Fatty Acid Composition and Aromatic Profile of Krškopolje and Modern Pig Breeds Reared Under Organic and Conventional Systems
Abstract
1. Introduction
2. Materials and Methods
2.1. Samples
2.2. Fatty Acid Analysis by GC-FID
Calculation of Atherogenicity (AI) and Thrombogenicity (TI) Indices
2.3. Volatile Compound Analysis by HS-SPME/GC-MS
2.4. Statistical Analysis
3. Results and Discussion
3.1. Fatty Acid Composition of Krškopolje vs. Modern Breed Samples
3.1.1. Discrimination Between Krškopolje and Modern Pig Breeds Based on Fatty Acid Composition
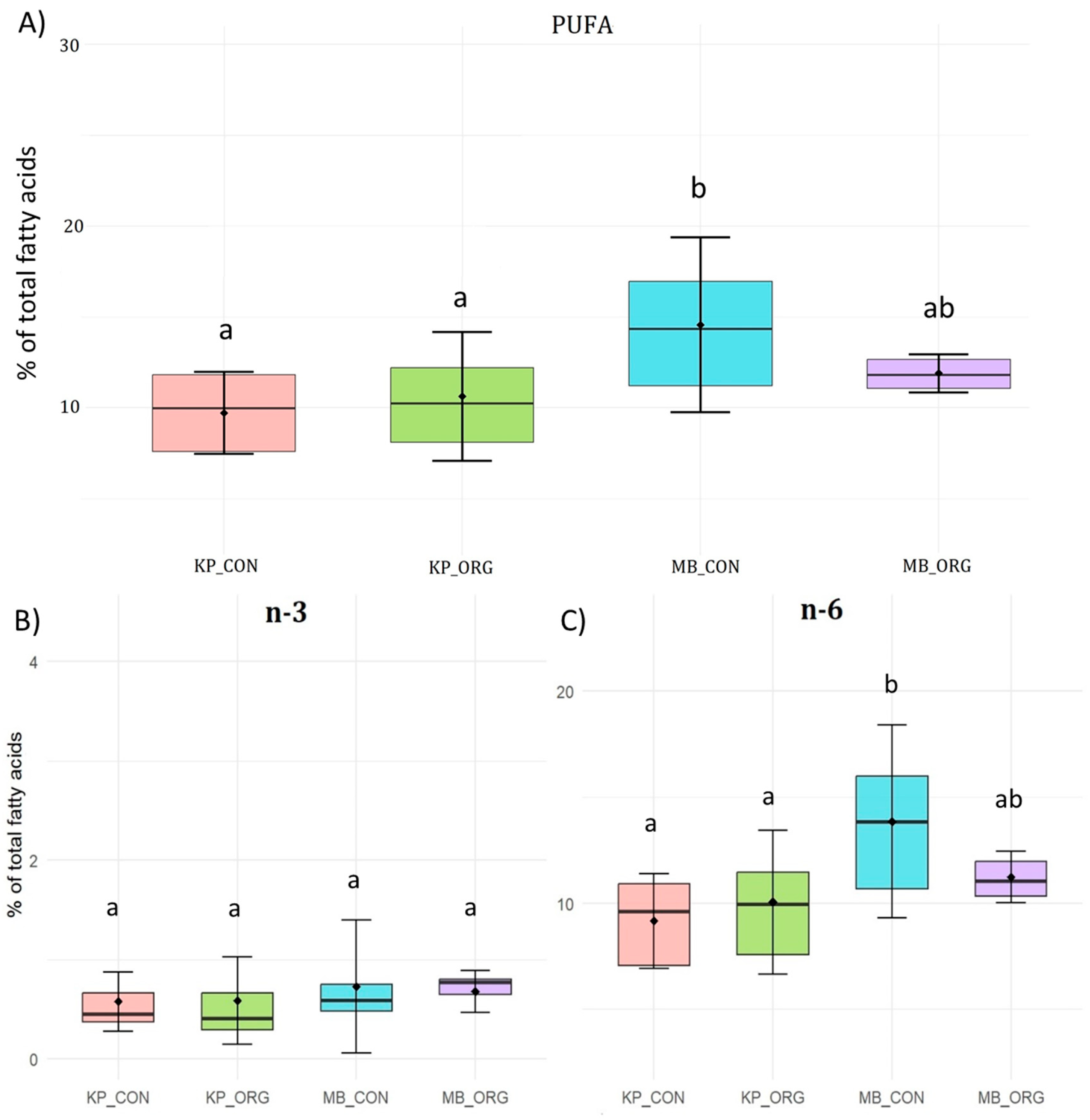
3.1.2. Fatty Acid Composition of Krškopolje vs. Modern Breed Pig Meat in Relation to Rearing System (Organic vs. Conventional)
3.2. Volatile Organic Compound (VOC) Profiles in Meat Samples from Krškopolje vs. Modern Breed
3.3. Discrimination Between Krškopolje vs. Modern Pig Breeds Based on Volatile Organic Compound (VOC) Profiles
4. Conclusions
Supplementary Materials
Author Contributions
Funding
Institutional Review Board Statement
Informed Consent Statement
Data Availability Statement
Acknowledgments
Conflicts of Interest
Abbreviations
| SFA | Saturated fatty acids |
| USFA | Unsaturated fatty acids |
| MUFA | Monounsaturated fatty acids |
| PUFA | Polyunsaturated fatty acids |
| n-3 | Omega-3 fatty acids |
| n-6 | Omega-6 fatty acids |
| VOC | Volatile organic compounds |
| OPLS-DA | Orthogonal Partial Least Squares Discriminant Analysis |
| AI | Atherogenic index |
| TI | Thrombogenic index |
References
- Filho, C.B.; Furlan, J.M.; de Menezes, C.R.; Cichoski, A.J.; Wagner, R.; Campagnol, P.C.B.; Lorenzo, J.M. Sample Preparation Methods for Fatty Acid Analysis in Different Raw Meat Products by GC-FID. Food Anal. Methods 2023, 16, 749–758. [Google Scholar] [CrossRef]
- Poklukar, K.; Čandek-Potokar, M.; Batorek Lukač, N.; Tomažin, U.; Škrlep, M. Lipid Deposition and Metabolism in Local and Modern Pig Breeds: A Review. Animals 2020, 10, 424. [Google Scholar] [CrossRef] [PubMed]
- Huang, X.; Liu, H.; Tang, X.; Zhang, Y.; Li, Y. Exploring the Relationship of Antioxidant Characteristics and Fatty Acids with Volatile Flavor Compounds (VOCs) by GC-IMS and GC-O-MS in Different Breeds of Pigs. Foods 2025, 14, 3580. [Google Scholar] [CrossRef]
- Huang, X.; Ahn, D.U. Lipid Oxidation and Its Implications to Meat Quality and Human Health. Food Sci. Biotechnol. 2019, 28, 1275–1285. [Google Scholar] [CrossRef]
- Wimmler, C.; Vermeer, H.M.; Leeb, C.; Salomon, E.; Andersen, H.M.-L. Review: Concrete Outdoor Runs for Organic Growing-Finishing Pigs—A Legislative, Ethological and Environmental Perspective. Animal 2022, 16, 100435. [Google Scholar] [CrossRef]
- Ojha, K.S.; Perussello, C.A.; García, C.Á.; Kerry, J.P.; Pando, D.; Tiwari, B.K. Ultrasonic-Assisted Incorporation of Nano-Encapsulated Omega-3 Fatty Acids to Enhance the Fatty Acid Profile of Pork Meat. Meat Sci. 2017, 132, 99–106. [Google Scholar] [CrossRef] [PubMed]
- Tomažin, U.; Batorek-Lukač, N.; Škrlep, M.; Prevolnik-Povše, M.; Čandek-Potokar, M. Meat and Fat Quality of Krškopolje Pigs Reared in Conventional and Organic Production Systems. Animal 2019, 13, 1103–1110. [Google Scholar] [CrossRef] [PubMed]
- Zybert, A. Differences in Selected Composition and Quality Traits between Organic and Conventional Pork: A Meta-Analysis. Anim. Sci. Genet. 2023, 19, 63–82. [Google Scholar] [CrossRef]
- Regulation—2018/848—SL—EUR-Lex. Available online: https://eur-lex.europa.eu/eli/reg/2018/848/oj/slv (accessed on 5 November 2025).
- Larqué, E.; Garaulet, M.; Pérez-Llamas, F.; Zamora, S.; Tebar, F.J. Fatty Acid Composition and Nutritional Relevance of Most Widely Consumed Margarines in Spain. Grasas Y Aceites 2003, 54, 65–70. [Google Scholar] [CrossRef]
- Christie, W.W.; Han, X. Lipid Analysis: Isolation, Separation, Identification and Lipidomic Analysis; Elsevier: Amsterdam, The Netherlands, 2010; ISBN 978-0-85709-786-6. [Google Scholar]
- Ulbricht, T.L.V.; Southgate, D.A.T. Coronary Heart Disease: Seven Dietary Factors. Lancet 1991, 338, 985–992. [Google Scholar] [CrossRef]
- Sundrum, A.; Aragon, A.; Schulze-Langenhorst, C.; Bütfering, L.; Henning, M.; Stalljohann, G. Effects of Feeding Strategies, Genotypes, Sex, and Birth Weight on Carcass and Meat Quality Traits under Organic Pig Production Conditions. NJAS—Wagening. J. Life Sci. 2011, 58, 163–172. [Google Scholar] [CrossRef]
- Potrošnja Hrane—Proteini Živalskega Izvora | Okoljski Kazalci. Available online: https://kazalci.arso.gov.si/sl/content/potrosnja-hrane-proteini-zivalskega-izvora-0 (accessed on 5 November 2025).
- Pikul, J.; Wójtowski, J.; Danków, R.; Kuczyńska, B.; Łojek, J. Fat Content and Fatty Acids Profile of Colostrum and Milk of Primitive Konik Horses (Equus Caballus Gmelini Ant.) during Six Months of Lactation. J. Dairy Res. 2008, 75, 302–309. [Google Scholar] [CrossRef]
- Babič, K.; Strojnik, L.; Ćirić, A.; Ogrinc, N. Optimization and Validation of an HS-SPME/GC-MS Method for Determining Volatile Organic Compounds in Dry-Cured Ham. Front. Nutr. 2024, 11, 1342417. [Google Scholar] [CrossRef] [PubMed]
- van Den Dool, H.; Kratz, P.D. A Generalization of the Retention Index System Including Linear Temperature Programmed Gas—Liquid Partition Chromatography. J. Chromatogr. A 1963, 11, 463–471. [Google Scholar] [CrossRef]
- Wood, J.D.; Enser, M.; Fisher, A.V.; Nute, G.R.; Sheard, P.R.; Richardson, R.I.; Hughes, S.I.; Whittington, F.M. Fat Deposition, Fatty Acid Composition and Meat Quality: A Review. Meat Sci. 2008, 78, 343–358. [Google Scholar] [CrossRef] [PubMed]
- Škrlep, M.; Poklukar, K.; Vrecl, M.; Brankovič, J.; Čandek-Potokar, M. Growth Performance, Carcass Quality, and Lipid Metabolism in Krškopolje Pigs and Modern Hybrid Pigs: Comparison of Genotypes and Evaluation of Dietary Protein Reduction. Animals 2024, 14, 3331. [Google Scholar] [CrossRef]
- Zhao, J.; Li, K.; Yang, Q.; Du, M.; Liu, X.; Cao, G. Enhanced Adipogenesis in Mashen Pigs Compared with Large White Pigs. Ital. J. Anim. Sci. 2017, 16, 217–225. [Google Scholar] [CrossRef]
- Zhao, S.M.; Ren, L.J.; Chen, L.; Zhang, X.; Cheng, M.L.; Li, W.Z.; Zhang, Y.Y.; Gao, S.Z. Differential Expression of Lipid Metabolism Related Genes in Porcine Muscle Tissue Leading to Different Intramuscular Fat Deposition. Lipids 2009, 44, 1029. [Google Scholar] [CrossRef]
- Wood, J.D.; Richardson, R.I.; Nute, G.R.; Fisher, A.V.; Campo, M.M.; Kasapidou, E.; Sheard, P.R.; Enser, M. Effects of Fatty Acids on Meat Quality: A Review. Meat Sci. 2004, 66, 21–32. [Google Scholar] [CrossRef] [PubMed]
- Smet, S.D.; Raes, K.; Demeyer, D. Meat Fatty Acid Composition as Affected by Fatness and Genetic Factors: A Review. Anim. Res. 2004, 53, 81–98. [Google Scholar] [CrossRef]
- Dugan, M.E.R.; Vahmani, P.; Turner, T.D.; Mapiye, C.; Juárez, M.; Prieto, N.; Beaulieu, A.D.; Zijlstra, R.T.; Patience, J.F.; Aalhus, J.L. Pork as a Source of Omega-3 (n-3) Fatty Acids. J. Clin. Med. 2015, 4, 1999–2011. [Google Scholar] [CrossRef]
- Kouba, M.; Mourot, J. A Review of Nutritional Effects on Fat Composition of Animal Products with Special Emphasis on n-3 Polyunsaturated Fatty Acids. Biochimie 2011, 93, 13–17. [Google Scholar] [CrossRef]
- Kastelic, A.; Čandek-Potokar, M. Application of Quality Labels in Support of Conservation of Local Breeds—A Challenge for Slovenian Krškopolje Pig. Acta Agric. Slovenica Supl. 2013, 205–209. [Google Scholar] [CrossRef]
- De Tonnac, A.; Mourot, J. Effect of Dietary Sources of N-3 Fatty Acids on Pig Performance and Technological, Nutritional and Sensory Qualities of Pork. Animal 2018, 12, 1527–1535. [Google Scholar] [CrossRef] [PubMed]
- Karwowska, M.; Dolatowski, Z.J. Comparison of Lipid and Protein Oxidation, Total Iron Content and Fatty Acid Profile of Conventional and Organic Pork. Int. J. Food Sci. Technol. 2013, 48, 2200–2206. [Google Scholar] [CrossRef]
- Wójciak, K.M.; Halagarda, M.; Rohn, S.; Kęska, P.; Latoch, A.; Stadnik, J. Selected Nutrients Determining the Quality of Different Cuts of Organic and Conventional Pork. Eur. Food Res. Technol. 2021, 247, 1389–1400. [Google Scholar] [CrossRef]
- Högberg, A.; Pickova, J.; Andersson, K.; Lundström, K. Fatty Acid Composition and Tocopherol Content of Muscle in Pigs Fed Organic and Conventional Feed with Different N6/N3 Ratios, Respectively. Food Chem. 2003, 80, 177–186. [Google Scholar] [CrossRef]
- Álvarez-Rodríguez, J.; Villalba, D.; Cubiló, D.; Babot, D.; Tor, M. Organic Practices and Gender Are Effective Strategies to Provide Healthy Pork Loin. J. Integr. Agric. 2016, 15, 608–617. [Google Scholar] [CrossRef]
- Kim, D.H.; Seong, P.N.; Cho, S.H.; Kim, J.H.; Lee, J.M.; Jo, C.; Lim, D.G. Fatty Acid Composition and Meat Quality Traits of Organically Reared Korean Native Black Pigs. Livest. Sci. 2009, 120, 96–102. [Google Scholar] [CrossRef]
- Ahamed, Z.; Seo, J.; Eom, J.-U.; Yang, H.-S. Optimization of Volatile Compound Extraction on Cooked Meat Using HS-SPME-GC-MS, and Evaluation of Diagnosis to Meat Species Using Volatile Compound by Multivariate Data Analysis. LWT 2023, 188, 115374. [Google Scholar] [CrossRef]
- Wang, Q.; Gao, H.; Fu, Y.; Chen, Y.; Song, G.; Jin, Z.; Zhang, Y.; Yin, J.; Yin, Y.; Xu, K. Comprehensive Characterization of the Differences in Metabolites, Lipids, and Volatile Flavor Compounds between Ningxiang and Berkshire Pigs Using Multi-Omics Techniques. Food Chem. 2024, 457, 139807. [Google Scholar] [CrossRef] [PubMed]
- Biller, E.; Boselli, E.; Obiedziński, M.; Karpiński, P.; Waszkiewicz-Robak, B. The Profile of Volatile Compounds in the Outer and Inner Parts of Broiled Pork Neck Is Strongly Influenced by the Acetic-Acid Marination Conditions. Meat Sci. 2016, 121, 292–301. [Google Scholar] [CrossRef]
- Huang, Q.; Dong, K.; Wang, Q.; Huang, X.; Wang, G.; An, F.; Luo, Z.; Luo, P. Changes in Volatile Flavor of Yak Meat during Oxidation Based on Multi-Omics. Food Chem. 2022, 371, 131103. [Google Scholar] [CrossRef]
- Li, C.; Wu, J.; Li, Y.; Dai, Z. Identification of the Aroma Compounds in Stinky Mandarin Fish (Siniperca Chuatsi) and Comparison of Volatiles during Fermentation and Storage. Int. J. Food Sci. Technol. 2013, 48, 2429–2437. [Google Scholar] [CrossRef]
- Estévez García, M.; Cava, R. Plasmalogens in Pork: Aldehyde Composition and Changes in Aldehyde Profile during Refrigerated Storage of Raw and Cooked Meat. Food Chem. 2004, 85, 1–6. [Google Scholar] [CrossRef]





| Fatty Acid (% of Total Fatty Acid) | Krškopolje Breed | Modern Breed | Kruskal–Wallis (p-Value *) |
|---|---|---|---|
| SFA | |||
| C8:0 | 0.01 ± 0.01 | 0.01 ± 0.01 | 0.051 |
| C10:0 | 0.13 ± 0.09 | 0.14 ± 0.06 | 0.001 |
| C12:0 | 0.12 ± 0.09 | 0.12 ± 0.07 | 0.012 |
| C14:0 | 1.64 ± 0.64 | 1.61 ± 0.32 | 0.359 |
| C15:0 | 0.06 ± 0.06 | 0.05 ± 0.07 | 0.515 |
| C16:0 | 24.79 ± 1.52 | 24.23 ± 1.67 | 0.017 |
| C17:0 | 0.28 ± 0.1 | 0.27 ± 0.07 | 0.582 |
| C18:0 | 11.22 ± 2.52 | 10.56 ± 1.73 | 0.069 |
| C20:0 | 0.16 ± 0.06 | 0.12 ± 0.05 | <0.0001 |
| C21:0 | 0.03 ± 0.03 | 0.00 ± 0.01 | <0.0001 |
| C22:0 | 0.04 ± 0.05 | 0.02 ± 0.05 | 0.001 |
| C23:0 | 0.01 ± 0.01 | 0.01 ± 0.02 | 0.002 |
| C24:0 | 0.05 ± 0.07 | 0.03 ± 0.09 | 0.002 |
| ∑SFA | 38.54 ± 3.02 | 37.17 ± 2.43 | 0.011 |
| MUFA | |||
| C14:1 | 0.05 ± 0.12 | 0.03 ± 0.08 | 0.001 |
| C16:1 | 3.71 ± 1.13 | 3.32 ± 0.72 | 0.060 |
| C17:1 | 0.46 ± 1.31 | 0.34 ± 0.13 | 0.035 |
| C18:1 trans 9 | 0.24 ± 0.12 | 0.24 ± 0.08 | 0.307 |
| C18:1 cis 9 | 43.33 ± 2.97 | 40.5 ± 3.69 | <0.0001 |
| C18:1 n-7 | 3.95 ± 0.82 | 4.04 ± 0.88 | 0.309 |
| C20:1 | 0.69 ± 0.36 | 0.57 ± 0.22 | 0.001 |
| C24:1 | 0.23 ± 1.07 | 0.06 ± 0.13 | <0.0001 |
| ∑MUFA | 52.66 ± 3.71 | 49.1 ± 3.87 | <0.0001 |
| PUFA | |||
| n-3 PUFA | |||
| C18:3 (alpha) | 0.44 ± 0.33 | 0.48 ± 0.21 | 0.012 |
| C20:3 cis 11.14.17 | 0.08 ± 0.06 | 0.12 ± 0.57 | 0.046 |
| C20:5 (EPA) | 0.04 ± 0.06 | 0.05 ± 0.06 | 0.477 |
| C22:6 (DHA) | 0.05 ± 0.13 | 0.05 ± 0.07 | 0.319 |
| n-6 PUFA | |||
| C20:2 | 0.34 ± 0.44 | 0.33 ± 0.11 | 0.010 |
| C20:3 cis 8.11.14 | 0.17 ± 0.29 | 0.21 ± 0.12 | <0.0001 |
| C20:4 | 1.09 ± 1.15 | 1.57 ± 1 | 0.000 |
| C18:2 | 7.58 ± 2.26 | 11.23 ± 3.7 | <0.0001 |
| C18:3 (gamma) | 0.37 ± 0.51 | 0.16 ± 0.26 | 0.577 |
| ∑n-3 PUFA | 0.61 ± 0.36 | 0.7 ± 0.61 | 0.017 |
| ∑n-6 PUFA | 9.55 ± 2.64 | 13.5 ± 3.85 | <0.0001 |
| n-6:n-3 | 15.7 | 19.3 | |
| ∑PUFA | 10.16 ± 2.66 | 14.2 ± 3.89 | <0.0001 |
| AI | 0.52 ± 0.08 | 0.50 ± 0.06 | 0.044 |
| TI | 1.19 ± 0.17 | 1.12 ± 0.15 | 0.009 |
| VOC | Krškopolje Breed (n = 10) | Modern Breed (n = 21) | Kruskal–Wallis p-Value * |
|---|---|---|---|
| hexanal | 3.12 | 3.80 | 0.422 |
| n-hexadecanoic acid | 11.88 | 12.59 | 0.422 |
| nonanal | 3.72 | 4.62 | 0.375 |
| octadecanoic acid | 3.39 | 3.37 | 1.000 |
| octanal | 1.97 | 1.92 | 0.866 |
| 1-octanol | 1.16 | 1.30 | 0.509 |
| 1-octen-3-ol | 1.22 | 2.28 | 0.059 |
| 2-octenal, (E)- | 0.72 | 0.96 | 0.218 |
| benzaldehyde | 3.48 | 2.95 | 0.083 |
| benzoic acid | 0.38 | 0.29 | 0.048 |
| heptadecanal | 1.05 | 1.41 | 0.057 |
| hexanoic acid | 0.54 | 0.35 | 0.059 |
| octanoic acid | 0.41 | 0.51 | 0.163 |
| oleic acid | 7.39 | 6.63 | 0.176 |
| pentadecanal- | 2.52 | 2.08 | 0.176 |
| tetradecanoic acid | 1.07 | 1.08 | 0.866 |
| 2-undecenal | 1.90 | 1.15 | 0.009 |
| 9,12-octadecadienoic acid (Z,Z)- | 0.95 | 1.14 | 0.312 |
| 2,4-decadienal, (E,E)- | 0.40 | 1.05 | 0.002 |
| 2-decenal, (E)- | 2.01 | 1.32 | 0.010 |
| 1-heptanol | 0.68 | 0.57 | 0.910 |
| acetic acid | 0.53 | 0.56 | 0.141 |
| tetradecanal | 0.88 | 1.22 | 0.253 |
| 13-octadecenal | 0.42 | 0.64 | 0.190 |
| 9-octadecenal | 1.29 | 1.96 | 0.025 |
| heptanal | 0.44 | 0.43 | 0.639 |
| nonanoic acid | 0.33 | 0.26 | 0.153 |
| 2-nonenal, (E)- | 1.05 | 0.75 | 0.221 |
| 9-decenoic acid | 0.24 | 0.20 | 0.116 |
| n-decanoic acid | 0.94 | 1.01 | 0.735 |
| 2-pentanol, 4-methyl- | 16.94 | 17.48 | 0.612 |
| furan, 2-pentyl- | 0.26 | 0.67 | 0.073 |
| hexadecanal | 14.32 | 10.08 | 0.031 |
| octadecanal | 2.22 | 2.77 | 0.447 |
| palmitoleic acid | 1.43 | 1.36 | 0.217 |
| n-caproic acid vinyl ester | 0.33 | 0.83 | 0.016 |
| 1-hexanol | 0.23 | 0.24 | 0.665 |
| 1-pentanol | 0.26 | 0.34 | 0.248 |
| 2-octen-1-ol | 0.25 | 0.48 | 0.068 |
| 2,4-nonadienal, (E,E)- | 0.19 | 0.27 | 0.593 |
| 2-heptenal, (E)- | 0.31 | 0.75 | 0.005 |
| 1,3-hexadiene, 3-ethyl-2-methyl- | 0.21 | 0.33 | 0.110 |
| phenol, 4-(1-methylpropyl)- | 0.27 | 0.76 | 0.023 |
| 1-dodecanol | nd | 0.32 | – |
| benzaldehyde, 3-ethyl- | 0.31 | 0.37 | 0.643 |
| benzaldehyde, 4-pentyl- | 0.24 | 0.59 | 0.247 |
| butanoic acid | 0.29 | 0.25 | 0.564 |
| 1-hexadecanol | 0.20 | 0.36 | 0.192 |
| acetoin | nd | 1.36 | – |
| phenol, 4-methyl- | nd | 0.15 | – |
| 3-octanone | nd | 0.13 | – |
| 9-hexadecenal | nd | 0.27 | – |
| benzene, 1,2,3-trimethyl- | nd | 0.15 | – |
| dodecanoic acid | 0.71 | 0.61 | 0.380 |
| tridecanal | 0.24 | 0.54 | 0.020 |
| acetaldehyde | 0.19 | 0.11 | 0.064 |
| pentadecanoic acid | 0.19 | 0.19 | 0.770 |
| dodecanal | nd | 0.64 | – |
| 1-butanol, 3-methyl- | nd | 1.71 | – |
| decanal | nd | 0.23 | – |
| tetradecane | 0.17 | 0.18 | 1.000 |
| 1-nonanol | nd | 0.28 | – |
| 2-pentadecanone | nd | 0.13 | – |
| butanoic acid, 3-methyl- | nd | 0.43 | – |
| phenylethyl alcohol | nd | 1.32 | – |
| 2-heptanol, 6-methyl- | nd | 0.18 | – |
| 2-heptanone, 6-methyl- | nd | 0.10 | – |
| 2-nonanone | nd | 0.15 | – |
| 5,9-undecadien-2-one, 6,10-dimethyl- | nd | 0.14 | – |
| nonadecane | nd | 0.25 | – |
| phenol, 2-methoxy- | nd | 0.18 | – |
| phenol, 3-methyl- | nd | 0.12 | – |
Disclaimer/Publisher’s Note: The statements, opinions and data contained in all publications are solely those of the individual author(s) and contributor(s) and not of MDPI and/or the editor(s). MDPI and/or the editor(s) disclaim responsibility for any injury to people or property resulting from any ideas, methods, instructions or products referred to in the content. |
© 2026 by the authors. Licensee MDPI, Basel, Switzerland. This article is an open access article distributed under the terms and conditions of the Creative Commons Attribution (CC BY) license.
Share and Cite
Mencin, M.; Babič, K.; Strojnik, L.; Sel, Z.; Kastelic, A.; Ogrinc, N. Fatty Acid Composition and Aromatic Profile of Krškopolje and Modern Pig Breeds Reared Under Organic and Conventional Systems. Foods 2026, 15, 866. https://doi.org/10.3390/foods15050866
Mencin M, Babič K, Strojnik L, Sel Z, Kastelic A, Ogrinc N. Fatty Acid Composition and Aromatic Profile of Krškopolje and Modern Pig Breeds Reared Under Organic and Conventional Systems. Foods. 2026; 15(5):866. https://doi.org/10.3390/foods15050866
Chicago/Turabian StyleMencin, Marjeta, Katja Babič, Lidija Strojnik, Zala Sel, Andrej Kastelic, and Nives Ogrinc. 2026. "Fatty Acid Composition and Aromatic Profile of Krškopolje and Modern Pig Breeds Reared Under Organic and Conventional Systems" Foods 15, no. 5: 866. https://doi.org/10.3390/foods15050866
APA StyleMencin, M., Babič, K., Strojnik, L., Sel, Z., Kastelic, A., & Ogrinc, N. (2026). Fatty Acid Composition and Aromatic Profile of Krškopolje and Modern Pig Breeds Reared Under Organic and Conventional Systems. Foods, 15(5), 866. https://doi.org/10.3390/foods15050866

