to reduced ROM in NSLBP. The identified subgroup differences highlight the potential of IMU for assessing spinal and pelvic kinematics in these clinically verified subgroups of NSLBP. Full article
(This article belongs to the Section Physical Sensors)
Show Figures

Figure 1

20 pages, 3718 KB  
Article
A Long-Term Study of Ultraluminous X-ray Sources in NGC 891
by Nicholas M. Earley , Vikram V. Dwarkadas  and Victoria Cirillo 
Universe 2022, 8(1), 18; https://doi.org/10.3390/universe8010018 - 29 Dec 2021
Cited by 3 | Viewed by 2518
Abstract
We perform empirical fits to the Chandra and XMM-Newton spectra of three ultraluminous X-ray sources (ULXs) in the edge-on spiral galaxy NGC 891, monitoring the region over a 17-year time window. One of these sources was visible since the early 1990s with ROSAT [...] Read more.
We perform empirical fits to the Chandra and XMM-Newton spectra of three ultraluminous X-ray sources (ULXs) in the edge-on spiral galaxy NGC 891, monitoring the region over a 17-year time window. One of these sources was visible since the early 1990s with ROSAT and was observed multiple times with Chandra and XMM-Newton. Another was visible since 2011. We build upon prior analyses of these sources by analyzing all available data at all epochs. Where possible Chandra data is used, since its superior spatial resolution allows for more effective isolation of the emission from each individual source, thus providing a better determination of their spectral properties. We also identify a new transient ULX, CXOU J022230.1+421937, which faded from view over the course of a two month period from Nov 2016 to Jan 2017. Modeling of each source at every epoch was conducted using six different models ranging from thermal bremsstrahlung to accretion disk models. Unfortunately, but as is common with many ULXs, no single model yielded a much better fit than the others. The two known sources had unabsorbed luminosities that remained fairly consistent over five or more years. Various possibilities for the new transient ULX are explored. Full article
(This article belongs to the Section Compact Objects)
Show Figures

Figure 1

14 pages, 11574 KB  
Article
The Origin of Intergalactic Light in Compact Groups of Galaxies
by Mark J. Henriksen
Universe 2021, 7(8), 303; https://doi.org/10.3390/universe7080303 - 16 Aug 2021
Cited by 2 | Viewed by 2885
Abstract
We investigate the origin of intergalactic light (IGL) in close groups of galaxies. IGL is hypothesized to be the byproduct of interaction and merger within compact groups. Comparing the X-ray point source population in our sample of compact groups that have intergalactic light [...] Read more.
We investigate the origin of intergalactic light (IGL) in close groups of galaxies. IGL is hypothesized to be the byproduct of interaction and merger within compact groups. Comparing the X-ray point source population in our sample of compact groups that have intergalactic light with compact groups without IGL, we find marginal evidence for a small increase in ultra-luminous X-ray sources (ULXs). There is also a significant bias towards lower luminosity high mass X-ray binaries (HMXRBs). We interpret this as an indication that groups with visible IGL represent a later evolutionary phase than other compact groups. They have galaxies characterized by quenching of star formation (lower star formation rate (SFR) inferred from lower HMXRB luminosity) after stellar material has been removed from the galaxies into the intergalactic medium, which is the source of the IGL. We conclude that the presence of an increased fraction of ULXs is due to past interaction and mergers within groups that have IGL. Full article
Show Figures

Figure 1

21 pages, 631 KB  
Article
Variable Magellanic HMXB Sources versus Variable ULX Sources: Nothing to Brag about the ULX Sources
by Dimitris M. Christodoulou, Silas G. T. Laycock, Rigel Cappallo, Ankur Roy, Sayantan Bhattacharya  and Demosthenes Kazanas
Galaxies 2020, 8(4), 70; https://doi.org/10.3390/galaxies8040070 - 24 Sep 2020
Viewed by 3734
Abstract
We carry out a meta-analysis of ultraluminous X-ray (ULX) sources that show large variabilities (by factors of >10) between their highest and lowest emission states in the X-ray energy range of 0.3–10 keV. We are guided by a recent stringent compilation [...] Read more.
We carry out a meta-analysis of ultraluminous X-ray (ULX) sources that show large variabilities (by factors of >10) between their highest and lowest emission states in the X-ray energy range of 0.3–10 keV. We are guided by a recent stringent compilation of 25 such X-ray sources by Song et al. We examine the relation of logN versus logSmax, where N is the number of sources radiating above the maximum-flux level Smax. We find a strong deviation from all previously determined slopes in various high-mass X-ray binary (HMXB) samples. In fact, the ULX data clearly show a slope of 0.91. Thus, ULX sources do not appear to be uniform and isotropic in our Universe. We compare the ULX results against the local X-ray luminosity function of HMXBs in the Small Magellanic Cloud (SMC) constructed from our latest library that includes 41 Chandra 0.3–8 keV sources and 56 XMM-Newton 0.2–12 keV sources. The ULX data are not drawn from the same continuous distribution as the SMC data (the ULX data peak at the low tails of the SMC distributions), and none of our data sets is drawn from a normal distribution or from a log-normal distribution (they all show marked excesses at both tails). At a significance level of α=0.05 (2σ), the two-sample p-value of the Kolmogorov–Smirnov (KS) test gives p=4.7×103<α for the ULX versus the small Chandra sample and p=1.1×105<<α for the ULX versus the larger XMM-Newton sample, respectively. This adds to the evidence that ULX sources are not simply the higher end of the known local Be/X-ray pulsar distribution, but they represent a class of X-ray sources different from the young sources found in the SMC and in individual starburst galaxies. On the other hand, our two main SMC data sets are found to be statistically consistent, as they are drawn from the same continuous parent distribution (null hypothesis H0): at the α=0.05 significance level, the two-sample KS test shows an asymptotic p-value of 0.308>α, which tells us to accept H0. Full article
Show Figures

Figure 1

16 pages, 7299 KB  
Review
From SN 2010da to NGC 300 ULX-1: Ten Years of Observations of an Unusual High Mass X-Ray Binary in NGC 300
by Breanna A. Binder, Stefania Carpano, Marianne Heida and Ryan Lau
Galaxies 2020, 8(1), 17; https://doi.org/10.3390/galaxies8010017 - 18 Feb 2020
Cited by 6 | Viewed by 6966
Abstract
In May 2010, an intermediate luminosity optical transient was discovered in the nearby galaxy NGC 300 by a South African amateur astronomer. In the decade since its discovery, multi-wavelength observations of the misnamed “SN 2010da” have continually reshaped our understanding of this high [...] Read more.
In May 2010, an intermediate luminosity optical transient was discovered in the nearby galaxy NGC 300 by a South African amateur astronomer. In the decade since its discovery, multi-wavelength observations of the misnamed “SN 2010da” have continually reshaped our understanding of this high mass X-ray binary system. In this review, we present an overview of the multi-wavelength observations and attempt to understand the 2010 transient event, and later, the reclassification of this system as NGC 300 ULX-1: a red supergiant + neutron star ultraluminous X-ray source. Full article
Show Figures

Figure 1

Back to TopTop