Sign in to use this feature.

Years

Between: -

Subjects

remove_circle_outline
remove_circle_outline
remove_circle_outline
remove_circle_outline
remove_circle_outline
remove_circle_outline
remove_circle_outline
remove_circle_outline
remove_circle_outline

Journals

remove_circle_outline
remove_circle_outline
remove_circle_outline
remove_circle_outline
remove_circle_outline
remove_circle_outline
remove_circle_outline
remove_circle_outline
remove_circle_outline
remove_circle_outline
remove_circle_outline

Article Types

Countries / Regions

remove_circle_outline
remove_circle_outline
remove_circle_outline
remove_circle_outline
remove_circle_outline

Search Results (347)

Search Parameters:
Keywords = Sabin

Order results
Result details
Results per page
Select all
Export citation of selected articles as:
18 pages, 1584 KB  
Article
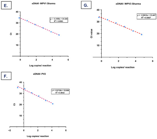
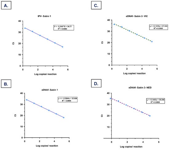
Development and Validation of a Quantitative RT-qPCR Panel for the Detection and Monitoring of Polioviruses in Wastewater Samples
by Linnet Immaraj, Judy Y. Qiu, Logan A. Brand, Tiejun Gao, Bonita Lee, Michael Parkins, Casey Hubert, Christine O’Grady and Xiaoli Pang
Microorganisms 2026, 14(3), 709; https://doi.org/10.3390/microorganisms14030709 - 21 Mar 2026
Abstract
Clusters of acute flaccid paralysis (AFP) caused by oral vaccine-derived poliovirus (VDPV) in 2022 and sporadic outbreaks in New York and Gaza highlight the ongoing risk of polio, alongside the persistent global threat posed by wild-type poliovirus. This study aims to develop and [...] Read more.
Clusters of acute flaccid paralysis (AFP) caused by oral vaccine-derived poliovirus (VDPV) in 2022 and sporadic outbreaks in New York and Gaza highlight the ongoing risk of polio, alongside the persistent global threat posed by wild-type poliovirus. This study aims to develop and validate a quantitative reverse transcription PCR (RT-qPCR) panel that employs different primer–probe sets to simultaneously detect vaccine and wild-type poliovirus (WPV) in wastewater. Using an inactivated poliovirus vaccine (IPV) and engineered DNA fragments (eDNAf), the qPCR master mix (MM) performance, assay specificity, sensitivity (limit of detection, LOD), and recovery from IPV-spiked wastewater were evaluated. Compared with two-step RT-qPCR and qScript MM, one-step RT-qPCR with TaqMan MM improved sensitivity for the following polioviruses (PV): Sabin 1 in IPV and the eDNAf of Sabin 1, 2, and 3; WPV1 and WPV3; and poliovirus type 2 (any serotype 2). The LOD for Sabin 1 in IPV was 2.49 copies/PCR, while LODs for eDNAf of polio targets ranged from 1.06 to 3.12 copies/PCR. Sabin 1 recovery from IPV-spiked wastewater ranged from 10.26% to 57.27%. The RT-qPCR panel for poliovirus exhibited good specificity and sensitivity, with moderate viral recovery, enabling rapid implementation of wastewater monitoring for PV as needed. Full article
(This article belongs to the Special Issue Pathogen Surveillance in Wastewater)
Show Figures

Figure 1

14 pages, 255 KB  
Article
Safety of Sabin-Strain Inactivated Poliovirus Vaccine Administered Alone or Concomitantly with Other Vaccines: A Population-Based Post-Marketing Surveillance Study
by Lin Chang, Yuxi Liu, Yuan Ren, Jing Li, Xing Fang and Yurong Li
Vaccines 2026, 14(3), 241; https://doi.org/10.3390/vaccines14030241 - 6 Mar 2026
Viewed by 343
Abstract
Background/Objectives: Sabin-strain inactivated poliovirus vaccine has been increasingly incorporated into routine immunization programs as part of the global strategy to eradicate poliomyelitis. As childhood immunization schedules become more complex, concerns persist regarding the safety of concomitant vaccination. Although randomized controlled trials and [...] Read more.
Background/Objectives: Sabin-strain inactivated poliovirus vaccine has been increasingly incorporated into routine immunization programs as part of the global strategy to eradicate poliomyelitis. As childhood immunization schedules become more complex, concerns persist regarding the safety of concomitant vaccination. Although randomized controlled trials and regional surveillance studies have demonstrated acceptable safety profiles, additional population-based real-world evidence remains valuable for evaluating the safety of sIPV administered concomitantly with other vaccines under routine programmatic conditions. Methods: A retrospective observational study was conducted using vaccination records and adverse events following immunization surveillance data collected in Liaoning Province, China, between 1 January 2022 and 30 June 2025. All reported adverse events following immunization following Sabin-strain inactivated poliovirus vaccine administration were extracted from the Chinese National AEFI Surveillance System. The reporting rates were calculated per 100,000 administered doses. Multivariable Poisson regression models with robust variance estimation were used to estimate adjusted rate ratios and 95% confidence intervals comparing standalone and concomitant sIPV administration, adjusting for sex, age in months, dose number, and city. Interaction analyses between vaccination mode and dose number were additionally performed. Results: A total of 205,576 sIPV doses were administered, including 144,724 doses administered alone and 60,852 doses administered concomitantly with other vaccines. Fifty-six adverse events following immunization were reported, corresponding to an overall reporting rate of 27.24 per 100,000 doses. Most reported adverse events following immunization were general reactions (91.07%), and all occurred within seven days after vaccination. The reporting rates for sIPV administered alone and concomitantly were 26.26 and 29.58 per 100,000 doses, respectively, with no significant difference between groups (p = 0.7869). After adjustment, concomitant sIPV administration was not associated with an increased risk of adverse events following immunization compared with standalone administration (adjusted rate ratios = 1.13, 95% confidence intervals: 0.59–2.16). No significant interaction between vaccination mode and dose number was identified. Conclusions: Sabin-strain inactivated poliovirus vaccine demonstrated a favorable safety profile when administered either alone or concomitantly with other vaccines. These findings support the continued use of flexible and synchronized vaccination strategies involving Sabin-strain inactivated poliovirus vaccine in routine immunization programs. Full article
(This article belongs to the Special Issue Vaccine Efficacy and Disease Burden Evaluation)
27 pages, 29487 KB  
Article
Revealing the Morpho-Kinematics of NGC 2371—A Planetary Nebula with a [WR] Central Star
by Roberto Vázquez, Jesús A. Toalá, Luis F. Miranda, Sandra Ayala, María E. Contreras, Marco A. Gómez-Muñoz, Pedro F. Guillen, Lorenzo Olguín, Gerardo Ramos-Larios, Laurence Sabin and Federico Soto-Badilla
Galaxies 2026, 14(2), 15; https://doi.org/10.3390/galaxies14020015 - 27 Feb 2026
Viewed by 316
Abstract
We present new high-dispersion optical spectra of the planetary nebula NGC 2371 obtained with the Manchester Echelle Spectrometer at the OAN-SPM 2.1 m telescope, complemented with 3D morpho-kinematic modelling using ShapeX. The data reveal that the present-day morphology of NGC 2371 is [...] Read more.
We present new high-dispersion optical spectra of the planetary nebula NGC 2371 obtained with the Manchester Echelle Spectrometer at the OAN-SPM 2.1 m telescope, complemented with 3D morpho-kinematic modelling using ShapeX. The data reveal that the present-day morphology of NGC 2371 is the outcome of multiple episodic mass-loss events rather than a single outflow. Our best-fitting model simultaneously reproduces the direct images and the Position–Velocity (PV) diagrams, and consists of a barrel-shaped shell with younger polar caps, extended bipolar lobes, and a pair of misaligned low-excitation [N ii] knots interpreted as jet-like ejections. The derived kinematical ages of the main structures, spanning ≃1600 to ≃4400 yr, indicate successive episodes of mass loss with different geometries and timescales. The nearly perpendicular bipolar lobes, the absence of a pronounced waist, and the surface distortions of the large-scale structures cannot be explained solely by standard axisymmetric wind interactions. Instead, our results point to a combination of shaping agents, including a late thermal pulse (born-again scenario) possibly related to the H-deficient [WR]-type nature of the central star, binary-driven interactions, and episodic jet activity. NGC 2371 thus provides a particularly instructive case where multiple shaping agents may operate, and where some of the relevant physical processes remain only marginally explored in current models of PN formation and evolution. Full article
(This article belongs to the Special Issue Origins and Models of Planetary Nebulae, 2nd Edition)
Show Figures

Figure 1

17 pages, 909 KB  
Systematic Review
The Effects of Physical Therapy in the Rehabilitation of Motor Delays in Children with Down Syndrome: A Systematic Review
by Dan Alexandru Szabo, Adina Stoian, Cristina Veres, Heidrun Adumitrachioaie, Carmen Pârvu, Ioan Teodor Hășmășan and Ioan Sabin Sopa
J. Clin. Med. 2026, 15(5), 1717; https://doi.org/10.3390/jcm15051717 - 24 Feb 2026
Viewed by 525
Abstract
Background/Objectives: This study’s primary goals are to evaluate the effects of physical therapy on motor delays in children with Down Syndrome, identify the most successful interventions, look at current trends in the field, and suggest future directions for clinical and research development [...] Read more.
Background/Objectives: This study’s primary goals are to evaluate the effects of physical therapy on motor delays in children with Down Syndrome, identify the most successful interventions, look at current trends in the field, and suggest future directions for clinical and research development by reviewing the scientific literature published over the past ten years. Methods: Using reputable databases, including PubMed, ScienceDirect, CENTRAL (Cochrane Central Register of Controlled Trials), PEDro (Physiotherapy Evidence Database), Web of Science, and NIH, an electronic search of scholarly literature was carried out between January and April 2025. To organise the findings and select the most pertinent papers, a search strategy was required. Results: The studies analysed provide a complex picture of how different types of physical therapy interventions affect children and adolescents with Down syndrome. Conclusions: Physical therapy interventions suggest greater effectiveness during the early stages of motor development in children with Down Syndrome; however, the evidence, based on six heterogeneous studies, remains moderate and does not support definitive recommendations. In clinical practice, physical therapists are advised to design individualised programmes that address specific needs, utilising traditional therapies, online training, or movement stimulation techniques, and to systematically monitor their outcomes. Full article
(This article belongs to the Special Issue Advances in Child Neurology)
Show Figures

Figure 1

27 pages, 1462 KB  
Article
Psidium cattleyanum Sabine as a Source of Bioactive Compounds for Skin Disorders
by Izabela Bielecka, Katarzyna Wojciechowska, Katarzyna Klimek, Sebastian Granica, Małgorzata Karska-Miazga, Arlindo Rodrigues Fortes and Katarzyna Dos Santos Szewczyk
Molecules 2026, 31(4), 690; https://doi.org/10.3390/molecules31040690 - 17 Feb 2026
Viewed by 338
Abstract
Psidium cattleyanum Sabine (strawberry guava, araçá) is an ethnomedicinal plant with reputed health benefits; however, its potential for treating skin disorders remains underexplored. This study aimed to characterize the phytochemical profile of P. cattleyanum leaves from Cabo Verde and evaluate their bioactivity relevant [...] Read more.
Psidium cattleyanum Sabine (strawberry guava, araçá) is an ethnomedicinal plant with reputed health benefits; however, its potential for treating skin disorders remains underexplored. This study aimed to characterize the phytochemical profile of P. cattleyanum leaves from Cabo Verde and evaluate their bioactivity relevant to skin health. Phytochemical analysis was performed using high-performance liquid chromatography-mass spectrometry (LC-MS) and spectrophotometric assays. Key biological activities were assessed in vitro, including antioxidant capacity (free radical scavenging assays), anti-aging enzyme inhibition (collagenase, elastase, and tyrosinase), and antibacterial activity against skin pathogens (agar diffusion, minimum inhibitory concentration, and combination studies with standard antibiotics). Cytotoxicity was evaluated using Vero cells (MTT assay). Additionally, a topical cream containing the leaf extract was formulated and subjected to physicochemical stability and sensory testing. LC-MS revealed a rich polyphenolic composition in the leaf extract, including abundant phenolic acids (gallic and ellagic acid derivatives) and flavonoid glycosides. The extract exhibited a high total phenolic content and strong antioxidant activity in DPPH/ABTS assays. It showed potent inhibition of collagenase, elastase, and tyrosinase, indicating an anti-aging effect against wrinkle formation and hyperpigmentation. The extract also demonstrated broad antimicrobial efficacy against skin-associated bacteria, such as Staphylococcus aureus and Cutibacterium acnes, with no antagonism and partial synergism observed when combined with certain antibiotics. The P. cattleyanum extract was successfully incorporated into a cream formulation that remained physically and chemically stable (no phase separation, consistent droplet size, and pH) over 90 days, with good homogeneity and acceptable sensory characteristics (neutral odor, smooth texture, and good spreadability). P. cattleyanum leaves from Cabo Verde are a rich source of bioactive compounds with multifunctional dermatological benefits. This study demonstrates that the P. cattleyanum leaf extract exhibits significant antioxidant, antimicrobial, and anti-aging activities in vitro, supporting its potential use as a natural ingredient for skin care. Full article
Show Figures

Graphical abstract

16 pages, 245 KB  
Article
Safety of Sabin Inactivated Poliovirus Vaccine Administered Standalone or Concomitantly with Other Childhood Vaccines: A Real-World Study in China
by Binbing Wang, Fanya Meng, Wenqing Xue, Ying Su, Tingyi Jiang, Yan Dong, Mingxue Ren and Jihai Tang
Vaccines 2026, 14(2), 161; https://doi.org/10.3390/vaccines14020161 - 9 Feb 2026
Cited by 1 | Viewed by 477
Abstract
Background/Objectives: Sabin strain-based inactivated poliovirus vaccine (sIPV) is increasingly used in China’s routine immunization program and is often administered concomitantly with other childhood vaccines. However, large-scale real-world evidence on the safety of concomitant sIPV vaccination remains limited. This study evaluated the safety [...] Read more.
Background/Objectives: Sabin strain-based inactivated poliovirus vaccine (sIPV) is increasingly used in China’s routine immunization program and is often administered concomitantly with other childhood vaccines. However, large-scale real-world evidence on the safety of concomitant sIPV vaccination remains limited. This study evaluated the safety of sIPV administered standalone or concomitantly with other routine vaccines using provincial surveillance data. Methods: A retrospective observational study was conducted using data from the China National Adverse Events Following Immunization Surveillance System and the Anhui Provincial Immunization Information Management System. All sIPV doses administered between 1 November 2023 and 31 July 2025 were included. AEFI reporting rates per 100,000 doses were calculated. Descriptive analyses were performed by demographic characteristics and dose number. Multivariable negative binomial regression models were used to assess the association between vaccination mode and AEFI incidence, with dose-stratified analyses when appropriate. Results: Among the 303,526 sIPV doses analyzed (135,550 standalone and 167,976 concomitant), 188 AEFI cases were reported, yielding an overall reporting rate of 61.94 per 100,000 doses. Most AEFI were mild, self-limited general reactions, mainly fever and local injection-site reactions. Only two serious AEFI were reported, both resolving without sequelae. After adjustment for confounders, no significant difference in overall AEFI incidence was observed between standalone and concomitant vaccination (aRR = 0.97, 95% CI: 0.64–1.47). AEFI reporting was associated with age and region, while no consistent dose-related trend was identified. Conclusions: sIPV showed a favorable safety profile when administered standalone or concomitantly with other routine vaccines in real-world settings. Concomitant vaccination did not increase AEFI risk, supporting the continued use of sIPV in routine immunization programs. Full article
(This article belongs to the Section Epidemiology and Vaccination)
25 pages, 6832 KB  
Article
Elucidating the Mechanisms of SA–4–1BBL-Mediated Cancer Immunoprevention Through Advanced Informatics Approaches
by Mohit Verma, Feyza Nur Arguc, Mohammad T. Malik, Pallav Singh, Sameep Dhakal, Yen On Chan, Manish Sridhar Immadi, Sabin Dahal, Vahap Ulker, Mohammad Tarique, Lalit Batra, Esma S. Yolcu, Haval Shirwan and Trupti Joshi
Biomolecules 2026, 16(2), 252; https://doi.org/10.3390/biom16020252 - 4 Feb 2026
Viewed by 694
Abstract
Cancer immunoprevention leverages the immune system’s surveillance mechanisms to mitigate tumor development. Vaccines that constitute a tumor antigen and an immune adjuvant are perceived as immunoprevention modalities. However, relevant tumor antigens are unknown for non-viral cancers, which constitute most human cancers. Our group [...] Read more.
Cancer immunoprevention leverages the immune system’s surveillance mechanisms to mitigate tumor development. Vaccines that constitute a tumor antigen and an immune adjuvant are perceived as immunoprevention modalities. However, relevant tumor antigens are unknown for non-viral cancers, which constitute most human cancers. Our group has recently shown that SA–4–1BBL, a novel agonist of CD137 receptor, but not antibodies, shows immunoprevention efficacy against various tumors. Advanced bioinformatics analyses of bulk RNA-seq data were conducted to elucidate mechanisms underlying cancer immunoprevention. Mice received subcutaneous injections of SA–4–1BBL or agonistic 3H3 antibody, and the injection-site tissue (IS) and draining lymph nodes (LN) were analyzed for differential gene expression. SA–4–1BBL induced a compartmentalized and temporally dynamic immune program characterized by early effector activation at IS and sustained immune regulation in draining LN. K-means clustering of 4564 DEGs identified eight functionally distinct clusters. IS-enriched clusters contained activation genes for CD4+ T and NK cells, including Cd28, Klra1, Cd4, Cd40, and Cd40l, while LN clusters were enriched for regulatory genes (Tnfaip3, Irf5, Col1a2) that ensure immune priming and homeostatic restraint for a balanced response. SA–4–1BBL generated a more selective and durable activation of adaptive immunity, TCR signaling, Th1/Th2 differentiation, and NK cytotoxicity. 3H3 activated broader innate inflammatory programs, including Toll-like receptor and neurodegeneration-linked pathways. IMPRes analysis showed that SA–4–1BBL activates sequential immune-regulatory circuits centered on Stat1, Cd247, and Ifng and modulates the CD151–TGF-β axis. These findings demonstrate that SA–4–1BBL elicits a balanced immune response, ensuring both safety and efficacy in preventing cancer development. Full article
(This article belongs to the Collection Feature Papers in Bioinformatics and Systems Biology Section)
Show Figures

Figure 1

21 pages, 1047 KB  
Article
Type 2 Diabetes Is Associated with Increased Coagulation Activity in Patients with Atrial Fibrillation: A D-Dimer-Based Analysis
by Paul Gabriel Ciubotaru, Amit Kohli, Nilima Rajpal Kundnani, Roxana Buzas, Marioara Nicula Neagu, Marius Preda, Vlad-Sabin Ivan, Mihaela-Diana Popa, Milan Daniel Velimirovici and Daniel Florin Lighezan
Biomedicines 2026, 14(2), 332; https://doi.org/10.3390/biomedicines14020332 - 31 Jan 2026
Viewed by 582
Abstract
Background: Atrial Fibrillation (AF) is associated with a prothrombotic state and increased risk of ischemic stroke. Type 2 diabetes mellitus (T2DM) is a major cardiometabolic comorbidity in AF and independently increases thromboembolic risk. D-dimer is a well-established biomarker of coagulation activation and fibrin [...] Read more.
Background: Atrial Fibrillation (AF) is associated with a prothrombotic state and increased risk of ischemic stroke. Type 2 diabetes mellitus (T2DM) is a major cardiometabolic comorbidity in AF and independently increases thromboembolic risk. D-dimer is a well-established biomarker of coagulation activation and fibrin turnover, but the specific contribution of T2DM to D-dimer levels in AF remains insufficiently characterized in real-world cohorts. Methods: We conducted a retrospective, observational, single-center study including 300 adult patients with non-valvular AF evaluated at a tertiary university hospital. Patients were stratified according to the presence of T2DM (150 with T2DM and 150 without diabetes). Plasma D-dimer levels were compared between groups and analyzed across clinically relevant thresholds and CHA2DS2-VASc categories. Multivariable linear and logistic regression models were used to assess the independent association between T2DM and D-dimer levels after adjustment for demographic factors, comorbidities, renal function, prior stroke, CHA2DS2-VASc score components, and oral anticoagulation. Results: Patients with T2DM exhibited significantly higher D-dimer levels than non-diabetic patients (median 0.94 vs. 0.63 µg/mL FEU, p < 0.001). T2DM was independently associated with higher log-transformed D-dimer levels (adjusted β = 0.19, p < 0.001) and with increased odds of elevated D-dimer above both 0.5 µg/mL and 1.0 µg/mL thresholds. Across all CHA2DS2-VASc categories, patients with T2DM consistently showed higher D-dimer concentrations. Findings remained robust in sensitivity analyses restricted to anticoagulated patients. Conclusions: In patients with atrial fibrillation, type 2 diabetes mellitus is associated with increased coagulation activity as reflected by higher D-dimer levels, independent of clinical thromboembolic risk. These results support the concept of a diabetes-associated hypercoagulable AF phenotype and highlight the potential role of coagulation biomarkers in refining risk stratification. Full article
(This article belongs to the Special Issue Chronic Heart Failure: From Biomarkers to Targeted Therapies)
Show Figures

Graphical abstract

15 pages, 1523 KB  
Review
ABCB5: A Key Regulator Linking Stem Cell Plasticity, Tumor Microenvironment, and Therapy Resistance in Cutaneous Melanoma
by Andreea Cătălina Tinca, Adrian Horațiu Sabău, Andreea Raluca Cozac-Szoke, Diana Maria Chiorean, Bianca Andreea Lazar, Raluca-Diana Hagău, Iuliu Gabriel Cocuz, Raluca Niculescu, Irina Bianca Kosovski, Sofia Teodora Muntean, Sabin Gligore Turdean and Ovidiu Simion Cotoi
Cancers 2026, 18(3), 424; https://doi.org/10.3390/cancers18030424 - 28 Jan 2026
Viewed by 298
Abstract
Cutaneous melanoma is one of the most aggressive skin cancers. Over the years, multiple studies have focused on identifying novel treatment strategies, with increasing attention directed toward immune-modulating mechanisms within the tumor microenvironment. Among these, ATP-binding cassette transporters and stem-associated pathways have been [...] Read more.
Cutaneous melanoma is one of the most aggressive skin cancers. Over the years, multiple studies have focused on identifying novel treatment strategies, with increasing attention directed toward immune-modulating mechanisms within the tumor microenvironment. Among these, ATP-binding cassette transporters and stem-associated pathways have been shown to influence drug response and immune escape. ABCB5 is a gene with multiple isoforms that significantly influences the immune response. In melanoma, the ABCB5α isoform is predominantly expressed, particularly in tumor stem-like cells where it promotes chemoresistance through active drug efflux. ABCB5 has also been linked to the regulation of PI3K/Akt, BCL-2, and miR-145-associated pathways. Moreover, ABCB5-positive cells contribute to the formation of an immunosuppressive microenvironment by secreting cytokines (IL-6, IL-8, TGF-β) and expressing immune checkpoint ligands, such as PD-L1, thereby favoring tumor progression and a poor prognosis. This review integrates current data on the molecular and microenvironmental mechanisms underlying melanoma progression and therapy resistance, and positions ABCB5 within the broader landscape of melanoma resistance mechanisms, emphasizing both its potential and its current limitations as a biomarker and therapeutic target. Full article
(This article belongs to the Section Cancer Pathophysiology)
Show Figures

Figure 1

11 pages, 2786 KB  
Systematic Review
Association Between VKORC1 Gene Polymorphisms and Osteopenia and Osteoporosis: A Systematic Review and Meta-Analysis
by Ştefan Cristian Vesa, Vlad-Mihai Ichim, Silvina Iluț, Stefano Miglietta, Mihai Lupu, Camelia Alexandra Coada, Antonia Eugenia Macarie, Ovidiu Chiroban, Anca Dana Buzoianu and Octavia Sabin
Medicina 2026, 62(1), 180; https://doi.org/10.3390/medicina62010180 - 15 Jan 2026
Viewed by 421
Abstract
Background and Objectives: The vitamin K epoxide reductase complex subunit 1 (VKORC1) plays a central role in the vitamin K cycle, which is essential for γ-carboxylation of multiple bone-related proteins. Genetic variants in VKORC1 may influence bone mineral density (BMD) and osteoporosis risk. [...] Read more.
Background and Objectives: The vitamin K epoxide reductase complex subunit 1 (VKORC1) plays a central role in the vitamin K cycle, which is essential for γ-carboxylation of multiple bone-related proteins. Genetic variants in VKORC1 may influence bone mineral density (BMD) and osteoporosis risk. Materials and Methods: A systematic review and meta-analysis were conducted to evaluate the association between VKORC1 polymorphisms and osteopenia and osteoporosis. Relevant studies were identified through PubMed, Scopus, and Web of Science databases. Data on study characteristics, genotypes, BMD measurement, ethnicity, sex, and menopausal status were extracted. Results: Six studies comprising 7335 participants were included. All studies assessed BMD using dual-energy X-ray absorptiometry (DXA). The mean participant age ranged from 41.9 to 63.7 years. The VKORC1 variants most frequently studied, which were included in the meta-analysis, were rs9923231 and rs9934438. The overall effect of VKORC1 risk alleles on osteopenia/osteoporosis was significant with a p = 0.041 (fixed effects OR = 1.16, 95% CI = 1.01–1.35). Heterogeneity among studies was insignificant (I2 = 0%, p = 0.893). Conclusions: A modest association was observed for the VKORC1 variants. The current body of evidence requires further studies to elucidate whether VKORC1 polymorphisms have a clinically meaningful role in bone health. Full article
(This article belongs to the Special Issue Bone Regeneration, Osteoporosis and Osteoarthritis)
Show Figures

Figure 1

23 pages, 2668 KB  
Review
Targeting Cardiac Fibroblast Plasticity for Antifibrotic and Regenerative Therapy in Heart Failure
by Suchandrima Dutta, Sophie Chen, Waqas Ahmad, Wei Huang, Jialiang Liang and Yigang Wang
Cells 2026, 15(2), 112; https://doi.org/10.3390/cells15020112 - 8 Jan 2026
Viewed by 837
Abstract
Cardiac fibrosis is a major component of heart failure (HF) and develops when reparative wound healing becomes chronic, leading to excessive extracellular matrix accumulation. Cardiac fibroblasts (CFs), the main regulators of matrix remodeling, are heterogeneous in developmental origins, regional localizations, and activation states. [...] Read more.
Cardiac fibrosis is a major component of heart failure (HF) and develops when reparative wound healing becomes chronic, leading to excessive extracellular matrix accumulation. Cardiac fibroblasts (CFs), the main regulators of matrix remodeling, are heterogeneous in developmental origins, regional localizations, and activation states. This diversity determines whether tissue repair resolves normally or progresses into maladaptive scarring that disrupts myocardial structure and function after injuries. Recent single-cell and spatial transcriptomic studies show that CFs exist in distinct yet interrelated molecular states in murine models and human cardiac tissue with specialized roles in matrix production, angiogenesis, immune signaling, and mechanical sensing. These insights redefine cardiac fibrosis as a dynamic and context-dependent process rather than a uniform cellular response. Although CFs are promising targets for preventing HF progression and enhancing cardiac remodeling, translation into effective therapies remains limited by the unclear heterogeneity of pathological fibroblasts, the lack of distinctive CF markers, and the broad activity of fibrogenic signaling pathways. In this review, we discuss the dynamics of CF activations during the development and progression of HF and assess the underlying pathways and mechanisms contributing to cardiac dysfunction. Additionally, we highlight the potential of targeting CFs for developing therapeutic strategies. These include nonspecific suppression of fibroblast activity and targeted modulation of the signaling pathways and cell populations that sustain chronic remodeling. Furthermore, we assess regenerative approaches that can reprogram fibroblasts or modulate their paracrine functions to restore functional myocardium. Integrating antifibrotic and regenerative strategies with advances in precision drug discovery and gene delivery offers a path toward reversing established fibrosis and achieving recovery in HF. Full article
(This article belongs to the Special Issue Signalling Mechanisms Regulating Cardiac Fibroblast Function)
Show Figures

Graphical abstract

17 pages, 1080 KB  
Article
Unveiling Mucopolysaccharidosis IIIC in Brazil: Diagnostic Journey and Clinical Features of Brazilian Patients Identified Through the MPS Brazil Network
by Yorran Hardman Araújo Montenegro, Maria Fernanda Antero Alves, Simone Silva dos Santos-Lopes, Carolina Fischinger Moura de Souza, Fabiano de Oliveira Poswar, Ana Carolina Brusius-Facchin, Fernanda Bender-Pasetto, Kristiane Michelin-Tirelli, Fernanda Medeiros Sebastião, Franciele Barbosa Trapp, Erlane Marques Ribeiro, Paula Frassinetti Vasconcelos de Medeiros, Chong Ae Kim, Emilia Katiane Embiraçu, Mariluce Riegel-Giugliani, Guilherme Baldo and Roberto Giugliani
Diseases 2026, 14(1), 5; https://doi.org/10.3390/diseases14010005 - 26 Dec 2025
Viewed by 472
Abstract
Background: Mucopolysaccharidosis type IIIC (MPS IIIC) is a rare lysosomal storage disorder caused by pathogenic variants in the HGSNAT gene. Data from large patient cohorts remain scarce, particularly in Latin America. Methods: We retrospectively analyzed clinical, biochemical, and genetic data from patients diagnosed [...] Read more.
Background: Mucopolysaccharidosis type IIIC (MPS IIIC) is a rare lysosomal storage disorder caused by pathogenic variants in the HGSNAT gene. Data from large patient cohorts remain scarce, particularly in Latin America. Methods: We retrospectively analyzed clinical, biochemical, and genetic data from patients diagnosed with MPS IIIC through the MPS Brazil Network. Diagnosis was based on reduced activity of acetyl-CoA:α-glucosaminide N-acetyltransferase (HGSNAT), elevated urinary glycosaminoglycans (uGAGs), and/or molecular genetics tests. Results: A total of 101 patients were confirmed with MPS IIIC, representing one of the largest cohorts worldwide. Females accounted for 60% of cases. The mean age at symptom onset was 5.4 ± 3.9 years, while the mean age at diagnosis was 11.7 ± 6.9 years, reflecting a 6-year diagnostic delay. Most patients initially presented with developmental delay (82%) and facial dysmorphism (80%), whereas behavioral manifestations were less frequently identified (25%), suggesting a milder phenotype than previously reported. Genetic information was available for 28% of patients, showing recurrent alleles (c.372-2A>G, c.252dupT) and several novel mutations, which expand the mutational spectrum of the disease. Genotype–phenotype similarities with Portuguese, Italian, and Chinese cases suggest shared ancestry contributions. Regional differences included earlier diagnoses in the North of Brazil and high consanguinity rates in the Northeast region. Conclusions: This study describes the largest Brazilian cohort of MPS IIIC, documenting novel variants and regional heterogeneity. Findings highlight diagnostic delays, ancestry influences, and the urgent need for disease-modifying therapies. Full article
Show Figures

Figure 1

18 pages, 1296 KB  
Article
Preclinical Study on Sabin Strain-Based DTaP-sIPV/Hib Pentavalent Vaccine: Evaluation of Repeated-Dose Toxicity and Immunogenicity
by Ting Zhao, Han Chu, Yan Ma, Qin Gu, Na Gao, Jingyan Li, Qiuyan Ji, Jiana Wen, Xiaoyu Wang, Guoyang Liao, Shengjie Ouyang, Wenzhu Hu, Hongwei Liao, Guang Ji, Hongbo Chen, Lujie Yang, Mingqing Wang, Ling Ping, Yuting Fu, Yixian Fu, Wenlu Kong, Huimei Zheng, Xinhua Qin, Lukui Cai, Jiangli Liang and Jingsi Yangadd Show full author list remove Hide full author list
Vaccines 2026, 14(1), 29; https://doi.org/10.3390/vaccines14010029 - 25 Dec 2025
Viewed by 570
Abstract
Background: Pertussis, diphtheria, tetanus, poliomyelitis, and Haemophilus influenzae type b (Hib) infections pose severe threats to children’s health globally. This study evaluated the safety and immunogenicity of a novel Sabin strain-based adsorbed pentavalent vaccine (DTacP-sIPV/Hib), which offers potential advantages in biosafety and cost-effectiveness [...] Read more.
Background: Pertussis, diphtheria, tetanus, poliomyelitis, and Haemophilus influenzae type b (Hib) infections pose severe threats to children’s health globally. This study evaluated the safety and immunogenicity of a novel Sabin strain-based adsorbed pentavalent vaccine (DTacP-sIPV/Hib), which offers potential advantages in biosafety and cost-effectiveness compared to wild-type poliovirus-based vaccines. Methods: A repeated-dose toxicity study was conducted in 190 Sprague-Dawley rats, randomly divided into negative control, adjuvant control, low-dose, and high-dose groups. Animals received five intramuscular injections at 21-day intervals, followed by a 56-day recovery period. Parameters assessed included local reactions, body temperature, hematology, serum biochemistry, coagulation, histopathology, T-cell subsets, cytokine levels, and antigen-specific immunogenicity. Results: The primary adverse reaction was dose-dependent local muscle swelling, which was fully reversible within 3–21 days. Only transient body temperature fluctuations and adjuvant-related hematological/biochemical abnormalities were observed, all resolving after the recovery period. No vaccine-related damage occurred in hepatic/renal function or immune organs. Immunogenicity data showed 100% seroconversion for all bacterial components 21 days after the first dose. The high-dose group achieved 100% seropositivity for all poliovirus serotypes after the second dose, while the low-dose group reached the same after the third dose, with no significant difference in antibody levels between dose groups. Conclusions: The DTacP-sIPV/Hib vaccine exhibits a favorable safety profile and robust immunogenicity in rats, supporting its further clinical development. The use of Sabin strains reduces biosafety risks and manufacturing costs, making this vaccine a promising candidate for immunization programs, especially in resource-limited regions. Full article
(This article belongs to the Section Vaccines, Clinical Advancement, and Associated Immunology)
Show Figures

Figure 1

8 pages, 2658 KB  
Case Report
Fibrin-Associated Large B-Cell Lymphoma of Prosthetic Aortic Valve and Aortic Root Graft
by Ashish Rajput, Abdulrahim Alabdulsalam, Claribeth Ruano, Sabin J. Bozso, Anthea Peters, Michael C. Moon and Jean Deschênes
Hematol. Rep. 2026, 18(1), 1; https://doi.org/10.3390/hematolrep18010001 - 22 Dec 2025
Viewed by 347
Abstract
Background and clinical significance: Primary cardiac diffuse large B-cell lymphoma (DLBCL) arising in bioprosthetic valves is exceedingly rare. Most patients present with localized disease often masquerading as suspected thrombi or vegetations. Imaging studies are inconclusive and due to the rarity of the disease, [...] Read more.
Background and clinical significance: Primary cardiac diffuse large B-cell lymphoma (DLBCL) arising in bioprosthetic valves is exceedingly rare. Most patients present with localized disease often masquerading as suspected thrombi or vegetations. Imaging studies are inconclusive and due to the rarity of the disease, treatment and follow-up data are very limited. Case presentation: We present one such case developing 9 years after aortic valve replacement in an otherwise immunocompetent patient, who presented with minor symptoms despite significant disease burden. This tumor contained Epstein–Barr virus (EBV), was confined to the site of origin, and has behaved non-aggressively after excision with a follow-up of 59 months. Conclusions: This unique disease is classified as Fibrin-associated large B-cell lymphoma (FA-LBCL) in view of its distinct clinical-pathological features. This report also addresses the unique features of this type of lymphoma. Full article
Show Figures

Figure 1

16 pages, 680 KB  
Article
Managing Food Waste in the Restaurant Sector: Comparative Insights from Greece and Armenia
by Vardan Aleksanyan, Sargis Gevorgyan, Davit Markosyan, Felix H. Arion, Karlen Khachatryan, Firuta Camelia Oroian, Iulia Cristina Muresan, Iulia Diana Arion and Sabin Chis
Sustainability 2025, 17(24), 11386; https://doi.org/10.3390/su172411386 - 18 Dec 2025
Viewed by 1229
Abstract
Efforts to reduce food waste in restaurants are crucial for business efficiency, environmental sustainability, and social responsibility. Food waste varies by restaurant type, operations, menu offerings, and customer behavior, yet research on effective reduction strategies remains limited, particularly in Greece and Armenia. This [...] Read more.
Efforts to reduce food waste in restaurants are crucial for business efficiency, environmental sustainability, and social responsibility. Food waste varies by restaurant type, operations, menu offerings, and customer behavior, yet research on effective reduction strategies remains limited, particularly in Greece and Armenia. This study aims to identify key approaches to minimizing food waste in these countries. Using fuzzy-set Qualitative Comparative Analysis (fsQCA), a method for examining complex causal relationships, we analyzed multiple cases to determine conditions that lead to reduced food waste. Four main paths emerged: (1) digital inventory management combined with educational programs, excluding customer choice enhancement; (2) digital inventory management with flexible dining options, without customer choice enhancement; (3) educational programs with flexible dining, excluding customer choice enhancement; and (4) the combination of digital inventory management, educational programs, and flexible dining. Most cases demonstrating these paths were observed in Greece, indicating more advanced food waste management practices. Interviews highlighted recurring themes such as overordering, portion control, supplier challenges, and the importance of education and policy grounded in social responsibility. The findings provide actionable insights for restaurants and policymakers seeking effective strategies to reduce food waste and promote sustainable practices. Full article
(This article belongs to the Special Issue Consumer Behavior, Food Waste and Sustainable Food Systems)
Show Figures

Figure 1

Back to TopTop