Sign in to use this feature.

Years

Between: -

Subjects

remove_circle_outline
remove_circle_outline
remove_circle_outline
remove_circle_outline
remove_circle_outline
remove_circle_outline
remove_circle_outline

Journals

Article Types

Countries / Regions

Search Results (51)

Search Parameters:
Keywords = Sepia

Order results
Result details
Results per page
Select all
Export citation of selected articles as:
14 pages, 15162 KB  
Article
Periostracum Formation in Sepia officinalis and Loligo vulgaris and Homology with Other Molluscs
by Ernesto Ruiz-Villaespesa, Antonio G. Checa, Cristina Lucena-Serrano and Carmen Salas
Animals 2026, 16(5), 841; https://doi.org/10.3390/ani16050841 - 7 Mar 2026
Viewed by 212
Abstract
The periostracum is the outermost shell layer and the first produced during shell formation in molluscs. This organic layer isolates the extrapallial space from the external environment and provides a scaffold for subsequent calcification. In cephalopods with an internal shell, some organic shell [...] Read more.
The periostracum is the outermost shell layer and the first produced during shell formation in molluscs. This organic layer isolates the extrapallial space from the external environment and provides a scaffold for subsequent calcification. In cephalopods with an internal shell, some organic shell structures are putatively homologous to the periostracum of other molluscan groups. However, neither their detailed structure nor their mode of formation has been described, leaving the extent of this homology unresolved. To address this issue, we investigated the morphology and formation of the organic layer of the dorsal shield and the gladius in embryos of the cuttlefish Sepia officinalis Linnaeus, 1758, and the squid Loligo vulgaris Lamarck, 1798, respectively, using light microscopy and transmission electron microscopy. In both species, the periostracum forms within a periostracal groove located along the lateral and anterior margins of the shell sac. As in other molluscs, secretions from columnar cells at the bottom of the groove produce a dense layer, while a translucent layer is subsequently added beneath it through secretions from cuboidal cells. The main difference is the absence of both a pellicle and of the specialized glandular cells that typically secrete it at the bottom of the periostracal groove. Full article
(This article belongs to the Special Issue Recent Advances in Cephalopod Biology Research)
Show Figures

Figure 1

20 pages, 5710 KB  
Article
Salinity Stress Mechanisms in Sepia esculenta Larvae Revealed by Integrated Biochemical and Transcriptome Analyses
by Yancheng Zhao, Xueyu Zhu, Jingzhao Zhang, Weijun Wang, Cuiju Cui, Xin Tan, Xiumei Liu, Xiaohui Xu, Zan Li and Jianmin Yang
Biology 2025, 14(10), 1338; https://doi.org/10.3390/biology14101338 - 30 Sep 2025
Viewed by 708
Abstract
The stable marine environment is conducive to the development of the aquaculture industry. However, with the change of seawater salinity in recent years, it has had a great impact on the survival and breeding of cephalopods such as Sepia esculenta. In this [...] Read more.
The stable marine environment is conducive to the development of the aquaculture industry. However, with the change of seawater salinity in recent years, it has had a great impact on the survival and breeding of cephalopods such as Sepia esculenta. In this study, biochemical measurement and transcriptome sequencing were performed on the larvae of S. esculenta after different salinity stresses (salinity of 20 ppt and 40 ppt), and the reliability of transcriptome results was proved by physiological indexes. We performed Gene Ontology (GO), Kyoto Encyclopedia of Genes and Genomes (KEGG) enrichment analysis, and gene set enrichment analysis (GSEA) on all annotated genes, and gene sets were identified, including chemokine signaling pathways, MAPK signaling pathways, and cell cycle pathways. Finally, we constructed the protein-protein interaction networks (PPI) between the core genes in these gene sets and differentially expressed genes (DEGs) to identify key genes, including NFKBIA. Among them, the NFKBIA is not only a core gene in the chemokine signaling pathway gene set under four stresses but also has a high number of protein interactions. We speculate that this gene may have important immunomodulatory functions in the face of different time and salinity stresses. The results of our study explored the molecular mechanism of S. esculenta in the face of environmental stress, revealed the key molecular regulatory pathways for its survival and adaptation under complex environmental pressures, and may provide insights relevant to the development of S. esculenta pond culture. Full article
(This article belongs to the Special Issue Aquatic Economic Animal Breeding and Healthy Farming)
Show Figures

Figure 1

13 pages, 247 KB  
Review
Supporting Migrant 2SLGBTQIA+ Unpaid Caregivers for Family Members Living with Chronic Illnesses
by Roya Haghiri-Vijeh, Robin Coatsworth-Puspoky, Harish Ramesh, Arvin Shakibai, Willian Roger Dullius and Marcus Allan
Healthcare 2025, 13(13), 1533; https://doi.org/10.3390/healthcare13131533 - 27 Jun 2025
Viewed by 1623
Abstract
The literature details the healthcare needs of migrant people living with chronic illnesses and the consequent economic, social, and healthcare needs of their caregivers. Similarly, some studies have underscored the social and healthcare needs of 2SLGBTQIA+ (two-spirit, lesbian, gay, bisexual, transgender, queer, and [...] Read more.
The literature details the healthcare needs of migrant people living with chronic illnesses and the consequent economic, social, and healthcare needs of their caregivers. Similarly, some studies have underscored the social and healthcare needs of 2SLGBTQIA+ (two-spirit, lesbian, gay, bisexual, transgender, queer, and intersex individuals, including diverse sexual and gender identities under the “+” symbol) adults living with chronic illnesses and their caregivers. This narrative review presents the context of migrant 2SLGBTQIA+ unpaid caregivers and how their intersecting identities influence their caregiving roles for family members with chronic illnesses. In this article, caregivers are defined as family members or chosen families who provide unpaid support that may last for three months or longer for people living with chronic illnesses. Most studies and policies overlook 2SLGBTQIA+ migrants who are also unpaid caregivers of individuals living with chronic illnesses, leaving them unsupported through discrimination at the intersection of racism, homophobia, transphobia, ageism, and ableism, forcing them to remain vulnerable to increased emotional and physical strain. There is a presence of pervasive systemic barriers, including a lack of training and education among social and healthcare providers, about the needs of migrant 2SLGBTQIA+ unpaid caregivers. Additional challenges stem from inadequate policies and insufficient targeted resources, particularly for caregivers from marginalized racial and ethnic backgrounds. The findings of this study highlight the necessity for a call to action to address these gaps and improve support systems for these highly marginalized communities. Full article
(This article belongs to the Special Issue Impact of Social Connections on Well-Being of Older Adults)
20 pages, 4454 KB  
Article
Neuropilin Antagonists (NRPas) Block the Phosphorylation of the Cancer Therapeutic Key Factor p38α Kinase Triggering Cell Death
by Lucia Borriello, Rafika Jarray, Rachel Rignault-Bricard, Matthieu Montes, Nicolas Lopez, Thiago Trovati Maciel, Olivier Hermine, Françoise Raynaud, Luc Demange and Yves Lepelletier
Molecules 2025, 30(7), 1494; https://doi.org/10.3390/molecules30071494 - 27 Mar 2025
Viewed by 1146
Abstract
Neuropilin-1 is henceforth a relevant target in cancer treatment; however, its way of action remains partly elusive, and the development of small inhibitory molecules is therefore required for its study. Here, we report that two small-sized neuropilin antagonists (NRPa-47 and NRPa-48), VEGF-A165 [...] Read more.
Neuropilin-1 is henceforth a relevant target in cancer treatment; however, its way of action remains partly elusive, and the development of small inhibitory molecules is therefore required for its study. Here, we report that two small-sized neuropilin antagonists (NRPa-47 and NRPa-48), VEGF-A165/NRP-1 binding inhibitors, are able to decrease VEGF-Rs phosphorylation and to modulate their downstream cascades in the triple-negative breast cancer cell line (MDA-MB-231). Nevertheless, NRPas exert a divergent pathway regulation of MAPK phosphorylation, such as JNK-1/-2/-3, ERK-1/-2, and p38β/γ/δ-kinases, as well as their respective downstream targets. However, NRPa-47 and NRPa-48 apply a common down-regulation of the p38α-kinase phosphorylation and their downstream targets, emphasising its central regulating role. More importantly, none of the 40 selected kinases, including SAPK2a/p38α, are affected in vitro by NRPas, strengthening their specificity. Taken together, NRPas induced cell death by the down-modulation of pro-apoptotic and anti-apoptotic proteins, cell death receptors and adaptors, heat shock proteins (HSP-27/-60/-70), cell cycle proteins (p21, p27, phospho-RAD17), and transcription factors (p53, HIF-1α). In conclusion, we showed for the first time how NRPas may alter tumour cell signalling and contribute to the down-modulation of the cancer therapeutic key factor p38α-kinase phosphorylation. Thus, the efficient association of NRPas and p38α-kinase inhibitor strengthened this hypothesis. Full article
(This article belongs to the Section Medicinal Chemistry)
Show Figures

Graphical abstract

3 pages, 2071 KB  
Correction
Correction: Yamarthi et al. Sepia pharaonis Ink Mitigates Dehydroepiandrosterone-Induced Insulin Resistance in Mouse Model of Polycystic Ovarian Syndrome. Pathophysiology 2024, 31, 408–419
by Prathyusha Yamarthi, Rama Satyasri Kotipalli, Samatasai Patnaik, Kv Veena, Muralidharan Kathirvel, Rajkumar Vutukuri and Manjula Bhanoori
Pathophysiology 2025, 32(1), 4; https://doi.org/10.3390/pathophysiology32010004 - 20 Jan 2025
Viewed by 770
Abstract
Error in Figure [...] Full article
Show Figures

Figure 4

17 pages, 3207 KB  
Article
Seasonal Analysis of Spatial Distribution Patterns and Characteristics of Sepiella maindroni and Sepia kobiensis in the East China Sea Region
by Min Xu, Shuhao Liu, Hui Zhang, Zhiguo Li, Xiaojing Song, Linlin Yang and Baojun Tang
Animals 2024, 14(18), 2716; https://doi.org/10.3390/ani14182716 - 19 Sep 2024
Cited by 10 | Viewed by 2436
Abstract
Climate change is having important effects on the migration routes and seasonal–spatial distribution patterns of aquatic animals, including the cephalopods Sepiella maindroni de Rochebrune (Hoyle, 1886) and Sepia kobiensis (Hoyle, 1885) in the East China Sea region. We conducted bottom trawling surveys from [...] Read more.
Climate change is having important effects on the migration routes and seasonal–spatial distribution patterns of aquatic animals, including the cephalopods Sepiella maindroni de Rochebrune (Hoyle, 1886) and Sepia kobiensis (Hoyle, 1885) in the East China Sea region. We conducted bottom trawling surveys from 2018 to 2019 in the East China Sea region to identify the seasonal–spatial distribution patterns, including the locations of spawning and nursery grounds of both species, and to determine how they are related to environmental variables. We used random forests and boosted regression trees to identify the distribution patterns of both species from spring to winter to estimate the annual mean situations. We also predicted the habitat distribution variations in 2050 and 2100 under the SSP1-2.6 and SSP5-8.5 climate change scenarios. From our survey data, we detected increasing biomass densities of S. maindroni from 29.50° N to 28.50° N, where the largest value of 213.92 g·ind−1 occurred. In spring, juvenile groups were present in coastal areas and larger individuals were found in offshore areas. We identified potential spawning grounds at 29.50°–33.00° N 122.50°–123.00° E adjacent to the Zhejiang coastline, and larger individuals and higher biomass densities in south of the 29.50° N line in summer. In autumn, the average individual weight increased in the 28.00° N 122.00° E→124.00° E area. We located potential S. kobiensis spawning grounds at 27.00° N 122.00°–123.50° E in spring. Growing overwintering juveniles migrated to the area of 29.50°–30.50° N 125.00°–127.00° E in winter. The sea surface temperature of the areas inhabited by both species showed obvious seasonal variation. The SSP1-2.6 and SSP5-8.5 scenarios indicated that the habitat of S. maindroni would shift to the south first and then to the north of the study area with the intensification of CO2 emissions, and it would first expand and then greatly decrease. However, the habitat area of S. kobiensis would increase. Our results will contribute to a better understanding of the life history traits of both species and the changes in their distribution patterns under different climate scenarios to ensure sustainable exploitation and fisheries management. Full article
Show Figures

Figure 1

12 pages, 3314 KB  
Article
Sepia pharaonis Ink Mitigates Dehydroepiandrosterone-Induced Insulin Resistance in Mouse Model of Polycystic Ovarian Syndrome
by Prathyusha Yamarthi, Rama Satyasri Kotipalli, Samatasai Patnaik, Kv Veena, Muralidharan Kathirvel, Rajkumar Vutukuri and Manjula Bhanoori
Pathophysiology 2024, 31(3), 408-419; https://doi.org/10.3390/pathophysiology31030031 - 15 Aug 2024
Cited by 1 | Viewed by 2421 | Correction
Abstract
The present study aims to evaluate the effect of Sepia pharaonis ink on insulin resistance in PCOS-induced mice. Treatment with sepia ink in dehydroepiandrosterone (DHEA)-induced PCOS mice at various doses of 50 mg/kg, 100 mg/kg, and 200 mg/kg body weight mitigated the insulin resistance in [...] Read more.
The present study aims to evaluate the effect of Sepia pharaonis ink on insulin resistance in PCOS-induced mice. Treatment with sepia ink in dehydroepiandrosterone (DHEA)-induced PCOS mice at various doses of 50 mg/kg, 100 mg/kg, and 200 mg/kg body weight mitigated the insulin resistance in the study groups with decreased concentration of testosterone and increased concentrations of estrogen and progesterone compared to the PCOS group tested by ELISA. The histopathological analysis and restoration of glucose analysis showed a significant reduction in treatment groups. Reduced expression of insulin resistance genes like androgen receptor (AR), insulin receptor substrate 1 (IRS-1), and insulin-like growth factor1 (IGF-1) by qRT-PCR indicate a positive impact of sepia ink in alleviating the symptoms associated with PCOS. Taken together, the results of this study indicate sepia ink as a promising therapeutic intervention and a possible drug target for insulin resistance in diabetes and gynecological disorders like PCOS. Full article
Show Figures

Figure 1

17 pages, 3479 KB  
Article
The Influence of Fishers’ Behavior on Recreational Fishing Dynamics and Catch: Insights from a Mediterranean Coastal Lagoon
by Alice Stocco, Pietro Gorgosalice, Marco Anelli Monti, Alberto Caccin and Fabio Pranovi
Coasts 2024, 4(3), 535-551; https://doi.org/10.3390/coasts4030027 - 1 Aug 2024
Cited by 4 | Viewed by 3331
Abstract
Recreational fishing is practiced by thousands of people in European coastal waters and is steadily gaining popularity. Serving multiple purposes, recreational fishing provides fresh fish for meals, offers leisure, and contributes to traditional ecological knowledge, especially at the local level. Therefore, analyzing its [...] Read more.
Recreational fishing is practiced by thousands of people in European coastal waters and is steadily gaining popularity. Serving multiple purposes, recreational fishing provides fresh fish for meals, offers leisure, and contributes to traditional ecological knowledge, especially at the local level. Therefore, analyzing its dynamics and catch is a complex task, since they not only depend on the environmental features but also on the behavior of fishers. In coastal areas, however, most recreational fishers remain unmonitored, making it difficult to obtain data on their impact on fish stocks. This is particularly evident in the Venice lagoon, where we conducted a comprehensive study aiming to characterize recreational fishing dynamics. We collected data through interviews, online questionnaires, and remote sensing techniques, including satellite imagery photointerpretation and machine learning algorithms. Our findings reveal spatial and temporal variations in fishing activity, with certain areas and times experiencing higher fishing pressure. This highlights a seasonality in fishing activity and a pattern in fishers’ behaviors that are associated with fish migratory dynamics. Such an association demonstrates the local fishers’ understanding of the fish lifecycle phases and the environmental conditions of the lagoon. Regarding the catch, the most targeted species are seabream (Sparus aurata), seabass (Dicentrarchus labrax), and cuttlefish (Sepia officinalis), with estimated total catches of 18.65 t per year, 15.82 t per year, and 8.36 t per year, respectively. However, our results showed a significant disproportion between the biomass caught by two different groups of fishers that differ in terms of fishing trip frequency, success rate, and catch. While the average catch of the first group, representing most recreational fishers, might be considered of low impact, the catch of the second group, encompassing recreational fishers who fish with very high frequency and efficiency, is substantial in the context of the lagoon ecosystem. Indeed, even considering a conservative estimate, recreational fishing in the Venice lagoon accounted for approximately 2% of the catch of cuttlefish and 17% of the catch of seabream compared to commercial fishing catch, whereas the catch of seabass by recreational fishing approached that of commercial fishing. Therefore, the implementation of a periodic monitoring program utilizing methods such as machine learning algorithms and remote sensing technologies could support the management of recreational fishing dynamics. We also suggest that participatory processes involving both professional and recreational fishers may aid in defining shared approaches and bottom–up initiatives, ensuring enjoyment as well as sustainable uses of coastal areas. Full article
Show Figures

Figure 1

12 pages, 2483 KB  
Article
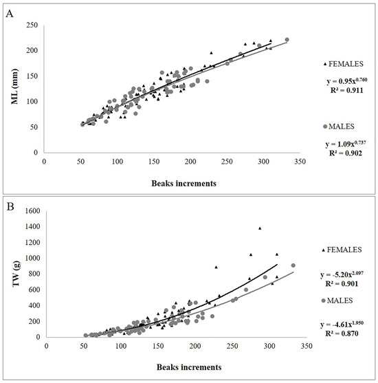
Age Estimation in Sepia officinalis Using Beaks and Statoliths
by Blondine Agus, Stefano Ruiu, Jacopo Cera, Andrea Bellodi, Viviana Pasquini and Danila Cuccu
Animals 2024, 14(15), 2230; https://doi.org/10.3390/ani14152230 - 31 Jul 2024
Cited by 4 | Viewed by 1609
Abstract
Establishing the age of cephalopods is crucial for understanding their life history, which can then be used for assessment and management. This is particularly true for the common cuttlefish Sepia officinalis (Linnaeus, 1758), one of the most important resources for coastal fisheries. For [...] Read more.
Establishing the age of cephalopods is crucial for understanding their life history, which can then be used for assessment and management. This is particularly true for the common cuttlefish Sepia officinalis (Linnaeus, 1758), one of the most important resources for coastal fisheries. For this reason, an age analysis of S. officinalis was performed for the first time in the Mediterranean, using beaks and statoliths from 158 wild specimens (55–222 mm mantle length; 23–1382 g total weight) at different maturity stages (immature to mature). Growth increments were counted in the lateral wall of the upper beaks and the lateral dome of statoliths. In both cases, a good relationship was found between the counts and the sizes of the animals. The low values of coefficients of variation between the readings obtained for beaks (3.96 ± 1.87%) and statoliths (4.00 ± 1.89%) showed a high level of precision and accuracy in the readings. However, the analysis was simpler for beaks, which were all successfully analyzed, while it was more complex for statoliths, with 69% being lost due to rejection or overgrinding. Based on daily increments previously validated in statoliths, the beaks were cross-verified by comparing their counts with those from statoliths extracted from the same 83 specimens, obtaining a statistically significant relationship between the two counts, confirmed by the ANOVA test. Absolute growth rates that were assessed using both beaks and statoliths indicated that the two sexes had a higher growth rate at 122 and 182 days, which subsequently declined in older specimens. Due to the relative simplicity of its processing method, the beak was finally proposed as a suitable hard structure to study the age of S. officinalis. We also confirmed the good readability of increments in the lateral wall of the beak, which could be considered a valid alternative to the rostrum surface. Full article
Show Figures

Figure 1

13 pages, 2038 KB  
Protocol
Development and Optimization of a Lactate Dehydrogenase Assay Adapted to 3D Cell Cultures
by Héloïse Castiglione, Lucie Madrange, Thomas Lemonnier, Jean-Philippe Deslys, Frank Yates and Pierre-Antoine Vigneron
Organoids 2024, 3(2), 113-125; https://doi.org/10.3390/organoids3020008 - 5 Jun 2024
Cited by 8 | Viewed by 14808
Abstract
In recent years, 3D cell culture systems have emerged as sophisticated in vitro models, providing valuable insights into human physiology and diseases. The transition from traditional 2D to advanced 3D cultures has introduced novel obstacles, complicating the characterization and analysis of these models. [...] Read more.
In recent years, 3D cell culture systems have emerged as sophisticated in vitro models, providing valuable insights into human physiology and diseases. The transition from traditional 2D to advanced 3D cultures has introduced novel obstacles, complicating the characterization and analysis of these models. While the lactate dehydrogenase (LDH) activity assay has long been a standard readout for viability and cytotoxicity assessments in 2D cultures, its applicability in long-term 3D cultures is hindered by inappropriate normalization and low LDH stability over time. In response to these challenges, we propose an optimization of LDH assays, including a crucial normalization step based on total protein quantification and a storage method using an LDH preservation buffer. We applied it to compare unexposed cerebral organoids with organoids exposed to a toxic dose of valproic acid, and showed efficient normalization of cellular viability as well as enhanced LDH stability within the buffer. Importantly, normalized LDH activity results obtained were independent of organoid dimension and cell density. This refined LDH assay, tailored to address 3D culture constraints, allows for the transposition of this routine test from 2D to 3D cultures. Full article
Show Figures

Figure 1

15 pages, 1156 KB  
Article
Influence of Cuttlefish-Ink Extract on Canned Golden Seabream (Sparus aurata) Quality
by Beatriz Martínez, Marcos Trigo, Alicia Rodríguez and Santiago P. Aubourg
Foods 2024, 13(11), 1685; https://doi.org/10.3390/foods13111685 - 27 May 2024
Cited by 2 | Viewed by 2045
Abstract
Four different concentrations of an aqueous extract of cuttlefish (Sepia spp.) ink (CI) were introduced, respectively, into the packing medium employed during golden seabream (Sparus aurata) canning. The quality parameters of the resulting canned fish were determined and compared to [...] Read more.
Four different concentrations of an aqueous extract of cuttlefish (Sepia spp.) ink (CI) were introduced, respectively, into the packing medium employed during golden seabream (Sparus aurata) canning. The quality parameters of the resulting canned fish were determined and compared to the initial fish and the control canned muscle. An important effect of the CI concentration introduced in the packing medium was proved. The presence in the packing medium of a relatively low CI concentration (CI-2 batch) led to a lower (p < 0.05) lipid oxidation development (fluorescent compound formation), lower (p < 0.05) changes of colour parameters (L* and a* values), and lower (p < 0.05) trimethylamine values in canned fish when compared to control canned samples. Additionally, the two lowest CI concentrations tested led to higher average values of C22:6ω3, ω3/ω6 ratios, and polyene index. On the contrary, the use of the most concentrated CI extract (CI-4 condition) led to a prooxidant effect (higher fluorescence ratio value). In agreement with environmental sustainability and circular economy requirements, the study can be considered the first approach to a novel and valuable use of the current marine byproduct for the quality enhancement of canned fish. On-coming research focused on the optimisation of the CI-extract concentration is envisaged. Full article
Show Figures

Figure 1

16 pages, 1964 KB  
Article
Seasonal and Spatial Distribution Characteristics of Sepia esculenta in the East China Sea Region: Transfer of the Central Distribution from 29° N to 28° N
by Min Xu, Linlin Yang, Zunlei Liu, Yi Zhang and Hui Zhang
Animals 2024, 14(10), 1412; https://doi.org/10.3390/ani14101412 - 8 May 2024
Cited by 12 | Viewed by 2102
Abstract
The golden cuttlefish (Sepia esculenta) is an important cephalopod species with a lifespan of approximately one year. The species plays a crucial role in marine ecological support services and is commercially valuable in fisheries. In the seas around China, this species [...] Read more.
The golden cuttlefish (Sepia esculenta) is an important cephalopod species with a lifespan of approximately one year. The species plays a crucial role in marine ecological support services and is commercially valuable in fisheries. In the seas around China, this species has emerged as the main target for cuttlefish fisheries, replacing Sepiella maindroni since the 1990s. Variations in oceanographic conditions associated with global warming could significantly impact the temporal-spatial distribution of the species. In this study, we performed bottom trawling surveys with four cruises during 2018–2019 in the East China Sea region to determine the current resource status and seasonal-spatial variations in S. esculenta. We found that the average individual weight (AIW) values were 4.87 and 519.00 g/ind at stations located at 30.50° N, 124.00° E and 30.50° N, 124.50° E, respectively, with the aggregation of larvae and parent groups in spring. The species was not distributed north of 32.00° N in summer. The catch per unit effort by weight (CPUEw) value decreased in the order of 2772.50→2575.20→503.29→124.36 g/h, corresponding to latitudes of 34.50° N→34.00° N→33.50° N→32.50° N 121.50° E in autumn. The most suitable fishing areas were the south of the East China Sea region in spring; the south of the East China Sea region extending to the center and outer parts of the East China Sea region in summer; the south of the Yellow Sea close to the Haizhou Bay fishing ground and the forbidden fishing line region of the Lusi and Dasha fishing grounds in autumn; and the south and center of the East China Sea region in winter. The most suitable sea bottom temperature (SBT) values from spring to winter were 14.76–20.53 °C, 19.54–22.98 °C, 11.79–17.64 °C, and 16.94–20.36 °C, respectively. The most suitable sea bottom salinity (SBS) values were 31.53–34.80‰ in spring, 32.95–34.68‰ in summer, 31.51–34.77‰ in autumn, and 33.82–34.51‰ in winter. We concluded the following: (1) the southern and northern areas of the East China Sea region are spawning and nursery grounds, respectively, in spring; (2) the central distribution is located at a latitude of 28.00° N in autumn and winter; and (3) the southern area of the Yangtze River to the north is a spawning ground in spring, and the areas located at 29.00–34.50° N, 124.00–124.50° E, and 28.00–30.50° N, 125.50–126.50° E are nursery grounds. The results of this study provide useful guidance for appropriate fisheries management, thereby avoiding a collapse in the S. esculenta population, which has been experienced in other species in this area. Full article
Show Figures

Figure 1

16 pages, 268 KB  
Article
The EU Interreg Project “ADRINET”: Assessment of Well-Known and Emerging Pollutants in Seafood and Their Potential Effects for Food Safety
by Elisabetta Bonerba, Fatmira Shehu, Annamaria Pandiscia, Patrizio Lorusso, Alessio Manfredi, Aleksandra Huter, Giuseppina M. Tantillo, Sara Panseri, Maria Nobile and Valentina Terio
Foods 2024, 13(8), 1235; https://doi.org/10.3390/foods13081235 - 17 Apr 2024
Cited by 2 | Viewed by 2942
Abstract
Anthropogenic activities lead to the spread of chemicals and biological materials, including plastic waste, toxic metals, and pharmaceuticals, of which the impact on the Mediterranean Sea is of high concern. In this context, the EU Interreg Italy-Albania-Montenegro Project “ADRINET (Adriatic Network for Marine [...] Read more.
Anthropogenic activities lead to the spread of chemicals and biological materials, including plastic waste, toxic metals, and pharmaceuticals, of which the impact on the Mediterranean Sea is of high concern. In this context, the EU Interreg Italy-Albania-Montenegro Project “ADRINET (Adriatic Network for Marine Ecosystem) _244” (2018–2020) arises. It aims to carry out biomonitoring campaigns in the main commercial interest of fish and cephalopod species, such as Sparus aurata, Dicentrarchus labrax, Sepia spp., and Loligo spp. sampled in three different subregions of the Mediterranean Sea. The presence of the main environmental contaminants, such as cadmium, microplastics, and antibiotics was investigated in these seafood samples. Contamination by cadmium and antibiotics in the seafood investigated in our study was negligible. However, a high value of microplastics was detected in the stomach and gut of Sparus aurata and Dicentrarchus labrax. Overall, even though the presence of microplastics needs to be investigated by further studies, the results confirmed that the environmental conditions of the three bays investigated by the ADRINET project partners (Italy, Albania, Montenegro) are positive and not affected by intensive anthropogenic activity. Full article
14 pages, 1013 KB  
Article
Antioxidant Activity of an Aqueous Extract of Cuttlefish Ink during Fish Muscle Heating
by Marcos Trigo, David Paz, Antía Bote and Santiago P. Aubourg
Antioxidants 2023, 12(11), 1996; https://doi.org/10.3390/antiox12111996 - 13 Nov 2023
Cited by 6 | Viewed by 3095
Abstract
The antioxidant effect of cuttlefish (Sepia officinalis) ink (CFI) was analysed in the present study. A model system consisting of minced seabream (Sparus aurata) muscle and different concentrations of an aqueous extract of CFI was subjected to a heat [...] Read more.
The antioxidant effect of cuttlefish (Sepia officinalis) ink (CFI) was analysed in the present study. A model system consisting of minced seabream (Sparus aurata) muscle and different concentrations of an aqueous extract of CFI was subjected to a heat (50 °C) treatment for 12 days. The effects of the CFI content and the heating time on lipid oxidation (conjugated diene (CD), conjugated triene (CT), and peroxide values and fluorescent compound formation), hydrolysis (free fatty acid content) development, and changes in the fatty acid (FA) profile (polyene index (PI), unsaturated FA content, ω3/ω6 ratio) were determined. The addition of the aqueous extract of CFI led to a lower (p < 0.05) development of lipid oxidation (CD, CT, and fluorescent compound determination) and to a higher (p < 0.05) retention of unsaturated FAs (PI determination). More important effects were found with increased CFI concentrations and at advanced heating times. However, a definite effect on lipid hydrolysis development (FFA value) could not be inferred. A new approach for the beneficial use of cuttlefish ink is presented. According to the direct relationship between rancidity stability and nutritional and sensory values, the present study provides a new strategy for the quality enhancement of thermally treated seafood. Full article
Show Figures

Figure 1

15 pages, 3394 KB  
Article
Investigating the Mechanism of Low-Salinity Environmental Adaptation in Sepia esculenta Larvae through Transcriptome Profiling
by Yongjie Wang, Xiumei Liu, Weijun Wang, Guohua Sun, Xiaohui Xu, Yanwei Feng, Zan Li and Jianmin Yang
Animals 2023, 13(19), 3139; https://doi.org/10.3390/ani13193139 - 8 Oct 2023
Cited by 2 | Viewed by 1877
Abstract
Sepia esculenta is an economically important mollusk distributed in the coastal waters of China. Juveniles are more susceptible to stimulation by the external environment than mature individuals. The ocean salinity fluctuates due to environmental changes. However, there is a lack of research on [...] Read more.
Sepia esculenta is an economically important mollusk distributed in the coastal waters of China. Juveniles are more susceptible to stimulation by the external environment than mature individuals. The ocean salinity fluctuates due to environmental changes. However, there is a lack of research on the salinity adaptations of S. esculenta. Therefore, in this study, we investigated the differential expression of genes in S. esculenta larvae after stimulation by low salinity. RNA samples were sequenced and 1039 differentially expressed genes (DEGs) were identified. Then, enrichment analysis was performed using the Gene Ontology (GO) and Kyoto Encyclopedia of Genes and Genomes (KEGG) databases. Finally, a protein–protein interaction network (PPI) was constructed, and the functions of key genes in S. esculenta larvae after low-salinity stimulation were explored. We suggest that low salinity leads to an excess proliferation of cells in S. esculenta larvae that, in turn, affects normal physiological activities. The results of this study can aid in the artificial incubation of S. esculenta and reduce the mortality of larvae. Full article
(This article belongs to the Section Animal Genetics and Genomics)
Show Figures

Figure 1

Back to TopTop