Sign in to use this feature.

Years

Between: -

Subjects

remove_circle_outline
remove_circle_outline
remove_circle_outline
remove_circle_outline
remove_circle_outline
remove_circle_outline
remove_circle_outline
remove_circle_outline
remove_circle_outline

Journals

remove_circle_outline
remove_circle_outline
remove_circle_outline
remove_circle_outline
remove_circle_outline
remove_circle_outline

Article Types

Countries / Regions

remove_circle_outline
remove_circle_outline
remove_circle_outline
remove_circle_outline

Search Results (273)

Search Parameters:
Keywords = ToD

Order results
Result details
Results per page
Select all
Export citation of selected articles as:
23 pages, 3578 KB  
Article
Integrating Heritage, Mobility, and Sustainability: A TOD-Based Framework for Msheireb Downtown Doha
by Sarah Al-Thani, Jasim Azhar, Raffaello Furlan, Abdulla AlNuaimi, Hameda Janahi and Reem Awwaad
Heritage 2026, 9(1), 34; https://doi.org/10.3390/heritage9010034 - 16 Jan 2026
Viewed by 100
Abstract
Transit-Oriented Development (TOD), formalized by Calthorpe and Poticha in 1993, emerged to counter urban sprawl, reduce car dependency, and revitalize historical community centers. Rooted in “new urbanism”, TOD emphasizes integrated regional land-use planning and high-capacity public transportation. In the Middle East, TOD implementation [...] Read more.
Transit-Oriented Development (TOD), formalized by Calthorpe and Poticha in 1993, emerged to counter urban sprawl, reduce car dependency, and revitalize historical community centers. Rooted in “new urbanism”, TOD emphasizes integrated regional land-use planning and high-capacity public transportation. In the Middle East, TOD implementation remains understudied, particularly regarding heritage integration and social equity in arid climates. Doha’s rapid social and economic transformation presents both opportunities and risks: growth offers urban revitalization yet threatens to displace communities and dilute cultural identity. Shifts in urban planning have aimed to address sustainability, connectivity, and heritage preservation. This study examines Msheireb Downtown Doha (MDD) to assess how TOD can restore historic districts while managing gentrification, enhancing accessibility and promoting inclusiveness. A mixed-methods approach was applied, including 12 semi-structured interviews with stakeholders (Qatar Rail, Msheireb Properties, Ministry of Municipality and Environment), purposive surveys of 80 urban users, site observations, and spatial mapping. Using the Node-Place-People (NPP) model, the study evaluates TOD effectiveness across transportation connectivity (node), built environment quality (place), and equity metrics (people). The findings show that MDD successfully implements fundamental TOD principles through its design, which enhances connectivity, walkability, social inclusiveness, and heritage preservation. However, multiple obstacles remain: the “peripheral island effect” limits benefits to the core, pedestrian–vehicular balance is unresolved, and commercial gentrification is on the rise. This research provides evidence-based knowledge for GCC cities pursuing sustainable urban regeneration by demonstrating both the advantages of TOD and the necessity for critical, context-sensitive implementation that focuses on social equity together with physical transformation. Full article
28 pages, 4151 KB  
Article
FANet: Frequency-Aware Attention-Based Tiny-Object Detection in Remote Sensing Images
by Zixiao Wen, Peifeng Li, Yuhan Liu, Jingming Chen, Xiantai Xiang, Yuan Li, Huixian Wang, Yongchao Zhao and Guangyao Zhou
Remote Sens. 2025, 17(24), 4066; https://doi.org/10.3390/rs17244066 - 18 Dec 2025
Viewed by 687
Abstract
In recent years, deep learning-based remote sensing object detection has achieved remarkable progress, yet the detection of tiny objects remains a significant challenge. Tiny objects in remote sensing images typically occupy only a few pixels, resulting in low contrast, poor resolution, and high [...] Read more.
In recent years, deep learning-based remote sensing object detection has achieved remarkable progress, yet the detection of tiny objects remains a significant challenge. Tiny objects in remote sensing images typically occupy only a few pixels, resulting in low contrast, poor resolution, and high sensitivity to localization errors. Their diverse scales and appearances, combined with complex backgrounds and severe class imbalance, further complicate the detection tasks. Conventional spatial feature extraction methods often struggle to capture the discriminative characteristics of tiny objects, especially in the presence of noise and occlusion. To address these challenges, we propose a frequency-aware attention-based tiny-object detection network with two plug-and-play modules that leverage frequency-domain information to enhance the targets. Specifically, we introduce a Multi-Scale Frequency Feature Enhancement Module (MSFFEM) to adaptively highlight the contour and texture details of tiny objects while suppressing background noise. Additionally, a Channel Attention-based RoI Enhancement Module (CAREM) is proposed to selectively emphasize high-frequency responses within RoI features, further improving object localization and classification. Furthermore, to mitigate sample imbalance, we employ multi-directional flip sample augmentation and redundancy filtering strategies, which significantly boost detection performance for few-shot categories. Extensive experiments on public object detection datasets, i.e., AI-TOD, VisDrone2019, and DOTA-v1.5, demonstrate that the proposed FANet consistently improves detection performance for tiny objects, outperforming existing methods and providing new insights into the integration of frequency-domain analysis and attention mechanisms for robust tiny-object detection in remote sensing applications. Full article
(This article belongs to the Special Issue Deep Learning-Based Small-Target Detection in Remote Sensing)
Show Figures

Figure 1

26 pages, 4335 KB  
Article
Effects of Station-Area Built Environment on Metro Ridership: The Role of Spatial Synergy
by Shiyun Luo, Yuluo Chen, Lina Yu, Yibin Zhang, Xuefeng Li, Sen Lin and Li Jiang
Sustainability 2025, 17(24), 11126; https://doi.org/10.3390/su172411126 - 11 Dec 2025
Viewed by 600
Abstract
Evaluating transit-oriented development (TOD) efficiency in metro station areas remains challenging, as the traditional “Node–Place” model gives limited consideration to guiding factors and struggles to account for inter-regional flows under spatial heterogeneity. To address these limitations, this study develops an enhanced “Node–Place–Accessibility” model [...] Read more.
Evaluating transit-oriented development (TOD) efficiency in metro station areas remains challenging, as the traditional “Node–Place” model gives limited consideration to guiding factors and struggles to account for inter-regional flows under spatial heterogeneity. To address these limitations, this study develops an enhanced “Node–Place–Accessibility” model by introducing an accessibility dimension to better capture station-level connectivity and walkability. DepthmapX and a convex space approach were applied to quantify station-area accessibility, reflecting passengers’ perceived spatial distance during transfers. The model establishes a TOD measurement framework based on spatial coupling and functional connectivity, enabling the identification of factors influencing metro ridership across different spatial scales. Moran’s I was employed to describe spatial agglomeration and a local spatial clustering method integrating both passenger flow and built-environment (BE) characteristics was constructed to reveal differentiated spatial patterns. The Multiscale Geographically Weighted Regression (MGWR) model was further employed to quantify the spatially varying impacts of BE factors on ridership. Results indicate that the improved model provides stronger discriminative power in identifying “balanced stations,” and that BE conditions exert significant impact on metro ridership, particularly in areas with strong coordination among TOD components. Among the BE dimensions, design granularity exerts a more substantial impact on ridership than connectivity, density, and accessibility. This methodology provides large cities with a reliable tool for formulating targeted strategies that promote positive interactions between transportation and land use, thereby supporting sustainable urban development. Full article
(This article belongs to the Section Sustainable Transportation)
Show Figures

Figure 1

28 pages, 54754 KB  
Article
Rethinking Adaptive Contextual Information and Multi-Scale Feature Fusion for Small-Object Detection in UAV Imagery
by Chang Liu, Yong Wang, Qiang Cao, Changlei Zhang and Anyu Cheng
Sensors 2025, 25(23), 7312; https://doi.org/10.3390/s25237312 - 1 Dec 2025
Cited by 1 | Viewed by 640
Abstract
Small object detection in unmanned aerial vehicle (UAV) imagery poses significant challenges due to insufficient feature representation, complex background interference, and extremely small target sizes. These factors collectively degrade the performance of conventional detection algorithms, leading to low accuracy, frequent missed detections, and [...] Read more.
Small object detection in unmanned aerial vehicle (UAV) imagery poses significant challenges due to insufficient feature representation, complex background interference, and extremely small target sizes. These factors collectively degrade the performance of conventional detection algorithms, leading to low accuracy, frequent missed detections, and false alarms. To address these issues, we propose YOLO-DMF, which is a novel detection framework specifically designed for drone-based scenarios. Our approach introduces three key innovations from the perspectives of feature extraction and information fusion: (1) a Detail-Semantic Adaptive Fusion (DSAF) module that employs a multi-branch architecture to synergistically enhance shallow detail features and deep semantic information, thereby significantly improving feature representation for small objects; (2) a Multi-Scale Residual Spatial Attention (MSRSA) mechanism incorporating scale-adaptive spatial attention to improve robustness against background clutter while enabling a more precise localization of critical target regions; and (3) a Feature Pyramid Reuse and Fusion Network (FPRFN) that introduces a dedicated 160×160 detection head and hierarchically combines multi-level shallow features with high-level semantic information through cross-scale fusion, effectively enhancing sensitivity to both small and tiny objects. Comprehensive experiments on the VisDrone2019 dataset demonstrate that YOLO-DMF outperforms state-of-the-art lightweight detection models. Compared to the baseline YOLOv8s, our method achieves improvements of 3.9% in mAP@0.5 and 2.5% in mAP@0.5:0.95 while reducing model parameters by 66.67% with only a 2.81% increase in computational cost. The model achieves a real-time inference speed of 34.1 FPS on the RK3588 NPU, satisfying the latency requirements for real-time object detection. Additional validation on both the AI-TOD and WAID datasets confirms the method’s strong generalization capability and promising potential for practical engineering applications. Full article
Show Figures

Figure 1

28 pages, 11273 KB  
Article
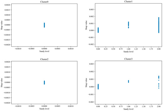
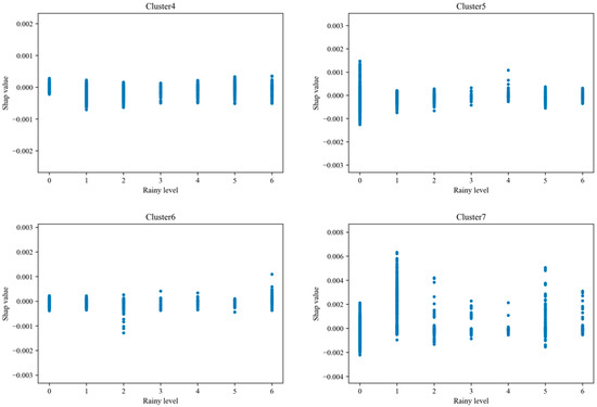
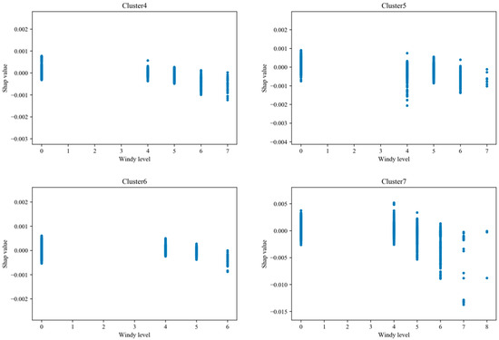
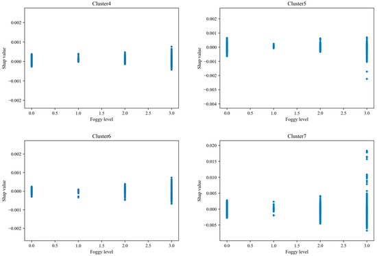
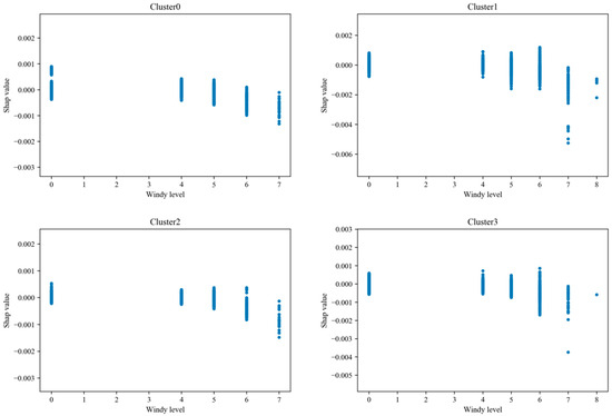
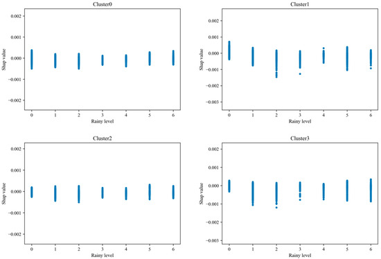
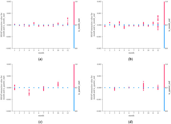
An Interpretable Modeling Method for Occupancy in Public Buildings Based on Typical Occupancy Data
by Jiefan Gu, Yi Zhu, Ying Ji, Peng Xu and Linxue Li
Buildings 2025, 15(23), 4318; https://doi.org/10.3390/buildings15234318 - 27 Nov 2025
Viewed by 295
Abstract
Occupancy, defined as the count of occupants, plays an important role in building design and operation stages. Obtaining reliable occupancy data for public buildings remains a challenging problem due to the lack of available on-site data. With the development of information technologies, the [...] Read more.
Occupancy, defined as the count of occupants, plays an important role in building design and operation stages. Obtaining reliable occupancy data for public buildings remains a challenging problem due to the lack of available on-site data. With the development of information technologies, the widespread use of smartphones and social networks provides a source for collecting building occupancy data. In this paper, we collect occupancy data of 56 public buildings from social networks. Based on this database, an interpretable occupancy model is proposed, incorporating the effects of trend, day types, months, meteorological parameters, and special events, such as the COVID-19 period, discount days, etc. The modeling process includes following four steps: (1) extracting typical occupancy data (TOD), (2) extracting key factors through the CatBoost model and SHAP method, (3) model fitting, and (4) model transfer application. The proposed method quantifies the influence of different factors on occupancy and can be applied to simulate occupancy in public buildings without on-site data. Its performance is evaluated through a case study on four public buildings in this paper. Full article
(This article belongs to the Section Building Energy, Physics, Environment, and Systems)
Show Figures

Figure 1

34 pages, 7977 KB  
Article
Sustainable Mobility in Jakarta’s Transit-Oriented Development: Energy Savings and Emission Reduction Strategies
by Hayati Sari Hasibuan, Chrisna T. Permana, Bellanti Nur Elizandri, Farha Widya Asrofani, Riza Harmain and Dimas Pramana Putra
Sustainability 2025, 17(23), 10603; https://doi.org/10.3390/su172310603 - 26 Nov 2025
Viewed by 745
Abstract
The effectiveness of transit-oriented development (TOD) in achieving emission reductions and energy savings is highly influenced by policy frameworks, the accessibility of sustainable transport systems, and the degree of land use integration. This study investigated the implementation of TOD in Dukuh Atas along [...] Read more.
The effectiveness of transit-oriented development (TOD) in achieving emission reductions and energy savings is highly influenced by policy frameworks, the accessibility of sustainable transport systems, and the degree of land use integration. This study investigated the implementation of TOD in Dukuh Atas along the Sudirman–Thamrin corridor in Jakarta to assess its role in promoting energy efficiency and lowering emissions. The analysis incorporated carbon emission calculations, annualized traffic volumes, and emissions data, alongside land use metrics such as the floor area ratio (FAR), job-to-housing ratio, and point-of-interest (POI) density. The findings indicate that while TOD implementation in the corridor is still evolving, there were positive outcomes in several key areas. Energy efficiency measures have been partially realized through the operation of electric buses in the bus rapid transit (BRT) system, electrified rail modes, such as commuter lines, mass rapid transit (MRT), and light rail transit (LRT), and improved pedestrian infrastructure, as reflected in a favorable Pedestrian Environmental Quality Index (PEQI). Public transport ridership has significantly increased, contributing to a measurable reduction in emissions from private vehicle use. The land use analysis showed that medium- to high-density housing dominated (78.94% FAR), with a job-to-housing ratio of approximately 1:2. This study also found that the emission estimates were moderately sensitive to changes in both emission factors (EFs) and vehicle kilometers traveled (VKT). Overall, the results suggest that TOD can effectively contribute to energy savings and emission reductions by enhancing public transport usage and reducing dependence on motorcycles. Moreover, the efficacy of modal shifting in the Global South is significantly influenced by population mobility characteristics, which are intricately linked to socio-cultural factors, alongside government initiatives to improve the quality of mass public transportation systems (e.g., integration, availability, service coverage, affordable fares, and inclusive design). Full article
(This article belongs to the Special Issue Low-Energy and Low-Emission Travel and Transport)
Show Figures

Figure 1

21 pages, 1158 KB  
Article
Decoupling Urban Development and Transport Carbon Emissions: A Hierarchical Regression of the TOD 7D Framework in the Seoul Metropolitan Area
by Kyujin Lee and Gyoseok Jeon
Sustainability 2025, 17(23), 10511; https://doi.org/10.3390/su172310511 - 24 Nov 2025
Viewed by 521
Abstract
Given the huge contribution of the transportation sector to CO2 emissions in metropolitan areas, urgent countermeasures are needed to achieve carbon neutrality. In this study of 66 administrative units (cities, counties, and districts) in the Seoul metropolitan area, we applied cluster analysis [...] Read more.
Given the huge contribution of the transportation sector to CO2 emissions in metropolitan areas, urgent countermeasures are needed to achieve carbon neutrality. In this study of 66 administrative units (cities, counties, and districts) in the Seoul metropolitan area, we applied cluster analysis and a hierarchical regression model to analyze the impact of the 7D factors of Transit-Oriented Development (TOD) on CO2 emissions from road transportation. The effects of TOD factors were found to vary in diverse contexts. A higher concentration of employment intensified regional travel demand, thereby increasing emissions—a phenomenon referred to as the Paradox of Concentration. In contrast, the expansion of urban rail and bicycle infrastructure facilitated modal shift toward sustainable transport but simultaneously stimulated commercial and logistics activities, leading to elevated overall emissions. Thus, a ‘two-faced infrastructure’ pattern is evident in the Seoul metropolitan area. Conversely, strengthened local self-containment by destination accessibility promoted short-distance travel, curbing emissions. These outcomes empirically exhibit that the low-carbon effect of TOD is contingent, implying that urban structure and policy context are key factors in determining emission pathways. The impacts of the TOD 7D factors are discussed in terms of emission effects, and differentiated policy directions reflecting inter-city heterogeneity are suggested. In particular, the results of our analysis emphasize the need for comprehensive TOD strategies that combine transportation infrastructure, demand management, local self-containment, and zero-emission logistics systems, beyond simple compact development strategies. The policy implications described here are applicable in other countries experiencing rapid urbanization. Full article
Show Figures

Figure 1

25 pages, 9792 KB  
Article
A Field Study on Sustainable Development-Oriented Comprehensive Thermal–Acoustic–Vibrational Comfort in Zhengzhou’s TOD Underground Spaces, China
by Ruixin Li, Tingshuo Lei, Yujia Huo, Hanxue Li, Yabin Guo, Yong Li and Zhimin Guo
Sustainability 2025, 17(23), 10484; https://doi.org/10.3390/su172310484 - 22 Nov 2025
Viewed by 600
Abstract
In the process of global urbanization, the shortage of land resources and traffic congestion are prominent. China’s urban rail transit has developed rapidly in recent years. At present, the public transport-oriented Transit-Oriented Development model with “transportation + business + residence” as the core [...] Read more.
In the process of global urbanization, the shortage of land resources and traffic congestion are prominent. China’s urban rail transit has developed rapidly in recent years. At present, the public transport-oriented Transit-Oriented Development model with “transportation + business + residence” as the core is the core of the sustainable development of high urban rate. The underground space of Transit-Oriented Development faces extreme operational pressure and environmental comfort challenges in special periods such as the Spring Festival (personnel activities during weekends and important holidays in China) due to its strong closure, large population flow, high functional density, and the superposition of large passenger flow, commercial operation and rail transit activities. Due to the adult flow and complex physical field, the traditional single physical field research method has been unable to solve the problem of human comfort evaluation in complex environment. Based on the concept of sustainable development of underground space, this study takes a Transit-Oriented Development underground space in Zhengzhou City, central China as the research object. It explores the change law of multi-physical field environment of underground space under the superposition of ‘population density doubling and underground space shop operation’. The comprehensive comfort evaluation model suitable for this scene is established by Analytic Hierarchy Process–entropy weight method. It provides a theoretical basis for the design of Transit-Oriented Development underground space and the reduction in operating energy consumption. Full article
(This article belongs to the Section Green Building)
Show Figures

Figure 1

14 pages, 683 KB  
Systematic Review
Hands Deserve Better: A Systematic Review of Surgical Glove Indicator Systems and Identification of Glove Perforation
by Kurt R. Wharton, Robert G. Sawyer, Andreas Enz, Jessica Bah-Rösman and C. Tod Brindle
J. Clin. Med. 2025, 14(22), 7977; https://doi.org/10.3390/jcm14227977 - 11 Nov 2025
Viewed by 703
Abstract
Background: The maintenance of an aseptic barrier between the surgical team and patient aids in the prevents the exposure of the patient to pathogens. Variations in gloving practice may have safety implications due to glove failure. Indicator gloving, where two pairs of different [...] Read more.
Background: The maintenance of an aseptic barrier between the surgical team and patient aids in the prevents the exposure of the patient to pathogens. Variations in gloving practice may have safety implications due to glove failure. Indicator gloving, where two pairs of different colored gloves are worn, is thought to add protection as it alerts the wearer to a breach. The aim of this systematic review and meta-synthesis was to assess the evidence in the literature on the benefit of indicator systems versus other forms of double gloving on puncture identification during surgery. Methods: A four-arm, parallel, systematic review of the literature was undertaken in accordance with the PRISMA statement using four distinct research questions regarding glove fit, double gloving, indicator gloves, and the association between glove damage and glove change frequency. Searches on PubMed, Embase, Cochrane Collaboration of Systematic Reviews and Metanalyses, and Google Scholar were performed between 1 May 2022 and 24 January 2023. Studies were assessed for eligibility against pre-defined inclusion and exclusion criteria. Risk of bias was determined using multiple assessment tools. Results: This systematic review included 32 studies, 10 of which were high-quality Level IA trials, alongside multiple observational analyses. Across studies, indicator glove systems consistently demonstrated a two- to six-fold higher detection rate of glove perforations compared with standard double-gloving using identical glove colors. The majority of studies confirmed that early perforation identification significantly reduces intraoperative contamination risk and improves maintenance of the aseptic barrier. However, evidence regarding the direct impact on surgical site infections remains limited due to study heterogeneity. Conclusions: The use of an indicator glove provides a two- to six-fold higher rate of glove perforation detection, compared to two standard gloves of the same color, therefore aiding the maintenance of the aseptic barrier between surgical team members and patients. Further research into the impact of double gloving on the incidence of surgical site infections is required. Full article
(This article belongs to the Special Issue Advances in Trauma and Orthopedic Surgery: 2nd Edition)
Show Figures

Figure 1

27 pages, 7691 KB  
Article
Seasonal Variations in the Mechanisms Linking the Built Environment and Metro Station Area Vitality in Cold Regions: A Case Study of Harbin
by Xiaolu Zhou and Jianfei Chen
Land 2025, 14(11), 2222; https://doi.org/10.3390/land14112222 - 10 Nov 2025
Viewed by 737
Abstract
As urbanization advances toward refined territorial spatial governance, integrating comprehensive transportation and spatial vitality has become essential for sustainable urban development. Transit-oriented development (TOD) plays a key role in linking transportation infrastructure with the coordinated evolution of territorial space. However, the interaction mechanisms [...] Read more.
As urbanization advances toward refined territorial spatial governance, integrating comprehensive transportation and spatial vitality has become essential for sustainable urban development. Transit-oriented development (TOD) plays a key role in linking transportation infrastructure with the coordinated evolution of territorial space. However, the interaction mechanisms between the built environment and metro station area vitality in cold-region cities remain underexplored, particularly in relation to seasonal differentiation. Taking Harbin as a representative cold-region metropolis, this study investigates how built environment factors shape metro station area vitality across seasons and how their spatial mechanisms differ between winter and summer. An indicator system based on the “5D” framework was established, and K-means clustering was applied to classify stations into four coordinated spatial types. A composite vitality index integrating transportation, social, and economic dimensions was constructed to assess seasonal variations. Spearman correlation and XGBoost models identified dominant drivers at the global level, while the MGWR model revealed spatial heterogeneity. The results indicate that POI density exerts the strongest influence on metro station area vitality, contributing 47.95% in winter and 47.27% in summer. Residential density plays a more decisive role during summer, accounting for 18.90%. In contrast, winter vitality depends more on transportation accessibility, with the distance to parking facilities contributing 11.59%. Core urban stations consistently maintain high vitality, while peripheral areas have weaker performances, especially during winter. These findings clarify seasonally adaptive mechanisms linking the built environment and spatial vitality, providing evidence for coordinated optimization of metro systems and land-use planning in cold-region cities. Full article
Show Figures

Figure 1

31 pages, 4539 KB  
Article
Underground Space Planning Optimization Under the TOD Model Using NSGA-II: A Case Study of Qingdaobei Railway Station and Its Surroundings
by Weiyan Kong, Wenhan Feng and Yimeng Liu
Sustainability 2025, 17(21), 9761; https://doi.org/10.3390/su17219761 - 1 Nov 2025
Viewed by 890
Abstract
Urbanization and the growing scarcity of surface land resources have highlighted the strategic importance of underground space as a critical component of sustainable urban infrastructure. This study presents a multi-objective optimization framework for underground infrastructure planning around transit hubs, aligning with the principles [...] Read more.
Urbanization and the growing scarcity of surface land resources have highlighted the strategic importance of underground space as a critical component of sustainable urban infrastructure. This study presents a multi-objective optimization framework for underground infrastructure planning around transit hubs, aligning with the principles of Transit-Oriented Development (TOD). By integrating an agent-based model (ABM) with the Non-dominated Sorting Genetic Algorithm II (NSGA-II) and incorporating the Technique for Order Preference by Similarity to Ideal Solution (TOPSIS), the framework forms a unified evaluation and optimization tool that accounts for user behavior while addressing competing objectives, including minimizing evacuation time and functional conflicts, maximizing functional efficiency, and reducing layout deviations. Using Qingdaobei Railway Station in China as a case study, the method yields notable improvements: a 15% reduction in evacuation time, a 16% increase in development benefits, and a more balanced spatial configuration. Beyond technical gains, the study also discusses station planning and governance under the TOD policy context, highlighting how integrated layouts can alleviate congestion, strengthen functional synergy, and support sustainable urban development. Full article
Show Figures

Figure 1

16 pages, 690 KB  
Systematic Review
Hands Deserve Better: A Systematic Review on Surgical Glove Fit and Provider Performance
by Abhishek Chatterjee, Deborah L. Spratt, Andreas Enz, Jessica Bah-Rösman and C. Tod Brindle
J. Clin. Med. 2025, 14(21), 7695; https://doi.org/10.3390/jcm14217695 - 30 Oct 2025
Viewed by 973
Abstract
Background: The maintenance of an aseptic barrier between the surgical team and patient aids in the prevention of exposure of the patient to pathogens. Variations in gloving practice may have safety implications due to glove failure. An important relationship exists between optimum glove [...] Read more.
Background: The maintenance of an aseptic barrier between the surgical team and patient aids in the prevention of exposure of the patient to pathogens. Variations in gloving practice may have safety implications due to glove failure. An important relationship exists between optimum glove fit and manual dexterity, tactile sensitivity, and fatigue. The aim of this systematic review was to assess the presence and quality of the available literature that investigates the critical association between glove fit and provider performance in the operating theatre and to ascertain whether there is an established standard to determine appropriate glove size. Methods: A systematic review of the literature was undertaken in accordance with the PRISMA statement using one distinct research question regarding glove fit (INPLASY2025100008). Searches on PubMed, Embase, Cochrane Collaboration of Systematic Reviews and Metanalyses and Google Scholar were performed between 1 May 2022 and 24 January 2023. Studies were assessed for eligibility against pre-defined inclusion and exclusion criteria. Risk of bias was determined using multiple assessment tools. Results: This systematic review included 18 studies, nine of which were high-quality Level I or II trials, and multiple observational analyses. Poor glove fit was consistently associated with reduced manual dexterity, impaired tactile sensitivity, and decreased comfort, while oversized or undersized gloves increased the risk of glove perforation and fatigue. These findings underscore the clinical importance of appropriate glove sizing to optimize surgical performance and safety. Conclusions: There is a scarcity of high-quality studies investigating the relationship of glove fit and performance. Furthermore, there does not appear to be a standard method to determine the optimal glove fit for members of the surgical team, nor are there practical examples of how glove size is determined. Further research in this area is required. Full article
(This article belongs to the Special Issue Advances in Trauma and Orthopedic Surgery: 2nd Edition)
Show Figures

Figure 1

23 pages, 7004 KB  
Article
The Transformation of West Bay Area, Doha’s Business Center, Through Transit-Oriented Development
by Raffaello Furlan, Reem Awwaad, Alaa Alrababaa and Hatem Ibrahim
Sustainability 2025, 17(20), 9154; https://doi.org/10.3390/su17209154 - 16 Oct 2025
Viewed by 1354
Abstract
Urbanization has posed significant challenges to cities globally, including urban sprawl, traffic congestion, reduced livability, and poor walkability. In Doha, Qatar’s capital, these issues are particularly pronounced in the West Bay Central Business District (CBD). Transit-Oriented Development (TOD) is widely recognized as a [...] Read more.
Urbanization has posed significant challenges to cities globally, including urban sprawl, traffic congestion, reduced livability, and poor walkability. In Doha, Qatar’s capital, these issues are particularly pronounced in the West Bay Central Business District (CBD). Transit-Oriented Development (TOD) is widely recognized as a key strategy to advance sustainable urbanism and mitigate such challenges. This study employs the Integrated Modification Methodology (IMM) to systematically assess the urban design and spatial configuration of West Bay through observational analysis. The research aims to reassess the urban form and enhance transit integration through a multi-stage, iterative process, focusing on critical determinants such as compactness, complexity, and connectivity. The analysis is structured around five essential design dimensions: (i) walkability, (ii) ground-level land use balance, (iii) mixed-use and public spaces, (iv) inter-modality and transport hubs, and (v) the public transportation network. Findings reveal key urban design deficiencies, including limited intermodal connectivity, insufficient green open spaces, and a lack of diverse land use around the metro station. To address these gaps, the study proposes a set of context-sensitive policy and design guidelines to support TOD-based regeneration. This research contributes directly to SDG 11: Sustainable Cities and Communities, and supports SDG 9 and SDG 13 through its emphasis on infrastructure integration and climate-responsive planning. The findings offer practical insights for urban planners, developers, and policymakers engaged in sustainable urban transformation. Full article
(This article belongs to the Section Development Goals towards Sustainability)
Show Figures

Figure 1

33 pages, 6537 KB  
Article
Policy-Driven Urban Expansion and Land Use/Land Cover Change in Ewa, Honolulu (2002–2022): Remote Sensing and Machine Learning Analysis of Transit-Oriented Development Impacts
by Padmendra Prasad Shrestha, Asheshwor Man Shrestha and Chang-Yu Hong
Land 2025, 14(10), 2041; https://doi.org/10.3390/land14102041 - 13 Oct 2025
Viewed by 1040
Abstract
While prior studies on LULC change in the Ewa region of O’ahu Hawai’i have explored the policy implications and the rapid infrastructure changes on land use, very few studies have attempted to fully integrate both of these changes in a comprehensive, long-term study [...] Read more.
While prior studies on LULC change in the Ewa region of O’ahu Hawai’i have explored the policy implications and the rapid infrastructure changes on land use, very few studies have attempted to fully integrate both of these changes in a comprehensive, long-term study of island geographies. Most of the past work has focused on general trends or short-term fluctuations, without considering the play of nuanced interactions between urbanization policies, transit-oriented development, and constraints of Hawai’i’s finite land resources. To fill these gaps, this study examines LULC changes in Ewa, Honolulu between 2002 and 2022, which emphasizes the impacts of strategic urban policies and infrastructure development, such as the Honolulu Skyline Rail Transit System. Using Landsat 7 satellite imagery and random forest machine learning classifier, in Google Earth Engine, LULC is classified into urban, forest, vegetation, barren, and water with classification accuracy of over 85%. The results highlight trends of significant urban growth especially after 2010, and highlight key issues of tension between housing demands and environmental sustainability in O’ahu. This study highlights the potential of integrated remote sensing and policy analysis for informing sustainable development in land-constrained island settings, and advocates for planning frameworks that more effectively balance growth, ecosystem stewardship, and community welfare. Full article
Show Figures

Figure 1

32 pages, 1052 KB  
Article
Transit-Oriented Development Urban Spatial Forms and Typhoon Resilience in Taipei: A Dynamic Analytic Network Process Evaluation
by Chia-Nung Li, Yi-Kai Hsieh and Chien-Wen Lo
Atmosphere 2025, 16(10), 1178; https://doi.org/10.3390/atmos16101178 - 13 Oct 2025
Cited by 1 | Viewed by 1990
Abstract
Taipei’s metropolitan region faces frequent typhoon impacts that test its urban resilience. This study examines the relationship between Transit-Oriented Development (TOD) urban spatial forms and Taipei’s resilience against typhoons, considering both physical urban morphology and planning factors. We apply a Dynamic Analytic Network [...] Read more.
Taipei’s metropolitan region faces frequent typhoon impacts that test its urban resilience. This study examines the relationship between Transit-Oriented Development (TOD) urban spatial forms and Taipei’s resilience against typhoons, considering both physical urban morphology and planning factors. We apply a Dynamic Analytic Network Process (DANP), an integrated DEMATEL-ANP multi-criteria approach to evaluate and prioritize key resilience-related spatial and planning factors in TOD areas. Rather than using GIS flood modeling, we emphasize empirical indicators derived from local data, including urban density, transit accessibility, historical typhoon flood impacts, infrastructure vulnerability, and demographic exposure. An extensive literature review covers TOD principles, urban resilience theory, and DANP methodology, with a particular emphasis on the Taiwanese context and case studies. Empirical results reveal that specific TOD characteristics indeed enhance typhoon resilience. High-density, mixed-use development around transit can reduce overall exposure to hazards by curbing sprawl into floodplains and enabling efficient evacuations. Using DANP, we find that infrastructure robustness and emergency planning capacity emerge as the most influential factors for resilience in Taipei’s TOD neighborhoods, followed by land use and management and transit accessibility. Weighted rankings of Taipei’s districts suggest that centrally located TOD-intensive districts score higher in resilience metrics, while peripheral districts with flood-prone areas tend to lag. The Discussion explores these findings, considering planning policies—noting that TOD can bolster resilience if coupled with adaptive infrastructure and inclusive planning—and compares them with examples like Singapore’s integrated land use and transit strategy, which dramatically reduced flood risk. The study concludes with policy implications for integrating TOD and climate resilience in urban planning, and contributions of the DANP approach for complex urban resilience evaluations. Full article
(This article belongs to the Special Issue Urban Adaptation to Heat and Climate Change)
Show Figures

Figure 1

Back to TopTop