Assessment of Nutrient and Bacteria Contributions from Watersheds with Predominantly Agricultural and Urban Land Uses in Coastal North Carolina
Abstract
1. Introduction
2. Materials and Methods
2.1. Study Area
2.2. Physicochemical Characterization of Drainage
2.3. Nutrient and Fecal Indicator Bacteria Analyses
3. Results and Discussion
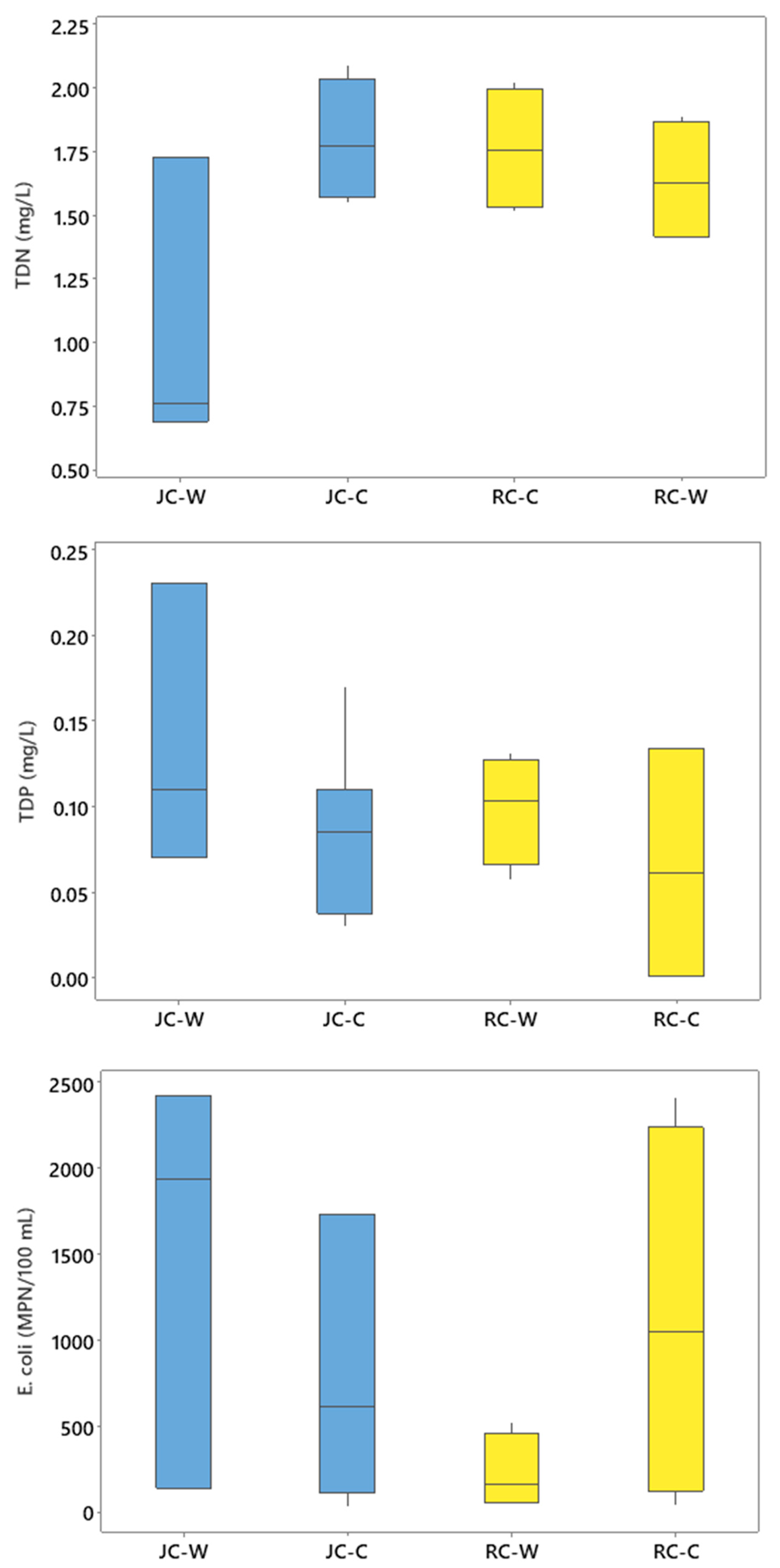
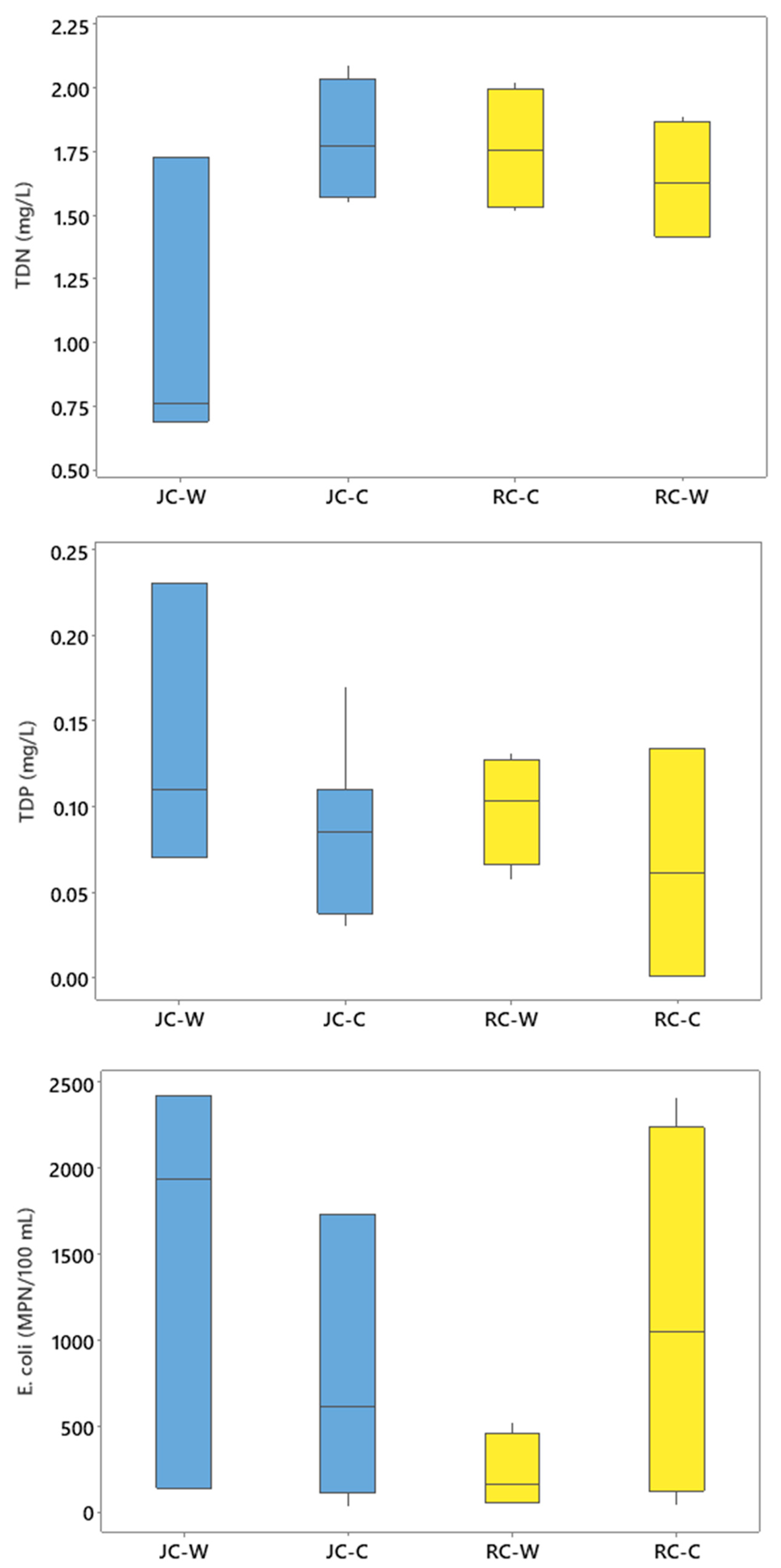
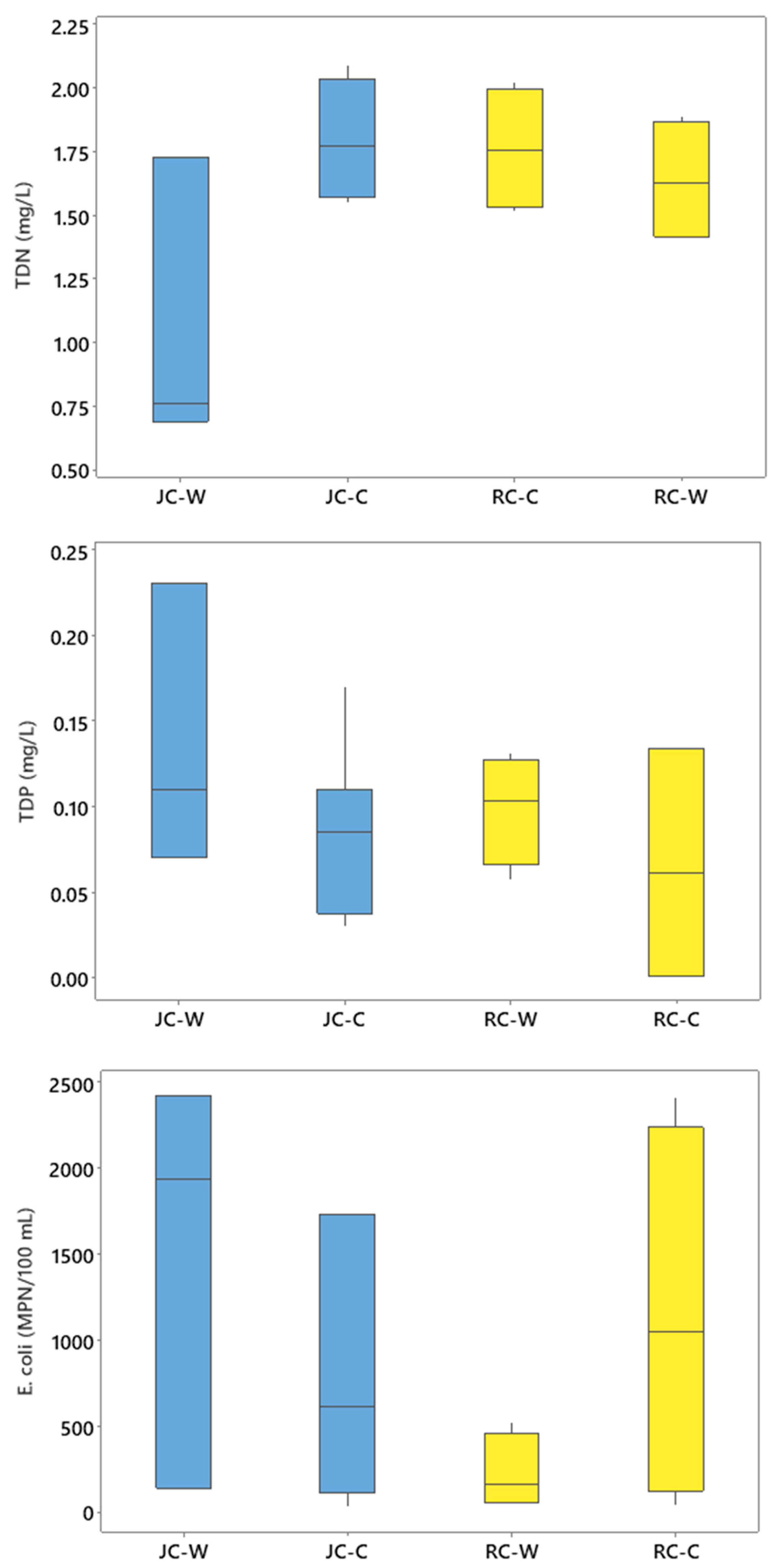
3.1. Nutrient and Bacteria Concentrations
3.2. Nutrient and Bacteria Loadings
3.3. Physicochemical Properties of Drainage
3.4. Remediation Strategies
4. Conclusions
Author Contributions
Funding
Data Availability Statement
Acknowledgments
Conflicts of Interest
References
- Jordan, M.A.; Rogers, S.R. A new perspective on water quality: Exploring spatial and temporal patterns of impaired waters. J. Environ. Manag. 2024, 359, 120983. [Google Scholar] [CrossRef]
- US EPA National Water Quality Inventory: Report to Congress. 2017. EPA 841-R-16-011. Available online: https://www.epa.gov/sites/default/files/2017-12/documents/305brtc_finalowow_08302017.pdf (accessed on 15 August 2025).
- Paerl, H.W.; Otten, T.G.; Joyner, A.R. Moving towards adaptive management of cyanotoxin-impaired water bodies. Microb. Biotechnol. 2016, 9, 641–651. [Google Scholar] [CrossRef]
- Huang, H.; Ciais, P.; Goll, D.S.; Sardans, J.; Penuelas, J.; Cresto-Aleina, F.; Zhang, H. The shift of phosphorus transfers in global fisheries and aquaculture. Nat. Commun. 2020, 11, 355. [Google Scholar] [CrossRef]
- Carmichael, W.W. Health effects of toxin producing cyanobacteria: The cyanoHABs. Hum. Ecol. Risk Assess. 2001, 7, 1393–1407. [Google Scholar] [CrossRef]
- Paerl, H.W. Mitigating harmful cyanobacterial blooms in a human-and climatically-impacted world. Life 2014, 4, 988–1012. [Google Scholar] [CrossRef]
- Ahrends, H.E.; Siebert, S.; Rezaei, E.E.; Seidel, S.J.; Huging, H.; Ewert, F.; Doring, T.; Rueda-Ayala, V.; Eugster, W.; Gaiser, T. Nutrient supply affects the yield stability of major European crops—A 50 year study. Environ. Res. Lett. 2021, 16, 014003. [Google Scholar] [CrossRef]
- Sun, Z.; Yang, R.; Wang, J.; Zhou, P.; Gong, Y.; Gao, F.; Wang, C. Effects of nutrient deficiency of crop yield and soil nutrients under winter wheat-summer maize rotation system in the North China Plain. Agronomy 2024, 14, 2690. [Google Scholar] [CrossRef]
- Tilman, D.; Cassman, K.G.; Matson, P.A.; Naylor, R.; Polasky, S. Agricultural sustainability and intensive production practices. Nature 2002, 418, 671–677. [Google Scholar] [CrossRef]
- Ghane, E.; Ranaivoson, A.Z.; Feyereisen, G.W.; Rosen, C.J.; Moncrief, J.F. Comparison of contaminant transport in agricultural drainage water and urban stormwater runoff. PLoS ONE 2016, 11, e0167834. [Google Scholar] [CrossRef]
- Osmond, D.L.; Gilliam, J.W.; Evans, R.O. Riparian Buffers and Controlled Drainage to Reduce Agricultural Nonpoint Source Pollution. In NC Agricultural Research Service Technical Bulletin 318; North Carolina State University: Raleigh, NC, USA, 2023; Available online: https://content.ces.ncsu.edu/riparian-buffers-and-controlled-drainage-to-reduce-agricultural-nonpoint-source-pollution (accessed on 15 August 2025).
- Beman, J.M.; Arrigo, K.R.; Matson, P.A. Agricultural runoff fuels large phytoplankton blooms in vulnerable aeras of the ocean. Nature 2005, 434, 211–214. [Google Scholar] [CrossRef]
- Chen, N.; Hong, H. Nitrogen export by surface runoff from a small agricultural watershed in southeast China: Seasonal pattern and primary mechanism. Biogeochemistry 2011, 106, 311–321. [Google Scholar] [CrossRef]
- Qui, S.; Yin, H.; Deng, J.; Li, M. Cost-effectiveness of green-gray stormwater control measures for non-point source pollution. Int. J. Environ. Res. Public Health 2020, 17, 998. [Google Scholar] [CrossRef]
- Hardison, E.C.; O’Driscoll, M.; DeLoatch, J.P.; Howard, R.J.; Brinson, M.M. Urban Land Use, Channel Incision, and Water Table Decline Along Coastal Plain Streams, North Carolina. J. Am. Water Resour. Assoc. 2009, 45, 1032–1046. [Google Scholar] [CrossRef]
- US Environmental Protection Agency. NPDES Stormwater Program. Available online: https://www.epa.gov/npdes/npdes-stormwater-program (accessed on 24 October 2025).
- US EPA Recreational Water Quality Criteria. EPA-820-F-12-061. Available online: https://www.epa.gov/sites/default/files/2015-10/documents/rec-factsheet-2012.pdf (accessed on 28 May 2025).
- Webster, L.F.; Thompson, B.C.; Fulton, M.H.; Chestnut, D.E.; Van Dolah, R.F.; Leight, A.K.; Scott, G.I. Identification of sources of Escherichia coli in South Carolina estuaries using antibiotic resistance analysis. J. Exp. Mar. Biol. Ecol. 2004, 298, 179–195. [Google Scholar] [CrossRef]
- Humphrey, C.; Underwood, J.; Iverson, G.; Etheridge, R.; O’Driscoll, M.; White, A. Evaluation of Phosphate and E. coli Attenuation in a Natural Wetland Receiving Drainage from an Urbanized Catchment. Hydrology 2024, 11, 74. [Google Scholar] [CrossRef]
- Iverson, G.; Humphrey, C.P., Jr.; O’Driscoll, M.; Bell, N.; Hoben, J. How do malfunctioning onsite wastewater systems influence water quality? Assessing treatment of nutrient and Escherichia coli in central North Carolina. J. Environ. Manag. 2024, 371, 123324. [Google Scholar] [CrossRef]
- Sercu, B.; Van De Werfhorst, L.C.; Murray, J.L.S.; Holden, P.A. Sewage exfiltration as a source of storm drain contamination during dry weather in urban watersheds. Environ. Sci. Technol. 2011, 45, 7151–7157. [Google Scholar] [CrossRef]
- Kirs, M.; Kisand, V.; Wong, M.; Caffaro-Filho, R.A.; Moravcik, P.; Harwood, V.J.; Yoneyama, B.; Fujioka, R.S. Multiple lines of evidence to identify sewage as the cause of water quality impairment in an urbanized tropical watershed. Water Res. 2017, 116, 23–33. [Google Scholar] [CrossRef]
- Kaushal, S.S.; Groffman, P.M.; Band, L.E.; Elliott, E.M.; Shields, C.A.; Kendall, C. Tracking nonpoint source nitrogen pollution in human-impacted watersheds. Environ. Sci. Technol. 2011, 45, 8225–8232. [Google Scholar] [CrossRef]
- Edge, T.A.; Hill, S. Multiple lines of evidence to identify the sources of fecal pollution at a freshwater beach in Hamilton Harbour, Lake Ontario. Water Res. 2007, 41, 3585–3594. [Google Scholar] [CrossRef]
- Ram, J.L.; Thompson, B.; Turner, C.; Nechvatal, J.M.; Sheehan, H.; Bobrin, J. Identification of pets and raccoons as sources of bacterial contamination of urban storm sewers using a sequence-based bacterial source tracking method. Water Res. 2007, 41, 3605–3614. [Google Scholar] [CrossRef]
- Humphrey, C.P., Jr.; Lyons, N.; Bond, R.; Bean, E.; O’Driscoll, M.; White, A. Assessment and Mitigation of Fecal Bacteria Exports from a Coastal North Carolina Watershed. Hydrology 2023, 10, 156. [Google Scholar] [CrossRef]
- Jacquemin, S.J.; Birt, J.; Senger, Z.; Axe, B.; Strang, B.; Ewing, C.; Kinney, B.; Newell, S.E. On the potential for reconstructed wetlands to remediate fecal coliform loading in an agricultural watershed. Hydrobiologia 2023, 850, 3879–3891. [Google Scholar] [CrossRef]
- Browning, D.A.; Mausbach, W.E.; Stookey, C.; Nikolai, S.J.; Barrow, J.; Townsend II, D.E. Validating microbial source tracking markers and assessing the efficacy of culturable E. coli and Enterococci assays in Ozark streams, USA. Water Air Soil Pollut. 2023, 234, 348. [Google Scholar] [CrossRef]
- Kelsey, H.; Porter, D.E.; Scott, G.; Neet, M.; White, D. Using geographic information system and regression analysis to evaluate relationships between land use and fecal coliform bacterial pollution. J. Exp. Mar. Biol. Ecol. 2004, 298, 197–209. [Google Scholar] [CrossRef]
- Ervin, J.S.; Van De Werfhorst, L.C.; Murray, J.L.; Holden, P.A. Microbial source tracking in a coastal California watershed reveals canines as controllable sources of fecal contamination. Environ. Sci. Technol. 2014, 48, 9043–9052. [Google Scholar] [CrossRef]
- Flood, M.T.; Hernandez-Suarez, J.S.; Nehadhashemi, A.P.; Martin, S.L.; Hyndman, D.; Rose, J.B. Connecting microbial, nutrient, physicochemical, and land use variables for the evaluation of water quality within mixed use watersheds. Water Res. 2022, 219, 118526. [Google Scholar] [CrossRef]
- Shanks, O.C.; Diedrich, A.; Sivaganesan, M.; Willis, J.R.; Sharifi, A. Quantitative fecal source characterization of urban municipal storm sewer system outfall ‘wet’ and ‘dry’ weather discharges. Water Res. 2024, 259, 121857. [Google Scholar] [CrossRef]
- Leight, A.K.; Hood, R.R. Precipitation thresholds for fecal bacteria indicators in the Chesapeake Bay. Water Res. 2018, 139, 252–262. [Google Scholar] [CrossRef]
- Hunt, W.F.; Smith, J.T.; Jadlocki, S.J.; Hathaway, J.M.; Eubanks, P.R. Pollutant removal and peak flow mitigation by a bioretention cell in urban Charlotte, N.C. J. Environ. Eng. 2008, 134, 403–408. [Google Scholar] [CrossRef]
- Palmer, E.T.; Poor, C.J.; Hinman, C.; Stark, J.D. Nitrate and phosphate removal through enhanced bioretention media: Mesocosm study. Water Environ. Res. 2013, 85, 823–832. [Google Scholar] [CrossRef]
- Collins, K.A.; Lawrence, T.J.; Stander, E.K.; Jontos, R.J.; Kaushal, S.S.; Newcomer, T.A.; Grimm, N.B.; Ekberg, M.L.C. Opportunities and challenges for managing nitrogen in urban stormwater: A review and synthesis. Ecol. Eng. 2010, 36, 1507–1519. [Google Scholar] [CrossRef]
- Sittig, S.; Sur, R. Runoff mitigation on agricultural fields via micro-dams—literature review and derivation of runoff curve number reductions. Environ. Res. 2023, 238, 117128. [Google Scholar] [CrossRef]
- Beutel, M.W.; Morgan, M.R.; Erlenmeyer, J.J.; Brouillard, E.S. Phosphorus removal in a surface-flow constructed wetland treating agricultural runoff. J. Environ. Qual. 2014, 43, 1071–1080. [Google Scholar] [CrossRef]
- Hsu, C.Y.; Yan, G.E.; Pan, K.C.; Lee, K.C. Constructed wetlands as a landscape management practice for nutrient removal from agricultural runoff- a local practice case on the east coast of Taiwan. Water 2021, 13, 1973. [Google Scholar] [CrossRef]
- Humphrey, C.P.; Iverson, G. Reduction in nitrogen exports from stormflow after conversion of a dry detention basin to a stormwater wetland. Appl. Sci. 2020, 10, 9024. [Google Scholar] [CrossRef]
- Humphrey, C.P.; Iverson, G.; Nolan, M. Nitrogen treatment by a dry detention basin with stormwater wetland characteristics. Hydrology 2022, 9, 85. [Google Scholar] [CrossRef]
- Wissler, A.D.; Hunt, W.F.; McLaughlin, R.A. Hydrologic and water quality performance of two aging and unmaintained dry detention basins receiving highway stormwater runoff. J. Environ. Manag. 2020, 255, 109853. [Google Scholar] [CrossRef]
- Nobles, A.L.; Goodall, J.L.; Fitch, M. Comparing costs of onsite best management practices to nutrient credits for stormwater management: A case study in Virginia. J. Am. Water Resour. Assoc. 2016, 53, 131–143. [Google Scholar] [CrossRef]
- Natural Resources Conservation Service. Official Soil Series Descriptions (OSDs). Available online: https://www.nrcs.usda.gov/resources/data-and-reports/official-soil-series-descriptions-osds (accessed on 26 October 2025).
- NC Department of Agriculture & Consumers Services Agricultural Statistics—County Estimates. Available online: https://www.ncagr.gov/divisions/agricultural-statistics/agricultural-statistics-county-estimates (accessed on 26 October 2025).
- Franzluebbers, A.J. Soil-test biological activity with the flush of CO2: III. Corn yield responses to applied nitrogen. Soil& Water Management & Conservation. Soil Sci. Soc. Am. J. 2018, 82, 708–721. [Google Scholar] [CrossRef]
- Morales, N.A.; Gatiboni, L.; Osmond, D.; Vann, R.; Kulesza, S.; Crozier, C.; Hardy, D. Critical soil test values of phosphorus and potassium for soybean and corn in three long-term trials in North Carolina. Soil Sci. Soc. Am. J. 2023, 87, 278–290. [Google Scholar] [CrossRef]
- Kile, L.K.; Gatiboni, L.; Osmond, D.L.; Marshall, A.M.; Johnson, A.; Duckworth, O.W. Why does overapplication of phosphorus fertilizers occur: Insights from North Carolina Farmers. Agriculture 2025, 15, 606. [Google Scholar] [CrossRef]
- U.S. Climate Data. Washington, NC. Available online: https://www.usclimatedata.com/climate/washington/north-carolina/united-states/usnc1127 (accessed on 18 August 2025).
- NC Department of Environmental Quality. Tar-Pamlico Nutrient Strategy. Available online: https://www.deq.nc.gov/about/divisions/water-resources/water-planning/nonpoint-source-planning/tar-pamlico-nutrient-strategy (accessed on 25 August 2025).
- Ludwig-Monty, S.; Heffernan, J. Spatial and Temporal Analysis of Long-Term Water Quality Data for the Pamlico River Estuary, North Carolina. Master’s Thesis, Duke University, Durham, NC, USA, 2015. Available online: https://dukespace.lib.duke.edu/server/api/core/bitstreams/8fb2857e-b51b-402c-870f-243ed390df6f/content (accessed on 10 September 2025).
- NC Department of Environmental Quality. Recreational Water Quality. Available online: https://www.deq.nc.gov/about/divisions/marine-fisheries/shellfish-sanitation-and-recreational-water-quality/recreational-water-quality#SwimmingAdvisoryList-4002 (accessed on 15 August 2025).
- US EPA Ambient Water Quality Criteria Recommendations: Information Supporting the Development of State and Tribal Nutrient Criteria for Rivers and Streams in Nutrient Ecoregion IX. Report 822-B-00-019. Available online: https://www.epa.gov/sites/production/files/documents/rivers9.pdf (accessed on 28 May 2025).
- Kebedew, M.G.; Tsegaye, S.; James, A.; Bottcher, A.D.; Albrecht, K.K.; Rotz, R. Understanding nutrient loading in a hydrologically sensitive coastal watershed. The Peace River watershed, Florida, USA. Environ. Process. 2025, 12, 40. [Google Scholar] [CrossRef]
- Rixon, S.; May, H.; Persaud, E.; Elsayed, A.; Levison, J.; Binns, A.; Goel, P. Subsurface influences on watershed nutrient concentrations and loading in a clay dominated agricultural system. J. Hydrol. 2024, 645, 132140. [Google Scholar] [CrossRef]
- Spruill, T.B.; Tesoriero, A.J.; Mew, H.E., Jr.; Farrel, K.M.; Harden, S.L.; Colosimo, A.B.; Kraemer, S.R. Geochemistry and Characteristics of Nitrogen Transport at a Confined Animal Feeding Operation in a Coastal Plain Agricultural Watershed, and Implications for Nutrient Loading in the Neuse River Basin, North Carolina, 1999–2002; US Geological Survey Scientific Investigations Report 2004-5283; US Geological Survey Scientific Investigations: Reston, VA, USA, 2005; p. 57.
- Iverson, G.; O’Driscoll, M.A.; Humphrey Jr, C.P.; Manda, A.K.; Anderson-Evans, E. Wastewater nitrogen contributions to coastal plain watersheds, NC, USA. Water Air Soil Pollut. 2015, 226, 325. [Google Scholar] [CrossRef]
- Humphrey, C.P.; O’Driscoll, M.; Iverson, G.; Anderson-Evans, E. Is onsite wastewater a significant source of phosphorus to coastal plain streams? Int. J. Environ. Sci. Technol. 2019, 17, 1199–1210. [Google Scholar] [CrossRef]
- Iverson, G.; Humphrey, C.P., Jr.; O’Driscoll, M.A.; Sanderford, C.; Jernigan, J.; Serozi, B. Nutrient exports from watersheds with varying septic system densities in the North Carolina Piedmont. J. Environ. Manag. 2018, 211, 206–217. [Google Scholar] [CrossRef]
- Neher, T.P.; Ma, L.; Moorman, T.B.; Howe, A.; Soupir, M.L. Seasonal variations in export of antibiotic resistance genes and bacteria in runoff from an agricultural watershed in Iowa. Sci. Total Environ. 2020, 738, 140224. [Google Scholar] [CrossRef]
- Sowah, R.; Zhang, H.; Radcliffe, D.; Bauske, E.; Habteselassie, M.Y. Evaluating the influence of septic systems and watershed characteristics on stream faecal pollution in suburban watersheds in Georgia, USA. J. Appl. Microbiol. 2014, 117, 1500–1512. [Google Scholar] [CrossRef]
- Iverson, G.; Humphrey, C.P.; Postma, M.H.; O’Driscoll, M.A.; Manda, A.K.; Finley, A. Influence of sewered versus septic systems on watershed exports of E. coli. Water Air Soil Pollut. 2017, 228, 237. [Google Scholar] [CrossRef]
- Humphrey, C.; Chaplinski, N.; O’Driscoll, M.; Kelley, T.; Richards, S. Nutrient and E. coli Attenuation in a Constructed Stormwater Wetland in the North Carolina Coastal Plain. Environ. Nat. Resour. Res. 2014, 4, 12–22. [Google Scholar] [CrossRef]
- Royer, T.V.; David, M.B.; Gentry, L.E. Timing of Riverine Export of Nitrate and Phosphorus from Agricultural Watersheds in Illinois: Implications for Reducing Nutrient Loading to the Mississippi River. Environ. Sci. Technol. 2006, 40, 4126–4131. [Google Scholar] [CrossRef]
- Harden, S.L. Surface-Water Quality in Agricultural Watersheds of the North Carolina Coastal Plain Associated with Concentrated Animal Feeding Operations; U.S. Geological Survey Scientific Investigations Report 2015-5080; U.S. Geological Survey Scientific Investigations: Reston, VA, USA, 2015; p. 55. [Google Scholar] [CrossRef]
- North Carolina Department of Environmental Quality Surface Water Standards. 2022. Available online: https://www.deq.nc.gov/about/divisions/water-resources/water-planning/classification-standards/surface-water-standards (accessed on 5 September 2025).
- Guerrero, J.; Mahmoud, A.; Alam, T.; Chowdhury, M.A.; Adetayo, A.; Ernest, A.; Jones, K.D. Water quality improvement and pollutant removal by two regional detention facilities with constructed wetlands in South Texas. Sustainability 2020, 12, 2844. [Google Scholar] [CrossRef]
- Hathaway, J.M.; Hunt, W.F.; Jadlocki, S. Indicator Bacteria Removal in Storm-Water Best Management Practices in Charlotte, North Carolina. J. Environ. Eng. 2009, 135, 1275–1285. [Google Scholar] [CrossRef]
- Hunt, W.F.; Jarret, A.R.; Smith, J.T.; Sharkey, L.J. Evaluating bioretention hydrology and nutrient removal at three field sites in North Carolina. J. Irrig. Drain. Eng. 2006, 132, 600–608. [Google Scholar] [CrossRef]
- Carmen, N.B.; Hunt, W.F.; Anderson, R.A. Volume Reduction Provided by Eight Residential Disconnected Downspouts in Durham, North Carolina. J. Environ. Eng. 2016, 142, 05016002. [Google Scholar] [CrossRef]
- Ghodsi, S.H.; Zhu, Z.; Ghelth, H.; Rabideau, A.J.; Torres, M.T.; Meindl, K. Modeling the effectiveness of rain barrels, cisterns, and downspout disconnections for reducing combined sewer overflows in a city-scale watershed. Water Resour. Manag. 2021, 35, 2895–2908. [Google Scholar] [CrossRef]
- Fleming, P.M.; Savchenko, O.M. Intention versus action: Household adoption of best management practices for water quality. Water Resour. Res. 2022, 58, e2021WRO29684. [Google Scholar] [CrossRef]
- Walsh, C.J.; Roy, A.H.; Feminella, J.W.; Cottingham, P.D.; Groffman, P.M.; Morgan, R.P., II. The urban stream syndrome: Current knowledge and the search for a cure. J. N. Am. Benthol. Soc. 2005, 24, 706–723. [Google Scholar] [CrossRef]
- Saadat, S.; Bowling, L.; Frankenberger, J.; Kladivko, E. Nitrate and phosphorus transport through subsurface drains under free and controlled drainage. Water Res. 2018, 142, 196–207. [Google Scholar] [CrossRef]
- Youssef, M.A.; Strock, J.; Bagheri, E.; Reinhart, B.D.; Abendroth, L.J.; Chighladze, G.; Ghane, E.; Shedekar, V.; Fausey, N.R.; Frankenberger, J.R.; et al. Impacts of controlled drainage on corn yield under varying precipitation patterns: A synthesis of studies across the US Midwest and Southeast. Agric. Water Manag. 2023, 275, 107993. [Google Scholar] [CrossRef]
- Lie, L.; Cloutier, M.; Craiovan, E.; Edwards, M.; Frey, S.K.; Gottschall, N.; Lapen, D.R.; Sunohara, M.; Topp, E.; Khan, I.U.H. Quantitative real-time PCR-based assessment of tile drainage management influences on bacterial pathogens in tile drainage and groundwater. Sci. Total Environ. 2018, 624, 1586–1597. [Google Scholar] [CrossRef]
- Herendeen, N.; Glazier, N. Agricultural best management practices for Conesus Lake: The role of extension and soil/water conservation districts. J. Great Lakes Res. 2009, 35, 15–22. [Google Scholar] [CrossRef]
- Gitau, M.W.; Gburek, W.J.; Jarrett, A.R. A tool for estimating best management practice effectiveness for phosphorus pollution control. J. Soil Water Conserv. 2005, 60, 1–10. [Google Scholar] [CrossRef]
- North Carolina Department of Environmental Quality 319 Grant Program. Available online: https://www.deq.nc.gov/about/divisions/water-resources/water-planning/nonpoint-source-planning/319-grant-program (accessed on 15 September 2025).
- Kunkel, K.E.; Easterling, D.R.; Ballniger, S.; Bililign, S.; Champion, S.M.; Corbett, D.R.; Dello, K.D.; Dissen, J.; Lackmann, G.M.; Luettich, R.A.; et al. North Carolina Climate Science Report. 2020. North Carolina Institute for Climate Studies. Available online: https://ncics.org/nccsr (accessed on 29 October 2025).
- Shepherd, M.; Lucci, G.; Vogeler, I.; Balvert, S. The effect of drought and nitrogen fertilizer addition on nitrate leaching risk from a pasture soil; as assessment from a field experiment and modelling. J. Sci. Food Agric. 2018, 98, 3795–3805. [Google Scholar] [CrossRef] [PubMed]









| Location | Watershed Area (ha) | % Developed | % Impervious | % Forest | % Agriculture | % Wetlands | % Grass/Shrubs |
|---|---|---|---|---|---|---|---|
| JC-1 | 170.9 | 87.7 | 24.4 | 5.5 | 2.4 | 0 | 4.4 |
| JC-2 | 282.3 | 93.5 | 44.4 | 0.8 | 5.6 | 0 | 0.1 |
| JC-3 | 93.3 | 97.1 | 38.1 | 0 | 2.9 | 0 | 0 |
| JC-4 | 78 | 100 | 25.3 | 0 | 0 | 0 | 0 |
| * JC-5 | 614 | 92.6 | 36 | 1.9 | 3.7 | 0.5 | 1.3 |
| RC-1 | 2191 | 11 | 1.8 | 23.4 | 32.9 | 10.5 | 22.2 |
| RC-2 | 93 | 10 | 2.6 | 23.4 | 34.3 | 11 | 21.3 |
| RC-3 | 18 | 9.1 | 1.5 | 6.9 | 84 | 0 | 0 |
| RC-4 | 2468 | 11.7 | 2 | 22.2 | 32.3 | 12.6 | 21.2 |
| RC-5 | 399 | 20.1 | 4.3 | 11.2 | 43.4 | 13.3 | 12 |
| * RC-6 | 3030 | 14.6 | 2.9 | 19.8 | 32.7 | 13.8 | 19.1 |
| TDN (kg/Day) | TDP (g/Day) | E. coli (MPN/Day) | ||||
|---|---|---|---|---|---|---|
| Location | Base | Storm | Base | Storm | Base | Storm |
| JC-1 | 1.34 (0.86) | 4.6 (4.2) | 88.63 (36.5) | 801.72 (1586.40) | 5.1 × 109 (6.6 × 109) | 2.7 × 1010 (3.9 × 1011) |
| JC-2 | 2.16 (1.14) | 5.79 (6.2) | 164.54 (71.3) | 904.42 (1635.2) | 5.1 × 109 (6.7 × 109) | 5.2 × 1010 (1.5 × 1012) |
| JC-3 | 0.19 (0.16) | 3.23 (3.88) | 3.90 (2.80) | 507.31 (1027.4) | 4.1 × 107 (1.5 × 108) | 1.1 × 1010 (3.9 × 1011) |
| JC-4 | 0.46 (0.15) | 4.82 (6.5) | 41.92 (27.80) | 813.40 (1605.6) | 2.0 × 109 (2.6 × 109) | 1.7 × 1010 (1.6 × 1012) |
| JC-5 | 4.04 (2.05) | 18.4 (20.5) | 297.04 (125.60) | 3026.85 (5852.90) | 1.1 × 1010 (7.8 × 109) | 1.3× 1011 (3.9 × 1012) |
| RC-1 | 88.4 (157.2) | 186.4 (171.1) | 14,369.6 (28,353.7) | 7342.9 (5796.4) | 2.2 × 106 (4.9 × 1012) | 3.1× 1011 (9.6 × 1011) |
| RC-2 | 1.9 (3.4) | 7.5 (6.7) | 992.0 (1974.4) | 598.8 (335.1) | 6.2 × 103 (4.5 × 1010) | 1.5 × 107 (4.5 × 1010) |
| RC-4 | 80.3 (139.9) | 210.5 (172.2) | 12,094.3 (23,602.9) | 3418.4 (4456.6) | 7.5 × 104 (5.3 × 1012) | 1.7 × 108 (1.3 × 1012) |
| RC-5 | 1.6 (3.3) | 16.4 (22.9) | 146.8 (293.6) | 921.0 (977.0) | 1.4 × 104 (7.5 × 1010) | 1.3 × 107 (5.7 × 1010) |
| RC-6 | 95.6 (162.4) | 232.0 (192.9) | 7465.9 (14,916.9) | 9244.4 (699.2) | 8.1 × 105 (2.7 × 1012) | 4.07 × 1011 (1.8 × 1012) |
| TDN (g/Day/ha) | TDP (g/Day/ha) | E. coli (MPN/Day/ha) | ||||
|---|---|---|---|---|---|---|
| Location | Base | Storm | Base | Storm | Base | Storm |
| JC-1 | 7.84 (5.03) | 26.92 (24.58) | 0.52 (0.21) | 4.69 (9.28) | 3.0 × 107 (3.3 × 108) | 1.6 × 108 (2.3 × 108) |
| JC-2 | 7.65 (4.04) | 20.51 (21.96) | 0.58 (0.25) | 3.20 (5.79) | 1.8 × 107 (2.4 × 107) | 1.8 × 108 (5.4 × 108) |
| JC-3 | 2.04 (1.71) | 34.62 (41.59) | 0.04 (0.03) | 5.44 (11.01) | 4.4 × 105 (1.6 × 106) | 1.2 × 108 (4.2 × 108) |
| JC-4 | 5.90 (1.92) | 61.79 (83.33) | 0.54 (0.36) | 10.43 (20.58) | 2.6 × 107 (3.4 × 107) | 2.2 × 108 (2.1 × 1010) |
| JC-5 | 6.58 (3.34) | 29.97 (33.39) | 0.48 (0.20) | 4.93 (9.53) | 1.8 × 107 (1.3 × 107) | 2.1 × 108 (6.4 × 109) |
| RC-1 | 40.35 (71.75) | 85.08 (78.09) | 1.64 (2.84) | 6.56 (12.94) | 1.0 × 103 (2.3 × 109) | 1.4 × 108 (4.4 × 108) |
| RC-2 | 20.43 (36.56) | 80.65 (72.04) | 4.28 (4.51) | 10.63 (21.23) | 6.6 × 101 (4.8 × 108) | 1.6 × 105 (4.9 × 108) |
| RC-4 | 32.54 (56.69) | 82.46 (74.27) | 1.29 (1.90) | 4.90 (9.56) | 3.0 × 101 (2.1 × 109) | 6.9 × 104 (5.6 × 108) |
| RC-5 | 4.01 (8.27) | 41.10 (57.39) | 1.54 (2.18) | 0.37 (0.74) | 3.5 × 101 (1.9 × 108) | 3.3 × 104 (1.4 × 108) |
| RC-6 | 31.55 (53.60) | 76.56 (63.66) | 3.05 (2.31) | 2.46 (4.92) | 2.7 × 102 (8.8 × 108) | 1.4 × 108 (6.0 × 108) |
| Location | SC (µS/cm) | pH | Temp (°C) | DO (mg/L) | Turb (FNU) | Flow (L/s) |
|---|---|---|---|---|---|---|
| JC-1 | 274.8 (118.9) | 6.9 (1.2) | 19.1 (7.4) | 6.4 (2.5) | 9.8 (9.3) | 44.8 (85.3) |
| JC-2 | 306 (151.1) | 6.6 (1.6) | 18.5 (8.1) | 5.8 (2.8) | 5.8 (5.9) | 62.7 (118.3) |
| JC-3 | 224.5 (130.8) | 6.5 (1.6) | 17.6 (7.6) | 3.3 (0.9) | 31.4 (64.8) | 36.3 (77.5) |
| JC-4 | 275.2 (156.9) | 6.5 (1.7) | 19.3 (6.2) | 4.6 (1.1) | 4.7 (6.2) | 59.4 (129.8) |
| JC-5 | 362.0 (305.1) | 6.5 (2.1) | 17.5 (7.8) | 5.8 (3.4) | 15.6 (12.8) | 203.2 (410.6) |
| RC-1 | 149.5 (79.1) | 6.6 (0.3) | 18.2 (5.6) | 5.3 (2.0) | 67.5 (68.2) | 924.0 (1091.9) |
| RC-2 | 151.9 (141.9) | 6.5 (0.6) | 18.3 (6.8) | 4.6 (2.2) | 34.6 (21.0) | 29.0 (35.2) |
| RC-3 | 83.4 (19.1) | 6.1 (0.5) | 17.2 (7.4) | 5.3 (2.2) | 24.4 (19.2) | N/A |
| RC-4 | 704.6 (722.9) | 6.7 (0.4) | 18.8 (6.8) | 5.1 (1.7) | 30.5 (23.3) | 937.1 (1138.8) |
| RC-5 | 166.3 (58.6) | 6.6 (0.4) | 19.3 (6.9) | 4.9 (2.0) | 95.1 (224.9) | 57.3 (115.1) |
| RC-6 | 6950.0 (8673.7) | 7.1 (0.7) | 21.1 (7.8) | 5.8 (2.0) | 20.0 (21.9) | 1009.2 (1171.2) |
Disclaimer/Publisher’s Note: The statements, opinions and data contained in all publications are solely those of the individual author(s) and contributor(s) and not of MDPI and/or the editor(s). MDPI and/or the editor(s) disclaim responsibility for any injury to people or property resulting from any ideas, methods, instructions or products referred to in the content. |
© 2025 by the authors. Licensee MDPI, Basel, Switzerland. This article is an open access article distributed under the terms and conditions of the Creative Commons Attribution (CC BY) license (https://creativecommons.org/licenses/by/4.0/).
Share and Cite
Humphrey, C.; Iverson, G.; Dilioha, J.; Smith, A. Assessment of Nutrient and Bacteria Contributions from Watersheds with Predominantly Agricultural and Urban Land Uses in Coastal North Carolina. Hydrology 2025, 12, 296. https://doi.org/10.3390/hydrology12110296
Humphrey C, Iverson G, Dilioha J, Smith A. Assessment of Nutrient and Bacteria Contributions from Watersheds with Predominantly Agricultural and Urban Land Uses in Coastal North Carolina. Hydrology. 2025; 12(11):296. https://doi.org/10.3390/hydrology12110296
Chicago/Turabian StyleHumphrey, Charles, Guy Iverson, Jude Dilioha, and Anna Smith. 2025. "Assessment of Nutrient and Bacteria Contributions from Watersheds with Predominantly Agricultural and Urban Land Uses in Coastal North Carolina" Hydrology 12, no. 11: 296. https://doi.org/10.3390/hydrology12110296
APA StyleHumphrey, C., Iverson, G., Dilioha, J., & Smith, A. (2025). Assessment of Nutrient and Bacteria Contributions from Watersheds with Predominantly Agricultural and Urban Land Uses in Coastal North Carolina. Hydrology, 12(11), 296. https://doi.org/10.3390/hydrology12110296

