Sign in to use this feature.

Years

Between: -

Subjects

remove_circle_outline
remove_circle_outline
remove_circle_outline
remove_circle_outline
remove_circle_outline
remove_circle_outline
remove_circle_outline
remove_circle_outline
remove_circle_outline

Journals

remove_circle_outline
remove_circle_outline
remove_circle_outline
remove_circle_outline
remove_circle_outline
remove_circle_outline
remove_circle_outline
remove_circle_outline
remove_circle_outline
remove_circle_outline
remove_circle_outline
remove_circle_outline
remove_circle_outline

Article Types

Countries / Regions

remove_circle_outline
remove_circle_outline
remove_circle_outline
remove_circle_outline

Search Results (918)

Search Parameters:
Keywords = TAR

Order results
Result details
Results per page
Select all
Export citation of selected articles as:
23 pages, 23725 KB  
Article
Assessment of Nutrient and Bacteria Contributions from Watersheds with Predominantly Agricultural and Urban Land Uses in Coastal North Carolina
by Charles Humphrey, Guy Iverson, Jude Dilioha and Anna Smith
Hydrology 2025, 12(11), 296; https://doi.org/10.3390/hydrology12110296 - 8 Nov 2025
Viewed by 160
Abstract
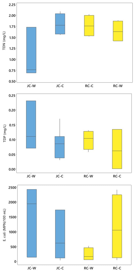
Excess concentrations of fecal indicator bacteria, nitrogen, and phosphorus have caused closure of shellfish growing waters, swimming advisories, eutrophication, and impairment of aquatic habitat in the Tar–Pamlico Estuary, North Carolina. Regulatory requirements to reduce nutrient and bacteria loading to the estuary were enacted [...] Read more.
Excess concentrations of fecal indicator bacteria, nitrogen, and phosphorus have caused closure of shellfish growing waters, swimming advisories, eutrophication, and impairment of aquatic habitat in the Tar–Pamlico Estuary, North Carolina. Regulatory requirements to reduce nutrient and bacteria loading to the estuary were enacted more than two decades ago, but water quality problems persist. The goals of this study were to (1) assess the nutrient and bacteria concentrations and exports from Jacks Creek and Runyon Creek to the Tar–Pamlico Estuary in Coastal North Carolina, USA, and (2) recommend watershed-specific practices to reduce pollutant loadings and improve estuarine water quality. Stream water samples were collected for nutrient, bacteria, and physicochemical property (flow, pH, temperature, turbidity, and dissolved oxygen) analyses from five segments of Jacks Creek and six segments of Runyon Creek. Samples were collected between 8 and 10 times over a two-and-a-half-year period (2021–2024). Mean concentrations of total dissolved nitrogen, total dissolved phosphorus, and E. coli for Jacks Creek (1.55 mg/L, 0.10 mg/L, 502 MPN/100 mL) and Runyon Creek (1.70 mg/L, 0.07 mg/L, 262 MPN/100 mL) exceeded reference conditions or thresholds established by the US EPA (0.69 mg/L, 0.036 mg/L, 126 MPN/100 mL). Therefore, both watersheds have been contributing to the nutrient and bacteria problems of the estuary. Implementation of stormwater control measures in the urbanized Jacks Creek Watershed and agricultural best management practices in the Runyon Creek Watershed is encouraged. Some of the suggested practices have been installed, but additional remediation efforts are needed. Full article
Show Figures

Figure 1

16 pages, 1800 KB  
Article
LncRNA-Mediated miR-145 Sponging Drives FN1 and CCND1 Expression: Prognostic and Therapeutic Targets in NSCLC
by Safa Tahmasebi, Davar Amani, Babak Salimi, Ian M. Adcock and Esmaeil Mortaz
Biomolecules 2025, 15(11), 1564; https://doi.org/10.3390/biom15111564 - 6 Nov 2025
Viewed by 253
Abstract
Background: Non-small cell lung cancer (NSCLC) progression is driven by dysregulated competing endogenous RNA (ceRNA) networks, where non-coding RNAs sequester miRNAs to modulate oncogene expression. The tumor-suppressor miR-145 is frequently downregulated in NSCLC, but its lncRNA-mediated regulation remains incompletely characterized. Methods: Integrated transcriptomic [...] Read more.
Background: Non-small cell lung cancer (NSCLC) progression is driven by dysregulated competing endogenous RNA (ceRNA) networks, where non-coding RNAs sequester miRNAs to modulate oncogene expression. The tumor-suppressor miR-145 is frequently downregulated in NSCLC, but its lncRNA-mediated regulation remains incompletely characterized. Methods: Integrated transcriptomic analysis of NSCLC datasets (GSE135304: blood RNA from 712 patients; GSE203510: plasma miRNAs) was used to identify dysregulated genes (|log2FC| > 0.1, p < 0.05) and miRNAs (|log2FC| > 1, p < 0.05). Experimentally validated targets from miRTarBase/TarBase were intersected with dysregulated genes, followed by WikiPathways/GO enrichment. ceRNA networks were constructed via co-expression analysis. RT-qPCR validated miR-145-3p expression in A549/MRC-5 cells and NSCLC tissues. GEPIA assessed FN1/CCND1 clinical relevance. Results: We identified 8271 dysregulated genes and 52 miRNAs. miR-145-3p, critical in immune regulation, was significantly downregulated (log2FC = −1.24, p = 0.036). Intersection analysis revealed 27 miR-145-3p targets (e.g., FN1, CCND1, SMAD3) enriched in immune pathways (FDR < 0.05) and TGF-β-mediated EMT within the dysregulated geneset. Six immune-linked hub genes emerged. LncRNAs LOC729919 and LOC100134412 showed strong co-expression with hub genes and competitively bind miR-145-3p, derepressing the expression of the metastasis drivers FN1 (ECM regulator) and CCND1 (cell cycle controller). This ceRNA axis operates within a broader dysregulation of ATM-dependent DNA damage, Hippo signaling, and cell cycle pathways. RT-qPCR confirmed significant miR-145-3p suppression in NSCLC models (p < 0.05). GEPIA revealed a significant FN1-CCND1 co-expression (p = 0.0017). Conclusions: We characterize a novel LOC729919/LOC100134412–miR-145–FN1/CCND1 ceRNA axis in NSCLC pathogenesis. FN1’s prognostic value and functional linkage to CCND1 underscores its potential clinical relevance for therapeutic disruption. Full article
Show Figures

Graphical abstract

20 pages, 2328 KB  
Article
FedPSFV: Personalized Federated Learning via Prototype Sharing for Finger Vein Recognition
by Haoyan Xu, Yuyang Guo, Yunzan Qu, Jian Guo and Hengyi Ren
Sensors 2025, 25(21), 6790; https://doi.org/10.3390/s25216790 - 6 Nov 2025
Viewed by 250
Abstract
Finger vein recognition algorithms based on deep learning techniques are widely used in many fields. However, the training of finger vein recognition models is hindered by privacy issues and the scarcity of public datasets. Although applying federated learning techniques to finger vein recognition [...] Read more.
Finger vein recognition algorithms based on deep learning techniques are widely used in many fields. However, the training of finger vein recognition models is hindered by privacy issues and the scarcity of public datasets. Although applying federated learning techniques to finger vein recognition can effectively address privacy concerns, data heterogeneity across clients limits the performance of the models, especially on small datasets. To address these problems, in this paper, we propose a new federated finger vein recognition algorithm (FedPSFV). The algorithm is based on the federated learning framework, which increases the interclass distance of each dataset by sharing the prototypes among clients to solve the data heterogeneity problem. The algorithm also integrates and improves the margin-based loss function, which advances the feature differentiation ability of the model. Comparative experiments based on six public datasets (SDUMLA, MMCBNU, USM, UTFVP, VERA, and NUPT) show that FedPSFV has better accuracy and generalizability; the TAR@FAR = 0.01 is improved by 5.00–11.25%, and the EER is reduced by 81.48–90.22% compared to the existing methods. Full article
(This article belongs to the Special Issue Artificial Intelligence and Edge Computing in IoT-Based Applications)
Show Figures

Figure 1

31 pages, 7396 KB  
Article
Geological Evaluation and Favorable Area Optimization for In Situ Pyrolysis of Tar-Rich Coal: A Case Study from the Santanghu Basin, NW China
by Mengyuan Zhang, Zhen Dong, Yanpeng Chen, Yufeng Zhao, Xinggang Wang, Zhixiong Cao, Junjie Xue and Hao Chen
Processes 2025, 13(11), 3575; https://doi.org/10.3390/pr13113575 - 5 Nov 2025
Viewed by 245
Abstract
Tar-rich coal (with a tar yield ≥ 7%), as a special coal-based oil and gas resource, is of great significance for ensuring national energy security and promoting the clean conversion of coal. The selection of suitable geological sites represents a core challenge for [...] Read more.
Tar-rich coal (with a tar yield ≥ 7%), as a special coal-based oil and gas resource, is of great significance for ensuring national energy security and promoting the clean conversion of coal. The selection of suitable geological sites represents a core challenge for the safe and efficient application of its in situ pyrolysis technology. Focusing on the tar-rich coal seams in the Santanghu Basin, this study constructed a comprehensive geological evaluation system for site selection by integrating numerical simulation, data mining, and laboratory experiments. The Analytic Hierarchy Process (AHP) and a fuzzy comprehensive evaluation method were employed to achieve a quantitative assessment and identify favorable areas within the study region. The results indicate that resource scale, coal seam conditions, and the properties of the roof and floor strata are the key controlling factors. One optimally comprehensive Class I favorable area (Tiao IV block) was successfully identified. This block exhibits a large resource scale, favorable coal seam conditions, a high tar yield, excellent geological sealing, and superior engineering compatibility, making it the recommended priority target for pilot testing. The evaluation system developed in this study can provide a theoretical basis and technical reference for the geological site selection of in situ pyrolysis of tar-rich coal in similar mining areas and advance its industrialization. Full article
(This article belongs to the Special Issue Data-Driven Analysis and Simulation of Coal Mining)
Show Figures

Figure 1

16 pages, 1476 KB  
Article
Estimating Toxicity Putative Mechanisms from Smoking Residual Substances Using a Whole-Cell Bioreporter System
by Tal Bar, Marilou Shagan, Esti Kramarsky-Winter, Robert S. Marks, Karina Golberg and Ariel Kushmaro
Biosensors 2025, 15(11), 733; https://doi.org/10.3390/bios15110733 - 3 Nov 2025
Viewed by 339
Abstract
Cigarette smoking is known to be an unhealthy activity that can cause a number of human diseases, including chronic obstructive pulmonary disease (COPD) and lung cancer. It was further reported that even being exposed to secondhand cigarette smoke can affect human health. To [...] Read more.
Cigarette smoking is known to be an unhealthy activity that can cause a number of human diseases, including chronic obstructive pulmonary disease (COPD) and lung cancer. It was further reported that even being exposed to secondhand cigarette smoke can affect human health. To assess the toxicity of the smoke from different cigarette brands, an artificial smoking device was developed, and three fractions designated, Filter Fraction, Smoke Fraction and Tar Fraction, were prepared from the smoke of each brand. Then, to elucidate possible effects of some of the toxins found in cigarette smoke, we investigated their effects in vitro using a bioluminescent bacterial array that comprises three bacterial strains. Using this array, we compare smoke from three cigarette brands, each with different tar and nicotine contents. GC-MS analysis showed that the cigarette smoke extracts (fractions) from different brands differed in their compositions and chemical concentrations. The results further showed that, in general, cigarette smoke triggered mainly an oxidative stress reaction in our bacterial models. The Smoke Fraction was tested for sequential smoking rounds and found to produce cumulative effects following each subsequent smoking cycle for all three cigarette brands. Finally, it was found that cigarette smoke and its specific components are toxic at various degrees with the Smoke Fraction, acting as oxidative stressors, and that this can be effectively analyzed using bioreporter panel arrays. Full article
(This article belongs to the Special Issue Feature Paper in Biosensor and Bioelectronic Devices 2025)
Show Figures

Figure 1

27 pages, 2786 KB  
Article
Pyrolysis of Foliage from 24 U.S. Plant Species with Recommendations for Physics-Based Wildland Fire Models
by Mahsa Alizadeh and Thomas H. Fletcher
Fire 2025, 8(11), 424; https://doi.org/10.3390/fire8110424 - 31 Oct 2025
Viewed by 492
Abstract
Pyrolysis of 24 samples of foliage from three U.S. regions with frequent wildland fires (Southeastern U.S., northern Utah and Southern California) was studied in a fuel-rich flat-flame burner system at 765 °C (for Southeastern U.S. samples) and 725 °C (for northern Utah and [...] Read more.
Pyrolysis of 24 samples of foliage from three U.S. regions with frequent wildland fires (Southeastern U.S., northern Utah and Southern California) was studied in a fuel-rich flat-flame burner system at 765 °C (for Southeastern U.S. samples) and 725 °C (for northern Utah and Southern California species), with a heating rate of approximately 180 °C/s. These conditions were selected to mimic the conditions of wildland fires. Individual plant samples were introduced to the high temperature zone in a flat-flame burner and pyrolysis products were collected. Tar was extracted and later analyzed by GC/MS. Light gases were collected and analyzed by GC/TCD. The estimated range for the average yields of tar and light gases were 48 to 62 wt% and 18 to 31 wt%, respectively. Apart from Eastwood’s manzanita (Arctostaphylos glandulosa Eastw.), aromatics were the major constituents of tar. The variations in the concentrations of tar compounds likely resulted from differences in biomass composition and physical characteristics of the foliage. The four major components of light gases from pyrolysis (wt% basis) were CO, CO2, CH4 and H2. Tar contributed more than 82% of the high heating value of volatiles. These data can be used to improve physical-based fire propagation models. Full article
(This article belongs to the Special Issue Pyrolysis, Ignition and Combustion of Solid Fuels)
Show Figures

Graphical abstract

18 pages, 4754 KB  
Article
Reduction Effect of Extra Biochar on PAHs Originating from Corn Stover Pyrolysis
by Lijie Li, Xiuli Shen, Haibo Meng, Yujun Shen, Jingtao Ding, Hongbin Cong and Mingsong Chen
Molecules 2025, 30(21), 4238; https://doi.org/10.3390/molecules30214238 - 30 Oct 2025
Viewed by 320
Abstract
As attention to environmental risks from the PAHs in biochar production increases, developing a low-cost and easy-to-operate optimized pyrolysis process is urgent. The effect of extra biochar was investigated in order to minimize polycyclic aromatic hydrocarbons (PAHs) on biochar and residual tar for [...] Read more.
As attention to environmental risks from the PAHs in biochar production increases, developing a low-cost and easy-to-operate optimized pyrolysis process is urgent. The effect of extra biochar was investigated in order to minimize polycyclic aromatic hydrocarbons (PAHs) on biochar and residual tar for the development of a new fixed-bed pyrolysis process. Hence, the effect of extra biochar as a catalyst on the reduction effect on PAHs originating from corn stover pyrolysis was inspected and explored in this study. Pyrolysis was conducted at 500, 600, and 700 °C in a tube furnace reactor with corn stover as the biomass feedstock. Biochar prepared at 500 °C, 600 °C, and 700 °C was used as a catalyst by stacking extra biochar on top of the corn stover raw material. Then, the concentration of PAHs in corn stover biochar and residual tar inside the reactor was examined. The physicochemical characteristics, including morphology, pore structure, and chemical structures of extra biochar, were investigated separately. The results showed that, with stacking extra biochar, the concentrations of PAHs in corn stover biochar (7.15 mg/kg to 1.25 mg/kg) and residual tar (132.23 mg/kg to 101.10 mg/kg) inside the reactor decreased significantly at medium temperatures (500 °C). The concentrations of PAHs in corn stover biochar decreased from 9.14 mg/kg, 10.44 mg/kg to 3.66 mg/kg, 2.7 mg/kg. However, the concentrations of PAHs of residual tar inside the reactor increased significantly at medium temperatures (600 °C, 700 °C). In addition, the reaction mechanism of extra biochar as a catalyst to reduce PAHs in corn stover biochar was established. The results suggest that the measure of adding extra biochar reduced PAHs in resulting biochar effectively, but is not high enough to eliminate PAHs issues in the entire pyrolysis process completely. Full article
(This article belongs to the Section Analytical Chemistry)
Show Figures

Figure 1

14 pages, 542 KB  
Article
Comparable Outcomes in Redo Total Arch Replacement for Previous Aortic Dissection vs. Other Cardiac Surgeries: A Single-Center Pilot Study of the E-Vita Open Hybrid Prosthesis
by Medhat Radwan, Luise Vöhringer, Michael Baumgaertner, Christoph Salewski, Spiros Lukas Marinos, Christian Jörg Rustenbach, Christian Schlensak and Isabelle Doll
J. Clin. Med. 2025, 14(21), 7588; https://doi.org/10.3390/jcm14217588 - 26 Oct 2025
Viewed by 292
Abstract
Background/Objectives: Total arch replacement (TAR) with frozen elephant trunk (FET) using the E-vita Open hybrid prosthesis represents a complex surgical intervention for extensive aortic pathologies in previously operated patients. The comparative safety profile between patients with previous acute Type A dissection repair versus [...] Read more.
Background/Objectives: Total arch replacement (TAR) with frozen elephant trunk (FET) using the E-vita Open hybrid prosthesis represents a complex surgical intervention for extensive aortic pathologies in previously operated patients. The comparative safety profile between patients with previous acute Type A dissection repair versus other cardiac surgical histories remains unclear. This pilot study evaluated early and midterm outcomes to determine whether previous aortic dissection carries additional operative risk compared to other previous cardiac operations. Methods: This retrospective single-center pilot cohort study analyzed 27 patients who underwent TAR with E-vita Open hybrid prosthesis between January 2013 and June 2024. Patients were stratified into two groups: Group 1 comprised patients with previous acute Type A dissection repair (n = 15, 55.6%), and Group 2 included patients with other previous cardiac operations (n = 12, 44.4%). Primary endpoints were in-hospital mortality and survival at 1, 2, and 3 years. Secondary endpoints included major neurological complications, spinal cord injury, reoperation for bleeding, and freedom from aortic reinterventions. Results: Baseline characteristics demonstrated comparable risk profiles between groups, with similar EuroSCORE II values (median 4.55 [IQR 3.86–7.28] vs. 5.41 [IQR 3.93–6.74], p = 1.0). Despite Group 1 showing trends toward longer operative times (580.07 ± 126.84 vs. 481.25 ± 119.29 min, p = 0.053), major postoperative outcomes were statistically equivalent. In-hospital mortality was 6.7% in Group 1 versus 0% in Group 2 (p = 1.0). Stroke rates were comparable (20.0% vs. 25.0%, p = 1.0), as were paraplegia rates (13.3% vs. 8.3%, p = 1.0) and dialysis requirements (46.7% vs. 41.7%, p = 0.334). Survival rates at 1, 2, and 3 years were 80.0%, 66.7%, and 60.0% for Group 1 and 75.0%, 66.7%, and 50.0% for Group 2, respectively (all p > 0.05). Conclusions: This pilot study suggests preliminary evidence of comparable early and midterm outcomes between patients with previous Type A dissection repair and those with other previous cardiac operations when undergoing TAR with E-vita Open hybrid prosthesis at an experienced center. However, the small sample size limits definitive conclusions and highlights the need for larger multicenter studies to confirm these findings. Full article
(This article belongs to the Special Issue Recent Developments and Emerging Trends in Aortic Surgery)
Show Figures

Graphical abstract

21 pages, 293 KB  
Article
“Girl, I Got My Mind. And What Goes on in It. Which Is to Say, I Got Me”: Artistic Self-Fashioning/Self-Mothering in Toni Morrison’s Sula (1973)
by Hannah Baker Saltmarsh
Humanities 2025, 14(11), 209; https://doi.org/10.3390/h14110209 - 23 Oct 2025
Viewed by 258
Abstract
This essay highlights how, in lieu of a supportive community, Toni Morrison’s artistic daughter-protagonist, Sula, creates her own safe space within her liberated imagination through self-mothering. Thematic motifs of creative identity, the social role of the artist, and revolutionary self-care are relevant not [...] Read more.
This essay highlights how, in lieu of a supportive community, Toni Morrison’s artistic daughter-protagonist, Sula, creates her own safe space within her liberated imagination through self-mothering. Thematic motifs of creative identity, the social role of the artist, and revolutionary self-care are relevant not only to Sula but to how Morrison herself conceived of transformative, safe spaces for Black women writers through her work as a writer and editor. In addition to discussing Sula, I briefly expound on Morrison’s novels, Beloved, Song of Solomon, Tar Baby, Paradise, and Bluest Eye, showing how audacious self-preservation undergirds the moral, political, and social dimensions of art, leading to personal and communal good. Reflecting on how Morrison flourished as a writer and editor after her divorce, while being the single parent to two young boys, I explicate Morrison’s understanding of motherwork as a complement to her artistic life, instructive of the ways in which carework, including self-care, helps artists and communities thrive. Morrison praised self-mothering in her unconventional artistic characters to reveal how female community and self-love are essential to sustain Black women artists. Full article
30 pages, 7234 KB  
Article
Microscopic Analysis of the Miscible Process of Original and Aged Asphalt in Wood-Tar-Rejuvenated Asphalt Based on Molecular Dynamics Simulation
by Xiaozhuo Yan, Yongwei Li, Wenhong Yan and Kefei Liu
Coatings 2025, 15(11), 1238; https://doi.org/10.3390/coatings15111238 - 23 Oct 2025
Viewed by 414
Abstract
The miscible process of virgin and aged asphalt in rejuvenated asphalt was studied by molecular dynamics (MD) simulation. In this paper, we used MD software to establish a molecular model of asphalt, and the model of aged asphalt was established by adding ketone [...] Read more.
The miscible process of virgin and aged asphalt in rejuvenated asphalt was studied by molecular dynamics (MD) simulation. In this paper, we used MD software to establish a molecular model of asphalt, and the model of aged asphalt was established by adding ketone and sulfoxide functional groups to the original asphalt. Wood tar rejuvenator (WTR) was selected for rejuvenation of aged asphalt, and parameters such as density, surface free energy, cohesion energy density, and Young’s modulus were used to verify the molecular model. The density, relative concentration, interaction energy, mean square displacement of molecules, diffusion coefficient, mixing free energy, and radial distribution function were used to analyze the action mechanism of the rejuvenator in the rejuvenation process and the suitable service temperature and optimal amount of WTR. The results demonstrated that the WTR with 373 K and 15% mass ratio has the best rejuvenation effect on aged asphalt. The addition of WTR can increase the interaction energy between original and aged asphalt by 12.9%, reduce the Van der Waals potential energy of aged asphalt by 13.85%, and thus ensure the uniform distribution of internal molecules in rejuvenated asphalt. A 15 wt% WTR can reduce the intermolecular distance of asphaltenes from 9.4 Å to 5.2 Å, thereby alleviating the displacement effect during the asphalt aging process. The diffusion coefficients of WT-rejuvenated asphalt at 298 K and 373 K are 28.6% and 44.6% higher than those of extracted oil-rejuvenated asphalt, respectively; thus, WT-rejuvenated asphalt has better crack resistance. Full article
Show Figures

Figure 1

17 pages, 3643 KB  
Article
Effects of Na and Na/CO2 Synergism on Gas/Tar Production During Rapid Coal Pyrolysis
by Feng Wang, Rui Ma, Bo Wei, Shuanglong Li, Liqing Guo and Qianjin Lin
Appl. Sci. 2025, 15(21), 11331; https://doi.org/10.3390/app152111331 - 22 Oct 2025
Viewed by 332
Abstract
Coal pyrolysis and gasification are among the key technologies for the clean and efficient utilization of coal. This work examined the individual and synergistic effects of Na and CO2 on gas/tar generation during rapid coal pyrolysis using a fixed-bed reactor integrated with [...] Read more.
Coal pyrolysis and gasification are among the key technologies for the clean and efficient utilization of coal. This work examined the individual and synergistic effects of Na and CO2 on gas/tar generation during rapid coal pyrolysis using a fixed-bed reactor integrated with gas chromatography–mass spectrometry (GC-MS) and a flue gas analyzer. Key findings reveal that Na, CO2, and Na/CO2 synergism increased total gas volume by 671 vol.%, 772 vol.%, and 667 vol.%, respectively, while reducing tar yields by 4.14%, 3.12%, and 7.15%. Light oil yields reached 27.18%, 27.93%, and 40.35% under corresponding conditions. Crucially, Na significantly enhanced CO and CH4 release (dose-dependent), with low-concentration Na (1–3%) promoting light-component condensation versus high-concentration Na (5%) facilitating heavy-component cracking. Na/CO2 synergism intensified heavy-component fragmentation (efficacy increasing with Na loading), while low-concentration Na (1–3%) substantially boosted CO yield, highlighting its potential for selective syngas modulation. This work plays a pivotal role in advancing the low-emission, high-efficiency utilization of coal energy, aligning with global carbon reduction strategies. Full article
Show Figures

Figure 1

17 pages, 5707 KB  
Article
Production of Metallurgical Sinter with Coke Modified by Spent Anode Material from Aluminum Electrolysis
by Lyazat Tolymbekova, Almat Aubakirov, Saule Abdulina, Meruyert Adilkanova, Bauyrzhan Kelamanov, Assylbek Abdirashit, Ermagambet Abdrahmanov and Almas Yerzhanov
Processes 2025, 13(10), 3297; https://doi.org/10.3390/pr13103297 - 15 Oct 2025
Viewed by 377
Abstract
This study evaluates coke for iron ore sintering manufactured from Ekibastuz coal fines (fraction 0–3 mm), spent anode material (SAM) from aluminum electrolysis, and coal tar pitch. Laboratory coking was performed at 1000 °C (60 min hold), followed by sintering trials using coke [...] Read more.
This study evaluates coke for iron ore sintering manufactured from Ekibastuz coal fines (fraction 0–3 mm), spent anode material (SAM) from aluminum electrolysis, and coal tar pitch. Laboratory coking was performed at 1000 °C (60 min hold), followed by sintering trials using coke containing 10 wt% and 20 wt% SAM. Microstructural (SEM/EDS) and spectral data indicate an optimal SAM range of 10–20 wt%: higher additions (≥30 wt%) lead to structural degradation of coke, accompanied by reduced mechanical integrity. The produced coke shows C = 85%, S = 0.9–1.1%, ash ≈ 19%, volatiles = 1.5–2.5%, and moisture (Wr) ≤ 1%, which is acceptable for sintering use. In sintering tests, the yield of usable sinter reached 72.4% (10 wt% SAM) and 73.5% (20 wt% SAM); impact strength was 83% and 78%, respectively. XRF of sinter showed Fe_total > 51%, CaO ≈ 5.5–6.8%, SiO2 ≈ 6.6–7.2%, and S = 0.40–0.45%, meeting technological requirements for blast-furnace practice. Overall, using spent anode material within 10–20 wt% increases fixed-carbon content, enables valorization of aluminum industry waste, and delivers coke for agglomeration performance without compromising key chemical or mechanical indices. Full article
(This article belongs to the Section Materials Processes)
Show Figures

Figure 1

23 pages, 2980 KB  
Article
Steam-Assisted Semi-Carbonization Pretreatment of Corn Stalks: Effects on Physicochemical Properties for Enhanced Biomass Utilization
by Shiyan Gu, Qi Li, Wei Kou, Zhaonan Sun, Xiaoxia Li, Yitong Wang, Haiqiao Zhao and Peng Gao
Sustainability 2025, 17(20), 9091; https://doi.org/10.3390/su17209091 - 14 Oct 2025
Viewed by 319
Abstract
The inefficient disposal of corn stover (CS) and the accumulation of magnesite tailings (MMTs) pose dual environmental threats. Although biomass gasification can utilize CS, its inherent drawbacks result in syngas with low heating value and high tar content. Torrefaction pretreatment can effectively improve [...] Read more.
The inefficient disposal of corn stover (CS) and the accumulation of magnesite tailings (MMTs) pose dual environmental threats. Although biomass gasification can utilize CS, its inherent drawbacks result in syngas with low heating value and high tar content. Torrefaction pretreatment can effectively improve biomass properties, and the use of steam as a reaction medium can further optimize the product’s pore structure. This study proposes a steam-assisted torrefaction pretreatment to address the inefficient utilization of CS and the disposal challenges of MMTs. The experimental results demonstrated that torrefaction at 300 °C with 30% water content for 60 min significantly improved the raw material’s properties. The optimized CSBC exhibited a well-developed pore structure and achieved a phenol removal rate of 63.4%. The addition of MMTs further enhanced the pretreatment effect, increasing the removal rate to 75.5% and confirming the superiority of the CSBC–magnesite composite system. The steam atmosphere improved phenol adsorption by regulating pore structures and surface functional groups, offering a feasible approach for utilizing solid waste resources and developing a new in situ tar control strategy. Full article
Show Figures

Figure 1

22 pages, 4743 KB  
Article
Investigation into the Multiphase Product Distribution and Evolution During Biomass Pyrolysis Using Wheat Straw and Pine Sawdust
by Jishuo Li, Kaili Xu, Xiwen Yao and Xingyu Luo
Energies 2025, 18(20), 5397; https://doi.org/10.3390/en18205397 - 13 Oct 2025
Viewed by 304
Abstract
Understanding the formation mechanisms of three-phase products during biomass pyrolysis is essential for optimizing thermochemical conversion and enhancing the efficient utilization of renewable resources. In this study, wheat straw (WS) and pine sawdust (PS) were selected as representative feedstocks to investigate the thermal [...] Read more.
Understanding the formation mechanisms of three-phase products during biomass pyrolysis is essential for optimizing thermochemical conversion and enhancing the efficient utilization of renewable resources. In this study, wheat straw (WS) and pine sawdust (PS) were selected as representative feedstocks to investigate the thermal decomposition behavior and evolution characteristics of gas, liquid (tar), and solid (char) products during pyrolysis. Thermogravimetric analysis and kinetic modeling revealed that PS exhibited higher activation energy (75.44 kJ/mol) than WS (65.63 kJ/mol), indicating greater thermal resistance. Tar yield increased initially and then declined with temperature, peaking at 700 °C (37.79% for PS and 32.82% for WS), while the composition shifted from oxygenated compounds to polycyclic aromatic hydrocarbons as temperature rose. FTIR analysis demonstrated that most functional group transformations in char occurred below 400 °C, with aromatic structures forming above 300 °C and stabilizing beyond 700 °C. Gas product evolution showed that WS produced higher CO and H2 yields due to its composition, with CH4 generated in relatively lower amounts. These findings provide insights into biomass pyrolysis mechanisms and offer a theoretical basis for targeted regulation of product distributions in bioenergy applications. Full article
Show Figures

Figure 1

21 pages, 3744 KB  
Article
FPI-Based Adaptive Control with Simultaneous Noise Filtering and Low Frequency Delay
by Bence Varga, Richárd Horváth and József Kázmér Tar
Actuators 2025, 14(10), 490; https://doi.org/10.3390/act14100490 - 9 Oct 2025
Viewed by 271
Abstract
In the field of life sciences, delay effects are often modeled with two compartments that do not model any particular organ. In this paper the use of this double counterpart model is investigated in Fixed-Point Iteration-based (FPI) Control, which was introduced in 2009 [...] Read more.
In the field of life sciences, delay effects are often modeled with two compartments that do not model any particular organ. In this paper the use of this double counterpart model is investigated in Fixed-Point Iteration-based (FPI) Control, which was introduced in 2009 as an adaptive extension to the Computed Torque Control method. This controller is particularly sensitive to delays and measurement noise due to its iterative nature. It was recognized that, besides modeling the delay effect, this signal tackling also provided the controller with some noise filtering ability; the formerly accumulated effects of noise filtering and formally delayed sampling were avoided. This smeared delay has a noticeable effect even slightly later in time, making the adaptive method based on it more robust. This assumption was investigated both on a simulation and experimental basis. Full article
(This article belongs to the Section Control Systems)
Show Figures

Figure 1

Back to TopTop