Sign in to use this feature.

Years

Between: -

Subjects

remove_circle_outline
remove_circle_outline
remove_circle_outline
remove_circle_outline
remove_circle_outline
remove_circle_outline
remove_circle_outline

Journals

Article Types

Countries / Regions

Search Results (11)

Search Parameters:
Keywords = SOD1-DT

Order results
Result details
Results per page
Select all
Export citation of selected articles as:
17 pages, 2277 KB  
Article
A Bacterial Endophyte Bacillus amyloliquefaciens W10 Enhances the Tomato Resistance Against Tuta absoluta
by Mingshi Qian, Chaoqi Sheng, Mingying Zheng, Ke Zhu, Youxin Yu, Gang Xu and Guoqing Yang
Agronomy 2025, 15(3), 695; https://doi.org/10.3390/agronomy15030695 - 13 Mar 2025
Cited by 1 | Viewed by 1197
Abstract
The tomato leafminer, Tuta absoluta, is a destructive invasive tomato pest worldwide. Bacillus amyloliquefaciens W10, a bacterium isolated from the rhizosphere of tomatoes, is classified as a plant growth-promoting rhizobacterium. However, whether B. amyloliquefaciens W10 can improve the resistance of tomato against [...] Read more.
The tomato leafminer, Tuta absoluta, is a destructive invasive tomato pest worldwide. Bacillus amyloliquefaciens W10, a bacterium isolated from the rhizosphere of tomatoes, is classified as a plant growth-promoting rhizobacterium. However, whether B. amyloliquefaciens W10 can improve the resistance of tomato against T. absoluta remains unclear. In this study, we found that B. amyloliquefaciens W10 promoted the tomato growth and significantly reduced the fecundity of T. absoluta. To further evaluate the effects of B. amyloliquefaciens W10 on the tomato’s resistance to T. absoluta, the age-stage, two-sex life table, and oviposition preference test were carried out to investigate the individual fitness, population parameters, and preference behavior of T. absoluta. Compared to the control, the intrinsic rate of increase (rm), net reproductive rate (R0), and finite rate of increase (λ) of T. absoluta in the treatment group were significantly reduced, while the population doubling time (DT) was significantly increased. Meanwhile, the oviposition preferences of T. absoluta for the treated tomato plants were reduced. After T. absoluta infestation, electrical conductivity and hydrogen peroxide (H2O2) content in tomato leaves after B. amyloliquefaciens W10 treatment were significantly lower than those in the control, while peroxidase (POD), polyphenol oxidase (PPO), jasmonic acid (JA), and salicylic acid (SA) levels were significantly higher. In addition, the O2, superoxide dismutase (SOD), and catalase (CAT) levels were also affected. qRT-RCR analyses revealed that B. amyloliquefaciens W10 colonization induced the expressions of JA- and SA-related genes, including AOS1, AOC, PAL1, and SAMT, in tomato plants after T. absoluta infestation. These findings provide valuable insights and theoretical support for the application of beneficial endophytes to induce the resistance in tomatoes against T. absoluta. Full article
(This article belongs to the Special Issue Molecular Advances in Crop Protection and Agrobiotechnology)
Show Figures

Figure 1

26 pages, 17001 KB  
Article
Metabolic Regulation and Molecular Mechanism of Salt Stress Response in Salt-Tolerant Astragalus mongholicus
by Yuxiao Liu, Jinhua Sheng, Jiaqing Yang and Xingcong Li
Appl. Sci. 2025, 15(5), 2575; https://doi.org/10.3390/app15052575 - 27 Feb 2025
Viewed by 1202
Abstract
Astragalus mongholicus, an important medicinal plant species, exhibits low tolerance to high-salt environments, which restricts its growth in saline–alkaline areas. Understanding its salt-tolerance mechanisms is crucial for overcoming the technical challenges of industrialized cultivation in these regions. However, studies on the salt-tolerance mechanisms [...] Read more.
Astragalus mongholicus, an important medicinal plant species, exhibits low tolerance to high-salt environments, which restricts its growth in saline–alkaline areas. Understanding its salt-tolerance mechanisms is crucial for overcoming the technical challenges of industrialized cultivation in these regions. However, studies on the salt-tolerance mechanisms of Astragalus mongholicus are limited. This study examines two Astragalus mongholicus germplasms with distinct differences in salt tolerance (LQ: salt-tolerant, DT: salt-sensitive), and investigates their physiological adaptations and molecular mechanisms under salt stress (200 mmol/L NaCl) using an integrated analysis of morphology, physiology, metabolomics, and transcriptomics. Specifically, LQ showed smaller reductions in plant height, root length, root thickness, and fresh weight (29.0%, 5.0%, 2.8%, and 22.3%, respectively), compared to DT, which exhibited larger reductions (42.9%, 44.9%, 46.3%, and 41.4%, respectively). The results indicated that the salt-tolerant germplasm (LQ) enhanced antioxidant enzyme activities in response to salt stress, including SOD, POD, and CAT, and accumulating osmoregulatory substances. In LQ, the activities of SOD, POD, and CAT increased by 22.8%, 10.9%, and 8.8%, respectively, significantly higher than those of DT, which showed increases of 2.9%, 8.5%, and 1.4% in SOD, POD, and CAT activities, respectively. The contents of soluble sugar and protein in LQ increased by 2-fold and 16.9%, respectively, compared to 67.0% and 18.8% increases in DT. Additionally, the levels of MDA, H2O2, and OFR in LQ showed smaller increases (14.7%, 41.0%, and 13.6%, respectively), compared to the larger increases observed in DT (58.0%, 51.2%, and 18.6%), indicating a reduced level of oxidative damage in LQ and enhanced tolerance to salt stress. Combined transcriptomic and metabolomic analyses revealed that 3510 differentially expressed genes (DEGs) and 882 differentially expressed metabolites (DAMs) were identified in the leaves of salt-tolerant germplasm LQ under salt stress, whereas the sensitive germplasm DT had 1632 DEGs and 797 DAMs, respectively. Differential genes and metabolites were involved in metabolic pathways such as flavonoid biosynthesis, isoquinoline alkaloid synthesis, and phenylalanine metabolism. In particular, LQ alleviated salt stress damage and enhanced salt tolerance by increasing oxidase activities in its flavonoid and phenylalanine metabolic pathways and regulating the expression of key genes and enzymes. This study provides valuable insights and empirical data to support the selection of appropriate Astragalus mongholicus germplasms for saline regions and the development of improved cultivars. Full article
(This article belongs to the Section Agricultural Science and Technology)
Show Figures

Figure 1

21 pages, 7165 KB  
Article
Evaluation of Hippocampal Microanatomy and Neuro-Biomarkers Following Administration of Silver Nanoparticles Conjugated with Tenofovir Disoproxil Fumarate in Experimental Diabetic Rats
by Sodiq Kolawole Lawal, Samuel Oluwaseun Olojede, Babatunde Adebola Alabi, Kafalotse Sylvia Dithole, Samuel Thopho Matula, Edwin Coleridge Naidu, Carmen Olivia Rennie and Onyemaechi Okpara Azu
Pharmaceuticals 2024, 17(12), 1635; https://doi.org/10.3390/ph17121635 - 5 Dec 2024
Cited by 2 | Viewed by 1384
Abstract
Adverse complications like metabolic disorders, neurotoxicity, and low central nervous system (CNS) penetration are associated with the long-term use of tenofovir disoproxil fumarate (TDF). Therefore, some modifications are required to enhance neurological functions using silver nanoparticles (AgNPs). This study aimed to evaluate the [...] Read more.
Adverse complications like metabolic disorders, neurotoxicity, and low central nervous system (CNS) penetration are associated with the long-term use of tenofovir disoproxil fumarate (TDF). Therefore, some modifications are required to enhance neurological functions using silver nanoparticles (AgNPs). This study aimed to evaluate the neuroprotective impact of silver nanoparticles (AgNPs)-conjugated TDF as AgNPs-TDF on the hippocampal microanatomy and some neuro-biomarkers of diabetic rats. Forty-two male Sprague-Dawley rats, with an average weight of 250 ± 13 g, were divided into non-diabetic and diabetic groups. They were further divided into 3 groups each (n = 7): non-diabetic control (NC), non-diabetic + TDF (NTF), and non-diabetic + TDF + silver nanoparticles (NTS), as well as diabetic control (DC), diabetic + TDF (DTF), and diabetic + TDF + silver nanoparticles (DTS). The characterization of AgNPs-TDF was assessed, and the conjugates were administered to the diabetic rats, followed by behavioral testing and biochemical, immunohistochemical, and microanatomy analyses of the hippocampus. The results showed that the administration of AgNPs-TDF significantly reduced the blood glucose level, malondialdehyde (MDA), and inflammatory biomarker concentrations in DTS compared with the DTF and DC groups. Furthermore, AgNPs-TDF administration significantly increased the levels of tissue superoxide dismutase (SOD), reduced glutathione (GSH), and insulin-like growth factor-1 in DTS compared with the DTF and DC groups. In addition, the DTS group revealed a monomorphic pattern of dark-stained neuronal nuclei similar to the control group and showed neuroprotective effects on hippocampal microanatomy compared with the DTF group. This study shows that AgNPs-TDF restores various alterations in the hippocampus and improves cognitive functions in diabetic rats. Full article
(This article belongs to the Special Issue Therapeutic Potential of Silver Nanoparticles (AgNPs))
Show Figures

Figure 1

22 pages, 11314 KB  
Article
Liver Antioxidant Capacity and Steatosis in Laying Hens Exposed to Various Quantities of Lupin (Lupinus angustifolius) Seeds in the Diet
by Marta Wójcik, Sebastian Grabowski, Łukasz S. Jarosz, Bartłomiej Szymczak, Vincenzo Longo, Clara Maria della Croce, Marcin Hejdysz, Adam Cieślak, Kamil Gruszczyński and Agnieszka Marek
Antioxidants 2024, 13(2), 251; https://doi.org/10.3390/antiox13020251 - 19 Feb 2024
Cited by 3 | Viewed by 2544
Abstract
Despite the many beneficial properties of legume plants, their use in diets for poultry is limited by the presence of antinutritional factors. The aim of the study was to determine the activity of DT-diaphorase, ethoxycoumarin O-deethylase, and catalase, and the concentration of malondialdehyde [...] Read more.
Despite the many beneficial properties of legume plants, their use in diets for poultry is limited by the presence of antinutritional factors. The aim of the study was to determine the activity of DT-diaphorase, ethoxycoumarin O-deethylase, and catalase, and the concentration of malondialdehyde in liver tissue, as well as the activity of SOD and CAT in the serum of Hy-line Brown hens fed a diet supplemented with various doses of Lupinus angustifolius seeds. The results indicate that the use of large amounts of lupin in the diet resulted in an increase in MDA concentration in the liver and the lipid vacuolization of hepatocytes. A significant increase in DTD activity was observed in chickens receiving 15% lupin. Regardless of lupin dose, no increase in SOD activity was observed in chicken serum after 33 days of the experiment. From the 66th day of the experiment, an increase in catalase activity in the serum of laying hens was observed, while low activity of this enzyme was found in the liver. It can be concluded that the short-term use of lupin in the diet of laying hens does not affect the activity of antioxidant enzymes and, therefore, does not affect the oxidative–antioxidant balance of their body. Full article
(This article belongs to the Special Issue Oxidative Stress in Livestock and Poultry—2nd Edition)
Show Figures

Figure 1

15 pages, 2467 KB  
Article
Characterization of SOD1-DT, a Divergent Long Non-Coding RNA in the Locus of the SOD1 Human Gene
by Marika Guerra, Lucia Meola, Serena Lattante, Amelia Conte, Mario Sabatelli, Claudio Sette and Camilla Bernardini
Cells 2023, 12(16), 2058; https://doi.org/10.3390/cells12162058 - 13 Aug 2023
Cited by 4 | Viewed by 2326
Abstract
Researchers studying Amyotrophic Lateral Sclerosis (ALS) have made significant efforts to find a unique mechanism to explain the etiopathology of the different forms of the disease. However, despite several mutations associated with ALS having been discovered in recent years, the link between the [...] Read more.
Researchers studying Amyotrophic Lateral Sclerosis (ALS) have made significant efforts to find a unique mechanism to explain the etiopathology of the different forms of the disease. However, despite several mutations associated with ALS having been discovered in recent years, the link between the mutated genes and its onset has not yet been fully elucidated. Among the genes associated with ALS, superoxide dismutase 1 (SOD1) was the first to be identified, but its role in the etiopathogenesis of the disease is still unclear. In recent years, research has been focused on the non-coding part of the genome to fully understand the mechanisms underlying gene regulation. Non-coding RNAs are conserved molecules and are not usually translated in protein. A total of 98% of the human genome is composed of non-protein coding sequences with roles in the transcriptional and post-transcriptional regulation of gene expression. In this study, we characterized a divergent nuclear lncRNA (SOD1-DT) transcribed in the antisense direction from the 5′ region of the SOD1 coding gene in both the SH-SY5Y cell line and fibroblasts derived from ALS patients. Interestingly, this lncRNA seems to regulate gene expression, since its inhibition leads to the upregulation of surrounding genes including SOD1. SOD1-DT represents a very complex molecule, displaying allelic and transcriptional variability concerning transposable elements (TEs) included in its sequence, widening the scenario of gene expression regulation in ALS disease. Full article
Show Figures

Graphical abstract

21 pages, 3999 KB  
Article
Physiological Differences and Transcriptome Analysis Reveal That High Enzyme Activity Significantly Enhances Drought Tolerance in Chinese Fir (Cunninghamia lanceolata)
by Shubin Li, Xinyang Yan, Xiaoyan Huang, Shalom Daniel Addo-Danso, Sizu Lin and Lili Zhou
Forests 2023, 14(5), 967; https://doi.org/10.3390/f14050967 - 7 May 2023
Cited by 2 | Viewed by 2414
Abstract
Chinese fir (Cunninghamia lanceolata) is the most cultivated timber species in China, with a plantation area of 11 million ha. Due to its extensive geographical distribution, drought stress caused by the spatial and seasonal heterogeneity of precipitation has limited its survival [...] Read more.
Chinese fir (Cunninghamia lanceolata) is the most cultivated timber species in China, with a plantation area of 11 million ha. Due to its extensive geographical distribution, drought stress caused by the spatial and seasonal heterogeneity of precipitation has limited its survival and productivity. To facilitate the breeding of drought-tolerant clones and understand the inter-response mechanisms to drought stress, we screened two drought-tolerant (DT) clones and evaluated their differences in physiological and molecular response to drought. The results showed that the No. 228 clone (high-DT ability) had higher antioxidant enzyme abilities than the No. 026 clone (low-DT ability) under drought stress, e.g., peroxidase (POD), polyphenol oxidase (PPO), superoxide dismutase (SOD), and catalase (CAT). Transcriptome analyses revealed that 6637 genes and 1168 genes were up-regulated in No. 228 and No. 026 under drought stress, respectively, when compared to the control (CK). The genes may participate in response to drought-stimulated signal transduction, water/oxygen-containing compound synthesis, photosynthesis, and transmembrane transport functions. Particularly, under drought stress, 14,213 up-regulated and differentially expressed genes (DEGs) were observed in the No. 228 clone compared with the No. 026 clone, and 4274 up-regulated genes were differentially expressed (15-fold difference). These significant DEGs were involved in plant hormone signal transduction, flavonoid biosynthesis, peroxisomes, and other key pathways related to drought. Interestingly, under drought stress, two Chitinases (ClCHIs) and four POD genes (ClPERs) were induced to express in No. 228, which was consistent with the higher antioxidant enzyme activities in No. 228. A heat map of 49 DEGs revealed that dehydrin family genes, ion binding/transmembrane proteins, auxin receptor proteins, and ethylene-responsive transcription factors were significantly up-regulated under drought stress. The results can enhance our understanding of drought tolerance mechanisms and provide a guideline for screening DT genes and breeding drought-tolerant Chinese fir clones. Full article
(This article belongs to the Special Issue Advances in Forest Tree Seedling Cultivation Technology)
Show Figures

Figure 1

25 pages, 17842 KB  
Article
Puerarin-V Improve Mitochondrial Respiration and Cardiac Function in a Rat Model of Diabetic Cardiomyopathy via Inhibiting Pyroptosis Pathway through P2X7 Receptors
by Shuchan Sun, Awaguli Dawuti, Difei Gong, Ranran Wang, Tianyi Yuan, Shoubao Wang, Cheng Xing, Yang Lu, Guanhua Du and Lianghua Fang
Int. J. Mol. Sci. 2022, 23(21), 13015; https://doi.org/10.3390/ijms232113015 - 27 Oct 2022
Cited by 26 | Viewed by 3471
Abstract
There is a new form of puerarin, puerarin-V, that has recently been developed, and it is unclear whether puerarin-V has a cardioprotective effect on diabetic cardiomyopathy (DCM). Here, we determined whether puerarin-V had any beneficial influence on the pathophysiology of DCM and explored [...] Read more.
There is a new form of puerarin, puerarin-V, that has recently been developed, and it is unclear whether puerarin-V has a cardioprotective effect on diabetic cardiomyopathy (DCM). Here, we determined whether puerarin-V had any beneficial influence on the pathophysiology of DCM and explored its possible mechanisms. By injecting 30 mg/kg of STZ intraperitoneally, diabetes was induced in rats. After a week of stability, the rats were injected subcutaneously with ISO (5 mg/kg). We randomly assigned the rats to eight groups: (1) control; (2) model; (3) metformin; (4–6) puerarin-V at different doses; (7) puerarin (API); (8) puerarin injection. DCM rats were found to have severe cardiac insufficiency (arrythmia, decreased LVdP/dt, and increased E/A ratio). In addition, cardiac injury biomarkers (cTn-T, NT-proBNP, AST, LDH, and CK-MB), inflammatory cytokines (IL-1β, IL-18, IL-6, and TNF-α), and oxidative damage markers (MDA, SOD and GSH) were markedly increased. Treatment with puerarin-V positively adjusts these parameters mentioned above by improving cardiac function and mitochondrial respiration, suppressing myocardial inflammation, and maintaining the structural integrity of the cardiac muscle. Moreover, treatment with puerarin-V inhibits the P2X7 receptor-mediated pyroptosis pathway that was upregulated in diabetic hearts. Given these results, the current study lends credence to the idea that puerarin-V can reduce myocardial damage in DCM rats. Furthermore, it was found that the effect of puerarin-V in diabetic cardiomyopathy is better than the API, the puerarin injection, and metformin. Collectively, our research provides a new therapeutic option for the treatment of DCM in clinic. Full article
Show Figures

Figure 1

18 pages, 1818 KB  
Article
Chlorophyll Retention and High Photosynthetic Performance Contribute to Salinity Tolerance in Rice Carrying Drought Tolerance Quantitative Trait Loci (QTLs)
by Noppawan Nounjan, Wuttipong Mahakham, Jonaliza L. Siangliw, Theerayut Toojinda and Piyada Theerakulpisut
Agriculture 2020, 10(12), 620; https://doi.org/10.3390/agriculture10120620 - 10 Dec 2020
Cited by 21 | Viewed by 3675
Abstract
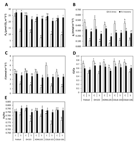
Jasmine rice (Oryza sativa L.), or Khao Dawk Mali 105 (KDML105), is sensitive to drought and salt stresses. In this study, two improved drought-tolerant chromosome segment substitution lines (CSSLs) of KDML105 (CSSL8-103 and CSSL8-106), which carry drought tolerance quantitative trait loci (QTLs) [...] Read more.
Jasmine rice (Oryza sativa L.), or Khao Dawk Mali 105 (KDML105), is sensitive to drought and salt stresses. In this study, two improved drought-tolerant chromosome segment substitution lines (CSSLs) of KDML105 (CSSL8-103 and CSSL8-106), which carry drought tolerance quantitative trait loci (QTLs) on chromosome 8, were evaluated for salt tolerance and were compared with KDML105 and the QTL donor DH103, their parents and the salt-tolerant genotype Pokkali. After being subjected to salt stress for 6 days, 3-week-old seedlings of Pokkali showed the highest salt tolerance. Parameters related to photosynthesis were less inhibited in both CSSLs and the donor DH103, while these parameters were more severely damaged in the recurrent parent KDML105. Albeit a high ratio of Na+/K+, CSSLs and DH103 showed similar or higher contents of soluble sugar and activity of superoxide dismutase (SOD; EC1.15.1.1) compared with Pokkali, indicating possible mechanisms of either tissue or osmotic tolerance in these plants. The expression of a putative gene Os08g41990 (aminotransferase), which is located in DT-QTL and is involved in chlorophyll biosynthesis, significantly decreased under salt stress in KDML105 and CSSL8-103, while no obvious change in the expression of this gene was observed in Pokkali, DH103 and CSSL8-106. This gene might play a role in maintaining chlorophyll content under stress conditions. Taken together, the results of this study indicate that DT-QTL could contribute to the enhancement of photosynthetic performance in CSSL lines, leading to changes in their physiological ability to tolerate salinity stress. Full article
(This article belongs to the Section Crop Production)
Show Figures

Figure 1

10 pages, 1383 KB  
Article
The Relationship between Suicide and Oxidative Stress in a Group of Psychiatric Inpatients
by Tytus Koweszko, Jacek Gierus, Anna Zalewska, Mateusz Maciejczyk, Napoleon Waszkiewicz and Agata Szulc
J. Clin. Med. 2020, 9(11), 3462; https://doi.org/10.3390/jcm9113462 - 28 Oct 2020
Cited by 25 | Viewed by 3243
Abstract
Diagnosis of suicide risk is a clinical challenge requiring an interdisciplinary therapeutic approach. Except for psychological explanation of the suicidal mechanism, there is evidence that it is associated with brain chemistry disturbances as oxidative stress. The objective of this study was to explore [...] Read more.
Diagnosis of suicide risk is a clinical challenge requiring an interdisciplinary therapeutic approach. Except for psychological explanation of the suicidal mechanism, there is evidence that it is associated with brain chemistry disturbances as oxidative stress. The objective of this study was to explore the role of oxidative stress components in suicidality comparing subjects at different stages of suicide. The study included psychiatric inpatients aged 18–64 (n = 48) with different psychiatric diagnoses. Blood specimens were collected from subjects and tested for oxidative stress biomarkers: superoxide dismutase (SOD), dityrozine (DT), oxidative stress index (OSI), glutathione peroxidase (GPx), total antioxidant capacity (TAC trolox), ferric reducing ability of plasma (FRAP), total oxidant status (TOS), catalase (CAT), advanced glycoxidation end products (AGE), NADPH oxidase (NOX), and advanced oxidation protein products (AOPP). The Columbia Severity Suicide Scale (C-SSRS) was used for suicidality assessment. Subjects with a history of suicide ideations over the last three months had significantly higher levels of NOX, AOPP, and OSI. There was no significant relationship to any oxidative stress component levels either with a history of suicide behaviors or with suicide attempts over the last three months. The levels of NOX and AOPP were both positively correlated to the intensity of suicidal thoughts. Moreover, there was a positive correlation between a number of suicide attempts during a lifetime with AGE and DT and negative with CAT. Similarly, the subjects with a history of suicide attempts had significantly higher AGE and DT levels and lower CAT values. The study confirmed that oxidative stress plays an important role in the pathophysiology of suicide and specific oxidative stress measures vary in suicidal and non-suicidal psychiatric inpatients. Full article
(This article belongs to the Section Mental Health)
Show Figures

Figure 1

27 pages, 2594 KB  
Article
Marine Polyhydroxynaphthoquinone, Echinochrome A: Prevention of Atherosclerotic Inflammation and Probable Molecular Targets
by Aleksandr A. Artyukov, Elena A. Zelepuga, Larisa N. Bogdanovich, Natalia M. Lupach, Vyacheslav L. Novikov, Tatyana A. Rutckova and Emma P. Kozlovskaya
J. Clin. Med. 2020, 9(5), 1494; https://doi.org/10.3390/jcm9051494 - 15 May 2020
Cited by 23 | Viewed by 5038
Abstract
The effect of low doses of echinochrome A (EchA), a natural polyhydroxy-1,4-naphthoquinone pigment from the sea urchin Scaphechinus mirabilis, has been studied in clinical trials, when it was used as an active substance of the drug Histochrome® and biologically active supplement [...] Read more.
The effect of low doses of echinochrome A (EchA), a natural polyhydroxy-1,4-naphthoquinone pigment from the sea urchin Scaphechinus mirabilis, has been studied in clinical trials, when it was used as an active substance of the drug Histochrome® and biologically active supplement Thymarin. Several parameters of lipid metabolism, antioxidant status, and the state of the immune system were analyzed in patients with cardiovascular diseases (CVD), including contaminating atherosclerosis. It has been shown that EchA effectively normalizes lipid metabolism, recovers antioxidant status and reduces atherosclerotic inflammation, regardless of the method of these preparations’ administrations. Treatment of EchA has led to the stabilization of patients, improved function of the intracellular matrix and decreased epithelial dysfunction. The increased expression of surface human leukocyte antigen DR isotype (HLA-DR) receptors reflects the intensification of intercellular cooperation of immune cells, as well as an increase in the efficiency of processing and presentation of antigens, while the regulation of CD95 + expression levels suggests the stimulation of cell renewal processes. The immune system goes to a different level of functioning. Computer simulations suggest that EchA, with its aromatic structure of the naphthoquinone nucleus, may be a suitable ligand of the cytosolic aryl cell receptor, which affects the response of the immune system and causes the rapid expression of detoxification enzymes such as CYP and DT diaphorase, which play a protective role with CVD. Therefore, EchA possesses not only an antiradical effect and antioxidant activity, but is also a SOD3 mimetic, producing hydrogen peroxide and controlling the expression of cell enzymes through hypoxia-inducible factors (HIF), peroxisome proliferator-activated receptors (PPARs) and aryl hydrocarbon receptor (AhR). Full article
Show Figures

Graphical abstract

10 pages, 179 KB  
Article
Evaluation of Antioxidant and Immunity Function of Tetramethylpyrazine Phosphate Tablets in Vivo
by Ling Guo, Aihong Wang, Yongle Sun and Chongen Xu
Molecules 2012, 17(5), 5412-5421; https://doi.org/10.3390/molecules17055412 - 8 May 2012
Cited by 24 | Viewed by 5479
Abstract
The aim of the study was to determine the effect of tetramethylpyrazine phosphate tablets (TPT), a Chinese medicine used for cardiovascular disease, on immunity activity and oxidative injury in rats. Heart failure (HF) was induced by isoproterenol (ISO). After the animal model was [...] Read more.
The aim of the study was to determine the effect of tetramethylpyrazine phosphate tablets (TPT), a Chinese medicine used for cardiovascular disease, on immunity activity and oxidative injury in rats. Heart failure (HF) was induced by isoproterenol (ISO). After the animal model was established, the rats were administered the TPT by gavage (once a day). The results indicated that TPT improved left ventricular systolic pressure (LVSP), left ventricular end-diastolic pressure (LVEDP), ±dP/dt, heart weight/body weight. TPT could decrease the levels of tumor necrosis factor-α (TNF-α) and interleukin 6 (IL-6). Furthermore, it also could raise the activities of catalase, superoxide dismutase (SOD) and glutathione peroxidase (GSH-Px), but reduce malonyldialdehyde (MDA) level. The results indicated that TPT improved cardiac function and myocardial fibrosis from myocardial injury, and this cardioprotection might be attributed to a reduction of oxidative stress and regulation of inflammation mediators. Full article
Back to TopTop