The Origin of Intergalactic Light in Compact Groups of Galaxies
Abstract
1. Introduction
2. Data and Methods
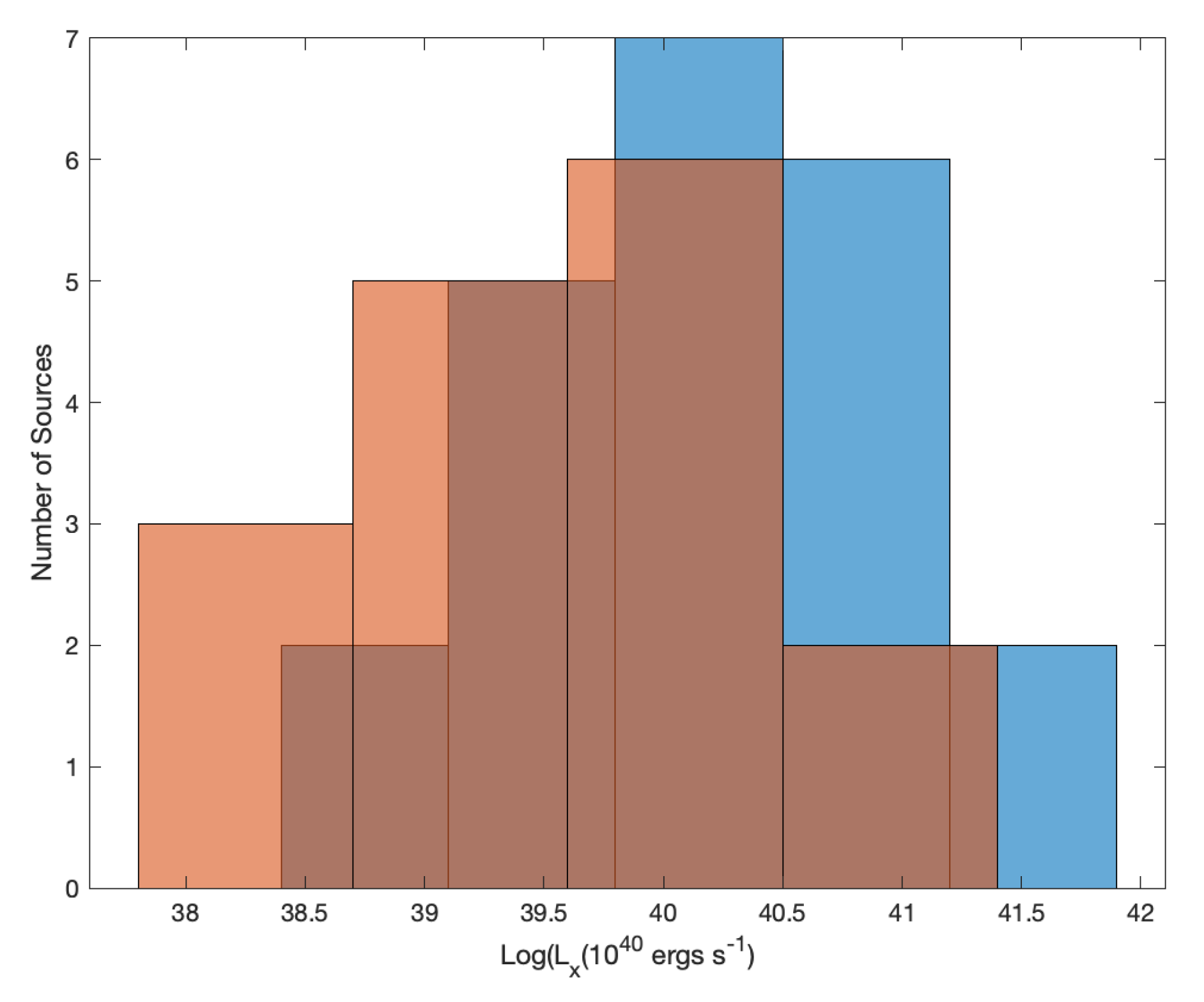
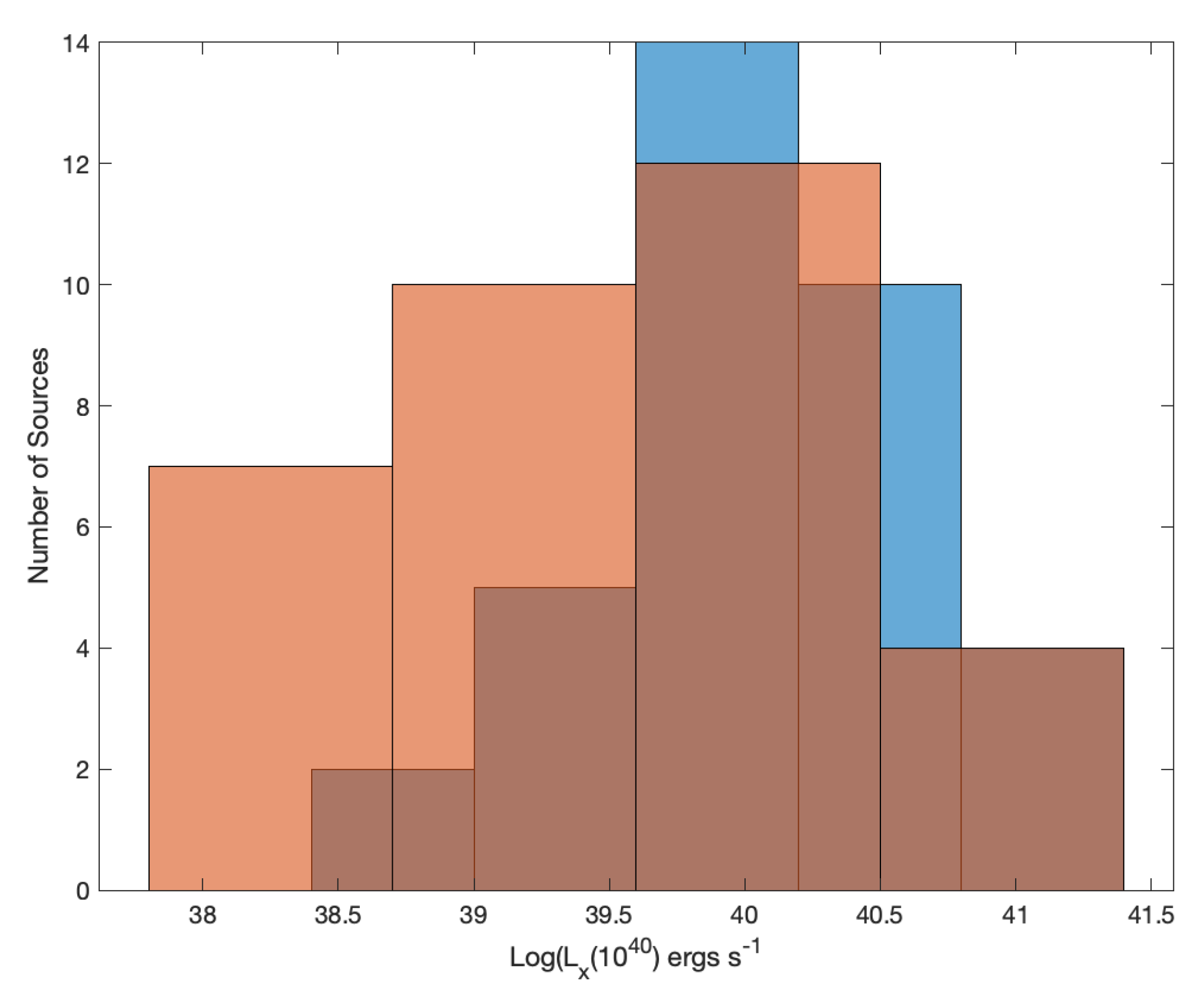
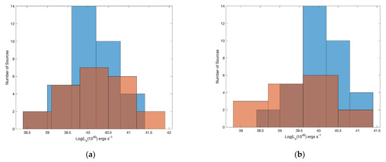
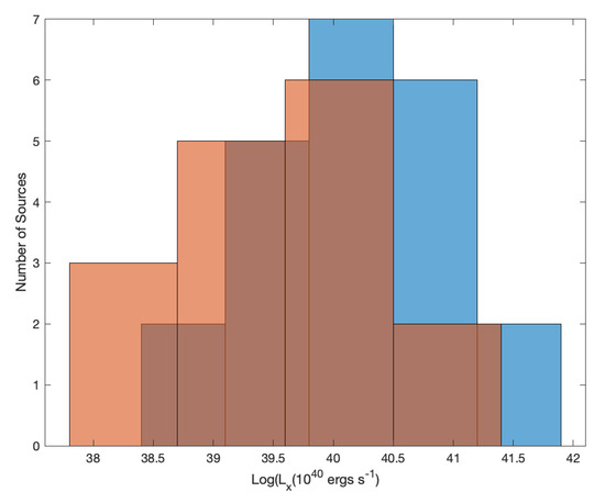
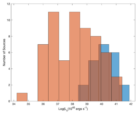
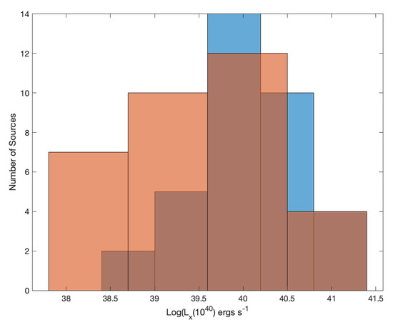
3. Results
The NGC 5153 Group: A Close Pair within a Group
4. Discussion
5. Conclusions
Funding
Data Availability Statement
Conflicts of Interest
References
- Sulentic, J.W.; Lorre, J.J. Two discordant redshift pairs of galaxies. Astrophys. J. 1983, 120, 36. [Google Scholar]
- Ponman, T.J.; Bertram, D. Hot gas and dark matter in a compact galaxy group. Nature 1993, 363, 51–54. [Google Scholar] [CrossRef]
- Ponman, T.J.; Allan, D.J.; Jones, L.R.; Merrifield, M.; McHardy, I.M.; Lehto, H.J.; Luppino, G.A. A possible fossil galaxy group. Nature 1994, 69, 462–464. [Google Scholar] [CrossRef]
- Voevodkin, A.; Borozdin, K.; Heitmann, K.; Habib, S.; Vikhlinin, A.; Meshcheryakov, A.; Hornstrup, A.; Burenin, R. Fossil Systems in the 400d Cluster Catalog. Astrophys. J. 2010, 708, 1376–1389. [Google Scholar] [CrossRef]
- Jones, L.R.; Ponman, T.J.; Horton, A.; Babul, A.; Ebeling, H.; Burke, D. The nature and space density of fossil groups of galaxies. Mon. Not. R. Astron. Soc. 2003, 343, 627–638. [Google Scholar] [CrossRef]
- Vikhlinin, A.; McNamara, B.R.; Hornstrup, A.; Quintana, H.; Forman, W.; Jones, C.; Way, M. X-Ray Overluminous Elliptical Galaxies: A New Class of Mass Concentrations in the Universe? Astrophys. J. 1999, 520, L1–L4. [Google Scholar] [CrossRef][Green Version]
- Mineo, S.; Gilfanov, M.; Lehmer, B.D.; Morrison, G.E.; Sunyaev, R. X-ray Emission from Star-forming Galaxies—III. Calibration of the Lx—SFR Relation to Redshift z ~ 1.3. Mon. Not. R. Astron. Soc. 2014, 437, 1698–1707. [Google Scholar] [CrossRef]
- Hickson, P. Systematic properties of compact groups of galaxies. Astrophys. J. 1982, 255, 382–391. [Google Scholar] [CrossRef]
- Verdes-Montenegro, L.; Yun, M.S.; Williams, B.A.; Huchtmeier, W.K.; Del Olmo, A.; Perea, J. Where is all of the neutral Hydrogen gas in Hickson groups? Astron. Astrophys. 2001, 377, 812–826. [Google Scholar] [CrossRef]
- Mendes de Oliveira, C.; Giraud, E. Lensing by compact groups of galaxies. Astrophys. J. 1994, 437, L103–L106. [Google Scholar] [CrossRef]
- Iovino, A. Detecting Fainter Compact Groups: Results from a New Automated Algorithm. Astron. J. 2002, 124, 2471–2489. [Google Scholar] [CrossRef]
- Temple, R.F.; Raychaudhury, S.; Stevens, I.R. X-ray observations of the edge-on star-forming galaxy NGC 891 and its supernova SN1986J. Mon. Not. R. Astron. Soc. 2005, 362, 581–591. [Google Scholar] [CrossRef][Green Version]
- Sulentic, J. (CSIC, Instituto de Astrofisica de Andalucia, Granada Spain). Personal Communication, 2014.
- Nishiura, S.; Shioya, Y.; Taniguchi, Y. Multi-band Deep Optical Imaging of the Hickson Compact Groups. San Francisco: Astronomical Society of the Pacific Conference Series. 2003, Volume 301, pp. 543–547. Available online: http://www.garfield.library.upenn.edu/histcomp/faber-sm_citing/node/8091.html (accessed on 14 April 2021).
- Da Rocha, C.; Mendes de Oliveira, C. Intragroup diffuse light in compact groups of galaxies: HCG 79,88,95. Mon. Not. R. Astron. Soc. 2005, 364, 1069. [Google Scholar] [CrossRef][Green Version]
- Da Rocha, C.; Ziegler, B.L.; Mendes de Oliveira, C. Intragroup diffuse light in compact groups of galaxies—II. HCG 15, 35 and 51. Mon. Not. R. Astron. Soc. 2008, 388, 1433–1443. [Google Scholar] [CrossRef]
- Aguerri, J.A.L.; Castro-Rodríguez, N.; Napolitano, N.R.; Arnaboldi, M.; Gerhard, O. Diffuse light in Hickson compact groups: The dynamically young system HCG 44. Astron. Astrophys. 2006, 457, 771–778. [Google Scholar] [CrossRef][Green Version]
- Ptak, A.; Griffiths, R. XAssist: A System for the Automation of X-ray Astrophysics Analysis. Payne, H.E., Jedrzejewski, R.I., Hook, R.N., Eds.; Astronomical Data Analysis Software and Systems XII, San Francisco: Astronomical Society of the Pacific Conference Series. 2003, Volume 295. Available online: https://www.adass.org/adass/proceedings/adass02/ (accessed on 14 April 2021).
- Coziol, R.; Plauchu-Frayn, I. Evidence for Tidal Interaction and Merger as the Origin of Galaxy Morphology Evolution in Compact Groups. Astron. J. 2007, 133, 2630–2642. [Google Scholar] [CrossRef]
- Henriksen, M.; Cousineau, S. An X-ray Survey of Galaxies in Pairs. Astrophys. J. 1999, 511, 595–611. [Google Scholar] [CrossRef][Green Version]
- Tzanavaris, P.; Hornschemeier, A.E.; Gallagher, S.C.; Lenkić, L.; Desjardins, T.D.; Walker, L.M.; Johnson, K.E.; Mulchaey, J.S. Exploring X-ray Binary Populations in Compact Groups of Galaxies with Chandra. Astrophys. J. 2016, 817, 95–109. [Google Scholar] [CrossRef]
- Grier, C.J.; Mathur, S.; Ghosh, H.; Ferrarese, L. Discovery of Nuclear X-ray Sources in Sings Galaxies. Astrophys. J. 2011, 731, 60–72. [Google Scholar] [CrossRef]
- Rudick, C.S.; Mihos, C.; Frey, L.; McBride, C.K. Tidal Streams of Intracluster Light. Astrophys. J. 2009, 699, 1518–1529. [Google Scholar] [CrossRef]
- Conroy, C.; Wechsler, R.H.; Kravtsov, A.V. Hierarchical Build-Up of Massive Galaxies and the Intracluster Light since z = 1. Astrophys. J. 2007, 668, 826–838. [Google Scholar] [CrossRef]
- McIntosh, D.H.; Wagner, C.; Cooper, A.; Bell, E.F.; Kereš, D.; Bosch, F.C.V.D.; Gallazzi, A.; Haines, T.; Mann, J.; Pasquali, A.; et al. A new population of recently quenched elliptical galaxies in the SDSS. Mon. Not. R. Astron. Soc. 2014, 442, 533–557. [Google Scholar] [CrossRef]
- Furnell, K.E.; Collins, C.A.; Kelvin, L.S.; Baldry, I.K.; James, P.A.; Manolopoulou, M.; Mann, R.G.; Giles, P.A.; Bermeo, A.; Hilton, M.; et al. The growth of intracluster light in XCS-HSC galaxy clusters from 0.1 < z < 0.5. Mon. Not. R. Astron. Soc. 2021, 502, 2419–2437. [Google Scholar] [CrossRef]
- Poliakov, D.; Mosenkov, A.V.; Brosch, N.; Koriski, S.; Rich, R.M. Quantified diffuse light in compact groups. Mon. Not. R. Astron. Soc. 2021, 503, 6059–6077. [Google Scholar] [CrossRef]
- Eckert, D.; Jauzac, M.; Shan, H.; Kneib, J.P.; Erben, T.; Israel, H.; Jullo, E.; Klein, M.; Massey, R.; Richard, J.; et al. Warm-hot baryons comprise 5-10 per-cent of filaments in the cosmic web. Nature 2015, 528, 105–107. [Google Scholar] [CrossRef]
- Stocke, J.T.; Keeney, B.A.; Danforth, C.W.; Oppenheimer, B.D.; Pratt, C.T.; Berlind, A.A. The Warm Circumgalactic Medium: 105−6K Gas Associated with a Single Galaxy Halo or with an Entire Group of Galaxies? Astrophys. J. 2017, 838, 37. [Google Scholar] [CrossRef]
- Bonamente, M.; Joy, M.K.; Lieu, R. A Massive Warm Baryonic Halo in the Coma Cluster. Astrophys. J. 2003, 585, 722–729. [Google Scholar] [CrossRef]
- Cen, R.; Ostriker, J. Where Are the Baryons? Astrophys. J. 1999, 514, 1–6. [Google Scholar] [CrossRef]
- Davé, R.; Hernquist, L.; Katz, N.; Weinberg, D.H. The low redshift Ly alpha forest in cold dark matter cosmologies. Astrophys. J. 1999, 511, 521–545. [Google Scholar] [CrossRef][Green Version]














| Group—Source | Distance (Mpc) | Z | Counts | Error | Flux 10−14 erg cm−2 s−1 | Lx (1040) ergs s−1 | Location |
|---|---|---|---|---|---|---|---|
| HCG 16-1 | 54.66 | 0.0132 | 152.94 | 13.38 | 7.80 | 2.71 | Core |
| HCG 16-2 | - | - | 69.95 | 16.89 | 3.73 | 1.29 | Disk |
| HCG 16-3 | - | - | 99.25 | 15.61 | 4.98 | 1.73 | Disk |
| HCG 16-4 | - | - | 242.74 | 22.82 | 12.0 | 4.16 | Core |
| HCG 16-5 | - | - | 229.45 | 15.72 | 11.6 | 4.02 | Core |
| SCG0121-3521-1 | 28.48 | 6.00 | 3.87 | - | |||
| SCG0121-3521-2 | 12.67 | 3.56 | 1.29 | - | |||
| SCG0121-3521-3 | 3.95 | 2.00 | 0.42 | - | |||
| SCG0121-3521-4 | 31.65 | 6.34 | 4.06 | - | |||
| SCG0121-3521-4 | 50.87 | 8.08 | 3.51 | - | |||
| SCG0121-3521-4 | 627.74 | 25.79 | 38.5 | - | |||
| SCG0121-3521-4 | 104.05 | 10.20 | 2630. | - | |||
| SCG2345-2824-1 | 139.65 | 14.28 | 4.18 | - | |||
| SCG2345-2824-1 | 144.08 | 17.52 | 4.80 | - | |||
| SCG2345-2824-2 | 163.89 | 21.83 | 5.39 | - | |||
| SCG2345-2824-3 | 31.81 | 6.48 | 1.11 | - | |||
| HCG 40-1 | 103.63 | 0.0223 | 17.98 | 3.49 | 0.56 | 0.713 | Core |
| HCG 40-2 | - | - | 4.29 | 2.24 | 0.20 | 0.253 | Disk |
| HCG 40-3 | - | - | 7.00 | 3.00 | 0.15 | 0.188 | Core |
| HCG 40-4 | - | - | 6.21 | 3.22 | 0.34 | 0.429 | Core |
| HCG 40-5 | - | - | 82.92 | 5.91 | 2.20 | 2.79 | Core |
| HCG 6-1 | 162.69 | 0.0379 | 0.0034 | 0.0004 | 0.53 | 1.70 | Disk |
| HCG 6-2 | - | - | 0.028 | 0.0015 | 2.66 | 8.60 | Disk |
| Group | Distance (Mpc) | Z | Counts | Error | Flux 10−14 erg cm−2 s−1 | Lx(x1040) ergs s−1 | Location |
|---|---|---|---|---|---|---|---|
| HCG 15-1 | 97 | 0.0228 | 80.88 | 14.42 | 1.50 | 1.67 | Disk |
| HCG 15-2 | - | - | 1108.82 | 49.98 | 35.0 | 38.86 | Core |
| HCG 35 | - | - | - | - | - | - | |
| HCG 44-1 | 25 | 0.0046 | 88.98 | 7.27 | 4.56 | 0.33 | Core |
| HCG 44-2 | - | - | 54.30 | 3.26 | 3.14 | 0.22 | Disk |
| HCG 44-3 | - | - | 62.28 | 8.45 | 11.3 | 0.81 | Core |
| HCG 51-1 | 118 | 0.0258 | 242.94 | 12.82 | 3.26 | 5.40 | Core |
| HCG 51-2 | - | - | 9.38 | 5.89 | 0.51 | 0.85 | Disk |
| HCG 51-3 | - | - | 34.33 | 10.27 | 7.12 | 11.80 | Disk |
| HCG 51-4 | - | - | 44.65 | 5.37 | 1.30 | 2.15 | Core |
| HCG 79-1 | 65 | 0.0145 | 64.1 | 8.8 | 0.31 | 0.225 | Core |
| HCG 79-2 | - | - | 12.91 | 5.09 | 0.38 | 0.273 | Disk |
| HCG 79-3 | - | - | 9.6 | 3.3 | 0.69 | 0.503 | Core |
| HCG 79-4 | - | - | 12.17 | 5.32 | 0.18 | 0.078 | Disk |
| HCG 88 | - | - | - | - | - | - | |
| HCG 90-1 | 34.87 | 0.0088 | 45362.5 | 216.22 | 2960. | 414.25 | Core |
| HCG 90-2 | - | - | 58.26 | 8.35 | 0.20 | 0.029 | Disk |
| HCG 90-3 | - | - | 92.59 | 12.47 | 1.21 | 0.169 | Disk |
| HCG 90-4 | - | - | 23.38 | 5.20 | 0.19 | 0.027 | Core |
| HCG 90-5 | - | - | 13.61 | 3.69 | 0.18 | 0.025 | Disk |
| HCG 90-6 | - | - | 19.39 | 5.02 | 0.86 | 0.120 | Core |
| HCG 90-7 | - | - | 7.46 | 2.83 | 0.21 | 0.030 | Disk |
| HCG 90-8 | - | - | 5.68 | 2.45 | 5.21 | 0.729 | Disk |
| HCG 90-9 | - | - | 6.29 | 2.65 | 4.88 | 0.683 | Core |
| HCG 94-1 | 179.03 | 0.0417 | 26.36 | 5.62 | 3.85 | 15.14 | Core |
| HCG 94-2 | - | - | 49.26 | 8.69 | 6.88 | 27.05 | Core |
| HCG 95-1 | 169.64 | 0.0396 | 0.0033 | 0.0004 | 0.32 | 1.16 | Core |
| HCG 95-2 | - | - | 0.0056 | 0.0005 | 1.55 | 5.43 | Core |
| HCG 95-3 | - | - | 0.029 | 0.0014 | 3.41 | 11.96 | Core |
| Galaxy | Counts | Error | Flux (×10−14) | Lx (1039) |
|---|---|---|---|---|
| NGC 5152-1 | 36.27 | 6.85 | 2.09 | 8.28 |
| NGC 5153-2 | 5.50 | 2.45 | 0.31 | 1.68 |
| NGC 5153-3 | 28.64 | 5.53 | 1.65 | 8.87 |
| NGC 5150-4 | 27.57 | 5.25 | 1.79 | 7.87 |
| Sample | Mean X-ray Luminosity (1040 erg s−1) | Second Test Sample | Kolmogorov-Smirnov Test (Probability of Difference) |
|---|---|---|---|
| IGL | 4.06 | CG | 61% |
| IGL Core | 5.68 | - | - |
| IGL Disk | 1.85 | IGL Core | 89% |
| CG | 2.45 | IGL Disk | 94.4% |
| CG | - | IGL Core | 53% |
| SINGS Nuclear | 0.80 | IGL core | >99.9% |
Publisher’s Note: MDPI stays neutral with regard to jurisdictional claims in published maps and institutional affiliations. |
© 2021 by the author. Licensee MDPI, Basel, Switzerland. This article is an open access article distributed under the terms and conditions of the Creative Commons Attribution (CC BY) license (https://creativecommons.org/licenses/by/4.0/).
Share and Cite
Henriksen, M.J. The Origin of Intergalactic Light in Compact Groups of Galaxies. Universe 2021, 7, 303. https://doi.org/10.3390/universe7080303
Henriksen MJ. The Origin of Intergalactic Light in Compact Groups of Galaxies. Universe. 2021; 7(8):303. https://doi.org/10.3390/universe7080303
Chicago/Turabian StyleHenriksen, Mark J. 2021. "The Origin of Intergalactic Light in Compact Groups of Galaxies" Universe 7, no. 8: 303. https://doi.org/10.3390/universe7080303
APA StyleHenriksen, M. J. (2021). The Origin of Intergalactic Light in Compact Groups of Galaxies. Universe, 7(8), 303. https://doi.org/10.3390/universe7080303