Sign in to use this feature.

Years

Between: -

Subjects

remove_circle_outline
remove_circle_outline
remove_circle_outline
remove_circle_outline
remove_circle_outline
remove_circle_outline

Journals

Article Types

Countries / Regions

Search Results (10)

Search Parameters:
Keywords = Scoparia dulcis

Order results
Result details
Results per page
Select all
Export citation of selected articles as:
2 pages, 525 KB  
Correction
Correction: Nguyen et al. Green Silver Nanoparticles Formed by Phyllanthus urinaria, Pouzolzia zeylanica, and Scoparia dulcis Leaf Extracts and the Antifungal Activity. Nanomaterials 2020, 10, 542
by Dai Hai Nguyen, Jung Seok Lee, Ki Dong Park, Yern Chee Ching, Xuan Thi Nguyen, V.H. Giang Phan and Thai Thanh Hoang Thi
Nanomaterials 2024, 14(5), 475; https://doi.org/10.3390/nano14050475 - 6 Mar 2024
Cited by 1 | Viewed by 1577
Abstract
In the original publication [...] Full article
(This article belongs to the Special Issue Antibacterial Activity of Nanoparticles)
Show Figures

Figure 4

23 pages, 7986 KB  
Article
A New Diterpenoid of Indonesian Scoparia dulcis Linn: Isolation and Cytotoxic Activity against MCF-7 and T47D Cell Lines
by Hasnawati Hasnawati, Subagus Wahyuono, Ratna Asmah Susidarti, Djoko Santosa and Arfan Arfan
Molecules 2023, 28(16), 5960; https://doi.org/10.3390/molecules28165960 - 9 Aug 2023
Cited by 1 | Viewed by 2771
Abstract
Scoparia dulcis Linn plays an important role in treatment because it contains active compounds that are proven to have a variety of activities, including cytotoxicity on various cancer cells. The objective of this study is to isolate and identify the cytotoxic compounds in [...] Read more.
Scoparia dulcis Linn plays an important role in treatment because it contains active compounds that are proven to have a variety of activities, including cytotoxicity on various cancer cells. The objective of this study is to isolate and identify the cytotoxic compounds in the ethyl acetate fraction of Scoparia dulcis, observe cell cycle inhibition and induction of apoptosis in vitro, and carry out molecular studies using in silico studies. A new diterpene compound was isolated from the ethyl acetate fraction of Scoparia dulcis L. of Indonesian origin. Chromatographic methods were used to isolate the compound, spectroscopic methods were used to elucidate its structure, and these data were compared with those reported in the literature. The compound was tested for its cytotoxic activity against two breast cancer cells (MCF-7 and T47D). The results of the isolated compound showed a cytotoxic effect on MCF-7 and T47D breast cancer cells at IC50 70.56 ± 1.54 and <3.125 ± 0.43 µg/mL, respectively. The compound inhibited the growth of MCF-7 and T47D breast cancer cells and the accumulation of cells in the G1 phases, and it induced apoptosis. Based on a spectroscopic analysis, the isolated compound was identified as 2α-hydroxyscopadiol, which is a new diterpenoid. A docking study revealed that the isolate’s hydroxyl groups are essential for interacting with crucial residues on the active sites of the ER and PR and caspase-9. The isolate inhibits ER and PR activity with binding energies of −8.2 kcal/mol and −7.3 kcal/mol, respectively. In addition, the isolate was also able to induce apoptosis through the activation of the caspase-9 pathway with an affinity of −9.0 kcal/mol. In conclusion, the isolated compound from S. dulcis demonstrated anticancer activity based on in vitro and in silico studies. Full article
Show Figures

Figure 1

16 pages, 884 KB  
Article
Scoparia dulcis L. Extract Relieved High Stocking Density-Induced Stress in Crucian Carp (Carassius auratus)
by Gangfu Chen, Min Wu, Huatao Li, Jing Xu, Haijing Liu, Wenhao Du, Qihui Yang, Lin Feng and Jun Jiang
Animals 2023, 13(15), 2522; https://doi.org/10.3390/ani13152522 - 4 Aug 2023
Cited by 4 | Viewed by 1921
Abstract
The objective of this study was to investigate the effects of Scoparia dulcis extract (SDE) on stress induced by high stocking density and Cu and trichlorfon exposure in crucian carp (Carassius auratus). The results showed that these stressors exerted detrimental effects [...] Read more.
The objective of this study was to investigate the effects of Scoparia dulcis extract (SDE) on stress induced by high stocking density and Cu and trichlorfon exposure in crucian carp (Carassius auratus). The results showed that these stressors exerted detrimental effects in fish, such as inhibition of growth performance, reduced feed intake, and interruption of fish locomotion. Under high stocking density, dietary SDE supplementation increased the content of reduced glutathione (GSH) and the activities of amylase, catalase (CAT), and glutathione reductase (GR) and decreased the content of malonaldehyde (MDA) in the intestine of crucian carp. A similar trend was presented in the hepatopancreas under Cu exposure. Dietary SDE supplementation enhanced the activities of CAT, superoxide dismutase (SOD), glutathione peroxidase (GPx), lactate dehydrogenase, glutamate-oxaloacetate transaminase, and glutamate-pyruvate transaminase in the muscle of crucian carp under trichlorfon exposure. The optimum dietary SDE supplementation levels were 4.07, 4.33, and 3.95 g kg−1 diet based on the recovery rate of weight gain (RWG), feed intake (FI), and inhibitory rate of rollover (IR) for crucian carp under high stocking density and Cu and trichlorfon exposure, respectively. Overall, dietary supplementation with SDE may be a useful nutritional strategy for relieving these stresses in aquatic animals. Full article
(This article belongs to the Special Issue Different Additives in Aquatic Animal Diets to Mitigate Stress)
Show Figures

Figure 1

11 pages, 2336 KB  
Article
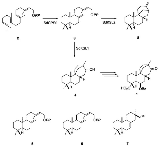
Functional Characterization of Three Diterpene Synthases Responsible for Tetracyclic Diterpene Biosynthesis in Scoparia dulcis
by Jung-Bum Lee, Tomoya Ohmura and Yoshimi Yamamura
Plants 2023, 12(1), 69; https://doi.org/10.3390/plants12010069 - 23 Dec 2022
Cited by 2 | Viewed by 3162
Abstract
Scoparia dulcis produces unique biologically active diterpenoids such as scopadulcic acid B (SDB). They are biosynthesized from geranylgeranyl diphosphate (GGPP) via syn-copalyl diphosphate (syn-CPP) and scopadulanol as an important key intermediate. In this paper, we functionally characterized three diterpene synthases, [...] Read more.
Scoparia dulcis produces unique biologically active diterpenoids such as scopadulcic acid B (SDB). They are biosynthesized from geranylgeranyl diphosphate (GGPP) via syn-copalyl diphosphate (syn-CPP) and scopadulanol as an important key intermediate. In this paper, we functionally characterized three diterpene synthases, SdCPS2, SdKSL1 and SdKSL2, from S. dulcis. The SdCPS2 catalyzed a cyclization reaction from GGPP to syn-CPP, and SdKSL1 did from syn-CPP to scopadulan-13α-ol. On the other hand, SdKSL2 was found to incorporate a non-sense mutation at 682. Therefore, we mutated the nucleotide residue from A to G in SdKSL2 to produce SdKSL2mut, and it was able to recover the catalytic function from syn-CPP to syn-aphidicol-16-ene, the precursor to scopadulin. From our results, SdCPS2 and SdKSL1 might be important key players for SDB biosynthesis in S. dulcis. Full article
(This article belongs to the Section Plant Systems and Synthetic Biology)
Show Figures

Figure 1

14 pages, 3185 KB  
Article
Metabolic Changes of Cholangiocarcinoma Cells in Response to Coniferyl Alcohol Treatment
by Bundit Promraksa, Praewpan Katrun, Jutarop Phetcharaburanin, Yingpinyapat Kittirat, Nisana Namwat, Anchalee Techasen, Jia V. Li and Watcharin Loilome
Biomolecules 2021, 11(3), 476; https://doi.org/10.3390/biom11030476 - 22 Mar 2021
Cited by 8 | Viewed by 4609
Abstract
Cholangiocarcinoma (CCA) is a major cause of mortality in Northeast Thailand with about 14,000 deaths each year. There is an urgent necessity for novel drug discovery to increase effective treatment possibilities. A recent study reported that lignin derived from Scoparia dulcis can cause [...] Read more.
Cholangiocarcinoma (CCA) is a major cause of mortality in Northeast Thailand with about 14,000 deaths each year. There is an urgent necessity for novel drug discovery to increase effective treatment possibilities. A recent study reported that lignin derived from Scoparia dulcis can cause CCA cell inhibition. However, there is no evidence on the inhibitory effect of coniferyl alcohol (CA), which is recognized as a major monolignol-monomer forming a very complex structure of lignin. Therefore, we aimed to investigate the effect of CA on CCA cell apoptosis. We demonstrated that a half-inhibitory concentration of CA on KKU-100 cells at 48 h and 72 h was 361.87 ± 30.58 and 268.27 ± 18.61 μg/mL, respectively, and on KKU-213 cells 184.37 ± 11.15 and 151.03 ± 24.99 μg/mL, respectively. Furthermore, CA induced CCA cell apoptosis as demonstrated by annexin V/PI staining in correspondence with an increase in the BAX/Bcl-2 ratio. A metabonomic study indicated that CA significantly decreased the intracellular concentrations of glutathione and succinate in KKU-213 cells and increased dihydrogen acetone phosphate levels in KKU-100 cells treated with 200 µg/mL of CA compared to the control group. In conclusion, CA induced cellular metabolic changes which are involved in the antioxidant defense mechanism, glycerophospholipid metabolism and the tricarboxylic acid cycle. CA may serve as a potent anticancer agent for CCA treatment by inducing CCA cellular apoptosis. Full article
Show Figures

Figure 1

31 pages, 14054 KB  
Article
Three New Alien Taxa for Europe and a Chorological Update on the Alien Vascular Flora of Calabria (Southern Italy)
by Valentina Lucia Astrid Laface, Carmelo Maria Musarella, Ana Cano Ortiz, Ricardo Quinto Canas, Serafino Cannavò and Giovanni Spampinato
Plants 2020, 9(9), 1181; https://doi.org/10.3390/plants9091181 - 11 Sep 2020
Cited by 32 | Viewed by 6567
Abstract
Knowledge on alien species is needed nowadays to protect natural habitats and prevent ecological damage. The presence of new alien plant species in Italy is increasing every day. Calabria, its southernmost region, is not yet well known with regard to this aspect. Thanks [...] Read more.
Knowledge on alien species is needed nowadays to protect natural habitats and prevent ecological damage. The presence of new alien plant species in Italy is increasing every day. Calabria, its southernmost region, is not yet well known with regard to this aspect. Thanks to fieldwork, sampling, and observing many exotic plants in Calabria, here, we report new data on 34 alien taxa. In particular, we found three new taxa for Europe (Cascabela thevetia, Ipomoea setosa subsp. pavonii, and Tecoma stans), three new for Italy (Brugmansia aurea, NarcissusCotinga’, and NarcissusErlicheer’), one new one for the Italian Peninsula (Luffa aegyptiaca), and 21 new taxa for Calabria (Allium cepa, Asparagus setaceus, Bassia scoparia, Beta vulgaris subsp. vulgaris, Bidens formosa, Casuarina equisetifolia, Cedrus atlantica, Chlorophytum comosum, Cucurbita maxima subsp. maxima, Dolichandra unguis-cati, Fagopyrum esculentum, Freesia alba, Juglans regia, Kalanchoë delagoënsis, Passiflora caerulea, Portulaca grandiflora, Prunus armeniaca, Prunus dulcis, Solanum tuberosum, Tradescantia sillamontana, and Washingtonia filifera). Furthermore, we provide the first geolocalized record of Araujia sericifera, the confirmation of Oxalis stricta, and propose a change of status for four taxa (Cenchrus setaceus, Salpichroa origanifolia, Sesbania punicea, and Nothoscordum gracile) for Calabria. The updated knowledge on the presence of new alien species in Calabria, in Italy and in Europe could allow for the prevention of other new entries and to eliminate this potential ecological threat to natural habitats. Full article
(This article belongs to the Special Issue Threatened Vegetation and Environmental Management)
Show Figures

Figure 1

14 pages, 3078 KB  
Article
Silver Nanoparticles Ecofriendly Synthesized by Achyranthes aspera and Scoparia dulcis Leaf Broth as an Effective Fungicide
by Ngoc Thuy Trang Le, Dai Hai Nguyen, Ngoc Hoi Nguyen, Yern Chee Ching, Dong Yen Pham Nguyen, Cuong Quoc Ngo, Hang Nguyen Thi Nhat and Thai Thanh Hoang Thi
Appl. Sci. 2020, 10(7), 2505; https://doi.org/10.3390/app10072505 - 5 Apr 2020
Cited by 24 | Viewed by 6391
Abstract
This study describes an inexpensive, simple and green method to form silver nanoparticles from different leaf extracts of Achyranthes aspera and Scoparia dulcis plants. The silver nitrate is reduced by Achyranthes aspera and Scoparia dulcis leaf extracts respectively to generate two silver nanoparticle [...] Read more.
This study describes an inexpensive, simple and green method to form silver nanoparticles from different leaf extracts of Achyranthes aspera and Scoparia dulcis plants. The silver nitrate is reduced by Achyranthes aspera and Scoparia dulcis leaf extracts respectively to generate two silver nanoparticle types symbolized as AA.AgNPs and SD.AgNPs. The optical absorption, size and morphology of silver nanoparticles are significantly impacted by extract types. The ultraviolet visible spectrum of AA.AgNPs shows a 433-nm peak being more broadened than that of SD.AgNPs. The Fourier infrared transform spectra of two of these silver nanoparticles revealed that their surface is modified by organic constituents from extracts, and thus they are stabilized in solution without any additional reaction. Images from transmission electron microscopy and scanning electron microscope indicate that AA.AgNPs are in clusters with the size of 8–52 nm almost possessing oval shape, while SD.AgNPs are smaller size of 5-45 nm separated well in diversified shapes (spherical, triangle, quadrilateral and hexagonal). Moreover, both AA.AgNPs and SD.AgNPs exhibit the highly antifungal effect against Aspergillus niger, Aspergillus flavus and the most strong impact on Fusarium oxysporum. For these obtained results, two new silver nanoparticles are promising fungicides for various applications of medical and agricultural fields. Full article
(This article belongs to the Special Issue Innovative Nanomaterials in Applied Sciences)
Show Figures

Figure 1

13 pages, 2589 KB  
Article
Green Silver Nanoparticles Formed by Phyllanthus urinaria, Pouzolzia zeylanica, and Scoparia dulcis Leaf Extracts and the Antifungal Activity
by Dai Hai Nguyen, Jung Seok Lee, Ki Dong Park, Yern Chee Ching, Xuan Thi Nguyen, V.H. Giang Phan and Thai Thanh Hoang Thi
Nanomaterials 2020, 10(3), 542; https://doi.org/10.3390/nano10030542 - 17 Mar 2020
Cited by 84 | Viewed by 6986 | Correction
Abstract
Phytoconstituents presenting in herbal plant broths are the biocompatible, regenerative, and cost-effective sources that can be utilized for green synthesis of silver nanoparticles. Different plant extracts can form nanoparticles with specific sizes, shapes, and properties. In the study, we prepared silver nanoparticles (P.uri.AgNPs, [...] Read more.
Phytoconstituents presenting in herbal plant broths are the biocompatible, regenerative, and cost-effective sources that can be utilized for green synthesis of silver nanoparticles. Different plant extracts can form nanoparticles with specific sizes, shapes, and properties. In the study, we prepared silver nanoparticles (P.uri.AgNPs, P.zey.AgNPs, and S.dul.AgNPs) based on three kinds of leaf extracts (Phyllanthus urinaria, Pouzolzia zeylanica, and Scoparia dulcis, respectively) and demonstrated the antifungal capacity. The silver nanoparticles were simply formed by adding silver nitrate to leaf extracts without using any reducing agents or stabilizers. Formation and physicochemical properties of these silver nanoparticles were characterized by UV-vis, Fourier transforms infrared spectroscopy, scanning electron microscope, transmission electron microscope, and energy dispersive X-ray spectroscopy. P.uri.AgNPs were 28.3 nm and spherical. P.zey.AgNPs were 26.7 nm with hexagon or triangle morphologies. Spherical S.dul.AgNPs were formed and they were relatively smaller than others. P.uri.AgNPs, P.zey.AgNPs and S.dul.AgNPs exhibited the antifungal ability effective against Aspergillus niger, Aspergillus flavus, and Fusarium oxysporum, demonstrating their potentials as fungicides in the biomedical and agricultural applications. Full article
(This article belongs to the Special Issue Antibacterial Activity of Nanoparticles)
Show Figures

Figure 1

18 pages, 5096 KB  
Article
Therapeutic Use of Scoparia dulcis Reduces the Progression of Experimental Osteoarthritis
by Marcus Vinícius Viégas Lima, Abner de Oliveira Freire, Emerson Lucas Frazão Sousa, André Alvares Marques Vale, Alberto Jorge Oliveira Lopes, Cleydlenne Costa Vasconcelos, Mônica Virginia Viégas Lima-Aragão, Humberto Oliveira Serra, Rosane Nassar Meireles Guerra Liberio, Ana Paula Silva de Azevedo dos Santos, Gyl Eanes Barros Silva, Claúdia Quintino da Rocha, Fernando César Vilhena Moreira Lima, Maria do Socorro de Sousa Cartágenes and João Batista Santos Garcia
Molecules 2019, 24(19), 3474; https://doi.org/10.3390/molecules24193474 - 25 Sep 2019
Cited by 10 | Viewed by 5222
Abstract
Pain is recognized as one of the main symptoms in knee osteoarthritis and is the main reason why patients seek medical attention. Scoparia dulcis has been popularly used to relieve discomfort caused by various painful conditions. The objective of the study is to [...] Read more.
Pain is recognized as one of the main symptoms in knee osteoarthritis and is the main reason why patients seek medical attention. Scoparia dulcis has been popularly used to relieve discomfort caused by various painful conditions. The objective of the study is to evaluate the analgesic and anti-inflammatory effect of the crude extract of S. dulcis, in an experimental model of osteoarthritis. The experiment was performed with Wistar rats divided into 4 groups with 5 animals each: healthy, saline, crude extract, and meloxicam groups. Knee osteoarthritis was induced by intra-articular injection of sodium mono-iodoacetate. First, clinical parameters of pain were assessed at days 0, 5, 10, 15, and 20 after induction. Second, the potential cyclooxygenase inhibition was evaluated, and the cytokines of the synovial fluid were quantified. An in silico test and Molecular Docking tests were performed. A histopathological evaluation was made on articular cartilage with safranin O staining. The results showed that a 15-day treatment with crude extract reduced edema, spontaneous pain, peripheral nociceptive activity, and proinflammatory cytokines in the synovial fluid. The highest inhibition of cyclooxygenase 2 in the crude extract occurred at 50 µg/mL. The crude extract of S. dulcis presents therapeutic potential for the treatment of osteoarthritis due to its anti-inflammatory and anti-nociceptive action. Full article
(This article belongs to the Special Issue Anti-Inflammatory Activity of Natural Products)
Show Figures

Graphical abstract

11 pages, 1877 KB  
Article
Comparative Analysis of Antioxidant and Anti-Amyloidogenic Properties of Various Polyphenol Rich Phytoceutical Extracts
by Kody Kleinrichert and Bindhu Alappat
Antioxidants 2019, 8(1), 13; https://doi.org/10.3390/antiox8010013 - 1 Jan 2019
Cited by 15 | Viewed by 5282
Abstract
Though the pathogenesis of Alzheimer’s Disease (AD) is not completely elucidated, it is generally accepted that the aggregation of toxic amyloid-β (Aβ) protein fibrils plays a major role in the disease’s onset and progression. Various phytoceutical compounds have been shown to attenuate Aβ [...] Read more.
Though the pathogenesis of Alzheimer’s Disease (AD) is not completely elucidated, it is generally accepted that the aggregation of toxic amyloid-β (Aβ) protein fibrils plays a major role in the disease’s onset and progression. Various phytoceutical compounds have been shown to attenuate Aβ toxicity and disrupt its aggregation, including various types of polyphenolic compounds. These polyphenolic compounds have also been found to demonstrate potent antioxidant activity, which may contribute to their anti-amyloidogenic properties. This study compares three plants, traditionally used for numerous medicinal purposes in Asian countries, including: Curcuma longa (Turmeric), Camellia sinensis (Green Tea), and Scoparia dulcis (Sweet Broomweed). Antioxidant effects of the crude, polyphenol rich phytoceutical extracts from these plants were analyzed using a 2,2-diphenyl-1-picrylhydrazyl (DPPH) assay. The ability of these extracts to prevent Aβ fibril formation was then carried out in order to establish a relationship between antioxidant activity and Aβ aggregation. A positive correlation between antioxidant efficacy and prevention of Aβ aggregation was demonstrated, indicating that antioxidant activity may play some role in preventing Aβ aggregation. Full article
Show Figures

Figure 1

Back to TopTop