Breadmaking Quality Parameters of Different Varieties of Triticale Cultivars
Abstract
1. Introduction
2. Materials and Methods
2.1. Triticale Flour Samples
2.2. Physico-Chemical Quality Parameters of Triticale Flour Samples
2.3. Rheological Properties of Triticale Dough
2.3.1. Rheological Properties of Triticale Dough during Mixing, Pasting and Extension
2.3.2. Rheological Properties of Triticale Dough during Fermentation
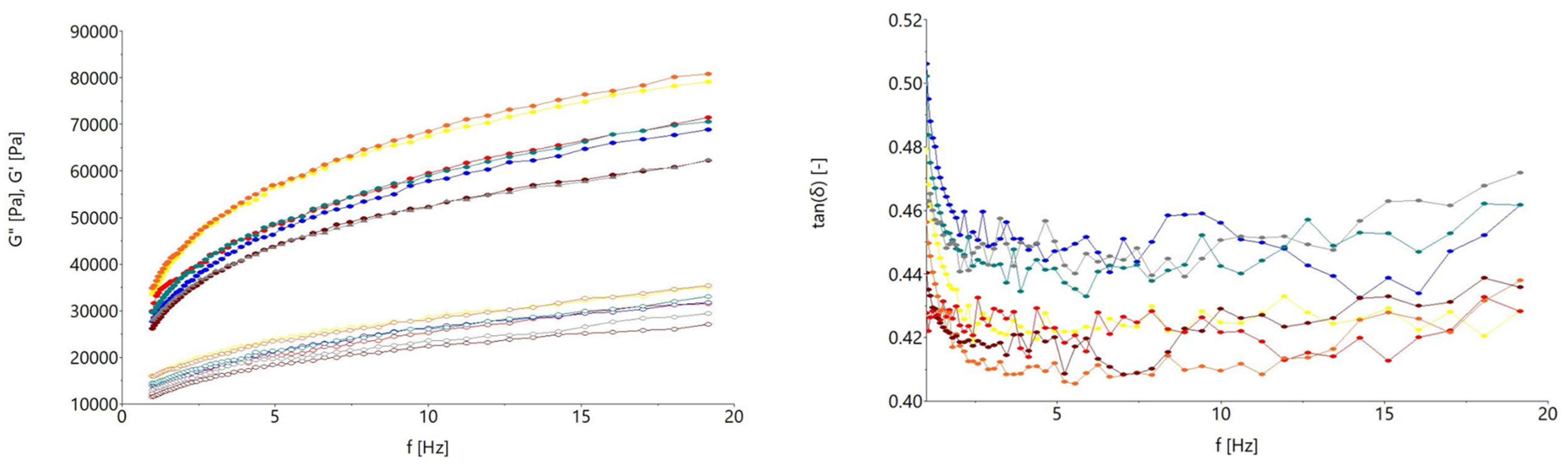
2.3.3. Fundamental Rheological Properties of Triticale Dough
2.4. Breadmaking
2.5. Quality Parameters of Triticale Bread Samples
2.5.1. Physico-Chemical Parameters of Triticale Bread Samples
2.5.2. Textural Parameters of Triticale Bread Samples
2.5.3. Sensory Characteristics of Triticale Bread Samples
2.6. Statistical Analysis
3. Results and Discussion
3.1. Characterization of Triticale Flours
3.2. Triticale Dough Rheological Properties
3.3. Characterization of Triticale Bread Samples
3.4. Relationships between Flour, Dough and Bread Characteristics
4. Conclusions
Author Contributions
Funding
Institutional Review Board Statement
Informed Consent Statement
Data Availability Statement
Acknowledgments
Conflicts of Interest
References
- Dziki, D.; Hassoon, W.H.; Kramek, A.; Krajewska, A. Grinding Characteristics of New Varieties of Winter Triticale Grain. Processes 2023, 11, 1477. [Google Scholar] [CrossRef]
- Food and Agriculture Organization of the United Nations. FAOSTAT Statistical Database; FAO: Rome, Italy, 2024; Available online: https://www.fao.org/faostat/en/#home (accessed on 1 April 2024).
- Galoburda, R.; Straumite, E.; Sabovics, M.; Kruma, Z. Dynamics of Volatile Compounds in Triticale Bread with Sourdough: From Flour to Bread. Foods 2020, 9, 1837. [Google Scholar] [CrossRef]
- Gaviley, O.V.; Katerynych, O.O.; Ionov, I.A.; Dekhtiarova, O.O.; Griffin, D.K.; Romanov, M.N. Triticale: A General Overview of Its Use in Poultry Production. Encyclopedia 2024, 4, 395–414. [Google Scholar] [CrossRef]
- Usevičiūtė, L.; Baltrėnaitė-Gedienė, E.; Feizienė, D. The Combined Effect of Biochar and Mineral Fertilizer on Triticale Yield, Soil Properties under Different Tillage Systems. Plants 2022, 11, 111. [Google Scholar] [CrossRef]
- Zhu, F. Triticale: Nutritional composition and food uses. Food Chem. 2018, 241, 468–479. [Google Scholar] [CrossRef]
- Lim, C.; Poaty Ditengou, J.; Ryu, K.; Ku, J.; Park, M.; Whiting, I.M.; Pirgozliev, V. Effect of replacing maize with different levels of triticale on laying hen performance, egg quality, yolk fatty acid profile and blood options. J. Anim. Feed Sci. 2021, 30, 360–366. [Google Scholar] [CrossRef]
- Mitri, S.; Salameh, S.-J.; Khelfa, A.; Leonard, E.; Maroun, R.G.; Louka, N.; Koubaa, M. Valorization of Brewers‘ Spent Grains: Pretreatments and Fermentation, a Review. Fermentation 2022, 8, 50. [Google Scholar] [CrossRef]
- Fras, A.; Gołebiewska, K.; Gołebiewski, D.; Mankowski, D.R.; Boros, D.; Szecówka, P. Variability in the Chemical Composition of Triticale Grain, Flour and Bread. J. Cereal Sci. 2016, 71, 66–72. [Google Scholar] [CrossRef]
- Pribić, M.; Kamenko, I.; Despotović, S.; Mirosavljević, M.; Pejin, J. Modeling and Optimization of Triticale Wort Production Using an Artificial Neural Network and a Genetic Algorithm. Foods 2024, 13, 343. [Google Scholar] [CrossRef]
- Biel, W.; Kazimierska, K.; Bashutska, U. Nutritional value of wheat, triticale, barley and oat grains. Acta Sci. Pol. Zootech. 2020, 19, 19–28. [Google Scholar] [CrossRef]
- Kowieska, A.; Lubowicki, R.; Jaskowska, I. Chemical composition and nutritional characteristics of several cereal grain. Acta Sci. Pol. Zootech. 2011, 10, 37–49. [Google Scholar]
- Mossé, J.; Huet, J.C.; Baudet, J. The amino acid composition of triticale grain as a function of nitrogen content: Comparison with wheat and rye. J. Cereal Sci. 1988, 7, 49–60. [Google Scholar] [CrossRef]
- Góral, T.; Wiśniewska, H.; Ochodzki, P.; Walentyn-Góral, D. Higher Fusarium Toxin Accumulation in Grain of Winter Triticale Lines Inoculated with Fusarium culmorum as Compared with Wheat. Toxins 2016, 8, 301. [Google Scholar] [CrossRef]
- Miedaner, T.; Heinrich, N.; Schneider, B.; Oettler, G.; Rohde, S.; Rabenstein, F. Estimation of deoxynivalenol (DON) content by symptom rating and exoantigen content for resistance selection in wheat and triticale. Euphytica 2004, 139, 123–132. [Google Scholar] [CrossRef]
- Veitch, R.S.; Caldwell, C.D.; Martin, R.A.; Lada, R.; Salmon, D.; Anderson, D.M.; MacDonald, D. Susceptibility of winter and spring triticales to Fusarium head blight and deoxynivalenol accumulation. Can. J. Plant Sci. 2008, 88, 783–788. [Google Scholar] [CrossRef]
- Kaszuba, J.; Woś, H.; Shchipak, G.V. Bread making quality parameters of some Ukrainian and Polish triticale cultivars. Euphytica 2024, 220, 15. [Google Scholar] [CrossRef]
- Dennett, A.L.; Wilkes, M.A.; Trethowan, R.M. Characteristics of Modern Triticale Quality: The Relationship between Carbohydrate Properties, α-Amylase Activity, and Falling Number. Cereal Chem. 2013, 90, 594–600. [Google Scholar] [CrossRef]
- Rakha, A.; Åman, P.; Andersson, R. Dietary fiber in triticale grain: Variation in content, composition, and molecular weight distribution of extractable components. J. Cereal Sci. 2011, 54, 324–331. [Google Scholar] [CrossRef]
- International Association for Cereal Science and Technology. ICC Standard Methods (Methods No. 110/1; 137/1; 104/1; 136; 105/2; 173, 107/1); ICC: Vienna, Austria, 2005. [Google Scholar]
- SR 90:2007; Făină de Grâu. Metode de Analiză. ASRO Publisher House: Bucharest, Romania, 2007.
- SR 91:2007; Pâine si Produse Proaspete de Patiserie. Metode de Analiza. ASRO Publisher House: Bucharest, Romania, 2007.
- Atudorei, D.; Atudorei, O.; Codină, G.G. The Impact of Germinated Chickpea Flour Addition on Dough Rheology and Bread Quality. Plants 2022, 11, 1225. [Google Scholar] [CrossRef]
- Overview of Texture Profile Analysis. Available online: https://texturetechnologies.com/resources/texture-profile-analysis#tpameasurements (accessed on 20 February 2024).
- ISO 6658:2017; Sensory Analysis—Methodology—General Guidance 2017. International Organization for Standardization (ISO): Geneva, Switzerland, 2017.
- International Standard 8589; Sensory Analysis. General Guidance for the Design of Test Rooms; International Organization for Standardization; Ref. No. ISO 8589:2007 (E); ISO: Genéve, Switzerland, 2007.
- Ghendov-Mosanu, A.; Netreba, N.; Balan, G.; Cojocari, D.; Boestean, O.; Bulgaru, V.; Gurev, A.; Popescu, L.; Deseatnicova, O.; Resitca, V.; et al. Effect of Bioactive Compounds from Pumpkin Powder on the Quality and Textural Properties of Shortbread Cookies. Foods 2023, 12, 3907. [Google Scholar] [CrossRef]
- Lawless, H.T.; Heymann, H. Sensory Evaluation of Food. Principles and Practices; Springer: Berlin, Germany, 2010. [Google Scholar]
- Ghendov-Mosanu, A.; Cristea, E.; Patras, A.; Sturza, R.; Padureanu, S.; Deseatnicova, O.; Turculet, N.; Boestean, O.; Niculaua, M. Potential Application of Hippophae Rhamnoides in Wheat Bread Production. Molecules 2020, 25, 1272. [Google Scholar] [CrossRef]
- Golea, C.M.; Codină, G.G.; Oroian, M. Prediction of Wheat Flours Composition Using Fourier Transform Infrared Spectrometry (FT-IR). Food Control 2023, 143, 109318. [Google Scholar] [CrossRef]
- Alaru, M.; Lau, Ü.; Jaama, E. Infuence of nitrogen and weather conditions on the grain quality of winter triticale. Agron. Res. 2003, 1, 3–10. [Google Scholar]
- Grabovets, A.I.; Krokhmal’, A.V. Prospects of breeding triticale for increased grain carotenoid content. Russ. Agric. Sci. 2012, 38, 345–347. [Google Scholar] [CrossRef]
- Banu, I.; Aprodu, I. Investigation on Functional, Thermo-Mechanical and Bread-Making Properties of Some White and Black Rice Flours. Appl. Sci. 2022, 12, 4544. [Google Scholar] [CrossRef]
- Codină, G.G.; Mironeasa, S.; Mironeasa, C. Variability and relationship among Mixolab and Falling Number evaluation based on influence of fungal-amylase addition. J. Sci. Food Agric. 2012, 92, 2162–2170. [Google Scholar] [CrossRef]
- Edwards, N.M.; Dexter, J.E.; Scanlon, M.G. Starch participation in durum dough linear viscoelastic properties. Cereal Chem. 2002, 79, 850–856. [Google Scholar] [CrossRef]
- Izydorczyk, M.; Biliaderis, C.G.; Bushuk, W. Physical Properties of Water-Soluble Pentosans from Different Wheat Varieties. Cereal Chem. 1991, 68, 145–150. [Google Scholar]
- Collar, C.; Bollaín, C. Relationships between dough functional indicators during breadmaking steps in formulated samples. Eur. Food Res. Technol. 2005, 220, 372–379. [Google Scholar] [CrossRef]
- Codină, G.G.; Dabija, A.; Oroian, M. Prediction of Pasting Properties of Dough from Mixolab Measurements Using Artificial Neuronal Networks. Foods 2019, 8, 447. [Google Scholar] [CrossRef] [PubMed]
- Ji, T.; Penning, B.; Baik, B.K. Pre-harvest sprouting resistance of soft winter wheat varieties and associated grain characteristics. J. Cereal Sci. 2018, 83, 110–115. [Google Scholar] [CrossRef]
- Gray, J.A.; Bemiller, J.N. Bread stailing: Molecular basis and control. Compr. Rev. Food Sci. Food Saf. 2003, 2, 1–21. [Google Scholar] [CrossRef]
- Chavoushi, M.; Kadivar, M.; Arzani, A.; Sabzalian, M.R. Relationships between grain, flour, and dough quality characteristics and solvent retention capacity tests of twelve triticale cultivars and parental species. Food Chem. 2022, 371, 131283. [Google Scholar] [CrossRef] [PubMed]
- Sapirstein, H.D.; David, P.; Preston, K.R.; Dexter, J.E. Durum wheat breadmaking quality: Effects of gluten strength, protein composition, semolina particle size and fermentation time. J. Cereal Sci. 2007, 45, 150–161. [Google Scholar] [CrossRef]
- Codină, G.; Mironeasa, S.; Voica, D.; Mironeasa, C. Multivariate analysis of wheat flour dough sugars, gas production, and dough development at different fermentation times. Czech J. Food Sci. 2013, 31, 222–229. [Google Scholar] [CrossRef]
- Tebben, L.; Shen, Y.; Li, Y. Improvers and functional ingredients in whole wheat bread: A review of their effects on dough properties and bread quality. Trends Food Sci. Technol. 2018, 81, 10–24. [Google Scholar] [CrossRef]
- Atudorei, D.; Atudorei, O.; Codină, G.G. Dough Rheological Properties, Microstructure and Bread Quality of Wheat-Germinated Bean Composite Flour. Foods 2021, 10, 1542. [Google Scholar] [CrossRef]
- Purlis, E. Browning development in bakery products—A review. J. Food Eng. 2010, 99, 239–249. [Google Scholar] [CrossRef]
- Halagarda, M.; Miśniakiewicz, M. Nutritional vlue and sensory quality of rye and wheat-rye breads as influenced by traditional methods of their production. Towarozn. Probl. Jakości 2018, 3, 86–98. [Google Scholar]
- Katina, K.; Heino, R.L.; Autoi, K.; Poutanen, K. Optimization of sourdough proces for improved sensory profile and texture of wheat bread. LWT-Food Sci. Technol. 2006, 39, 1189–1202. [Google Scholar] [CrossRef]
- Marchetti, L.; Cardos, M.; Campana, L.; Ferrero, C. Effect of glutens of different quality on dough characteristics and breadmaking performance. LWT-Food Sci. Technol. 2012, 46, 224–231. [Google Scholar] [CrossRef]
- Barak, S.; Mudgil, D.; Khatkar, B. Effect of compositional variation of gluten proteins and rheological characteristics of wheat flour on the textural quality of white salted noodles. Int. J. Food Prop. 2014, 17, 731–740. [Google Scholar] [CrossRef]
- Guo, J.; Wang, F.; Zhang, Z.; Wu, D.; Bao, J. Characterization of gluten proteins in different parts of wheat grain and their effects on the textural quality of steamed bread. J. Cereal Sci. 2021, 102, 103368. [Google Scholar] [CrossRef]
- Zhu, Y.; Xiong, W.; Wang, L.; Ju, X. Insight into the effect of gluten-starch ratio on the properties of Chinese steamed bread (Mantou). Int. J. Biol. Macromol. 2020, 163, 1821–1827. [Google Scholar] [CrossRef]




| Parameters | Ingen 35 | Ingen 33 | Ingen 93 | Ingen 54 | Ingen 40 | Fanica | Costel |
|---|---|---|---|---|---|---|---|
| Moisture (%) | 12.2 ± 0.10 ab | 12.2 ± 0.05 a,b | 12.1 ± 0.10 a | 12.4 ± 0.10 b | 12.3 ± 0.10 a,b | 12.4 ± 0.10 b | 12.3 ± 0.1 a,b |
| Ash (%) | 1.6 ± 0.10 d | 1.7 ± 0.1 d | 1.8 ± 0.10 d | 1.5 ± 0.10 b | 1.7 ± 0.10 a | 1.5 ± 0.10 b | 1.7 ± 0.1 c |
| Protein (%) | 14.8 ± 0.10 f | 14.6 ± 0.1 g | 14.6 ± 0.10 b | 13.7 ± 0.10 c | 13.1 ± 0.10 a | 13.9 ± 0.10 d | 14.2 ± 0.1 e |
| Wet gluten (%) | 26.14 ± 0.10 b | 27.49 ± 0.2 b,c | 18.55 ± 0.10 b,c | 19.6 ± 0.10 d | 18.49 ± 0.10 c | 21.63 ± 0.10 b | 25.61 ± 0.1 a |
| Fat (%) | 1.3 ± 0.05 a,b | 1.36 ± 0.1 b | 1.35 ± 0.10 a,b | 1.7 ± 0.05 a | 1.46 ± 0.05 a,b | 1.31 ± 0.10 a | 1.07 ± 0.05 a,b |
| Carbohydrates (%) | 70.1 ± 0.05 a | 70.14 ± 0.10 a | 70.15 ± 0.10 a | 70.7 ± 0.10 b | 71.44 ± 0.10 c | 70.89 ± 0.10 b | 70.7 ± 0.05 b |
| Acidity (grade) | 2.9 ± 0.10 b | 2.7 ± 0.10 a,b | 2.7 ± 0.05 a,b | 3.2 ± 0.05 c | 3.9 ± 0.10 d | 3.4 ± 0.10 c | 2.5 ± 0.10 a |
| L* | 81.95 ± 1.45 c | 81.47 ± 0.73 b | 82.13 ± 0.69 d | 82.62 ± 0.47 e | 81.08 ± 0.56 a | 82.10 ± 0.76 d | 81.48 ± 0.59 b |
| a* | 2.01 ± 0.03 a | 2.11 ± 0.05 b | 2.30 ± 0.02 d | 2.23 ± 0.04 c | 2.39 ± 0.02 e | 2.43 ± 0.01 f | 2.51 ± 0.03 g |
| b* | 11.49 ± 0.15 d | 11.85 ± 0.13 e | 12.18 ± 0.09 f | 10.79 ± 0.11 a | 12.39 ± 0.13 g | 10.95 ± 0.09 b | 11.14 ± 0.06 c |
| Parameters | Ingen 35 | Ingen 33 | Ingen 93 | Ingen 54 | Ingen 40 | Fanica | Costel |
|---|---|---|---|---|---|---|---|
| WA (%) | 59.5 ± 0.05 b,c | 60.1 ± 0.1 d | 59.0 ± 0.2 b | 60.8 ± 0.2 e | 58.8 ± 0.2 a | 61.7 ± 0.1 f | 60.1 ± 0.1 d |
| ST (min) | 2.1 ± 0.01 b | 1.9 ± 0.01 a | 2.1 ± 0.02 b | 2.7 ± 0.01 d | 3.8 ± 0.01 e | 2.6 ± 0.02 c,d | 2.3 ± 0.01 b,c |
| DDT (min) | 2.63 ± 0.02 b | 2.48 ± 0.01 a | 2.70 ± 0.02 b | 3.23 ± 0.02 d | 4.08 ± 0.04 e | 2.9 ± 0.02 c | 2.70 ± 0.01 b |
| C1 (N∙m) | 1.121 ± 0.01 c | 1.145 ± 0.02 e | 1.134 ± 0.01 d | 1.082 ± 0.02 a | 1.097 ± 0.01 b | 1.119 ± 0.01 c | 1.146 ± 0.02 e |
| C2 (N∙m) | 0.363 ± 0.05 b | 0.374 ± 0.02 c | 0.371 ± 0.01 c | 0.358 ± 0.02 a,b | 0.390 ± 0.03 e | 0.419 ± 0.02 f | 0.383 ± 0.01 d |
| C3 (N∙m) | 1.51 ± 0.14 c | 1.58 ± 0.17 d | 1.57 ± 0.12 d | 1.58 ± 0.14 d | 1.71 ± 0.17 e | 1.31 ± 0.17 a | 1.36 ± 0.12 b |
| C4 (N∙m) | 0.41 ± 0.07 c | 0.24 ± 0.09 a | 0.35 ± 0.04 b | 0.65 ± 0.04 e | 0.47 ± 0.09 d | 0.26 ± 0.04 a | 0.24 ± 0.02 a |
| C5 (N∙m) | 0.82 ± 0.02 c | 0.44 ± 0.01 a | 0.65 ± 0.02 b | 1.34 ± 0.01 e | 0.98 ± 0.01 d | 0.48 ± 0.01 a | 0.44 ± 0.01 a |
| C12 (N∙m) | 0.758 ± 0.04 d | 0.771 ± 0.01 f | 0.763 ± 0.02 e | 0.734 ± 0.04 b | 0.707 ± 0.01 b | 0.700 ± 0.01 a | 0.763 ± 0.02 e |
| C32 (N∙m) | 1.147 ± 0.11 c | 1.206 ± 0.06 d | 1.199 ± 0.09 d | 1.222 ± 0.11 e | 1.320 ± 0.09 f | 0.891 ± 0.06 a | 0.977 ± 0.11 b |
| C34 (N∙m) | 1.100 ± 0.05 b,c | 1.340 ± 0.12 e | 1.220 ± 0.13 d | 0.930 ± 0.10 a | 1.240 ± 0.05 d | 1.050 ± 0.10 b | 1.120 ± 0.12 c |
| C54 (N∙m) | 0.410 ± 0.01 c | 0.200 ± 0.02 a | 0.300 ± 0.01 b | 0.690 ± 0.02 e | 0.510 ± 0.01 d | 0.220 ± 0.01 a | 0.200 ± 0.01 a |
| FN (s) | 63 ± 1.52 a | 70 ± 0.57 d | 67 ± 1.00 b | 63 ± 0.57 a | 67 ± 1.52 b,c | 67 ± 1.00 c | 64 ± 0.57 a,b |
| Triticale Samples | P (mm) | L (mm) | G (mm) | W (10−4 J) | P/L |
|---|---|---|---|---|---|
| Ingen 35 | 98 ± 1.00 b,c | 29 ± 1.15 d | 12.0 ± 0.28 d | 96 ± 2.00 c | 3.38 ± 0.02 b |
| Ingen 40 | 117 ± 2.5 d | 27 ± 1.00 c | 11.5 ± 0.30 c | 123 ± 2.00 e | 4.33 ± 0.03 d |
| Ingen 33 | 97 ± 1.00 b | 24 ± 1.00 a | 10.9 ± 0.15 a | 88 ± 1.00 b | 4.04 ± 0.12 c |
| Ingen 93 | 100 ± 2.00 b,c | 31 ± 2.00 e | 12.4 ± 2.00 e | 103 ± 2.00 d | 3.23 ± 0.04 a |
| Ingen 54 | 85 ± 2.00 a | 26 ± 1.00 b | 11.3 ± 0.46 b,c | 76 ± 2.00 a | 3.27 ± 0.03 a |
| Fanica | 127 ± 1.00 e | 26 ± 1.00 b | 11.3 ± 0.15 b,c | 127 ± 3.00 e,f | 4.88 ± 0.18 e |
| Costel | 104 ± 1.00 c | 24 ± 1.00 a | 10.9 ± 0.15 a | 97 ± 1.00 c | 4.33 ± 0.02 d |
| Dough Samples | H’m (mm) | VT (mL) | VR (mL) | CR (%) |
|---|---|---|---|---|
| Ingen 35 | 55.6 ± 0.6 a,b | 1187 ± 3 a | 989 ± 1 a | 83.3 ± 0.1 d,e |
| Ingen 40 | 54.8 ± 0.2 a | 1216 ± 5 b | 1006 ± 3 c | 82.7 ± 0.2 d |
| Ingen 33 | 58.8 ± 0.3 d | 1272 ± 3 c | 1029 ± 2 d | 80.9 ± 0.1 c |
| Ingen 93 | 57.9 ± 0.1 c,d | 1232 ± 1 b | 1002 ± 3 b,c | 81.3 ± 0.1 c |
| Ingen 54 | 64.1 ± 0.2 f | 1375 ± 2 e | 1071 ± 2 f | 77.9 ± 0.01 a |
| Fanica | 55.0 ± 0.1 a | 1223 ± 3 b | 1011 ± 1 c | 82.7 ± 0.3 d |
| Costel | 59.9 ± 0.1 e | 1307 ± 4 d | 1032 ± 3 d | 78.9 ± 0.10 a,b |
| Characteristics/Indicators | Triticale Bread Samples | ||||||
|---|---|---|---|---|---|---|---|
| Ingen 33 | Ingen 35 | Ingen 40 | Ingen 54 | Ingen 93 | Costel | Fanica | |
| Sensory characteristics | |||||||
| Total sensory score | 25.26 ± 0.04 b | 28.27 ± 0.16 e | 26.81 ± 0.21 d | 29.69 ± 0.08 f | 29.85 ± 0.03 f | 22.34 ± 0.13 a | 25.80 ± 0.11 c |
| Bread shape and volume | 3.87 ± 0.06 e | 3.56 ± 0.08 d | 2.74 ± 0.04 c | 3.76 ± 0.05 e | 4.00 ± 0.0 f | 2.11 ± 0.03 b | 1.95 ± 0.04 a |
| Crust appearance and color | 4.00 ± 0.0 d | 2.96 ± 0.03 c | 2.49 ± 0.04 b | 4.00 ± 0.0 d | 4.00 ± 0.0 d | 2.14 ± 0.06 a | 2.21 ± 0.03 a |
| Baking degree, state and appearance of bread core | 3.65 ± 0.08 a | 6.00 ± 0.0 b | 6.00 ± 0.0 b | 6.00 ± 0.0 b | 6.00 ± 0.0 b | 3.58 ± 0.04 a | 6.00 ± 0.0 b |
| Bread core porosity and pore structure | 3.85 ± 0.06 a | 5.81 ± 0.03 c,d | 5.64 ± 0.05 c | 5.93 ± 0.04 d | 5.85 ± 0.03 c,d | 4.65 ± 0.07 b | 5.74 ± 0.02 c |
| Odor | 3.95 ± 0.01 b,c | 3.98 ± 0.0 d | 3.96 ± 0.01 b,c,d | 4.00 ± 0.0 e | 4.00 ± 0.0 e | 3.91 ± 0.0 a | 3.97 ± 0.01 c,d |
| Taste | 5.94 ± 0.01 a,b,c | 5.96 ± 0.0 d | 5.98 ± 0.0 e | 6.00 ± 0.0 f | 6.00 ± 0.0 f | 5.95 ± 0.01 c,d | 5.93 ± 0.01 a,b |
| Physico-chemical indicators | |||||||
| Specific volume (cm3/100 g) | 265 ± 0.74 e | 259 ± 0.75 d | 243 ± 0.75 b | 229 ± 2.15 a | 248 ± 2.27 c | 228 ± 2.15 a | 246 ± 0.75 c |
| Porosity (%) | 55.8 ± 0.20 c | 62.4 ± 0.36 g | 59.5 ± 0.10 f | 52.6 ± 0.20 b | 57.7 ± 0.36 e | 51.3 ± 0.10 a | 56.6 ± 0.10 d |
| Acidity (grade) | 4.5 ± 0.10 d | 4.2 ± 0.10 b,c | 3.8 ± 0.20 a | 4.3 ± 0.10 c,d | 4.9 ± 0.10 e | 4.0 ± 0.10 a,b | 4.0 ± 0.10 a,b |
| Bread Samples | Hardness (N) | Gumminess (N) | Chewiness (N) | Cohesiveness (Adimensional) | Resilience (Adimensional) |
|---|---|---|---|---|---|
| Ingen 35 | 29.20 ± 0.01 b | 19.37 ± 0.01 a,b | 19.31 ± 0.01 a | 0.66 ± 0.01 a,b | 0.36 ± 0.01 a,b |
| Ingen 33 | 23.45 ± 0.02 a | 19.17 ± 0.01 a,b | 19.14 ± 0.01 a | 0.82 ± 0.01 e | 0.42 ± 0.01 d |
| Ingen 93 | 41.29 ± 0.01 f | 30.17 ± 0.02 e | 30.18 ± 0.02 e | 0.73 ± 0.01 d | 0.37 ± 0.01 b |
| Ingen 54 | 37.80 ± 0.02 e | 30.77 ± 0.01 e,f | 30.83 ± 0.01 f | 0.81 ± 0.01 e | 0.51 ± 0.00 e |
| Ingen 40 | 43.57 ± 0.01 g | 29.51 ± 0.01 e | 29.51 ± 0.01 e | 0.68 ± 0.01 a,b,c | 0.40 ± 0.01 c |
| Fanica | 35.81 ± 0.01 d | 24.20 ± 0.02 d | 24.15 ± 0.02 d | 0.69 ± 0.01 c | 0.36 ± 0.00 a |
| Costel | 31.51 ± 0.01 c | 21.90 ± 0.01 b,c | 21.81 ± 0.01 c | 0.81 ± 0.01 a,b | 0.36 ± 0.00 a |
Disclaimer/Publisher’s Note: The statements, opinions and data contained in all publications are solely those of the individual author(s) and contributor(s) and not of MDPI and/or the editor(s). MDPI and/or the editor(s) disclaim responsibility for any injury to people or property resulting from any ideas, methods, instructions or products referred to in the content. |
© 2024 by the authors. Licensee MDPI, Basel, Switzerland. This article is an open access article distributed under the terms and conditions of the Creative Commons Attribution (CC BY) license (https://creativecommons.org/licenses/by/4.0/).
Share and Cite
Ghendov-Mosanu, A.; Popa, N.; Paiu, S.; Boestean, O.; Bulgaru, V.; Leatamborg, S.; Lupascu, G.; Codină, G.G. Breadmaking Quality Parameters of Different Varieties of Triticale Cultivars. Foods 2024, 13, 1671. https://doi.org/10.3390/foods13111671
Ghendov-Mosanu A, Popa N, Paiu S, Boestean O, Bulgaru V, Leatamborg S, Lupascu G, Codină GG. Breadmaking Quality Parameters of Different Varieties of Triticale Cultivars. Foods. 2024; 13(11):1671. https://doi.org/10.3390/foods13111671
Chicago/Turabian StyleGhendov-Mosanu, Aliona, Nicolae Popa, Sergiu Paiu, Olga Boestean, Viorica Bulgaru, Svetlana Leatamborg, Galina Lupascu, and Georgiana Gabriela Codină. 2024. "Breadmaking Quality Parameters of Different Varieties of Triticale Cultivars" Foods 13, no. 11: 1671. https://doi.org/10.3390/foods13111671
APA StyleGhendov-Mosanu, A., Popa, N., Paiu, S., Boestean, O., Bulgaru, V., Leatamborg, S., Lupascu, G., & Codină, G. G. (2024). Breadmaking Quality Parameters of Different Varieties of Triticale Cultivars. Foods, 13(11), 1671. https://doi.org/10.3390/foods13111671

