Sign in to use this feature.

Years

Between: -

Subjects

remove_circle_outline
remove_circle_outline
remove_circle_outline
remove_circle_outline
remove_circle_outline
remove_circle_outline
remove_circle_outline
remove_circle_outline
remove_circle_outline

Journals

remove_circle_outline
remove_circle_outline
remove_circle_outline
remove_circle_outline
remove_circle_outline
remove_circle_outline
remove_circle_outline
remove_circle_outline
remove_circle_outline
remove_circle_outline
remove_circle_outline
remove_circle_outline
remove_circle_outline

Article Types

Countries / Regions

remove_circle_outline
remove_circle_outline
remove_circle_outline
remove_circle_outline

Search Results (739)

Search Parameters:
Keywords = TSH

Order results
Result details
Results per page
Select all
Export citation of selected articles as:
10 pages, 481 KB  
Article
Thyroid Monitoring and Amiodarone-Induced Thyroid Disease in Australian General Practice: A Retrospective Cohort Study
by Eva van der Meer, Ven Yin Leong, Gregory M. Peterson and Woldesellassie M. Bezabhe
Clin. Pract. 2026, 16(3), 50; https://doi.org/10.3390/clinpract16030050 - 27 Feb 2026
Abstract
Background: Australian guidelines recommend conducting thyroid function tests (TFTs) before commencing amiodarone and every six months subsequently. This study sought to investigate thyroid monitoring in Australian general practice patients with atrial fibrillation (AF) who commenced amiodarone. Methods: We performed a retrospective observational analysis [...] Read more.
Background: Australian guidelines recommend conducting thyroid function tests (TFTs) before commencing amiodarone and every six months subsequently. This study sought to investigate thyroid monitoring in Australian general practice patients with atrial fibrillation (AF) who commenced amiodarone. Methods: We performed a retrospective observational analysis using a nationwide primary care dataset to examine whether TFTs were conducted according to guidelines following amiodarone initiation in euthyroid patients aged 18 years or older with AF. Secondary outcomes included the prevalence of amiodarone-induced thyroid dysfunction (AITD) and the identification of factors associated with its development. Results: In total, 12,932 patients with AF were included. Of these, 1306 (10.1%) had commenced long-term amiodarone. Two hundred twenty-six (17.3%) of the patients commenced on amiodarone did not have any recorded TFT results during an 18-month follow-up period. During follow-up, 18.1% and 4.4% of patients developed hypothyroidism in the amiodarone-treated and amiodarone-untreated groups, respectively (p < 0.0001). The corresponding values for hyperthyroidism were 7.3% and 2.5% in the amiodarone-treated and amiodarone-untreated groups, respectively (p < 0.0001). In the subset of patients commenced on amiodarone, after controlling for the number of TFTs within the follow-up, the risk factors independently associated with the development of hypothyroidism were baseline thyroid stimulating hormone (TSH) level (adjusted odds ratio/AOR: 3.80 (95% confidence interval: 3.00–4.82)) and the comorbidities heart failure (AOR: 1.64 (1.09–2.46)) and chronic kidney disease (AOR: 2.29 (1.26–4.18)). Baseline TSH (AOR: 0.43 (0.28–0.63)) was significantly associated with the development of hyperthyroidism in patients taking amiodarone. Conclusions: AITD was relatively common, occurring in one-quarter of patients within 18 months of initiation of amiodarone. Increased awareness is required amongst both clinicians and patients of the need for regular thyroid monitoring during therapy with amiodarone. Full article
Show Figures

Figure 1

22 pages, 1799 KB  
Article
Thyroid Function, Inflammation, and HDL-Cholesterol in Women with Acne: A Real-World Cross-Sectional Study Integrating Biochemistry and Thyroid Ultrasound
by Maria Madalina Singer, Ștefănița Bianca Vintilescu, Denisa Floriana Vasilica Pirscoveanu, Virginia Maria Rădulescu, Andreea Gabriela Mocanu, Oana-Elena Nicolaescu, Renata Maria Varut, Denisa Preoteasa, Mioara Desdemona Stepan, Ion Dorin Pluta and Cristina Elena Singer
J. Clin. Med. 2026, 15(5), 1768; https://doi.org/10.3390/jcm15051768 - 26 Feb 2026
Abstract
Background: Acne in adult women is increasingly recognized as a condition with systemic endocrine–metabolic correlates. Evidence linking acne to thyroid-related abnormalities and cardiometabolic risk markers remains mixed, and integrated real-world evaluations combining thyroid biochemistry, ultrasound metrics, inflammatory indices, and lipid profile are limited. [...] Read more.
Background: Acne in adult women is increasingly recognized as a condition with systemic endocrine–metabolic correlates. Evidence linking acne to thyroid-related abnormalities and cardiometabolic risk markers remains mixed, and integrated real-world evaluations combining thyroid biochemistry, ultrasound metrics, inflammatory indices, and lipid profile are limited. Methods: We performed a cross-sectional observational analysis of 80 women with acne who underwent routine laboratory testing and thyroid ultrasound assessment. Thyroid status was defined using TSH (reference 0.4–4.5 mIU/L) and free T4 (0.8–1.8 ng/dL), with an additional TSH-only sensitivity definition (high TSH >4.5 mIU/L). Low HDL-cholesterol (HDL-C) was defined as <50 mg/dL. Group comparisons used Mann–Whitney U tests with Hodges–Lehmann shifts; associations were summarized using odds ratios (ORs) with Fisher’s exact tests; correlations used Spearman’s ρ (TSH log-transformed for correlation analyses) with confidence intervals. Multiple testing was controlled within panels using Benjamini–Hochberg FDR. Analyses were complete-case per comparison. Results: Thyroid dysfunction and metabolic–inflammatory abnormalities were common in this cohort. Low HDL-C was more frequent in thyroid dysfunction, and in the TSH-only sensitivity analysis, high TSH (>4.5 mIU/L) was strongly associated with low HDL-C (OR 13.13, 95% CI 1.48–116.04; p = 0.020). In a minimal adjusted model including NLR, high TSH remained associated with low HDL-C (adjusted OR 12.93, 95% CI 1.44–115.70; p = 0.022). HDL-C showed an inverse association with NLR (ρ = −0.28; p = 0.023). Endocrine profiling suggested a positive association between ACTH and log(TSH) (ρ = 0.62; p = 0.004), although this did not remain significant after FDR correction. Thyroid ultrasound metrics showed limited correspondence with thyroid biochemistry. Conclusions: In women with acne, elevated TSH is associated with substantially higher odds of low HDL-C, independent of inflammatory burden as proxied by NLR, while thyroid ultrasound morphology contributes limited functional information. These findings support integrated thyroid–metabolic assessment in adult female acne and motivate prospective studies incorporating acne severity measures and standardized testing to clarify clinical implications. Full article
(This article belongs to the Section Dermatology)
Show Figures

Figure 1

13 pages, 714 KB  
Article
Free Thyroxine as a Predictor of Mortality in Critically Ill Septic Patients—A Retrospective Study
by Matei Florin Negruț, Vlad Pastor, Robert Bolcaș, Oana Antal, Robert Szabo and Cristina Petrișor
Diagnostics 2026, 16(5), 680; https://doi.org/10.3390/diagnostics16050680 - 26 Feb 2026
Abstract
Background/Objectives: Euthyroid sick syndrome (ESS), and particularly low T3, have been associated with increased mortality in septic patients, yet the prognostic value of free thyroxine (fT4) remains controversial. This study aims to evaluate the association between fT4 on ICU admission and mortality in [...] Read more.
Background/Objectives: Euthyroid sick syndrome (ESS), and particularly low T3, have been associated with increased mortality in septic patients, yet the prognostic value of free thyroxine (fT4) remains controversial. This study aims to evaluate the association between fT4 on ICU admission and mortality in septic patients. Methods: We conducted a single-center, retrospective observational study including 149 adult patients with sepsis or septic shock admitted to the Anesthesia and Intensive Care I Department of the Cluj County Emergency Hospital, Cluj-Napoca, Romania, between January 2019 and September 2025. Free T4 and thyroid-stimulating hormone (TSH) levels were measured within 24 h of ICU admission. The primary outcome was 28-day mortality, and the secondary outcome was in-hospital mortality. Demographic data, comorbidities, severity scores (SOFA, APACHE II), laboratory parameters, and outcomes were analyzed. Univariate and multivariate logistic regression analyses were performed, and predictive performance was assessed using area under the receiver operating characteristic curve (AUROC). Results: A total of 149 patients were included. Twenty-eight-day mortality was 29.73%, and 53.57% in patients with sepsis and septic shock, respectively. Serum fT4 was significantly lower in non-survivors, for both primary and secondary outcome (p = 0.01 and p = 0.014, respectively), whereas TSH levels were similar between groups. In the univariate analysis, fT4 showed moderate predictive ability for mortality (AUROC 0.615 and 0.632). Multivariate models, including age, hemoglobin, SOFA score, and fT4, showed a greater discriminative performance (AUROC 0.805 and 0.799). Conclusions: Lower fT4 levels on ICU admission seem to be independently associated with increased mortality in septic patients. Incorporating fT4 into multiparametric prognostic models might improve early risk stratification in sepsis, particularly in settings where other thyroid parameters are not routinely available. Full article
(This article belongs to the Special Issue Diagnosis and Prognosis of Sepsis)
Show Figures

Figure 1

13 pages, 654 KB  
Article
Revisiting Thyroid Function in Patients Undergoing Electroconvulsive Therapy for Severe or Treatment-Resistant Depression
by Emre Mutlu, Adile Begüm Bahçecioğlu and Şeref Can Gürel
J. Clin. Med. 2026, 15(5), 1740; https://doi.org/10.3390/jcm15051740 - 25 Feb 2026
Viewed by 86
Abstract
Background/Objectives: Evidence regarding the relationship between thyroid function tests (TFTs) and severe or treatment-resistant depression in euthyroid individuals remains limited. We aimed to investigate thyroid function tests (TFTs) in euthyroid patients with depression undergoing electroconvulsive therapy (ECT), evaluate associations with ECT response [...] Read more.
Background/Objectives: Evidence regarding the relationship between thyroid function tests (TFTs) and severe or treatment-resistant depression in euthyroid individuals remains limited. We aimed to investigate thyroid function tests (TFTs) in euthyroid patients with depression undergoing electroconvulsive therapy (ECT), evaluate associations with ECT response and depression severity, and explore whether clinically meaningful subgroups with differential thyroid function patterns can be identified. Methods: In this retrospective cohort study, we screened 107 inpatients who received ECT for severe or treatment-resistant depression (major depressive disorder [MDD] or bipolar disorder [BD]). Seventy-six euthyroid patients were analyzed. Clinical data, Hamilton Depression Rating Scale (HAMD) scores, and TFTs (TSH, free-T3, and free-T4) were assessed. Logistic regression, multiple linear regression and unsupervised hierarchical cluster analyses were performed. The cluster analysis used clinical and demographic variables, excluding TFTs to avoid circularity and allow thyroid parameters to be examined as secondary biological correlates. Results: The TFT results were not significantly associated with ECT response in euthyroid patients. The multiple linear regression revealed that the baseline HAMD scores were positively associated with free-T4 (β = 0.797, p = 0.001). Hierarchical clustering identified two subgroups; one group characterized by male sex, psychotic features, and MDD diagnosis exhibited lower TSH levels (2.12 vs. 1.49 mlU/L, Cohen’s d = 0.56) despite similar ECT response rates. Conclusions: Subtle TFT variations were not associated with ECT response but were related to depression severity and clinical phenotypes. These findings suggest that normal-range thyroid hormone variability may reflect state-related neuroendocrine patterns rather than predictors of treatment outcome. Our results should be regarded as hypothesis-generating and underline the need for prospective studies to clarify the clinical significance of thyroid function variability in severe depression. Full article
(This article belongs to the Section Mental Health)
Show Figures

Figure 1

9 pages, 747 KB  
Article
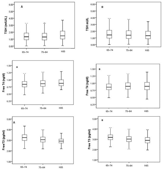
Establishing Age- and Sex-Specific Reference Intervals for Thyroid Function Tests in the Older People of Eastern Anatolia: A Population-Based Indirect Approach
by Zekiye Çatak, Harun Fener, Hakan Ayyıldız and Zeynep Şimal Çokgüler
Medicina 2026, 62(3), 425; https://doi.org/10.3390/medicina62030425 - 24 Feb 2026
Viewed by 120
Abstract
Background and Objectives: Given that hormone levels vary with age, the application of age-specific reference intervals in older populations is clinically essential. In this study, we aimed to establish age- and sex-specific reference intervals (RIs) for serum free triiodothyronine (fT3), free thyroxine (fT4), [...] Read more.
Background and Objectives: Given that hormone levels vary with age, the application of age-specific reference intervals in older populations is clinically essential. In this study, we aimed to establish age- and sex-specific reference intervals (RIs) for serum free triiodothyronine (fT3), free thyroxine (fT4), and thyroid-stimulating hormone (TSH) in healthy individuals aged ≥65 in Eastern Turkey using an indirect statistical method. Materials and Methods: This retrospective study included 3835 individuals (1986 males and 1849 females) who were evaluated at Elazığ Fethi Sekin City Hospital between 2020 and 2025. According to the Clinical and Laboratory Standards Institute (CLSI) C28-A3 guidelines, reference intervals were determined using a laboratory database–based indirect reference interval estimation approach with nonparametric percentile methods following a posteriori reference population selection, and the Harris–Boyd criteria were applied for age and sex partitioning. Results: The established reference intervals for those aged ≥65 years were 2.40–4.03 pg/mL for fT3, 0.60–1.27 ng/dL for fT4, and 0.41–3.94 mIU/L for TSH. While fT3 levels declined with age, TSH and fT4 levels did not differ consistently across age subgroups. Sex-based differences were significant: fT3 levels were higher in males, whereas fT4 and TSH levels were higher in females. According to the Harris–Boyd analysis, separate reference intervals are recommended for males and females. Conclusions: For healthy older individuals living in Eastern Türkiye, sex-specific reference intervals should be used for thyroid function tests, whereas age-specific reference intervals are sufficient for fT3. Full article
(This article belongs to the Special Issue Personal and Pervasive Health Care for the Elderly)
Show Figures

Figure 1

14 pages, 1338 KB  
Article
Prevalence and Recovery of Euthyroid Sick Syndrome in Pediatric Diabetic Ketoacidosis: A Retrospective Cohort Study
by Youssef A. Alqahtani, Ayed A. Shati, Ayoub A. Alshaikh, Abdullah Saeed Mohammed Raffaa, Abdulaziz Saeed Alqahtani, Fahad Abdullah Saeed Alshahrani, Mohammed Fahad Nasser Alshahrani, Mohammed Abdulrahman Al-Sultan, Abdulaziz Saud Alotaibi, Yazeed Sultan Alshahrani and Ramy Mohamed Ghazy
Children 2026, 13(2), 296; https://doi.org/10.3390/children13020296 - 20 Feb 2026
Viewed by 287
Abstract
Background: Euthyroid sick syndrome (ESS) is a common finding in critically ill patients, including children with diabetic ketoacidosis (DKA). However, its prevalence, specific hormonal patterns, and recovery in the pediatric population remain inadequately characterized. This study aimed to determine the prevalence of ESS [...] Read more.
Background: Euthyroid sick syndrome (ESS) is a common finding in critically ill patients, including children with diabetic ketoacidosis (DKA). However, its prevalence, specific hormonal patterns, and recovery in the pediatric population remain inadequately characterized. This study aimed to determine the prevalence of ESS in pediatric DKA, characterize its hormonal subtypes, and identify factors associated with short-term thyroid function recovery. Methods: A retrospective cohort study was conducted involving 182 pediatric patients (0–18 years) with type 1 diabetes mellitus admitted for DKA between January 2023 and June 2025. Thyroid function tests (TSH, FT4, FT3) were measured at presentations and two weeks after DKA resolution. ESS was defined using age-specific reference ranges. Results: The prevalence of ESS at DKA presentation was 61.5% (112/182). Two distinct hormonal phenotypes were identified: isolated low FT3 (n = 40, 35.7%) and combined low FT4 and FT3 (n = 72, 64.3%). Patients with the isolated low FT3 pattern were significantly younger (median 9.5 [3.50, 11.00] vs. 12.0 [8.50, 14.00] years, p = 0.004) and had milder hormonal derangement than the combined group. Normalization of FT4 was significantly lower in children with severe DKA compared with those with mild/moderate disease (50.0% vs. 84.8%, p = 0.002). FT3 normalization was also reduced in the severe group (20.0% vs. 42.4%), although this difference did not reach statistical significance (p = 0.078). After 2 weeks, all ESS patients (100%) had achieved normal levels of at least one thyroid hormone, with 38.4% reaching normalization of FT3 and 36.6% achieving normalization of all measured thyroid parameters. Age (adjusted odds ratio [aOR] = 2.08, 95% confidence interval (CI): 1.57–3.06, p < 0.001) and baseline FT4 level (aOR = 2.14, 95% CI: 1.51–3.32, p < 0.001) were positive predictors for complete recovery. Conclusion: ESS is highly prevalent in pediatric DKA, with distinct phenotypic patterns associated with age and the severity of acute illness, particularly the degree of acidosis. While transient in nature, complete biochemical recovery within two weeks is not universal. These findings underscore that thyroid function tests during acute DKA should be interpreted with caution to avoid misdiagnosis of primary thyroid disease, and they support the critical practice of follow-up testing after metabolic stabilization instead of immediate hormone replacement. Full article
(This article belongs to the Section Pediatric Endocrinology & Diabetes)
Show Figures

Figure 1

23 pages, 6187 KB  
Article
Design and Optimization of Thermosensitive Hydrogels Combined with Lipid Nanotechnology for Topical Curcumin Application
by Daniela Vergara, Benjamín Vega, Claudia Sanhueza, Mariela Bustamante, Francisca Acevedo and Olga López
Gels 2026, 12(2), 181; https://doi.org/10.3390/gels12020181 - 20 Feb 2026
Viewed by 209
Abstract
A novel co-encapsulation platform based on curcumin-loaded liposomes (Cur-Lip) incorporated into thermosensitive hydrogels (TSH) was developed to address the physicochemical and biological limitations of topical curcumin (Cur) delivery. Response Surface Methodology (RSM) was used to optimize Pluronic® F-127, glycerol, and alginate concentrations [...] Read more.
A novel co-encapsulation platform based on curcumin-loaded liposomes (Cur-Lip) incorporated into thermosensitive hydrogels (TSH) was developed to address the physicochemical and biological limitations of topical curcumin (Cur) delivery. Response Surface Methodology (RSM) was used to optimize Pluronic® F-127, glycerol, and alginate concentrations with respect to gelation time and viscosity. The optimized formulation (22% Pluronic® F-127, 5% glycerol, and 0.5% alginate) exhibited rapid time sol–gel transition (~86 s), suitable viscosity (~377 mPa·s), excellent model fitting (R2 = 0.99) and prediction accuracy. Three formulations (TSH, Cur-TSH, and Cur-Lip-TSH) were subsequently prepared and displayed appropriate thermoresponsive behavior. The Cur-Lip system showed high encapsulation efficiency (~78%). Upon incorporation into the TSH, Cur-Lip-TSH displayed increased viscosity and mechanical strength at physiological temperature. In vitro studies confirmed its cytocompatibility toward human keratinocytes, significant antibacterial activity against Staphylococcus aureus, Staphylococcus epidermidis, and Pseudomonas aeruginosa, and no irritation potential as assessed by the Hen’s Egg Test on the Chorioallantoic Membrane assay (HET-CAM). Overall, Cur-Lip-TSH represents a safe and robust thermosensitive platform that provides a foundation for future studies on controlled curcumin release and topical performance. Full article
Show Figures

Figure 1

9 pages, 830 KB  
Review
RBP4 in Ageing
by María Paz Nieto-Bona, María García-De Frutos and Adriana Izquierdo-Lahuerta
Biomedicines 2026, 14(2), 463; https://doi.org/10.3390/biomedicines14020463 - 19 Feb 2026
Viewed by 242
Abstract
Background: The protein that binds to retinol 4 (RBP4), is a lipocalin-family protein, secreted primarily by the adipose tissue and the liver, and has also been reported to be produced by other tissues, including the kidney. This protein mediates the transport of vitamin [...] Read more.
Background: The protein that binds to retinol 4 (RBP4), is a lipocalin-family protein, secreted primarily by the adipose tissue and the liver, and has also been reported to be produced by other tissues, including the kidney. This protein mediates the transport of vitamin A (retinol) in the circulation, bound to a transporter protein, transthyretin. In recent years, RBP4 has been shown to contribute to the development of insulin resistance and a range of metabolic disorders such as type 2 diabetes mellitus, gestational diabetes, obesity, metabolic syndrome, hyperuricaemia, metabolic dysfunction-associated steatotic liver disease (MASLD), and cardiorenal diseases. Objectives: The objective was to analyse the role of RBP4 in ageing, as well as its mechanisms and effects across organs and systems. Results: Circulating RBP4 levels increase with age and have been related to the onset of various processes like sarcopenia, elevated neurodegenerative markers in the brain, and an increase in TSH levels. Furthermore, it appears that in ageing, the rise in RBP4 is related to the development of atherogenesis, chronic kidney disease, and osteoarthritis. These effects appear to be mediated by chronic inflammation along with the development of insulin resistance, increased oxidative stress and mitochondrial dysfunction, inhibition of autophagy, and intestinal dysbiosis. Conclusions: RBP4 is a factor to be taken into account in the ageing process, as it has been shown that elevated circulating serum levels in older individuals lead to and accelerate deterioration across different organs or systems. Full article
(This article belongs to the Special Issue The Aging Metabolism: Diabetes, Obesity, and Lifespan Insights)
Show Figures

Figure 1

10 pages, 219 KB  
Article
Thyroid-Stimulating Hormone and Free Thyroxine Levels at Labor Admission: Associations with Obstetric and Neonatal Outcomes in Term Pregnancies
by Karolin Ohanoglu Cetinel, Yıldız Karademir, Turan Arda Demirag, Bugra Tunc, Osman Murat Guler and Alperen İnce
Diagnostics 2026, 16(4), 595; https://doi.org/10.3390/diagnostics16040595 - 17 Feb 2026
Viewed by 223
Abstract
Background: Maternal thyroid hormones are essential for fetal development and the maintenance of pregnancy. While thyroid dysfunction earlier in gestation has been extensively studied, the clinical relevance of thyroid function assessed at labor admission remains unclear. This study investigated the association between maternal [...] Read more.
Background: Maternal thyroid hormones are essential for fetal development and the maintenance of pregnancy. While thyroid dysfunction earlier in gestation has been extensively studied, the clinical relevance of thyroid function assessed at labor admission remains unclear. This study investigated the association between maternal thyroid function parameters measured at labor ward admission and obstetric and neonatal outcomes in term pregnancies. Methods: In this retrospective observational study, 664 women with singleton term pregnancies (≥37 weeks) admitted to the labor ward of a tertiary referral center were included. Maternal thyroid-stimulating hormone (TSH), free thyroxine (FT4), and admission complete blood count parameters (hemoglobin, hematocrit, white blood cell count, and platelet count) were recorded. Obstetric and neonatal outcomes were compared across FT4 tertiles using univariable and multivariable regression analyses adjusted for key obstetric confounders. Results: Gestational age at delivery differed significantly across FT4 tertiles, with higher FT4 levels associated with a greater proportion of late-term deliveries. Lower FT4 levels were independently associated with lower neonatal birth weight categories after adjustment for gestational age and parity. Admission complete blood count parameters did not differ significantly across FT4 tertiles or gestational age categories. Maternal TSH levels were not independently associated with obstetric or neonatal outcomes, and no significant associations were observed with Apgar scores or NICU admission. Conclusions: In term pregnancies, maternal FT4 levels measured at labor admission are associated with delivery timing and neonatal birth weight but do not independently predict intrapartum fetal distress or adverse immediate neonatal outcomes. Full article
(This article belongs to the Special Issue Maternal–Fetal and Neonatal Diagnostics)
24 pages, 1945 KB  
Article
Partial Factor Productivity as a Tool to Enhance Wheat Seed Quality and Yield Through Nitrogen Fertilization Management
by Luka Drenjančević, Ivana Varga, Goran Jukić, Ivan Varnica and Dario Iljkić
Seeds 2026, 5(1), 12; https://doi.org/10.3390/seeds5010012 - 13 Feb 2026
Viewed by 220
Abstract
Even though wheat’s response to nitrogen (N) is well studied, practical optimization remains challenging because yield and seed quality often react inconsistently across seasons. For winter wheat, the simultaneous quantification of efficiency indicators that capture N losses and diminishing returns is important. This [...] Read more.
Even though wheat’s response to nitrogen (N) is well studied, practical optimization remains challenging because yield and seed quality often react inconsistently across seasons. For winter wheat, the simultaneous quantification of efficiency indicators that capture N losses and diminishing returns is important. This study evaluated nitrogen (N) fertilization in two growing seasons. This study aimed to adjust N fertilization strategy through different combinations of granular N timing and foliar applications to improve winter wheat yield and technological seed quality while maintaining high fertilization efficiency. Field experiments were conducted over two growing seasons (2021/2022 and 2022/2023) using seven fertilization treatments (Control, TSE_1, TSE_2, TSEH_1, TSEH_2, TSEH_3, and TSH, which correspond to growth stage T—tillering stage; SE—stem elongation phase; H—heading stage) in the range of 140.5 to 194.5 kg ha−1 N. Seed yield and seed quality traits (moisture, hectoliter weight, starch, protein, gluten, and sedimentation value) were measured, and treatment effects were evaluated with ANOVA, correlation, and regression analyses. In 2021/2022, no significant treatment effects were detected for yield or seed quality parameters, indicating that environmental variability dominated crop response. In contrast, in 2022/2023, seed yield, hectoliter weight, gluten content, and starch yield showed significant treatment effects (p ≤ 0.05–0.01), with fertilized variants generally outperforming the Control. Across both seasons, seed quality traits displayed strong internal structure: protein, gluten, and sedimentation were strongly positively correlated, while starch was strongly negatively correlated with these traits and the yield correlated positively with hectoliter weight but negatively with protein and gluten, highlighting a yield–quality trade-off. Importantly, partial factor productivity (PFP) and nitrogen use efficiency (NUE) showed the strongest treatment sensitivity, demonstrating their value for identifying efficient N strategies even when yield and quality responses were season-dependent. Regression analyses confirmed that seasonal conditions modulated nitrogen responsiveness, with NUE and starch yield showing much stronger relationships with nitrogen input in 2021/2022 and 2022/2023, respectively. Full article
Show Figures

Figure 1

16 pages, 309 KB  
Review
Nanoparticles in Thyroid Autoimmunity: Diagnostic and Therapeutic Applications
by Giusy Elia, Silvia Martina Ferrari, Francesca Ragusa, Eugenia Balestri, Chiara Botrini, Federica Colapietra, Paola Della Monica, Alessandro Antonelli, Poupak Fallahi and Marina Di Domenico
J. Clin. Med. 2026, 15(4), 1428; https://doi.org/10.3390/jcm15041428 - 12 Feb 2026
Viewed by 191
Abstract
Autoimmune thyroid diseases (AITDs) represent T cell-mediated, organ-specific autoimmune disorders caused by immune dysregulation, culminating in an immune-mediated attack on thyroid tissue. AITD etiopathogenesis is the result of the interplay between a genetic susceptibility and environmental factors; hypothyroidism and thyrotoxicosis are the respective [...] Read more.
Autoimmune thyroid diseases (AITDs) represent T cell-mediated, organ-specific autoimmune disorders caused by immune dysregulation, culminating in an immune-mediated attack on thyroid tissue. AITD etiopathogenesis is the result of the interplay between a genetic susceptibility and environmental factors; hypothyroidism and thyrotoxicosis are the respective clinical hallmarks of autoimmune thyroiditis and Graves’disease, the two main forms of AITD. The application of nanomedicine in the context of thyroid disorders ranges from nanodiagnosis and nanotherapy to nanotheranostics. Nanomedicine has been used to develop new sensitive methods for the determination of the TSH, iodine and TSAb. Furthermore, other studies have used nanomedicine to explore new treatments of autoimmune thyroiditis, Graves’disease and also thyroid eye disease. In the future, the application of nanomedicine will be personalized in accordance with individual genetic profiles, thus improving the therapeutic effectiveness and reducing the undesirable side effects with improved patient outcomes. Full article
(This article belongs to the Special Issue Surgical Oncology: Clinical Application of Translational Medicine)
11 pages, 253 KB  
Article
Cardiovascular Risk Determinants in Euthyroid Patients with Obesity: The Strange Case of TSH in Primary Prevention
by Cristina Vassalle, Luisella Vigna, Paolo Piaggi, Marco Scalese, Laura Sabatino, Francesca Mastorci, Gabriele Trivellini, Filomena Napolitano, Francesca Gori, Alessandra Piontini and Alessandro Pingitore
J. Clin. Med. 2026, 15(4), 1427; https://doi.org/10.3390/jcm15041427 - 11 Feb 2026
Viewed by 188
Abstract
Background: Thyrotropin (TSH), even in the normal range, is associated with components of cardiometabolic syndrome. We aimed to assess the relation between TSH and cardiovascular (CV) risk in euthyroid patients with overweight/obesity without previous cardiac events. Methods: A total of 1588 subjects (1132 [...] Read more.
Background: Thyrotropin (TSH), even in the normal range, is associated with components of cardiometabolic syndrome. We aimed to assess the relation between TSH and cardiovascular (CV) risk in euthyroid patients with overweight/obesity without previous cardiac events. Methods: A total of 1588 subjects (1132 females, mean age 53 ± 14 years) were recruited. This was an observational study. TSH, body mass index, waist circumference (WC), creatinine, hepatic enzymes, homocysteine, C reactive protein, glycated hemoglobin, homeostatic model assessment for insulin resistance (HOMA-IR), basal and 2 h glucose and insulin, fibrinogen, uric acid, a complete blood count, a complete lipid profile, and blood pressure were measured in all subjects. The Atherosclerotic Cardiovascular Disease (ASCVD) risk score was calculated. Results: More severe degrees of obesity were associated with higher TSH quartiles; specifically, 33% of subjects with grade III obesity had TSH in the 75th percentile. Multiple regression showed that female gender (t-value 3.6, p < 0.001), HOMA-IR (1.9, ≤0.05) and aspartate transaminase (AST; 2.8, <0.01) represent independent determinant factors affecting TSH levels in the population at higher CV risk (intermediate–high ASCVD risk score > 7.5%; n = 709). Similarly, TSH determinants in subjects with central obesity (n = 1197, WC >102 cm males, >88 cm females) were female gender (2.2, <0.05), HOMA-IR (2.7, <0.01) and smoking habit (−2.3, <0.5). Moreover, there was no significant relationship between TSH and ASCVD risk score. Conclusions: Higher TSH levels in the euthyroid range are related to high degrees of obesity and some CV risk factors, in subjects at higher cardiometabolic risk; however, for the different weight and sign of CV determinants (e.g., smoking habit) on the TSH system, the ASCVD risk score cannot evidence this relationship. Full article
Show Figures

Graphical abstract

12 pages, 1544 KB  
Review
Metabolic Surgery as a Modulator of the Thyroid–Gut Axis: A Narrative Review on Autoimmunity, Function, and Levothyroxine Pharmacokinetics
by Nicolas Zucchini, Francesca Lo Celso, Alice Gabrieli, Clemente Junior Nappi, Nicolò Bortolussi, Silvia Palmisano, Chiara Dobrinja and Giovanni Fantola
Endocrines 2026, 7(1), 6; https://doi.org/10.3390/endocrines7010006 - 6 Feb 2026
Viewed by 313
Abstract
Background: The interplay between obesity and thyroid dysfunction is complex, characterized by adaptive hyperthyrotropinemia and peripheral hormone resistance. Metabolic and Bariatric surgery (MBS) has emerged not only as a weight-loss (WL) intervention but also as a potent modulator of the thyroid–gut axis. [...] Read more.
Background: The interplay between obesity and thyroid dysfunction is complex, characterized by adaptive hyperthyrotropinemia and peripheral hormone resistance. Metabolic and Bariatric surgery (MBS) has emerged not only as a weight-loss (WL) intervention but also as a potent modulator of the thyroid–gut axis. Methods: We conducted a narrative review of the literature (2015–2025), synthesizing data from prospective cohorts, meta-analyses, and mechanistic studies to evaluate the impact of MBS on thyroid function, autoimmune dynamics, and drug pharmacokinetics. Discussion: Current evidence suggests that MBS promotes a recalibration of the thyroid axis. Post-operative WL is independently associated with a significant reduction in serum thyroid-stimulating hormone (TSH) and free triiodothyronine (fT3) levels, reversing obesity-induced peripheral resistance. Concurrently, the reduction in systemic inflammation (NOD-like receptor protein 3 (NLRP3) inflammasome deactivation) may dampen lymphocytic infiltration, while the amelioration of gut dysbiosis and intestinal permeability is hypothesized to reduce cross-reactivity mechanisms (molecular mimicry), leading to decreased antibody titers in Hashimoto’s thyroiditis. However, these benefits are counterbalanced by altered drug absorption mechanisms. While most hypothyroid patients benefit from reduced Levothyroxine (L-T4) requirements due to decreased lean mass, malabsorptive procedures (Roux-en-Y Gastric Bypass, One Anastomosis Gastric Bypass) can precipitate refractory hypothyroidism due to bypassed absorptive surfaces and altered gastric pH. Conclusions: MBS offers a dual benefit of functional restoration and modulation of autoimmune markers. However, post-surgical management requires a tailored approach. Clinicians must distinguish between the physiological decline in TSH (adaptive) and iatrogenic malabsorption, advocating for liquid L-T4 formulations in complex malabsorptive phenotypes. Full article
(This article belongs to the Section Obesity, Diabetes Mellitus and Metabolic Syndrome)
Show Figures

Figure 1

14 pages, 1260 KB  
Article
Hepatitis C Virus Infection Induces Autoimmune Hypothyroidism with Potential Profound Metabolic Implications: A Cross-Sectional Study in a High-Prevalence Region
by Xiaoli Zhong, Waseem Abbas, Farman Ullah and Rafi Ullah
Metabolites 2026, 16(2), 104; https://doi.org/10.3390/metabo16020104 - 31 Jan 2026
Viewed by 313
Abstract
Background: Thyroid hormones regulate energy homeostasis, lipid/glucose metabolism, and protein turnover. Chronic Hepatitis C Virus (HCV) infection is highly associated with autoimmune hypothyroidism, which may have profound metabolic implications. This study evaluates thyroid dysfunction and anti-thyroid peroxidase (anti-TPO) autoimmunity in HCV patients and [...] Read more.
Background: Thyroid hormones regulate energy homeostasis, lipid/glucose metabolism, and protein turnover. Chronic Hepatitis C Virus (HCV) infection is highly associated with autoimmune hypothyroidism, which may have profound metabolic implications. This study evaluates thyroid dysfunction and anti-thyroid peroxidase (anti-TPO) autoimmunity in HCV patients and explores its potential metabolic implications in a high-prevalence region. Methods: In this comparative cross-sectional study adhering to STROBE guidelines, we enrolled 100 PCR-confirmed chronic HCV patients and 100 age/gender-matched controls from District Peshawar, Pakistan. Serum TSH, fT3, fT4, and anti-TPO antibodies were quantified. Multivariable logistic regression, adjusted for age, gender, and viral load, was used to compute adjusted odds ratios (aOR) with 95% confidence intervals (CI). Results: Thyroid dysfunction affected 41% of HCV patients vs. 12% of controls (aOR 5.2, 95% CI 2.8–9.6, p < 0.001), predominantly hypothyroidism (29% overall; 18% overt, 11% subclinical). Anti-TPO positivity was 38% in HCV vs. 8% in controls (aOR 6.7, 95% CI 3.1–14.5, p < 0.001). Anti-TPO titers correlated positively with TSH (r = +0.62, p < 0.001) and inversely with fT3/fT4. Subgroup analysis showed higher dysfunction in patients aged ≥40 years (52% vs. 28%, p = 0.012) and viral load ≥ 106 IU/mL (48% vs. 32%, p = 0.041). We hypothesize that these findings may have significant metabolic implications, including impaired mitochondrial β-oxidation and insulin resistance. Conclusions: HCV infection is strongly associated with autoimmune hypothyroidism, which may amplify cardiometabolic risk. The paper has not explicitly identified metabolic parameters, including lipid profiles, indices of insulin resistance, and metabolomic signatures, and, therefore, any metabolic inferences are speculative and based on established thyroid and HCV pathophysiology. Routine thyroid screening pre- and post-DAA therapy is recommended, alongside metabolomic profiling to validate these proposed metabolic pathways. Full article
Show Figures

Graphical abstract

15 pages, 473 KB  
Article
Circulating Irisin as a Possible Marker of Glucose and Bone Metabolism: Evidence from the IRI-OP-OB Pilot Study
by Veronica Cumpata, Ana-Maria Gheorghe, Luminita Suveica, Oana-Claudia Sima, Natalia Loghin-Oprea, Mihai Costachescu, Eugenia Petrova, Alexandra-Ioana Trandafir, Ana Popescu, Dana Manda, Sorina Violeta Schipor and Mara Carsote
Diabetology 2026, 7(2), 23; https://doi.org/10.3390/diabetology7020023 - 29 Jan 2026
Viewed by 338
Abstract
Background: Irisin, a recently discovered muscle-originating hormone, has been found to act as a biomarker of several ailments, while no guideline clearly indicates its testing so far in any particular population category or pathological condition. Objective: We analyzed blood (circulating) irisin [...] Read more.
Background: Irisin, a recently discovered muscle-originating hormone, has been found to act as a biomarker of several ailments, while no guideline clearly indicates its testing so far in any particular population category or pathological condition. Objective: We analyzed blood (circulating) irisin in relation to the potential correlations with the evaluation of glucose and bone profile. Methods: This was a prospective, pilot, exploratory study (between December 2024 and August 2025). The enrolled patients were menopausal women aged ≥50. Exclusion criteria: Endocrine tumors, thyroid dysfunction, malignancies, or chronic kidney disease. Baseline (fasting) testing was followed by 75 g oral glucose tolerance test (OGTT). Enzyme-linked immunosorbent assay (ELISA)-based irisin assay (MyBioSource) was performed. The subjects underwent central Dual-Energy X-Ray Absorptiometry (DXA), which provided lumbar, femoral neck and total hip bone mineral density (BMD)/T-score (GE Lunar Prodigy), and lumbar DXA-based trabecular bone score (TBS iNsight). Results: We enrolled 89 females [mean age of 62.84 ± 9.33 years, average years since menopause (YSM) of 15.94 ± 9.23]. Irisin (102.69 ± 98.14 ng/mL) did not correlate with age, YSM, but with body mass index (r = 0.36, p < 0.001). Bone formation marker osteocalcin (r = −0.25, p = 0.018) was negatively associated with irisin, amidst multiple other mineral metabolism assays (including PTH and 25-hydroxyvitamin D). Irisin positively correlated with insulin (r = 0.385, p = 0.0008), HbA1c (r = 0.243, p = 0.022), and HOMA-IR (r = 0.313, p = 0.007). Additional endocrine assays pointed a statistically significant association between irisin and TSH, respectively, ACTH (r = 0.267, p = 0.01, and r = 0.309, p = 0.041, respectively). No correlation irisin-BMD/T-score/TBS was confirmed. Conclusions: Irisin correlates with markers of glucose status (insulin, HOMA-IR, and HbA1c), as well as body mass index and, to a lesser extent, bone metabolism markers. Interestingly, TSH and ACTH correlations open a new (hypothesis-generating) perspective in the endocrine frame of approaching this exerkine. To the best of our knowledge, no distinct study has so far addressed the TBS–irisin relationship or pinpointed the glucose effects on TBS, particularly in menopausal women. Full article
Show Figures

Graphical abstract

Back to TopTop