Sign in to use this feature.

Years

Between: -

Subjects

remove_circle_outline
remove_circle_outline
remove_circle_outline
remove_circle_outline
remove_circle_outline
remove_circle_outline

Journals

Article Types

Countries / Regions

Search Results (15)

Search Parameters:
Keywords = Rheofermentometer

Order results
Result details
Results per page
Select all
Export citation of selected articles as:
18 pages, 1616 KB  
Article
Effect of Brewers’ Spent Grain Addition to a Fermented Form on Dough Rheological Properties from Different Triticale Flour Cultivars
by Aliona Ghendov-Mosanu, Sorina Ropciuc, Adriana Dabija, Olesea Saitan, Olga Boestean, Sergiu Paiu, Iurie Rumeus, Svetlana Leatamborg, Galina Lupascu and Georgiana Gabriela Codină
Foods 2025, 14(1), 41; https://doi.org/10.3390/foods14010041 - 27 Dec 2024
Cited by 3 | Viewed by 1929
Abstract
Triticale grains and brewers’ spent grain (BSG) can be new sources to develop food products. From a socio-economical point of view, this fact is important since triticale is easily adapted to the climatic changes and BSG is a low-cost material which may lead [...] Read more.
Triticale grains and brewers’ spent grain (BSG) can be new sources to develop food products. From a socio-economical point of view, this fact is important since triticale is easily adapted to the climatic changes and BSG is a low-cost material which may lead to a “zero-waste” desiderate. In this study, dough rheological properties obtained from different triticale cultivars (Ingen 33, Ingen 35, Ingen 54, and Ingen 93) cultivated in the Republic of Moldova and BSG in a fermented form (BSF) in an addition level of 10% and 17.5% were analyzed. For this purpose, different rheological devices, such as Mixolab, Alveograph, HAAKE MARS 40 Rheometer, Falling Number, and Rheofermentometer, were used. Also, the pH value of the dough samples with different levels of BSF addition during fermentation was determined. According to the data obtained, BSF addition decreased water absorption values; torques values corresponding to stages 1–5 of the Mixolab curve; and dynamic rheological elastic, viscous, and complex modules. For the 17.5% BSF addition to triticale flour, the best rheological results were obtained for the Ingen 33 and Ingen 54 varieties. In addition, the BSF addition decreased the baking strength and tenacity of the Alveograph curve. The pH values of the dough samples during fermentation significantly decreased (p < 0.05) with the increased amount of BSF incorporated into the dough recipe. The highest pH decreased values were obtained for Ingen 35 with a 17.5% BSF addition, which varied between 5.58 and 5.48. During fermentation, all data recorded by the Rheofermentometer device were improved. The dough samples presented a high retention coefficient, which varied between 99.1 and 99.5%. The falling number decreased with the increasing level of BSF in triticale flour, indicating an increase in α-amylase activity in the mixed flours. The principal component analysis data showed a strong association between triticale flour varieties without a BSF addition and those with a high amount of BSF incorporated into the dough recipe. The results obtained indicate the fact that many mixes between BSF and different triticale varieties may lead to bakery products of a good quality. Full article
Show Figures

Figure 1

16 pages, 2858 KB  
Article
Breadmaking Quality Parameters of Different Varieties of Triticale Cultivars
by Aliona Ghendov-Mosanu, Nicolae Popa, Sergiu Paiu, Olga Boestean, Viorica Bulgaru, Svetlana Leatamborg, Galina Lupascu and Georgiana Gabriela Codină
Foods 2024, 13(11), 1671; https://doi.org/10.3390/foods13111671 - 27 May 2024
Cited by 4 | Viewed by 2922
Abstract
The aim of this research is to investigate the quality of different triticale cultivars (Ingen 35, Ingen 33, Ingen 93, Ingen 54, Ingen 40, Fanica and Costel) cultivated in the Republic of Moldova from the point of view of the flour, dough, and [...] Read more.
The aim of this research is to investigate the quality of different triticale cultivars (Ingen 35, Ingen 33, Ingen 93, Ingen 54, Ingen 40, Fanica and Costel) cultivated in the Republic of Moldova from the point of view of the flour, dough, and bread quality characteristics. This research may be of great importance for producers and consumers due to the high production capacity, wide adaptability, economic significance in human foods and nutritional value of triticale cultivars. The triticale flours were analyzed for moisture, ash, protein, wet gluten, fat, carbohydrates, acidity and color parameters (L*, a* and b* values). According to the chemical values, the triticale flours were suitable for breadmaking. The moisture content was less than 14% for all triticale varieties, indicating a long shelf life during its storage and the lowest protein content of 13.1%. The mixing, pasting and fermentation characteristics of triticale dough were analyzed using Mixolab, falling number, dynamic rheometer, alveograph and rheofermentometer devices. All triticale flours presented high levels of α-amylase, with falling number values being less than 70 s. The bread quality characteristics analyzed were the loaf volume, porosity, acidity, and sensory characteristics, and the textural parameters examined were the hardness, gumminess, chewiness, cohesiveness, and resilience. Our data showed large differences in breadmaking quality parameters. However, according to the sensory data, all the bread samples except those obtained from the Costel variety were of a very good quality, being within a total sensory range of 25.26–29.85 points. According to the relationships between flour, dough and bread characteristics obtained through principal component analysis, it may be concluded that the triticale varieties Costel, Ingen 33, Ingen 93 and Fanica, and Ingen 35 were more closely associated with each other. Significant differences were found between the triticale variety samples Ingen 40, Fanica, and Ingen 35 and between Ingen 54, Ingen 33, Costel, and Ingen 93. Full article
(This article belongs to the Special Issue Cereal Processing and Quality Control Technology)
Show Figures

Figure 1

21 pages, 3027 KB  
Article
Characterization of Beeswax and Rice Bran Wax Oleogels Based on Different Types of Vegetable Oils and Their Impact on Wheat Flour Dough Technological Behavior during Bun Making
by Sorina Ropciuc, Florina Dranca, Mircea Adrian Oroian, Ana Leahu, Ancuţa Elena Prisacaru, Mariana Spinei and Georgiana Gabriela Codină
Gels 2024, 10(3), 194; https://doi.org/10.3390/gels10030194 - 12 Mar 2024
Cited by 18 | Viewed by 4935
Abstract
Five varieties of vegetable oil underwent oleogelation with two types of wax as follows: beeswax (BW) and rice bran wax (RW). The oleogels were analyzed for their physicochemical, thermal, and textural characteristics. The oleogels were used in the bun dough recipe at a [...] Read more.
Five varieties of vegetable oil underwent oleogelation with two types of wax as follows: beeswax (BW) and rice bran wax (RW). The oleogels were analyzed for their physicochemical, thermal, and textural characteristics. The oleogels were used in the bun dough recipe at a percentage level of 5%, and the textural and rheological properties of the oleogel doughs were analyzed using dynamic and empirical rheology devices such as the Haake rheometer, the Rheofermentometer, and Mixolab. The thermal properties of beeswax oleogels showed a melting peak at a lower temperature for all the oils used compared with that of the oleogels containing rice bran wax. Texturally, for both waxes, as the percentage of wax increased, the firmness of the oleogels increased proportionally, which indicates better technological characteristics for the food industry. The effect of the addition of oleogels on the viscoelastic properties of the dough was measured as a function of temperature. All dough samples showed higher values for G′ (storage modulus) than those of G″ (loss modulus) in the temperature range of 20–90 °C, suggesting a solid, elastic-like behavior of all dough samples with the addition of oleogels. The influence of the beeswax and rice bran oleogels based on different types of vegetable oils on the thermo-mechanical properties of wheat flour dough indicated that the addition of oleogels in dough recipes generally led to higher dough stability and lower values for the dough development time and those related to the dough’s starch characteristics. Therefore, the addition of oleogels in dough recipes inhibits the starch gelatinization process and increases the shelf life of bakery products. Full article
Show Figures

Figure 1

25 pages, 4714 KB  
Article
Extracts with Nutritional Potential and Their Influence on the Rheological Properties of Dough and Quality Parameters of Bread
by Tatiana Bojňanská, Anna Kolesárová, Matej Čech, Dana Tančinová and Dana Urminská
Foods 2024, 13(3), 382; https://doi.org/10.3390/foods13030382 - 24 Jan 2024
Cited by 8 | Viewed by 3276
Abstract
Formulating basic food to improve its nutritional profile is one potential method for food innovation. One option in formulating basic food such as bread is to supplement flours with specified amounts of non-bakery raw materials with high nutritional benefits. In the research presented [...] Read more.
Formulating basic food to improve its nutritional profile is one potential method for food innovation. One option in formulating basic food such as bread is to supplement flours with specified amounts of non-bakery raw materials with high nutritional benefits. In the research presented here, we studied the influence of the addition of curcumin and quercetin extracts in amounts of 2.5% and 5% to wheat flour (2.5:97.5; 5:95). The analysis of the rheological properties of dough was carried out using a Mixolab 2. A Rheofermentometer F4 was used to assess the dough’s fermentation, and a Volscan was used to evaluate the baking trials. The effect of the extracts on the rheological properties of dough was measured and found to be statistically significant, with curcumin shortening both dough development time and dough stability. Doughs made with greater quantities of extract had a greater tendency to early starch retrogradation, which negatively affects the shelf life of the end products. The addition of extracts did not significantly affect either the ability to form gas during fermentation or its retention, which is important because this gas is prerequisite to forming a final product with the required volume and porosity of crumb. Less favourable results were found on sensory evaluation, wherein the trial bread was significantly worse than the control wheat bread. The panel’s decision-making might have been influenced by the atypical colour of the bread made with additives, and in case of a trial bread made with quercetin, by a bitter taste. From the technological point of view, the results confirmed that the composite flours prepared with the addition of extracts of curcumin and quercetin in amounts of 2.5% and 5% can be processed according to standard procedures. The final product will be bread with improved nutritional profile and specific sensory properties, specifically an unconventional and attractive colour. Full article
Show Figures

Graphical abstract

15 pages, 3872 KB  
Article
New Insights into the Comprehensive System of Thermodynamic Sensors and Electronic Nose and Its Practical Applications in Dough Fermentation Monitoring
by Veronika Sevcikova, Martin Adamek, Romana Sebestikova, Iva Buresova, Martin Buran, Anna Adamkova, Magdalena Zvonkova, Nela Skowronkova, Jiri Matyas and Jiri Mlcek
Sensors 2024, 24(2), 352; https://doi.org/10.3390/s24020352 - 7 Jan 2024
Cited by 2 | Viewed by 2410
Abstract
This study focuses on an applicability of the device designed for monitoring dough fermentation. The device combines a complex system of thermodynamic sensors (TDSs) with an electronic nose (E-nose). The device’s behavior was tested in experiments with dough samples. The configuration of the [...] Read more.
This study focuses on an applicability of the device designed for monitoring dough fermentation. The device combines a complex system of thermodynamic sensors (TDSs) with an electronic nose (E-nose). The device’s behavior was tested in experiments with dough samples. The configuration of the sensors in the thermodynamic system was explored and their response to various positions of the heat source was investigated. When the distance of the heat source and its intensity from two thermodynamic sensors changes, the output signal of the thermodynamic system changes as well. Thus, as the distance of the heat source decreases or the intensity increases, there is a higher change in the output signal of the system. The linear trend of this change reaches an R2 value of 0.936. Characteristics of the doughs prepared from traditional and non-traditional flours were successfully detected using the electronic nose. To validate findings, the results of the measurements were compared with signals from the rheofermentometer Rheo F4, and the correlation between the output signals was closely monitored. The data after statistical evaluation show that the measurements using thermodynamic sensors and electronic nose directly correlate the most with the measured values of the fermenting dough volume. Pearson’s correlation coefficient for TDSs and rheofermentometer reaches up to 0.932. The E-nose signals also correlate well with dough volume development, up to 0.973. The data and their analysis provided by this study declare that the used system configuration and methods are fully usable for this type of food analysis and also could be usable in other types of food based on the controlled fermentation. The system configuration, based on the result, will be also used in future studies. Full article
(This article belongs to the Special Issue Electrochemical Sensors in the Food Industry)
Show Figures

Figure 1

19 pages, 2921 KB  
Article
Effect of Rosehip Powder Addition on Dough Extensographic, Amylographic and Rheofermentographic Properties and Sensory Attributes of Bread
by Nicoleta Vartolomei and Maria Turtoi
Processes 2023, 11(4), 1088; https://doi.org/10.3390/pr11041088 - 4 Apr 2023
Cited by 4 | Viewed by 2673
Abstract
One of the improvers used in breadmaking is ascorbic acid (AA), a chemical compound that strengthens the dough and extends the shelf life of bread. This work investigates the suitability of replacing the synthetic AA with rosehip powder (Rp) rich in this bioactive [...] Read more.
One of the improvers used in breadmaking is ascorbic acid (AA), a chemical compound that strengthens the dough and extends the shelf life of bread. This work investigates the suitability of replacing the synthetic AA with rosehip powder (Rp) rich in this bioactive compound. Thus, a comprehensive study of wheat flour (WF) replaced with 0.5–2.5% w/w Rp regarding the extensographic, amylographic and rheofermentographic properties of dough and sensory attributes of bread was performed. WF without RP or AA addition of 2 mg/100 g was used as a control. A sample with an AA addition of 2 mg/100 g was also used. The Rp addition positively influenced the extensographic, amylographic and rheofermentographic properties of the dough. The dough resistance to extension, R, in Brabender Units (BU), increased from 330 ± 1.41 BU (control) to 995 ± 1.41 BU (2.5% w/w Rp) for a resting time of 90 min. The gelatinization temperature of the dough increased from 61.0 °C (control) to 62.9 °C (2.5% w/w Rp). The volume of gases retained in the dough increased in bread with up to 2.0% w/w Rp and afterwards decreased. The sensory properties of the bread, e.g., external appearance, volume, flavor, and taste, were appreciated by the sensory panel and received higher total scores than the control bread. According to the results presented in this work, the optimum concentration of Rp was 1.5% w/w. However, because the concentration of AA in Rp at the moment of use could vary, it would be better to consider an optimum range, e.g., 1.0–2.0% w/w Rp. The study showed that the Rp is appropriate for breadmaking as an alternative to synthetic AA. Full article
(This article belongs to the Special Issue Bio-Active Compounds in Food Production)
Show Figures

Graphical abstract

17 pages, 3069 KB  
Article
Use of a Thermodynamic Sensor in Monitoring Fermentation Processes in Gluten-Free Dough Proofing
by Martin Adamek, Magdalena Zvonkova, Iva Buresova, Martin Buran, Veronika Sevcikova, Romana Sebestikova, Anna Adamkova, Nela Skowronkova and Jiri Mlcek
Sensors 2023, 23(1), 534; https://doi.org/10.3390/s23010534 - 3 Jan 2023
Cited by 6 | Viewed by 3633
Abstract
Dough fermentation in gluten-free bakery products is problematic due to the absence of gluten, which provides advantageous rheological properties. A thermodynamic sensor (TDS) system combined with an electronic nose was tested as an alternative to conventional methods monitoring dough development based on mechanical [...] Read more.
Dough fermentation in gluten-free bakery products is problematic due to the absence of gluten, which provides advantageous rheological properties. A thermodynamic sensor (TDS) system combined with an electronic nose was tested as an alternative to conventional methods monitoring dough development based on mechanical properties. In the first part, the configuration of the sensors in the thermodynamic system and their response to different heat-source positions, which significantly affect the output signal from the measurement system, were investigated. The practical contribution lies in the application of the measurements to the example of gluten-free doughs with and without edible insect enrichment. An optimized configuration of the thermodynamic system (one sensor on the inner wall of the container at the bottom and another in the middle of the container closer to the top of the dough) in combination with an experimental electronic nose was used for the aforementioned measurement. In some cases, up to 87% correlation between the signal from the TDS and the signals from a professional rheofermentometer Rheo F-4 (Chopin) was demonstrated. The differences between the results can be explained by the use of different techniques. Using a combination of sensor systems in one place, one time and one sample can lead to more comprehensive and robust results. Furthermore, it was shown that the fermentation activity increased in corn dough with the addition of insects compared to dough without the addition. In rice flour dough with the addition of edible insects, fermentation activity was similar to that of the flour without the addition. Full article
(This article belongs to the Section Smart Agriculture)
Show Figures

Figure 1

19 pages, 3185 KB  
Article
Features of Bread Made from Different Amaranth Flour Fractions Partially Substituting Wheat Flour
by Ionica Coţovanu and Silvia Mironeasa
Appl. Sci. 2022, 12(2), 897; https://doi.org/10.3390/app12020897 - 17 Jan 2022
Cited by 15 | Viewed by 4099
Abstract
Amaranth flour (AF) is recognized as high-quality raw material regarding nutrients and bioactive compounds, essential in supplying human health benefits, compared with white flour (WF). In this study, the effects of factors, different particles sizes (large, medium, and small), and levels of AF [...] Read more.
Amaranth flour (AF) is recognized as high-quality raw material regarding nutrients and bioactive compounds, essential in supplying human health benefits, compared with white flour (WF). In this study, the effects of factors, different particles sizes (large, medium, and small), and levels of AF (5, 10, 15, and 20%) substituting WF on the responses, empirical and dynamic dough rheological properties, and some quality parameters of bread were successfully modeled using predictive models. Finally, the optimization of a formulation to maximize the AF level whilst maintaining bread quality for each type of particle size (PS) was performed based on the response surface methodology models generated. The rheological properties of the composite flour formulated were evaluated using Mixolab, alveograph, rheofermentometer, and dynamic rheometer. In addition, bread quality parameters, loaf volume, instrumental texture features, and firmness were evaluated. The anticipation of the optimal value for each response in terms of dough rheological properties during mixing, protein weakening, starch gelatinization and retrogradation, biaxial extension, fermentation, viscoelastic moduli, and creep and recovery compliance depending on PS. The optimal addition level was determined by a multi-objective optimization approach. The optimal addition level was 9.41% for large, 9.39% for medium, and 7.89% for small PS. The results can help manufacturers to develop bread products with the desired particle size with optimal technological and physical features. Full article
Show Figures

Figure 1

16 pages, 609 KB  
Article
Effects of Dry Sourdough on Bread-Making Quality and Acrylamide Content
by Georgiana Gabriela Codină, Cristina Sarion and Adriana Dabija
Agronomy 2021, 11(10), 1977; https://doi.org/10.3390/agronomy11101977 - 30 Sep 2021
Cited by 21 | Viewed by 4399
Abstract
The aim of this study was to investigate the possibility of reducing the acrylamide content of bread samples obtained from wheat flour with a high extraction rate by adding a dry sourdough (SD) into the bread recipe. According to the data obtained, compared [...] Read more.
The aim of this study was to investigate the possibility of reducing the acrylamide content of bread samples obtained from wheat flour with a high extraction rate by adding a dry sourdough (SD) into the bread recipe. According to the data obtained, compared to the control sample the acrylamide content was significantly reduced (p < 0.05) by more than 50% for the bread samples in which low levels of SD of 1–3% were added to wheat flour. More so, due to the fact that SD affects bread quality, its technological effects on bread making have been investigated. The dough’s rheological properties (mixing and pasting using Mixolab, extension using Alveograph, fermentation using Rheofermentometer), falling number value, and bread quality parameters (loaf volume, porosity, elasticity, color, textural and sensory qualities) have been investigated. In general, SD addition caused a weakening effect on wheat flour dough, an increase in the total volume of CO2 produced during fermentation and a decrease in the falling number value. On bread quality, SD addition improved bread physical characteristics, darkened the bread crumb and crust, decreased the textural parameters (firmness, gumminess, cohesiveness and resilience) and improved the bread sensory characteristics for the samples with the addition of 1–2% SDto wheat flour. Full article
Show Figures

Figure 1

22 pages, 2791 KB  
Article
Effects of Adding Legume Flours on the Rheological and Breadmaking Properties of Dough
by Tatiana Bojňanská, Janette Musilová and Alena Vollmannová
Foods 2021, 10(5), 1087; https://doi.org/10.3390/foods10051087 - 14 May 2021
Cited by 66 | Viewed by 8100
Abstract
The influence of the addition of four legume flours, chickpea, broad bean, common bean and red lentil (in amounts of 5%, 10% and 15% to a wheat-rye composite flour (50:50:0-control flour), in ratios of 50:45:5; 50:40:10; 50:35:15) was studied by analyzing the rheological [...] Read more.
The influence of the addition of four legume flours, chickpea, broad bean, common bean and red lentil (in amounts of 5%, 10% and 15% to a wheat-rye composite flour (50:50:0-control flour), in ratios of 50:45:5; 50:40:10; 50:35:15) was studied by analyzing the rheological properties of dough in order to further exploit the functionality of legume flours in bakery products. The rheological properties of dough were monitored using a Mixolab 2. A Rheofermentometer F4 was used to check the dough fermentation, and a Volscan was used for evaluating the baking trials. The addition of different legume flours in the mixtures resulted in different viscoelastic properties of the dough. The results showed a weakening of the protein network depending on the amount of legume flour added and on the specific legume flour. On the contrary, all samples with a higher proportion of legume flour showed an increased resistance to starch retrogradation. All flours had the ability to produce a sufficient volume of fermenting gases, with the exception of flours with a higher addition of broad bean flour, and the baking test confirmed a lower bread volume for bread with this addition. The results of the sensory evaluation indicated that legume flour additions resulted in breads with an acceptable sensory quality, in the case of additions of 5% at the same level as the bread controls, or even better. The aromas and flavors of the added non-cereal ingredients improved the sensory profile of wheat-rye bread. Breads with additions of chickpea, common bean and broad bean had a considerable proportion of darker colors in comparison to the control bread and bread with red lentil. Full article
(This article belongs to the Special Issue Quality and Composition Assessment of Wheat and Its Products)
Show Figures

Graphical abstract

20 pages, 5754 KB  
Article
The Effect of Sea Salt, Dry Sourdough and Fermented Sugar as Sodium Chloride Replacers on Rheological Behavior of Wheat Flour Dough
by Andreea Voinea, Silviu-Gabriel Stroe and Georgiana Gabriela Codină
Foods 2020, 9(10), 1465; https://doi.org/10.3390/foods9101465 - 14 Oct 2020
Cited by 12 | Viewed by 4394
Abstract
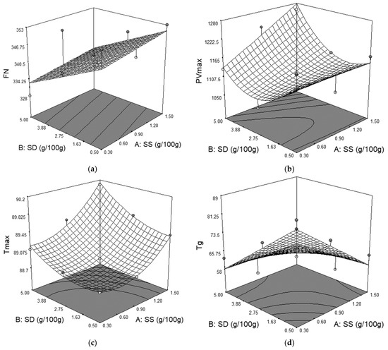
The aim of this study was to investigate the effects of formulation factors, sea salt (SS), dry sourdough (SD) and fermented sugar (FS) as sodium chloride replacers in wheat flour on dough mixing, extension, pasting and fermentation rheological properties, evaluated by Farinograph, Extensograph, [...] Read more.
The aim of this study was to investigate the effects of formulation factors, sea salt (SS), dry sourdough (SD) and fermented sugar (FS) as sodium chloride replacers in wheat flour on dough mixing, extension, pasting and fermentation rheological properties, evaluated by Farinograph, Extensograph, Amylograph and Rheofermentometer devices. With regard to mixing and extension properties, SS and FS presented a strengthening effect, whereas SD presented a weakening one. SS and FS presented a positive effect on dough stability, energy and resistance, whereas SD presented a negative one. On the Amylograph, peak viscosity increased by SS and FS addition and decreased when SD was incorporated in the dough recipe. During fermentation, dough development and gas production in the dough system increased after SS and SD addition, whereas they decreased after FS addition. Response surface methodology (RSM) was used to investigate the effect of independent variables on the rheological properties of the dough. Mathematical models between the independent variables, SS, SD and FS, and the dependent variables, represented by the rheological values of the dough, were obtained. The best formulation obtained was of 0.30 g/100 g SS, 0.50 g/100 g SD and 1.02 mL/100 g FS addition with a 0.618 desirability value, following Derringer’s desirability function approach. For this formulation, bread quality characteristics were better appreciated than for those obtained for the control sample, in which 1.5% NaCl was incorporated in wheat flour. Full article
(This article belongs to the Special Issue New Insights into Cereals and Cereal-Based Foods)
Show Figures

Figure 1

17 pages, 5734 KB  
Article
A Comprehensive Study on the Influence of Sodium Chloride on the Technological Quality Parameters of Soft Wheat Dough
by Marina Carcea, Valentina Narducci, Valeria Turfani and Francesco Mellara
Foods 2020, 9(7), 952; https://doi.org/10.3390/foods9070952 - 17 Jul 2020
Cited by 23 | Viewed by 5812
Abstract
This study aimed at understanding how the presence or absence of NaCl influences dough rheological performance of soft wheat cvs. currently used in the Italian bread manufacturing industry as a scientific support to national health strategies to reduce the use of NaCl in [...] Read more.
This study aimed at understanding how the presence or absence of NaCl influences dough rheological performance of soft wheat cvs. currently used in the Italian bread manufacturing industry as a scientific support to national health strategies to reduce the use of NaCl in bread. For this reason 176 flour samples belonging to 41 soft wheat cvs. currently cultivated in Italy, were analyzed for their protein content, Zeleny sedimentation value, and by means of the Chopin Alveograph and Brabender Farinograph, with no salt and with 1.5% salt addition (average salt content in Italian bread). Three selected cvs. (Aubusson, Bolero, and Blasco) were additionally studied by means of the Rapid Visco Analyzer (RVA) at three levels of salt addition (0%, 1.5% and 3.0%). The fermentation behaviour of the cvs. Aubusson and Blasco was also studied by means of a Rheofermentometer under the same conditions. The results of our study confirmed the role of salt in strengthening the wheat gluten network (up to 86%), and thus the gas retention of dough and in affecting yeast activity. However, it also definitely proved that careful cultivar selection can help in overcoming technical challenges in reduced-salt bread manufacturing and eventually, it opens the path to wheat breeding for reduced-salt bread baking. Full article
(This article belongs to the Section Grain)
Show Figures

Figure 1

13 pages, 2730 KB  
Article
Use of Response Surface Methodology to Investigate the Effects of Sodium Chloride Substitution with Potassium Chloride on Dough’s Rheological Properties
by Andreea Voinea, Silviu-Gabriel Stroe and Georgiana Gabriela Codină
Appl. Sci. 2020, 10(11), 4039; https://doi.org/10.3390/app10114039 - 11 Jun 2020
Cited by 7 | Viewed by 3921
Abstract
Bakery products are one of the main sources of dietary sodium intake of the world’s population. During the last decade, sodium intake has increased worldwide and nowadays the World Health Organization recommends reducing sodium intake by up to 2 g Na/day. KCl is [...] Read more.
Bakery products are one of the main sources of dietary sodium intake of the world’s population. During the last decade, sodium intake has increased worldwide and nowadays the World Health Organization recommends reducing sodium intake by up to 2 g Na/day. KCl is the leading substitute for reducing sodium in bakery products. Therefore, the main purpose of our study was to investigate the impact of sodium reduction on dough’s rheological properties by reformulating the dough recipe using two types of salts, namely NaCl and KCl, with different amounts added to wheat flour. In order to establish their combination for obtaining the optimum rheological properties of dough, the response surface methodology (RSM) by the Design Expert software was used. The effect of combined NaCl and KCl salts were made on mixing, viscometric and fermentation process by using Farinograph, Extensograph, Amylograph and Rheofermentometer devices. On dough’s rheological properties, KCl and NaCl presented a significant effect (p < 0.01) on water absorption, stability, energy, dough resistance to extension, falling number and all Rheofermentometer-analyzed values. Mathematical models were achieved between independent variables, the KCl and NaCl amounts, and the dependent ones, dough rheological values. The optimal values obtained through RSM for the KCl and NaCl salts were of 0.37 g KCl/100 g and 1.31 g NaCl/100 g wheat flour, which leads to a 22% replacement of NaCl in the dough recipe. Full article
Show Figures

Figure 1

15 pages, 2633 KB  
Article
The Effect of Sodium Reduction by Sea Salt and Dry Sourdough Addition on the Wheat Flour Dough Rheological Properties
by Andreea Voinea, Silviu-Gabriel Stroe and Georgiana Gabriela Codină
Foods 2020, 9(5), 610; https://doi.org/10.3390/foods9050610 - 10 May 2020
Cited by 21 | Viewed by 5193
Abstract
The aim of this research was to investigate a technological approach to decrease the sodium content from bakery products in order to respond to the World Health Organization (WHO)’s recommendation to reduce dietary salt intake. Due to the fact that sodium chloride is [...] Read more.
The aim of this research was to investigate a technological approach to decrease the sodium content from bakery products in order to respond to the World Health Organization (WHO)’s recommendation to reduce dietary salt intake. Due to the fact that sodium chloride is one of the main ingredients from baking products that affects dough rheology and therefore the technological process of the bakery products, it is important to evaluate these properties. This study analyzes the effect of sea salt with low sodium content (SS) and dry sourdough from wheat flour (SD) as substitutes for sodium chloride on dough rheological properties and on mixing, extension, pasting, and fermentation process by using Farinograph, Extensograph, Amylograph, Falling Number, and Rheofermentometer devices. The results were analyzed using response surface methodology. SS presented a strengthening effect on the gluten network whereas SD presented a weakening one. On extension properties, SS and SD presented a significant positive effect (p < 0.01) on resistance to extension (R50) and maximum resistance to extension (Rmax) values. For pasting properties, SS increased peak viscosity and falling number values whereas SD decreased them. On fermentation properties, SS decreased the maximum height of gaseous production and total CO2 volume production and increased the retention coefficient whereas SD presented an antagonistic effect on these parameters. Full article
(This article belongs to the Section Grain)
Show Figures

Figure 1

17 pages, 2501 KB  
Article
Exploiting Milling By-Products in Bread-Making: The Case of Sprouted Wheat
by Gaetano Cardone, Paolo D’Incecco, Maria Cristina Casiraghi and Alessandra Marti
Foods 2020, 9(3), 260; https://doi.org/10.3390/foods9030260 - 1 Mar 2020
Cited by 22 | Viewed by 4507
Abstract
This research investigated the effect of sprouting on wheat bran. Bran from un-sprouted (BUW) and sprouted (BSW) wheat were characterized in terms of chemical composition, enzymatic activities, and hydration properties. In addition, the rheological properties (using GlutoPeak, Farinograph, Extensograph, and Rheofermentometer tests) and [...] Read more.
This research investigated the effect of sprouting on wheat bran. Bran from un-sprouted (BUW) and sprouted (BSW) wheat were characterized in terms of chemical composition, enzymatic activities, and hydration properties. In addition, the rheological properties (using GlutoPeak, Farinograph, Extensograph, and Rheofermentometer tests) and bread-making performance (color, texture, volume of bread) of wheat doughs enriched in bran at 20% replacement level were assessed. Sprouting process caused a significant decrease in phytic acid (~20%), insoluble dietary fiber (~11%), and water holding capacity (~8%), whereas simple sugars (~133%) and enzymatic activities significantly increased after processing. As regards the gluten aggregation kinetics, the BSW-blend profile was more similar to wheat than BUW-blend, indicating changes in the fiber and gluten interactions. BSW led to a worsening of the mixing and leavening properties, instead, no significant changes in extensibility were observed. Finally, BSW improved bread volume (~10%) and crumb softness (~52%). Exploiting bran from sprouted wheat might be useful to produce bread rich in fiber with enhanced characteristics. Full article
(This article belongs to the Special Issue Advances in Production, Properties and Applications of Sprouted Seeds)
Show Figures

Figure 1

Back to TopTop