Due to scheduled maintenance work on our servers, there may be short service disruptions on this website between 11:00 and 12:00 CEST on March 28th.
Sign in to use this feature.

Years

Between: -

Subjects

remove_circle_outline
remove_circle_outline
remove_circle_outline
remove_circle_outline
remove_circle_outline
remove_circle_outline
remove_circle_outline
remove_circle_outline
remove_circle_outline

Journals

remove_circle_outline
remove_circle_outline
remove_circle_outline
remove_circle_outline
remove_circle_outline
remove_circle_outline
remove_circle_outline
remove_circle_outline
remove_circle_outline
remove_circle_outline

Article Types

Countries / Regions

remove_circle_outline
remove_circle_outline
remove_circle_outline
remove_circle_outline
remove_circle_outline
remove_circle_outline
remove_circle_outline

Search Results (4,604)

Search Parameters:
Keywords = UAV system

Order results
Result details
Results per page
Select all
Export citation of selected articles as:
36 pages, 7711 KB  
Article
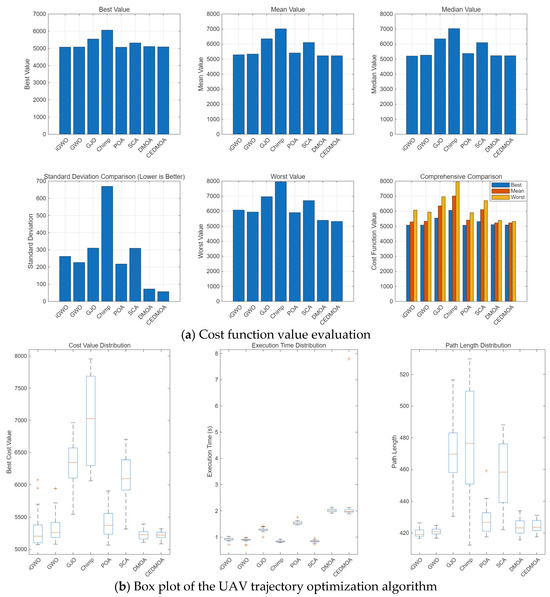
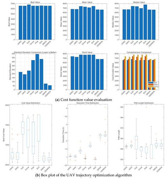
Integrating Visual Perception with Conservative Enhanced Bio-Inspired Optimization for Safe UAV Trajectory Planning
by Qiushuang Gao, Zhenshen Qu, Qihang Zhang and Yuhao Shang
Appl. Sci. 2026, 16(7), 3245; https://doi.org/10.3390/app16073245 (registering DOI) - 27 Mar 2026
Abstract
Unmanned Aerial Vehicle (UAV) trajectory planning in complex three-dimensional environments with threats remains a challenging optimization problem requiring efficient algorithms and threat detection capabilities. This study proposes the Conservative Enhanced Dwarf Mongoose Optimization Algorithm (CEDMOA), which introduces four key innovations to the original [...] Read more.
Unmanned Aerial Vehicle (UAV) trajectory planning in complex three-dimensional environments with threats remains a challenging optimization problem requiring efficient algorithms and threat detection capabilities. This study proposes the Conservative Enhanced Dwarf Mongoose Optimization Algorithm (CEDMOA), which introduces four key innovations to the original DMOA: hybrid population initialization, adaptive vocalization parameters, elite-guided learning strategy, and intelligent restart mechanisms. This work proposed the integration of CEDMOA with a novel vision-based threat detection system using YOLO object detection technology, enabling the identification and incorporation of threats into the optimization process. CEDMOA was comprehensively evaluated on the CEC2022 benchmark test suite, demonstrating superior performance compared to other state-of-the-art algorithms in solution quality and convergence stability. The results show the approach successfully generates an optimal collision-free flight trajectory in complex environments in UAV trajectory planning with both static and dynamic threats. Combining metaheuristic optimization with computer vision technology provides a robust framework for autonomous navigation that adapts to changing threat conditions. Experimental results validate the effectiveness of both the enhanced algorithm and the vision-based threat integration approach for practical UAV operations. Full article
(This article belongs to the Special Issue Latest Research on Computer Vision and Its Application)
Show Figures

Figure 1

33 pages, 4007 KB  
Article
Resilient Multi-UAV Collaborative Mapping: A Safety-Prioritized Scheduling Framework with Hierarchical Transmission
by Shu Wake, Zewei Jing, Lanxiang Hou, Jiayi Sun, Guanchong Niu, Liang Mao and Jie Li
Drones 2026, 10(4), 242; https://doi.org/10.3390/drones10040242 (registering DOI) - 27 Mar 2026
Abstract
Multi-UAV collaborative mapping in communication-constrained indoor environments is often hampered by a trade-off between overall map refinement and the timely completion of safety-relevant shared regions. In high-density or unmapped areas, network congestion can delay the updates that matter most for close-proximity coordination, because [...] Read more.
Multi-UAV collaborative mapping in communication-constrained indoor environments is often hampered by a trade-off between overall map refinement and the timely completion of safety-relevant shared regions. In high-density or unmapped areas, network congestion can delay the updates that matter most for close-proximity coordination, because standard bandwidth allocation does not distinguish between general map refinement and hotspot-related spatial data. To address this issue, we propose a resilient scheduling framework that prioritizes globally useful map updates while improving safety-relevant hotspot completeness under unreliable links. At its core is a Safety Reserve allocation strategy for “hotspot” submaps—areas where UAV trajectories overlap or approach unknown frontiers. By enforcing this reserve, the system directs a limited uplink budget to hotspot-related updates earlier during congestion. To remain useful under packet loss, we implement a prefix-decodable hierarchical data structure over a lightweight stateless protocol, allowing immediate fusion of valid partial updates. The framework identifies hotspots using feedback from a Lambda-Field risk model and a truncated least squares solver with graduated non-convexity (TLS–GNC) pose-graph optimizer. Experiments on S3DIS and ScanNet under partition-based two-agent emulation show that the proposed method improves hotspot-band completeness and progressive mapping quality over the tested baselines, especially under packet loss. Full article
(This article belongs to the Section Drone Communications)
Show Figures

Figure 1

23 pages, 1602 KB  
Article
A Two-Stage Distributionally Robust Optimization Framework for UAV-Based Dynamic Inspection with Joint Deployment and Routing
by Xiaokai Lian, Wei Wang and Miao Miao
Appl. Sci. 2026, 16(7), 3207; https://doi.org/10.3390/app16073207 - 26 Mar 2026
Abstract
The growing scale and complexity of industrial infrastructure make efficient and reliable inspections a critical challenge. Inspection task demands often vary dynamically, requiring efficient and demand-responsive inspection strategies to ensure stable operation. However, existing UAV inspection approaches typically deploy UAV base stations (UAV-BSs) [...] Read more.
The growing scale and complexity of industrial infrastructure make efficient and reliable inspections a critical challenge. Inspection task demands often vary dynamically, requiring efficient and demand-responsive inspection strategies to ensure stable operation. However, existing UAV inspection approaches typically deploy UAV base stations (UAV-BSs) based on fixed inspection frequencies, which are inadequate for adapting to such dynamic demands and may reduce inspection efficiency. Moreover, these approaches often rely on historical inspection data, whose empirical distributions may deviate from the true distributions, thereby compromising solution robustness. To address these issues, this paper proposes a two-stage distributionally robust optimization (TDRO) framework for joint UAV-BS deployment and inspection routing in dynamic environments. The framework accounts for uncertainties in both inspection frequency and distributional perturbations. Uncertainty sets constructed based on probability metrics are employed to capture deviations between empirical and true distributions, forming the foundation of the two-stage distributionally robust optimization model. The resulting model is solved using column-and-constraint generation (C&CG) integrated with column generation (CG), yielding robust deployment decisions and an effective trade-off between total system cost and inspection efficiency. Simulation results show that the framework effectively addresses inspection frequency uncertainty, reducing the total objective by 5.50% on average, with a further 2.16% reduction when distributional perturbations are considered. Full article
Show Figures

Figure 1

23 pages, 1208 KB  
Article
NeSySwarm-IDS: End-to-End Differentiable Neuro-Symbolic Logic for Privacy-Preserving Intrusion Detection in UAV Swarms
by Gang Yang, Lin Ni, Tao Xia, Qinfang Shi and Jiajian Li
Appl. Sci. 2026, 16(7), 3204; https://doi.org/10.3390/app16073204 - 26 Mar 2026
Abstract
Unmanned Aerial Vehicle (UAV) swarms operating in contested environments face a critical “semantic gap” between raw, high-velocity network traffic and high-level mission security constraints, compounded by the risk of privacy leakage during collaborative learning. Existing deep learning (DL)-based Network Intrusion Detection Systems (NIDSs) [...] Read more.
Unmanned Aerial Vehicle (UAV) swarms operating in contested environments face a critical “semantic gap” between raw, high-velocity network traffic and high-level mission security constraints, compounded by the risk of privacy leakage during collaborative learning. Existing deep learning (DL)-based Network Intrusion Detection Systems (NIDSs) suffer from opacity, prohibitive resource consumption, and vulnerability to gradient leakage attacks in federated settings, while traditional rule-based systems fail to handle encrypted payloads and evolving attack patterns. To bridge this gap, we present NeSySwarm-IDS (Neuro-Symbolic Swarm Intrusion Detection System), an end-to-end differentiable neuro-symbolic framework that simultaneously achieves high accuracy, strong privacy guarantees, and built-in interpretability under resource constraints. NeSySwarm-IDS integrates an extremely lightweight 1D convolutional neural network with a differentiable Łukasiewicz fuzzy logic reasoner incorporating attack-specific rules. By aggregating only low-dimensional logic rule weights with calibrated differential privacy noise, we drastically reduce communication overhead while providing (ϵ,δ)-DP guarantees with negligible utility loss. Extensive experiments on the UAV-NIDD dataset and our self-collected dataset demonstrate that NeSySwarm-IDS achieves near-perfect detection accuracy, significantly outperforming traditional machine learning baselines despite using limited training data. A detailed case study on GPS spoofing confirms the interpretability of our approach, providing axiomatic explanations suitable for autonomous mission verification. These results establish that end-to-end neuro-symbolic learning can effectively bridge the semantic gap in UAV swarm security while ensuring privacy and interpretability, offering a practical pathway for deploying trustworthy AI in contested environments. Full article
(This article belongs to the Special Issue Cyberspace Security Technology in Computer Science)
Show Figures

Figure 1

29 pages, 16603 KB  
Article
Hierarchical Neural-Guided Navigation with Vortex Artificial Potential Field for Robust Path Planning in Complex Environments
by Boyi Xiao, Lujun Wan, Jiwei Tian, Yuqin Zhou, Sibo Hou and Haowen Zhang
Drones 2026, 10(4), 240; https://doi.org/10.3390/drones10040240 - 26 Mar 2026
Abstract
Existing autonomous navigation systems for Unmanned Aerial Vehicles (UAVs) face the dual challenges of local minima entrapment and computational complexity that scales with environmental density. This paper proposes a hierarchical navigation architecture integrating deep representation learning with an improved Vortex Artificial Potential Field [...] Read more.
Existing autonomous navigation systems for Unmanned Aerial Vehicles (UAVs) face the dual challenges of local minima entrapment and computational complexity that scales with environmental density. This paper proposes a hierarchical navigation architecture integrating deep representation learning with an improved Vortex Artificial Potential Field (APF). At the decision layer, a Convolutional Neural Network (CNN) encodes the environment as a fixed-dimensional tensor and generates global waypoints with constant-time inference, independent of obstacle count. At the control layer, a Vortex APF resolves the Goal Non-Reachable with Obstacles Nearby (GNRON) problem and limit-cycle oscillations through tangential rotational potentials, achieving significant improvement in trajectory smoothness compared to traditional APF methods. A closed-loop replanning mechanism further ensures robust performance under execution drift. Experiments across varying obstacle densities demonstrate that the combined system achieves high navigation success rates in dense environments with substantially reduced computation time compared to sampling-based planners such as Rapidly exploring Random Tree star (RRT*), while maintaining superior trajectory quality. This architecture provides a computationally efficient solution for resource-constrained UAV platforms operating in GPS-denied or obstacle-rich environments such as warehouses, forests, and disaster sites. Full article
Show Figures

Figure 1

20 pages, 12035 KB  
Article
UAV Recognition Confidence: A Key Evaluation Metric for UAV Recognition Performance
by Zixv Su, Jun Yan, Deren Li, Deyong Kong, Jiangkun Gong and Weitao Zong
Drones 2026, 10(4), 239; https://doi.org/10.3390/drones10040239 - 26 Mar 2026
Abstract
Radar plays a pivotal role throughout the entire Counter-Unmanned Aerial Vehicle (C-UAV) process, and there is an urgent need for radar technologies capable of effectively detecting and recognizing non-cooperative Unmanned Aerial Vehicles (UAVs). However, the commonly emphasized UAV True Positive Ratio (TPR) fails [...] Read more.
Radar plays a pivotal role throughout the entire Counter-Unmanned Aerial Vehicle (C-UAV) process, and there is an urgent need for radar technologies capable of effectively detecting and recognizing non-cooperative Unmanned Aerial Vehicles (UAVs). However, the commonly emphasized UAV True Positive Ratio (TPR) fails to adequately reflect radar performance in environments with high bird density. Frequent bird activity leads to numerous false UAV alarms and unreliable recognition results. To address this issue, this paper introduces the concept of UAV Recognition Confidence (URC), a comprehensive metric that quantifies the credibility of UAV recognition by jointly considering recognition performance indicators and environmental factors. Simulations and field measurements employ a bird random walk model and real-time trajectory statistics to represent the dynamic population variations of birds. Both simulation and X-band radar experimental results verify that the proposed URC framework can effectively characterize the recognition capability of radar systems by capturing the complex interactions between the UAV and surrounding avian activities. Full article
Show Figures

Figure 1

25 pages, 886 KB  
Article
Trajectory and Power Control for Sustainable UAV-Assisted NOMA-Enabled Backscattering IoT
by Tianyi Zhang, Mengqin Gu, Deepak Mishra, Jinhong Yuan and Aruna Seneviratne
Drones 2026, 10(4), 238; https://doi.org/10.3390/drones10040238 - 26 Mar 2026
Abstract
As mobile networks increasingly support sustainable and green Internet of Things (IoT) applications, energy-efficient solutions that address coverage constraints have become paramount. Although backscatter communication (BackCom) offers a low-power option for IoT devices, particularly battery-less IoT nodes, it can suffer from limited coverage. [...] Read more.
As mobile networks increasingly support sustainable and green Internet of Things (IoT) applications, energy-efficient solutions that address coverage constraints have become paramount. Although backscatter communication (BackCom) offers a low-power option for IoT devices, particularly battery-less IoT nodes, it can suffer from limited coverage. To overcome this, we exploit aerial platforms (UAVs) integrated with non-orthogonal multiple access (NOMA) to enhance both coverage and spectral efficiency. In this paper, we propose a UAV-supported NOMA-enabled BackCom system to serve massive backscatter node (BN) networks. We aim to maximize system throughput by jointly optimizing the power allocation and reflection coefficients of the BNs, along with the trajectory and data collection locations of the UAV. We derive closed-form solutions for the reflection coefficients and the optimal collection locations of the UAV and achieve global optimality in power allocation by utilizing the Karush–Kuhn–Tucker (KKT) optimality conditions in conjunction with the golden-section search (GSS). In addition, we formulate the UAV trajectory optimization problem as a Traveling Salesman Problem (TSP) and propose an efficient low-complexity genetic algorithm (GA)-based solution. The numerical results demonstrate that the proposed scheme outperforms the benchmark schemes in terms of sum-throughput rate and achieves an overall performance enhancement of 8.983 dB, underscoring the potential of our approach for large-scale battery-less IoT deployments. Full article
(This article belongs to the Special Issue IoT-Enabled UAV Networks for Secure Communication)
Show Figures

Figure 1

20 pages, 13040 KB  
Article
SLAM Mobile Mapping for Complex Archaeological Environments: Integrated Above–Below-Ground Surveying
by Gabriele Bitelli, Anna Forte and Emanuele Mandanici
Geomatics 2026, 6(2), 31; https://doi.org/10.3390/geomatics6020031 - 26 Mar 2026
Abstract
Archaeological sites characterized by the coexistence of extensive above-ground terrain and hypogeum structures present major challenges for accurate and comprehensive geospatial documentation. Conventional survey approaches—such as static terrestrial laser scanning (TLS), total-station measurements, and aerial photogrammetry—often suffer from operational constraints, particularly in the [...] Read more.
Archaeological sites characterized by the coexistence of extensive above-ground terrain and hypogeum structures present major challenges for accurate and comprehensive geospatial documentation. Conventional survey approaches—such as static terrestrial laser scanning (TLS), total-station measurements, and aerial photogrammetry—often suffer from operational constraints, particularly in the presence of narrow underground spaces, low or absent illumination, harsh environmental conditions, and restrictions on UAV deployment. Additional complexity arises when both surface and subterranean elements must be consistently georeferenced to a common global reference system, especially where establishing a traditional topographic–geodetic control network is impractical. Within the framework of the EIMAWA Egyptian–Italian Mission conducted by the University of Milano since 2018, the Geomatics group of the University of Bologna designed and implemented a multi-scale multi-technique 3D documentation workflow, with a prominent role assumed by Simultaneous Localization and Mapping (SLAM) mobile laser scanning. The approach was supported by GNSS measurements providing centimetric accuracy. SLAM was employed to document both the surface necropolis and multiple hypogeal tombs, enabling rapid acquisition of dense three-dimensional data in environments where traditional techniques are limited. All datasets were integrated within a unified reference system, resulting in a coherent, multi-layered spatial dataset representing both landscape and underground spaces. The results demonstrate that SLAM can produce dense point clouds that document at few-centimetric level accuracy and continuously both above- and below-ground contexts. Quantitative analyses of the co-registration and mutual alignment of multiple SLAM datasets confirm a high degree of internal consistency, further enhanced through post-processing refinement. Overall, the experience indicates that this solution represents a practical and reliable technique for complex archaeological surveying. Full article
Show Figures

Figure 1

17 pages, 3026 KB  
Article
A Plant-Level Survival Modeling Framework for Spatiotemporal Strawberry Canopy Decline Using UAV Multispectral Time Series
by Jon R. Detka, Adam J. Purdy, Forrest S. Melton, Oleg Daugovish, Christopher A. Greer and Frank N. Martin
Drones 2026, 10(4), 235; https://doi.org/10.3390/drones10040235 - 25 Mar 2026
Abstract
Timely identification of canopy decline in commercial strawberry production is challenging because visual scouting often misses subtle or spatially heterogeneous symptoms. We developed a plant-level UAV-based monitoring framework that integrates repeated multispectral imagery, canopy-derived metrics, unsupervised clustering, and Random Survival Forest (RSF) time-to-event [...] Read more.
Timely identification of canopy decline in commercial strawberry production is challenging because visual scouting often misses subtle or spatially heterogeneous symptoms. We developed a plant-level UAV-based monitoring framework that integrates repeated multispectral imagery, canopy-derived metrics, unsupervised clustering, and Random Survival Forest (RSF) time-to-event modeling. The framework was applied across three commercial strawberry fields in Oxnard, California using nine UAV surveys collected from December 2022 to June 2023, yielding 159,220 plant-level monitoring units. NDRE- and Redness Index-based classifications quantified proportional and absolute canopy dieback within standardized hexagonal units and supported survival-based modeling of canopy decline progression. Across withheld test plants from all survey dates, overall concordance indices ranged from 0.88 to 0.95 across fields, indicating strong ability to rank plants by time-to-decline risk under heterogeneous field conditions. Spatial risk maps revealed localized high-risk clusters that expanded over time in fields with greater canopy deterioration, while fields with minimal visible decline exhibited diffuse but stable risk distributions. Post-hoc comparison with operational fumigation rates (280, 336, and 392 kg Pic-Clor 60/ha) showed no consistent association with predicted canopy decline risk. These results demonstrate that framing repeated UAV observations as a time-to-event process enables fine-scale spatiotemporal modeling of canopy decline dynamics and supports risk stratification for targeted field monitoring in commercial strawberry systems. Full article
Show Figures

Figure 1

37 pages, 1988 KB  
Article
Energy–Information–Decision Coupling Optimization for Cooperative Operations of Heterogeneous Maritime Unmanned Systems
by Dongying Feng, Xin Liao, Liuhua Zhang, Jingfeng Yang, Weilong Shen, Li Wang and Chenguang Yang
Drones 2026, 10(4), 234; https://doi.org/10.3390/drones10040234 - 25 Mar 2026
Abstract
With the growing applications of maritime unmanned systems in environmental monitoring, ocean patrol, and emergency response, achieving efficient multi-platform cooperation in complex and dynamic marine environments remains a critical challenge. Unmanned Aerial Vehicles (UAVs) provide flexible and high-coverage sensing capabilities but are constrained [...] Read more.
With the growing applications of maritime unmanned systems in environmental monitoring, ocean patrol, and emergency response, achieving efficient multi-platform cooperation in complex and dynamic marine environments remains a critical challenge. Unmanned Aerial Vehicles (UAVs) provide flexible and high-coverage sensing capabilities but are constrained by limited energy capacity, whereas Unmanned Surface Vehicles (USVs) offer long endurance and can serve as mobile platforms and energy supply nodes. Existing studies mostly focus on single-factor optimization, lacking a systematic analysis of the coupled relationships among energy, information (communication and positioning), and task decision making. To address this problem, this paper proposes an Energy–Information–Decision Coupling Optimization Method for Cooperative Maritime Unmanned Systems. A unified coupling model is established to integrate task completion, energy consumption, communication delay, and replenishment scheduling into a multi-objective optimization framework. A bi-level optimization algorithm is designed: the upper layer optimizes USV trajectories and energy supply strategies, while the lower layer optimizes UAV path planning and task allocation. A closed-loop adaptive mechanism is incorporated to achieve optimal cooperation under dynamic tasks and energy constraints. Extensive simulations combined with real-world experimental data are conducted to evaluate the method in terms of mission efficiency, energy balance, communication latency, and system robustness, with ablation studies quantifying the contribution of the coupling module. Results demonstrate that the proposed method significantly outperforms non-coupled or single-factor optimization strategies across multiple performance metrics: it achieves a task completion rate exceeding 93%, reduces total energy consumption by approximately 6% and replenishes waiting latency by over 28% compared with the decoupled baseline method. This effectively enhances the cooperative efficiency and robustness of maritime unmanned systems, and provides theoretical and methodological guidance for large-scale, complex ocean missions. Full article
Show Figures

Figure 1

30 pages, 22493 KB  
Article
H-CoRE: A Cooperative Framework for Heterogeneous Multi-Robot Exploration and Inspection
by Simone D’Angelo, Francesca Pagano, Riccardo Caccavale, Vincenzo Scognamiglio, Alessandro De Crescenzo, Pasquale Merone, Stefano Ciaravino, Alberto Finzi and Vincenzo Lippiello
Drones 2026, 10(4), 232; https://doi.org/10.3390/drones10040232 (registering DOI) - 25 Mar 2026
Abstract
This paper presents the H-CoRE (Heterogeneous Cooperative Multi-Robot Execution) framework designed to enable autonomous multi-robot operations in GNSS-denied environments. Built on an ROS 2-based architecture, H-CoRE enables collaborative, structured task execution through standardized software stacks. Each robot’s stack combines a high-level executive system [...] Read more.
This paper presents the H-CoRE (Heterogeneous Cooperative Multi-Robot Execution) framework designed to enable autonomous multi-robot operations in GNSS-denied environments. Built on an ROS 2-based architecture, H-CoRE enables collaborative, structured task execution through standardized software stacks. Each robot’s stack combines a high-level executive system with an agent-specific motion layer and leverages multi-sensor fusion for localization and mapping. The framework is inherently reconfigurable, allowing individual agents to operate autonomously or as part of a multi-robot team for collaborative missions. In the considered scenario, the system integrates aerial and ground vehicles, a fixed pan–tilt–zoom camera, and a human supervisory interface within a unified, modular infrastructure. The proposed system has been deployed in indoor, GNSS-denied environments, demonstrating autonomous navigation, cooperative area coverage, and real-time information sharing across multiple agents. Experimental results confirm the effectiveness of H-CoRE in maintaining general awareness and mission continuity, paving the way for future applications in search-and-rescue, inspection, and exploration tasks. Full article
Show Figures

Figure 1

20 pages, 829 KB  
Article
Performance Analysis of Algorithms for Treating Outliers in PdM from UAVs
by Dragos Alexandru Andrioaia, Petru Gabriel Puiu, George Culea, Ioan Viorel Banu, Sorin-Eugen Popa and Enachi Andrei
Processes 2026, 14(7), 1038; https://doi.org/10.3390/pr14071038 - 24 Mar 2026
Viewed by 28
Abstract
Due to their vast potential, Unmanned Aerial Vehicles (UAVs) are increasingly being utilized in various applications. To prevent in-flight failures and loss of control, implementing Internet of Things (IoT)-based Predictive Maintenance (PdM) systems is crucial. However, data collected from PdM systems often contains [...] Read more.
Due to their vast potential, Unmanned Aerial Vehicles (UAVs) are increasingly being utilized in various applications. To prevent in-flight failures and loss of control, implementing Internet of Things (IoT)-based Predictive Maintenance (PdM) systems is crucial. However, data collected from PdM systems often contains outliers, which can significantly degrade the accuracy and performance of predictive models. In this paper, we present a comparative performance analysis of several outlier detection methods, namely K-Nearest Neighbors (KNN), Autoencoder (AE), and Isolation Forest (IForest). The datasets used to evaluate these methods were acquired from a UAV predictive maintenance system designed to estimate the Remaining Useful Life (RUL) of Li-ion batteries and detect faults in Brushless DC (BLDC) motors. Ultimately, this study aims to determine the most effective outlier detection method for UAV predictive maintenance datasets. Full article
(This article belongs to the Section Automation Control Systems)
Show Figures

Figure 1

32 pages, 3916 KB  
Article
An Automated Detection Method for Motor Vehicles Encroaching on Non-Motorized Lanes Based on Unmanned Aerial Vehicle Imagery and Civilized Behavior Monitoring
by Zichan Tan, Yin Tan, Peijing Lin, Wenjie Su, Tian He and Weishen Wu
Sensors 2026, 26(7), 2027; https://doi.org/10.3390/s26072027 - 24 Mar 2026
Viewed by 45
Abstract
Motor vehicle encroachment into non-motorized lanes is a common but hard-to-verify violation in urban intersections, especially when monitored from unmanned aerial vehicles (UAVs) or high-mounted overhead views. Existing rule-based solutions built on horizontal bounding boxes and center-point/line-crossing criteria are sensitive to perspective distortion, [...] Read more.
Motor vehicle encroachment into non-motorized lanes is a common but hard-to-verify violation in urban intersections, especially when monitored from unmanned aerial vehicles (UAVs) or high-mounted overhead views. Existing rule-based solutions built on horizontal bounding boxes and center-point/line-crossing criteria are sensitive to perspective distortion, occlusion, and frame-to-frame jitter, resulting in unstable decisions and low evidential value. This paper presents a cascaded UAV-view system that closes the loop from perception to evidence output through detection–segmentation–recognition–decision. First, we adopt a two-stage detection cascade: a lightweight vehicle detector localizes vehicles using axis-aligned bounding boxes, and a dedicated YOLOv5n-based oriented bounding box (OBB) license plate detector, constructed via architecture grafting and weight transfer, is then applied within each vehicle region of interest (ROI) to localize rotated license plates under large pose variation and small-target conditions. Second, a U-Net lane region segmentation module provides pixel-level spatial constraints to define an enforceable lane occupancy region. Third, a perspective rectification step is integrated with the PP-OCRv4 optical character recognition (OCR) framework to improve license plate recognition reliability for tilted plates. Finally, an area ratio criterion and an N-frame temporal counter are used to suppress transient misdetections and stabilize alarms. On a representative 100-sample controlled encroachment benchmark, the proposed system improves detection accuracy from 67.0% to 92.0% and reduces the false positive rate from 32.35% to 5.88% compared with a baseline horizontal bounding box (HBB)-based rule. The system outputs both violation alarms and license plate evidence, supporting practical deployment for multi-view traffic governance. Full article
(This article belongs to the Section Vehicular Sensing)
Show Figures

Figure 1

27 pages, 10311 KB  
Article
UAV-Based QR Code Scanning and Inventory Synchronization System with Safe Trajectory Planning
by Eknath Pore, Bhumeshwar K. Patle and Sandeep Thorat
Symmetry 2026, 18(4), 548; https://doi.org/10.3390/sym18040548 - 24 Mar 2026
Viewed by 102
Abstract
Modern-day urban warehouses face exploding large inventory and tight spaces requiring fast, accurate, and safe stocktaking in a narrow aisle in a GPS-denied environment. This paper proposes a complete UAV-enabled framework performing real-time QR code scanning with inventory synchronization through a safety-aware trajectory [...] Read more.
Modern-day urban warehouses face exploding large inventory and tight spaces requiring fast, accurate, and safe stocktaking in a narrow aisle in a GPS-denied environment. This paper proposes a complete UAV-enabled framework performing real-time QR code scanning with inventory synchronization through a safety-aware trajectory generation for obtaining collision-free motion. A novel hybrid workflow integrating MATLAB/Simulink R2024b and Unreal Engine is used for dynamics and photorealistic rendering, alongside a real-time warehouse setup using drone cameras and 3D LiDAR coupled with a ground control station and live dashboard. The system in this paper was evaluated by testing with single and multi-UAV models across high-fidelity simulations and experiments. Results demonstrate simulated QR accuracy of approximately 95 to 96%, with experimental validation achieving between 86 and 90.5% due to real-world environmental factors. In experimental and simulation analysis, mean end-to-end latency remained under half a second, trajectory error range between 8 and 10 cm, and safety margins were consistently maintained throughout the test. It was further observed that multi-UAV coordination halved mission time compared to single-drone tests while keeping duplicate reads negligible, indicating a scalable and safe pipeline for industry application. Full article
(This article belongs to the Special Issue Symmetry/Asymmetry in Fuzzy Control)
Show Figures

Figure 1

43 pages, 6083 KB  
Article
An Unscented Kalman Filter Based on the Adams–Bashforth Method with Applications to the State Estimation of Osprey-Type Drones Composed of Tiltable Rotor Mechanisms
by Keigo Watanabe, Soma Takeda and Isaku Nagai
Sensors 2026, 26(6), 2009; https://doi.org/10.3390/s26062009 - 23 Mar 2026
Viewed by 207
Abstract
In the state estimation problem for nonlinear systems, the Unscented Kalman Filter (UKF) has gained attention as an algorithm capable of accurate state estimation based on high-fidelity discretization for strongly nonlinear systems. Furthermore, for applying the UKF to continuous-time state–space models, a method [...] Read more.
In the state estimation problem for nonlinear systems, the Unscented Kalman Filter (UKF) has gained attention as an algorithm capable of accurate state estimation based on high-fidelity discretization for strongly nonlinear systems. Furthermore, for applying the UKF to continuous-time state–space models, a method employing the Runge–Kutta method in the time-update equation for sigma points has already been proposed to achieve high-precision state estimation. While this method uses high-order numerical approximations, the associated decrease in computational efficiency due to processing time becomes problematic. It is thus unsuitable for the state estimation of relatively fast-moving objects, such as autonomous vehicles and drones, which require high sampling frequencies. In this study, to reduce computational load while achieving relatively high estimation accuracy, we newly apply the Adams–Bashforth method to the UKF algorithm. The effectiveness of the proposed method is demonstrated by first explaining a low-dimensional model’s state estimation problem, followed by a comparison of estimation accuracy and computation time in state estimation simulations for the UAV model of an Osprey-type drone. Full article
Show Figures

Figure 1

Back to TopTop