Sign in to use this feature.

Years

Between: -

Subjects

remove_circle_outline
remove_circle_outline
remove_circle_outline
remove_circle_outline
remove_circle_outline
remove_circle_outline

Journals

Article Types

Countries / Regions

Search Results (15)

Search Parameters:
Keywords = TiAlSiN/WC-Co

Order results
Result details
Results per page
Select all
Export citation of selected articles as:
22 pages, 8571 KB  
Article
Optimization of Micro-Sandblasting Parameters for Enhanced Adhesion and Wear Resistance of AlTiSiN-Coated Tools
by Junlong Wang, Jiaxuan Du, Zhipeng Liu, Hongliang Qian and Qi Wang
Coatings 2025, 15(7), 757; https://doi.org/10.3390/coatings15070757 - 26 Jun 2025
Viewed by 653
Abstract
Micro-sandblasting pretreatment was applied to AlTiSiN-coated WC–Co tools to enhance cutting performance in 316 L stainless steel milling. An L9(33) Taguchi orthogonal array varied passivation pressure (0.1, 0.2, and 0.3 MPa), gun traverse speed (60, 80, and 100 m/min), [...] Read more.
Micro-sandblasting pretreatment was applied to AlTiSiN-coated WC–Co tools to enhance cutting performance in 316 L stainless steel milling. An L9(33) Taguchi orthogonal array varied passivation pressure (0.1, 0.2, and 0.3 MPa), gun traverse speed (60, 80, and 100 m/min), and tool rotation speed (20, 30, and 40 r/min). Coating thickness varied only from 0.93 to 1.19 μm, and surface roughness remained within 0.044–0.077 μm, confirming negligible thickness and roughness effects. Under optimized conditions, coating adhesion strength and nano-hardness both exhibited significant improvements. A weighted-scoring method balancing these two responses identified the optimal pretreatment parameters as 0.1 MPa, 80 m/min, and 20 r/min. Milling tests at 85 m/min—using flank wear VBₘₐₓ = 0.1 mm as the failure criterion—demonstrated a cutting distance increase from 4.25 m (untreated) to 12.75 m (pretreated), a 200% improvement. Wear progressed through three stages: rapid initial wear, extended steady wear due to Al2O3 protective-film formation and Si-induced oxygen-diffusion suppression, and accelerated wear. Micro-sandblasting further prolonged the steady-wear phase by removing residual cobalt binder, exposing WC grains, and offsetting tensile residual stresses. These findings establish a practical, cost-effective micro-sandblasting pretreatment strategy that significantly enhances coating adhesion, hardness, and tool life, providing actionable guidance for improving the durability and machining performance of coated carbide tools in difficult-to-cut applications. Full article
Show Figures

Figure 1

18 pages, 10914 KB  
Article
Contrast Role of Third Body Layer and Hard Abrasives in the Wear Process of a TiAlSiN Hardness-Modulated Multilayer Coating: A Case Study on the Effect of Normal Load and Velocity
by Fan Zhao, Zhou Zhu, Jiaxin Yu, Zhiquan Luo and Huimin Qi
Coatings 2024, 14(7), 821; https://doi.org/10.3390/coatings14070821 - 2 Jul 2024
Cited by 2 | Viewed by 1500
Abstract
Working conditions exert an important influence on the tribological properties of protective coatings, thus affecting the wear resistance of workpieces. In this work, a TiAlSiN hardness-modulated multilayer coating with a good match of strength and toughness was deposited on WC-Co substrates. The adhesive [...] Read more.
Working conditions exert an important influence on the tribological properties of protective coatings, thus affecting the wear resistance of workpieces. In this work, a TiAlSiN hardness-modulated multilayer coating with a good match of strength and toughness was deposited on WC-Co substrates. The adhesive wear played a predominant role under the condition of a larger normal load and lower velocity, leading to the formation of a third body layer composed of compressed and lubricating oxides. As a result, the wear rate of the coating tested at 20 N reduced by 23% of that tested at 5 N. Instead, abrasive wear was more manifest, leading to the formation of big-size abrasives, and thus the wear rate increased by 2.8 times while the velocity elevated from 4 mm/s to 16 mm/s. A full factorial analysis of the wear behaviors, including the nanohardness and roughness of the wear track, and the friction coefficient and wear rate of the coating, offered good guidance for the comprehension of the wear form of the TiAlSiN multilayer coating. The results demonstrated the optimization of multilayer structures for TiAlSiN coatings to attain better wear resistance under coupling conditions of normal load and velocity: harder or more lubricated sublayers. Full article
Show Figures

Figure 1

14 pages, 5075 KB  
Article
Influence of Si Addition on the Chemical and Tribological Performance of TiAlCrN Coating Deposited by Co-Sputtering
by L. C. Ardila, R. Dueñas, G. Orozco, J. J. Olaya, A. F. Ordoñez, C. M. Moreno and Y. Pineda
Crystals 2023, 13(12), 1666; https://doi.org/10.3390/cryst13121666 - 7 Dec 2023
Cited by 2 | Viewed by 1618
Abstract
In this work, nanostructured TiAlCrN coatings were deposited on a WC-Co substrate using a co-sputtering process varying the silicon composition on the coatings. The influence of silicon content on the mechanical, chemical, and tribological performance of the coatings was studied. The hardness increases [...] Read more.
In this work, nanostructured TiAlCrN coatings were deposited on a WC-Co substrate using a co-sputtering process varying the silicon composition on the coatings. The influence of silicon content on the mechanical, chemical, and tribological performance of the coatings was studied. The hardness increases from 11 to 16 GPa with the Si content; also, Young’s modulus increases from 260 to 295 GPa. The H/E ratio, which is a measure of materials’ ability to take the strain before deformation, is also increased with the increase in Si content, suggesting increased toughness. XPS analysis reveals that the coatings present titanium, aluminum, chromium, and silicon nitrides. The tribological behavior of the coatings was conducted through ball-on-disc tests, in which the results show that the coefficients of friction range from 0.15 to 0.55, with the lowest for the samples with the highest Si content. This behavior is benefited by the formation of oxynitride species, identified by XPS, which acts as lubricating layers and diffusion barriers. TiAlCrSixN coating presents a potential application for severe wear owing to its tribological performance. Full article
(This article belongs to the Section Crystalline Metals and Alloys)
Show Figures

Figure 1

15 pages, 6113 KB  
Article
Influence of Cr on the Surface Properties of the Micro-Textured WC+Co Alloy Coating
by Xin Tong, Qiang Qu, Yu Zhang and Pei Han
Coatings 2023, 13(4), 731; https://doi.org/10.3390/coatings13040731 - 3 Apr 2023
Viewed by 1566
Abstract
In this paper, we investigated the effect of Cr on the surface properties of the micro-textured WC+Co alloy coating. An interactive test was designed that considered the parameters of an AlSiTiN coating and an AlSiTiN–AlCrN double coating. Using hardness and phase composition as [...] Read more.
In this paper, we investigated the effect of Cr on the surface properties of the micro-textured WC+Co alloy coating. An interactive test was designed that considered the parameters of an AlSiTiN coating and an AlSiTiN–AlCrN double coating. Using hardness and phase composition as evaluation criteria, the influence of Cr on the mechanical properties and microstructure of the coating surface was analyzed. A friction and wear test platform was formed to explore the mechanism of the Cr influence on the friction performance and wear state of the coating surface. The results show that Cr leads to the generation of the α-Cr phase particles in the surface structure of the specimen. They easily combine with C to form carbides, which improve the coating hardness; the atomic radius of Cr is smaller than that of Al, so it can dissolve in AlN. This induces lattice distortion, changing the phase composition in the structure; the coating with Cr exhibits better surface friction performance and wear morphology, simultaneously generating enhanced mechanical vibrations. Full article
(This article belongs to the Special Issue Surface Modification of Engineering and Functional Materials)
Show Figures

Figure 1

26 pages, 10454 KB  
Article
Research on Interface Bonding Properties of TiAlSiN/WC-Co Doped with Graphene
by Junru Yang, Yan Wang, Hao Lv, Yanping Yue, Shulei Li and Ran Zhu
Micromachines 2023, 14(2), 431; https://doi.org/10.3390/mi14020431 - 11 Feb 2023
Cited by 1 | Viewed by 1756
Abstract
Based on the first-principles method, TiAlSiN/WC-Co interface models with graphene doped into the matrix, coating, and the coating/matrix are constructed. The interface adhesion work is calculated and modeled to study the interface bonding properties from the atomic microscopic point of view. The results [...] Read more.
Based on the first-principles method, TiAlSiN/WC-Co interface models with graphene doped into the matrix, coating, and the coating/matrix are constructed. The interface adhesion work is calculated and modeled to study the interface bonding properties from the atomic microscopic point of view. The results show that the interface bonding properties of TiAlSiN/WC-Co can be improved when the matrix is doped with the main surface of intrinsic graphene, and the interface bonding property of TiAlSiNN/WC-Co can be improved when the coating and coating/matrix are doped separately with the main surface of intrinsic graphene or single vacancy defective graphene. Furthermore, the model electronic structures are analyzed. The results show that there exist strong Si/Co and N/Co covalent bonds in the interfaces when the matrix is doped with the main surface of intrinsic graphene, which causes the adhesion work of TiAlSiN/WC/msGR/Co to be greater than that of TiAlSiN/WC-Co. Additionally, when the graphene is doped into the coating, in the interface of TiAlSiN/msGR/TiAlSiNN/WC-Co, there exist strong N/Co covalent bonds that increase the interface adhesion work. Additionally, more charge transfer and orbital hybridization exist in the coating/matrix interface doped with the main surface of intrinsic graphene or single vacancy defective graphene, which explains the essential mechanism that the adhesion work of TiAlSiNN/msGR/WC-Co is greater than that of TiAlSiNN/WC-Co, and the adhesion work of TiAlSiNN/svGR/WC-Co is greater than that of TiAlSiNN/WC-Co. Full article
(This article belongs to the Special Issue Advanced Manufacturing Technology and Systems, 2nd Edition)
Show Figures

Figure 1

17 pages, 9587 KB  
Article
Improvement of the Tribocorrosion Properties of Cemented Carbide (WC-Tic-Co) Samples with PVD Coating
by José Antonio García, Adrián Claver, Mikel Marques, Eluxka Almandoz, Jonathan Fernández de Ara, José F. Palacio and Ibon Azkona
Coatings 2022, 12(12), 1884; https://doi.org/10.3390/coatings12121884 - 4 Dec 2022
Cited by 2 | Viewed by 2535
Abstract
This study aims to investigate the improvement of the tribocorrosion properties of WC-TiC-Co substrates by coating them with hard coatings such as AlCrSiN using cathodic arc deposition. WC-TiC-Co is commonly used in the fabrication of machining and cutting tools; however, there are some [...] Read more.
This study aims to investigate the improvement of the tribocorrosion properties of WC-TiC-Co substrates by coating them with hard coatings such as AlCrSiN using cathodic arc deposition. WC-TiC-Co is commonly used in the fabrication of machining and cutting tools; however, there are some materials such as titanium or stainless steel that are difficult to work with; furthermore, in aggressive environments or under high temperatures the performance of the machining tools can be affected, and a failure may occur. This coating is intended to ensure the correct performance of the tools in any conditions. The coatings were characterized by glow discharge optical emission spectroscopy (GDOES), scanning electron microscopy (SEM) and X-ray diffraction (XRD). Tribocorrosion, tribology and corrosion tests were performed to evaluate the tribocorrosion properties of the samples. Furthermore, mechanical and adhesive properties of the coating were studied using scratch and nanoindentation tests. The results showed improved tribocorrosion properties in the samples combined with good adhesive and mechanical properties. These results show the possibility of using these coated materials in the most demanding cutting and machining applications. Full article
(This article belongs to the Special Issue Design, Characterization and Applications of Functional Coatings)
Show Figures

Figure 1

32 pages, 12030 KB  
Article
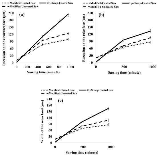
Improvement of the Wear Resistance of Circular Saws Used in the First Transformation of Wood through the Utilization of Variable Engineered Micro-Geometry Performed on PVD-Coated WC-Co Tips
by Maryam Torkghashghaei, William Shaffer, Bruna Ugulino, Rémi Georges, Roger E. Hernández and Carl Blais
Appl. Sci. 2022, 12(23), 12213; https://doi.org/10.3390/app122312213 - 29 Nov 2022
Cited by 4 | Viewed by 2649
Abstract
Reduced performance of circular saws due to premature chipping of their teeth has been a critical issue in woodcutting industry for many years. This research examined the impact of surface coating and variable engineered micro-geometry of the cutting edges of carbide teeth (tips) [...] Read more.
Reduced performance of circular saws due to premature chipping of their teeth has been a critical issue in woodcutting industry for many years. This research examined the impact of surface coating and variable engineered micro-geometry of the cutting edges of carbide teeth (tips) on the wear resistance of circular saws used in primary wood processing. CrN/CrCN/DLC, CrN/AlTiN, CrN/CrCN, and CrCN/TiSiCN were deposited on tungsten carbide-cobalt (WC-Co) substrates using the cathodic arc evaporation technique. The CrN/CrCN coating proved to be the one with highest wear resistance and adhesion among those studied. No sign of delamination was observed around the indentation of the CrN/CrCN coating after the adhesion test. Furthermore, no abrasion, delamination or crack was observed on the surface of the CrN/CrCN coating after the three-body abrasion wear test. The results of the dry-sliding wear test revealed that CrN/CrCN coating significantly decreased the wear rate of WC-Co substrates by 74%, 66% and 77% at sliding speeds of 50, 100 and 250 mm/s, respectively. Afterwards, a CrC/CrCN coating was deposited on the teeth of conventional circular saws. Next, the cutting edges of teeth were modified through variable engineered micro-geometry. Tests were conducted at a sawmill with three series of saws: 1-coated and edge-modified, 2-coated and conventional edge geometry, and 3-uncoated and edge-modified. Wood processing was performed during two shifts of 480 min each. The width of the wear land was the criterion used as the wear index. The results of industrial tests showed that saws with edge-modified teeth had significantly less chipping and no breakage at their corners compared to the saw without edge modification (conventional saw). After 480 min of sawing, the wear rate of the coated saw with edge modification decreased by 46% and 16%, compared to the coated saw without edge modification and the uncoated saw with edge-modified teeth, respectively. Those values reached 73 % and 41%, respectively, after 960 min of sawing. The study shows that by optimizing the surface chemistry and the geometry of the cutting edge of WC-Co tips, tool life can be significantly increased therefore reducing downtime due to saw replacement and resharpening, thus significantly increasing productivity in the first transformation of wood. Full article
(This article belongs to the Section Materials Science and Engineering)
Show Figures

Figure 1

15 pages, 5050 KB  
Article
Comparison Study of PVD Coatings: TiN/AlTiN, TiN and TiAlSiN Used in Wood Machining
by Beata Kucharska, Paweł Czarniak, Krzysztof Kulikowski, Agnieszka Krawczyńska, Krzysztof Rożniatowski, Jerzy Kubacki, Karol Szymanowski, Peter Panjan and Jerzy Robert Sobiecki
Materials 2022, 15(20), 7159; https://doi.org/10.3390/ma15207159 - 14 Oct 2022
Cited by 17 | Viewed by 3696
Abstract
In this paper, we analyze the possibilities of the protection of tools for wood machining with PVD (Physical Vapor Deposition) hard coatings. The nanolayered TiN/AlTiN coating, nanocomposite TiAlSiN coatings, and single layer TiN coating were analyzed in order to use them for protection [...] Read more.
In this paper, we analyze the possibilities of the protection of tools for wood machining with PVD (Physical Vapor Deposition) hard coatings. The nanolayered TiN/AlTiN coating, nanocomposite TiAlSiN coatings, and single layer TiN coating were analyzed in order to use them for protection of tools for wood machining. Both nanostructured coatings were deposited in an industrial magnetron sputtering system on the cutting blades made of sintered carbide WC-Co, while TiN single layer coating was deposited by evaporation using thermionic arc. In the case of TiN/AlTiN nanolayer coatings the thickness of the individual TiN and AlTiN layer was in the 5–10 nm range, depending on the substrate vertical position. The microstructure and chemical composition of coatings were studied by scanning electron microscopy (SEM) and energy-dispersive X-ray spectroscopy (EDS) method. Additionally, in the case of the TiN/AlTiN coating, which was characterized by the best durability characteristics, the transmission electron microscope (TEM) and X-ray photoelectron spectroscopy (XPS) methods were applied. The coatings adhesion to the substrate was analyzed by scratch test method combined with optical microscopy. Nano-hardness and durability tests were performed with uncoated and coated blades using chipboard. The best results durability characteristics were observed for TiN/AlTiN nanolayered coating. Performance tests of knives protected with TiN and TiAlSiN hard coatings did not show significantly better results compared to uncoated ones. Full article
(This article belongs to the Special Issue Advanced Materials – Microstructure, Manufacturing and Analysis)
Show Figures

Figure 1

15 pages, 4356 KB  
Article
Effect of Substrates Characteristics on Tribological Behaviors of AlTiN-Based Coated WC–Co Cemented Carbides
by Yi Chen, Li Zhang, Zhiqiang Zhong and Shanlin Wang
Coatings 2022, 12(10), 1517; https://doi.org/10.3390/coatings12101517 - 10 Oct 2022
Cited by 2 | Viewed by 1784
Abstract
The wear resistance of coated tools is a key technical parameter, which is indirectly affected by the substrate phase characteristics. WC–Co cemented carbides with varied WC grain sizes (0.4, 0.7, 1.2 μm) and Co contents (3, 6, 10, 12 wt.%) were used as [...] Read more.
The wear resistance of coated tools is a key technical parameter, which is indirectly affected by the substrate phase characteristics. WC–Co cemented carbides with varied WC grain sizes (0.4, 0.7, 1.2 μm) and Co contents (3, 6, 10, 12 wt.%) were used as the substrates. Single-layer Al0.52Ti0.48N and multilayer Ti0.89Si0.11N/TiAlSiN/Al0.52Ti0.48N films were deposited on the substrates by DC magnetron sputtering. Reciprocating friction tests were carried out in the air medium and the 3.5 wt.% NaCl aqueous solution, respectively. In the air medium, the films on the fine and the submicron WC–Co substrates with the weaker carrying capacity became worn through earlier than those on the ultrafine substrates. In the NaCl solution medium, for the ultrafine-grained WC–10Co substrates with different Co contents, the friction coefficients (FS) of the film had a linear negative correlation with the hardness (HS) of the substrates. With the decrease in the WC grain sizes or the Co contents, the wear rates of the coated alloys decreased gradually (by 19.7% and 34.5%, respectively). The regular patterns obtained can provide a reference for the selection and design of the phase composition of the cemented carbide substrates. Full article
Show Figures

Figure 1

18 pages, 23244 KB  
Article
Effect of Micro-Textures on the Surface Interaction of WC+Co Alloy Composite Coatings
by Xin Tong, Yu Zhang and Xiaoyang Yu
Coatings 2022, 12(9), 1242; https://doi.org/10.3390/coatings12091242 - 25 Aug 2022
Cited by 1 | Viewed by 1688 | Correction
Abstract
The surface properties of alloys can be improved by coating their surfaces and adding a micro-texture. The effect on the surface properties of alloy composite coatings of adding a textured surface has not been addressed in previous studies. In this study, a micro-texture [...] Read more.
The surface properties of alloys can be improved by coating their surfaces and adding a micro-texture. The effect on the surface properties of alloy composite coatings of adding a textured surface has not been addressed in previous studies. In this study, a micro-texture was added to the surface of a WC+Co alloy AlCrN/AlTiSiN composite coating. The influence of the micro-texture’s geometric parameters on the surface properties of the composite coating and its lifespan were studied in detail. First, the surface hardness and phases of various micro-textured composite coatings were analyzed to explore the effect of different micro-texture parameters on the surface properties. Then, a friction and wear test was conducted to establish a model that can predict the lifespan of a micro-texture and the influence of different micro-texture parameters on the surface friction of the composite coating. After that, the wear pattern of the composite coating and the relative action of the micro-texture were analyzed on the basis of the visible wear morphology. The results show that using a laser to add a micro-texture to the surface of a composite coating creates a hardened layer that increases the coating’s surface hardness. Analysis of the surface phases of the composite coating showed that there are three principal types of grain on the surface, namely WC, CrN and TiN, with WC having the largest grain size. The main kind of wear on the surface of the composite coating was found to be abrasive wear, which can be reduced by the addition of a micro-texture. Full article
Show Figures

Figure 1

10 pages, 4402 KB  
Article
Wear Resistance of TiAlCrSiN Coatings Deposited by Means of the Co-Sputtering Technique
by Fredy Antonio Estupiñan, Carlos Mauricio Moreno, Jhon Jairo Olaya and Luis Carlos Ardila
Lubricants 2021, 9(6), 64; https://doi.org/10.3390/lubricants9060064 - 21 Jun 2021
Cited by 7 | Viewed by 2772
Abstract
TiAlCrSiN thin films were deposited on K20 WC–Co substrates using the co-sputtering method. The silicon content in the deposited coatings were varied by modifying the number of silicon pieces (1, 2, or 3) on the Cr target. The morphology, semi-quantitative chemical composition, and [...] Read more.
TiAlCrSiN thin films were deposited on K20 WC–Co substrates using the co-sputtering method. The silicon content in the deposited coatings were varied by modifying the number of silicon pieces (1, 2, or 3) on the Cr target. The morphology, semi-quantitative chemical composition, and microstructure were investigated using scanning electron microscopy (SEM), energy disperse spectroscopy (EDS), and X-ray diffraction (XRD), respectively. Modified ASTM B611 abrasive wear and nano-hardness tests were used to evaluate the tribological and mechanical properties of the different coatings, respectively. The results showed that the addition of Si promotes an increased hardness and elastic modulus. Also, mass loss in wear tests decreased as Si increased, due to the growth in hardness related to the microstructural refinement produced by the blocking of sliding bands by the grain boundaries. Full article
(This article belongs to the Special Issue Tribological Applications of Nano & Submicro Structured Materials)
Show Figures

Figure 1

26 pages, 3694 KB  
Review
Electrical Discharge Machining Non-Conductive Ceramics: Combination of Materials
by Marina A. Volosova, Anna A. Okunkova, Sergey V. Fedorov, Khaled Hamdy and Mariya A. Mikhailova
Technologies 2020, 8(2), 32; https://doi.org/10.3390/technologies8020032 - 28 May 2020
Cited by 36 | Viewed by 8214
Abstract
One of the promising processing methods for non-conductive structural and functional ceramics based on ZrO2, Al2O3, and Si3N4 systems is electrical discharge machining with the assistance of an auxiliary electrode that can be presented [...] Read more.
One of the promising processing methods for non-conductive structural and functional ceramics based on ZrO2, Al2O3, and Si3N4 systems is electrical discharge machining with the assistance of an auxiliary electrode that can be presented in the form of conductive films with a thickness up to 4–10 µm or nanoparticles - granules, tubes, platelets, multidimensional particles added in the working zone as a free poured powder the proper concentration of which can be provided by ultrasound emission or by dielectric flows or as conductive additives in the structure of nanocomposites. However, the described experimental approaches did not reach the production market and industry. It is related mostly to the chaotic development of the knowledge and non-systematized data in the field when researchers often cannot ground their choice of the material for auxiliary electrodes, assisting powders, or nano additives or they cannot explain the nature of processes that were observed in the working tank during experiments when their results are not correlated to the measured specific electrical conductivity of the electrodes, particles, ceramic workpieces or nanocomposites but depends on something else. The proposed review includes data on the main electrophysical and chemical properties of the components in the presence of heat when the temperature in the interelectrode gap reaches 10,000 °C, and the systematization of data on ceramic pressing methods, including spark plasma sintering, the chemical reactions that occur in the interelectrode gap during sublimation of primary (brass and copper) and auxiliary electrodes made of transition metals Ti, Cr, Co, and carbon, auxiliary electrodes made of metals with low melting point Zn, Ag, Au, Al, assisting powder of oxide ceramics TiO2, CeO2, SnO2, ITO, conductive additives Cu, W, TiC, WC, and components of Al2O3 and Zr2O workpieces in interaction with the dielectric fluid - water and oil/kerosene medium. Full article
(This article belongs to the Special Issue Reviews and Advances in Materials Processing)
Show Figures

Graphical abstract

11 pages, 3549 KB  
Proceeding Paper
Surface Topography and Grain Morphology of Nanolayer TiAlN/TiSIN Coating Governed by Substrate Material and Rotation during Deposition
by Vladimir Terek, Aleksandar Miletić, Lazar Kovačević, Dragan Kukuruzović, Branko Škorić, Peter Panjan and Pal Terek
Mater. Proc. 2020, 2(1), 32; https://doi.org/10.3390/CIWC2020-06822 - 12 May 2020
Viewed by 1691
Abstract
Nanolayer TiAlN/TiSiN coating is one of the most advanced contemporary protective coatings. It has been applied for protection of machining tools, forming tools, and die casting tools. However, due to its versatile properties, there is a high potential for broadening its application; for [...] Read more.
Nanolayer TiAlN/TiSiN coating is one of the most advanced contemporary protective coatings. It has been applied for protection of machining tools, forming tools, and die casting tools. However, due to its versatile properties, there is a high potential for broadening its application; for example, for protection of biomedical implants. Each application requires specific base materials, for example cold working steels are used for forming, while stainless steels are applied for biomedical purposes. Different materials and their pre-treatment might result in different coating properties even if coating was conducted in a single batch. Real tools and components have complex geometries, and as such require a multiple-axis rotation during the deposition. Among other properties, grain morphology and surface topography are of great importance in a real application. Since systematic studies on the effect of substrate materials and rotation during deposition on these properties are very scarce, in this article we studied TiAlN/TiSiN coating magnetron sputtered on five different substrates, prepared with 1-, 2-, and 3-fold rotations. Cold-work tool steel (X153CrMoV12), hot-work tool steel (X37CrMoV5-1), plasma-nitrided hot-work tool steel, surgical stainless steel (X2CrNiMo18-15-3), and cemented carbide (WC/Co) were used as substrate materials. Three-dimensional stylus profilometry and atomic force microscopy were used for evaluation of micro and nano topography. The coated surgical steel has the highest roughness (Sa) which corresponds to the highest number of coating growth defects. However, the size of the individual growth defects was considerably smaller for this substrate than for other substrate materials. The observed difference is linked to differences in the concentration of specific carbides contained in a specific steel. Since different carbides have different polishing and ion-etching rates, coatings on different steels may have different concertation of defects. Columnar grain analysis revealed that coating on surgical steel exhibited the smallest column diameter (125 nm) and their highest uniformity. Column diameter on other substrates is around 215 nm, while hot-working tool steel exhibited the largest columns (235 nm). Such findings suggest that the same coating may exhibit different mechanical properties on different substrates. Coatings produced with the higher degree of rotation (2-fold, 3-fold) have fewer defects and a smoother surface. There was no clear trend between columnar grain size and the number of rotational degrees. Full article
(This article belongs to the Proceedings of 2nd Coatings and Interfaces Web Conference (CIWC-2 2020))
Show Figures

Figure 1

16 pages, 6504 KB  
Article
The Performance of TiAlSiN Coated Cemented Carbide Tools Enhanced by Inserting Ti Interlayers
by Guodong Li, Liuhe Li, Mingyue Han, Sida Luo, Jie Jin, Lei Wang, Jiabin Gu and Hu Miao
Metals 2019, 9(9), 918; https://doi.org/10.3390/met9090918 - 22 Aug 2019
Cited by 39 | Viewed by 4143
Abstract
To enhance the cutting performance of TiAlSiN coated cemented carbide tools by inserting Ti interlayers and to explore their mechanism, TiAlSiN/Ti multilayer coatings with different Ti thicknesses, including 0 nm, 25 nm, 50 nm, 100 nm, and 150 nm, were deposited onto cemented [...] Read more.
To enhance the cutting performance of TiAlSiN coated cemented carbide tools by inserting Ti interlayers and to explore their mechanism, TiAlSiN/Ti multilayer coatings with different Ti thicknesses, including 0 nm, 25 nm, 50 nm, 100 nm, and 150 nm, were deposited onto cemented carbide (WC-10 wt%, Co) substrates by high power impulse magnetron sputtering (HiPIMS). The microstructure, hardness, grain orientation, residual stress, adhesion, and toughness of those coatings were measured, and the cutting performance against Inconel 718 was analyzed. Meanwhile, finite element method (FEM) indentation simulations were performed to gain detailed insight into the effects of Ti interlayer thickness on mechanical properties of TiAlSiN/Ti multilayer coatings. Results demonstrated that mechanical properties of TiAlSiN multilayer coatings were significantly changed after the Ti interlayer was introduced, and the multilayer coating #M2 with 25 nm Ti layer showed the excellent toughness and adhesion without sacrificing hardness too much. As Ti interlayer thickness increased, both toughness and adhesion decrease owing to the plastic mismatch between individual layers, and these changes were discussed detailedly with finite element method. Moreover, the result of the cutting experiment also revealed that the tool flank wear Vb can be reduced by the multilayer structure. This improvement is believed to be due to the increasing toughness, which alleviated the damage caused by the continuous impact load of hard phases generated by Inconel 718 during cutting. Full article
Show Figures

Graphical abstract

14 pages, 2010 KB  
Article
Machining Performance of Sputter-Deposited (Al0.34Cr0.22Nb0.11Si0.11Ti0.22)50N50 High-Entropy Nitride Coatings
by Wan-Jui Shen, Ming-Hung Tsai and Jien-Wei Yeh
Coatings 2015, 5(3), 312-325; https://doi.org/10.3390/coatings5030312 - 23 Jul 2015
Cited by 68 | Viewed by 8428
Abstract
(Al0.34Cr0.22Nb0.11Si0.11Ti0.22)50N50 high-entropy nitride coatings prepared by reactive magnetron sputtering have been proved to have high hardness and superior oxidation resistance. Their thermal stability, adhesion strength, and cutting performance were investigated [...] Read more.
(Al0.34Cr0.22Nb0.11Si0.11Ti0.22)50N50 high-entropy nitride coatings prepared by reactive magnetron sputtering have been proved to have high hardness and superior oxidation resistance. Their thermal stability, adhesion strength, and cutting performance were investigated in this study. Hardness of the coating is 36 GPa, which only decreases slightly to 33 GPa after 900 °C annealing either in air or in vacuum for 2 h. No significant change in phase and microstructure were detected after annealing at 1000 °C. Rockwell C indentation and scratch tests shows that Ti interlayer provides a good adhesion between the nitride film and WC/Co substrates. In various milling tests, inserts coated with (Al0.34Cr0.22Nb0.11Si0.11Ti0.22)50N50 have evidently smaller flank wear depth than commercial inserts coated with TiN and TiAlN, even with their smaller thickness. Therefore, the (Al0.34Cr0.22Nb0.11Si0.11Ti0.22)50N50 coating has great potential in hard coating applications. Full article
(This article belongs to the Special Issue High Entropy Alloy Coatings)
Show Figures

Figure 1

Back to TopTop