Sign in to use this feature.

Years

Between: -

Subjects

remove_circle_outline
remove_circle_outline
remove_circle_outline
remove_circle_outline
remove_circle_outline

Journals

Article Types

Countries / Regions

Search Results (13)

Search Parameters:
Keywords = RSOA

Order results
Result details
Results per page
Select all
Export citation of selected articles as:
41 pages, 2553 KB  
Review
Advances in Semiconductor Optical Amplifier Technologies for All-Optical Logic Gate Implementations: A Comprehensive Review
by Jiali Cui, Kyriakos E. Zoiros and Amer Kotb
Nanomaterials 2026, 16(3), 202; https://doi.org/10.3390/nano16030202 - 4 Feb 2026
Cited by 1 | Viewed by 722
Abstract
Semiconductor optical amplifiers (SOAs) are central to the development of ultrafast, low-power all-optical signal processing systems. Their strong nonlinear response, compact size, and compatibility with photonic integration platforms make them key enablers for implementing all-optical logic functions beyond the limitations of electronic switching. [...] Read more.
Semiconductor optical amplifiers (SOAs) are central to the development of ultrafast, low-power all-optical signal processing systems. Their strong nonlinear response, compact size, and compatibility with photonic integration platforms make them key enablers for implementing all-optical logic functions beyond the limitations of electronic switching. This review offers a comprehensive analysis of the principal SOA technologies used in all-optical logic gate implementations, including conventional bulk and quantum well SOAs, quantum dot SOAs (QD-SOAs), photonic crystal SOAs (PhC-SOAs), reflective SOAs (RSOAs), and carrier reservoir SOAs (CR-SOAs). For each architecture, we examine the carrier dynamics, gain recovery mechanisms, saturation behavior, and fabrication considerations, together with their associated nonlinear effects such as cross-gain modulation, cross-phase modulation, and four-wave mixing. We further evaluate reported implementations of key logic operations—AND, NAND, OR, NOR, XOR, and XNOR—highlighting performance trade-offs in terms of speed, extinction ratio, operational power, integration complexity, and scalability. The review concludes with current challenges and emerging research directions aimed at realizing fully integrated, high-speed, and energy-efficient all-optical logic systems based on next-generation SOA technologies. Full article
Show Figures

Figure 1

12 pages, 3771 KB  
Article
Reflective Semiconductor Optical Amplifier Chip with Low Ripple for C-Band External Cavity Narrow-Linewidth Laser
by Shaojie Li, Haiyang Yu, Haotian Bao, Menghan Ren, Jianguo Liu, Zeqiu Liu and Yulian Cao
Photonics 2025, 12(3), 193; https://doi.org/10.3390/photonics12030193 - 25 Feb 2025
Cited by 1 | Viewed by 1884
Abstract
The main characteristic of a reflective semiconductor optical amplifier chip (RSOA) is that it does not generate optical resonance under electric pumping and maintains the operation state of spontaneous emission. In this paper, a Nb2O5/SiO2/Nb2O [...] Read more.
The main characteristic of a reflective semiconductor optical amplifier chip (RSOA) is that it does not generate optical resonance under electric pumping and maintains the operation state of spontaneous emission. In this paper, a Nb2O5/SiO2/Nb2O5/SiO2 (four-layer Nb2O5/SiO2) film system is employed as the coating material for the output facet of the RSOA. The 3 dB spectral width of the spontaneous emission spectrum from this RSOA reaches 79.4 nm, with a ripple of less than 1 dB occurring across this wavelength range. Notably, around the 1550 nm wavelength, the ripple is as low as 0.5 dB. This represents the best performance reported for this type of chip. The RSOA is packaged as a narrow-linewidth external cavity laser. Under test conditions of 25 °C and 180 mA, the external cavity laser produces an output power of 12.6 mW and achieves a linewidth of 299.8 Hz. Furthermore, by adjusting the Fabry–Pérot (FP) standard cavity, filtering, and other external cavity parameters, the lasing spectrum of the narrow-linewidth external cavity laser based on the RSOA is tunable across a wavelength range from 1535.83 nm to 1561.42 nm, which shows the usability of the proposed ROSA for a C-band external cavity narrow-linewidth laser. Full article
Show Figures

Figure 1

17 pages, 4724 KB  
Article
Multi-Object Detection and Tracking Using Reptile Search Optimization Algorithm with Deep Learning
by Ramachandran Alagarsamy and Dhamodaran Muneeswaran
Symmetry 2023, 15(6), 1194; https://doi.org/10.3390/sym15061194 - 2 Jun 2023
Cited by 5 | Viewed by 2854
Abstract
Multiple-Object Tracking (MOT) has become more popular because of its commercial and academic potential. Though various techniques were devised for managing this issue, it becomes a challenge because of factors such as severe object occlusions and abrupt appearance changes. Tracking presents the optimal [...] Read more.
Multiple-Object Tracking (MOT) has become more popular because of its commercial and academic potential. Though various techniques were devised for managing this issue, it becomes a challenge because of factors such as severe object occlusions and abrupt appearance changes. Tracking presents the optimal outcomes whenever the object moves uniformly without occlusion and in the same direction. However, this is generally not a real scenario, particularly in complicated scenes such as dance events or sporting where a greater number of players are tracked, moving quickly, varying their speed and direction, along with distance and position from the camera and activity they are executing. In dynamic scenes, MOT remains the main difficulty due to the symmetrical shape, structure, and size of the objects. Therefore, this study develops a new reptile search optimization algorithm with deep learning-based multiple object detection and tracking (RSOADL–MODT) techniques. The presented RSOADL–MODT model intends to recognize and track the objects that exist with position estimation, tracking, and action recognition. It follows a series of processes, namely object detection, object classification, and object tracking. At the initial stage, the presented RSOADL–MODT technique applies a path-augmented RetinaNet-based (PA–RetinaNet) object detection module, which improves the feature extraction process. To improvise the network potentiality of the PA–RetinaNet method, the RSOA is utilized as a hyperparameter optimizer. Finally, the quasi-recurrent neural network (QRNN) classifier is exploited for classification procedures. A wide-ranging experimental validation process takes place on DanceTrack and MOT17 datasets for examining the effectual object detection outcomes of the RSOADL–MODT algorithm. The simulation values confirmed the enhancements of the RSOADL–MODT method over other DL approaches. Full article
Show Figures

Figure 1

19 pages, 5605 KB  
Article
Switchable Ultra-Wideband All-Optical Quantum Dot Reflective Semiconductor Optical Amplifier
by Farshad Serat Nahaei, Ali Rostami, Hamit Mirtagioglu, Amir Maghoul and Ingve Simonsen
Nanomaterials 2023, 13(4), 685; https://doi.org/10.3390/nano13040685 - 10 Feb 2023
Cited by 4 | Viewed by 3327
Abstract
A comprehensive study has been conducted on ultra-broadband optically pumped quantum dot (QD) reflective semiconductor optical amplifiers (QD-RSOAs). Furthermore, little work has been done on broadband QD-RSOAs with an optical pump. About 1 μm optical bandwidth, spanning 800 nm up to 1800 nm, [...] Read more.
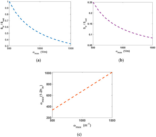
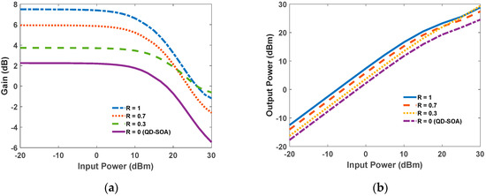
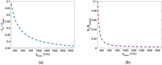
A comprehensive study has been conducted on ultra-broadband optically pumped quantum dot (QD) reflective semiconductor optical amplifiers (QD-RSOAs). Furthermore, little work has been done on broadband QD-RSOAs with an optical pump. About 1 μm optical bandwidth, spanning 800 nm up to 1800 nm, is supported for the suggested device by superimposing nine groups of QDs. It has been shown that the device can be engineered to amplify a selected window or a group of desired windows. Moreover, the operation of the device has been thoroughly investigated by solving the coupled differential rate and signal propagation equations. A numerical algorithm has been suggested to solve these equations. As far as we are concerned, a broadband optically pumped QD-RSOA that can operate as a filter has been introduced. Full article
Show Figures

Figure 1

13 pages, 2372 KB  
Article
Quantum Dot Reflective Semiconductor Optical Amplifiers: Optical Pumping Compared with Electrical Pumping
by Farshad Serat Nahaei, Ali Rostami and Peyman Mirtaheri
Nanomaterials 2022, 12(13), 2143; https://doi.org/10.3390/nano12132143 - 22 Jun 2022
Cited by 8 | Viewed by 2625
Abstract
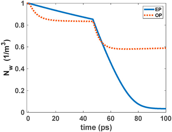
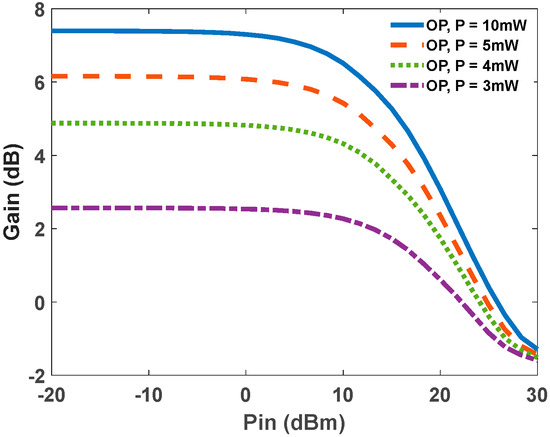
A comprehensive study has been conducted on quantum dot reflective semiconductor optical amplifiers (QD-RSOAs) with optical pumps (OPs). Moreover, few studies have been completed on OP-based QD-RSOAs. A comparison is made between them and QD-RSOAs with electrical pumps (EPs) in this study. It [...] Read more.
A comprehensive study has been conducted on quantum dot reflective semiconductor optical amplifiers (QD-RSOAs) with optical pumps (OPs). Moreover, few studies have been completed on OP-based QD-RSOAs. A comparison is made between them and QD-RSOAs with electrical pumps (EPs) in this study. It is shown that the dynamical properties of the device can significantly develop in the optical pumping version. The optical properties are studied for both methods. Moreover, by solving the coupled differential rate and signal propagation equations, the operation of the device in the pulse mode is investigated. Finally, it is proven that OP QD-RSOAs can perform significantly better in applications such as fast all-optical signal processing and wavelength division multiplexing in passive optical networks. Full article
Show Figures

Figure 1

14 pages, 9399 KB  
Article
On Optically Modulated Reflective Semiconductor Optical Amplifier Pattern-Dependent Overshoot Mitigation Using a Birefringent Fiber Loop
by Nikolaos Avgenos, Kyriakos E. Zoiros and Zoe V. Rizou
Photonics 2022, 9(4), 248; https://doi.org/10.3390/photonics9040248 - 9 Apr 2022
Cited by 1 | Viewed by 2330
Abstract
Reflective semiconductor optical amplifiers (RSOAs) are key elements for modern optical communications. Despite their widespread deployment, their performance when intended for ultrafast data amplification is limited by their inherently slow gain dynamics. In this paper, we propose to employ a birefringent fiber loop [...] Read more.
Reflective semiconductor optical amplifiers (RSOAs) are key elements for modern optical communications. Despite their widespread deployment, their performance when intended for ultrafast data amplification is limited by their inherently slow gain dynamics. In this paper, we propose to employ a birefringent fiber loop (BFL) to compensate for the RSOA pattern-dependent behavior and extend its operation well beyond that allowed by its nominal optical modulation bandwidth. We apply a reduced model to describe the RSOA response and quantify the RSOA output distortion by means of a non-return-to-zero data pulse overshoot. We validate the outcomes of this model in the time domain both for the RSOA alone and with the assistance of the BFL by an extensive comparison to available measurements. The excellent matching between simulation and experimental results allows us to further investigate the impact of critical operating parameters and derive specifications for them so that the performance of the scheme against the overshoot is made acceptable. The theoretical predictions confirm the ability of the BFL to enhance the RSOA direct amplification capability and hence establish it as a frequency discriminator for complementing RSOAs’ versatile and scalable operation. Full article
Show Figures

Figure 1

15 pages, 17763 KB  
Article
On Directly Modulated Reflective Semiconductor Optical Amplifier with Assistance of Birefringent Fiber Loop
by Fokion N. Karadimoglou, Kyriakos E. Zoiros, Zoe V. Rizou and Antonios Hatziefremidis
Photonics 2022, 9(3), 147; https://doi.org/10.3390/photonics9030147 - 2 Mar 2022
Cited by 1 | Viewed by 3380
Abstract
Reflective Semiconductor Optical Amplifiers (RSOAs) are essential devices for the development of new generation networks that rely on the convergence of optical and RF communications. Despite their proven potential for direct modulation, RSOAs’ electro-optic response is limited by their finite bandwidth, which hinders [...] Read more.
Reflective Semiconductor Optical Amplifiers (RSOAs) are essential devices for the development of new generation networks that rely on the convergence of optical and RF communications. Despite their proven potential for direct modulation, RSOAs’ electro-optic response is limited by their finite bandwidth, which hinders their employment both for signal amplification and modulation at the data rates envisioned by the target applications. In this paper, we elaborate on exploiting a Birefringent Fiber Loop (BFL) to enhance the operation of RSOAs as intensity modulators. We apply a mathematically and computationally reduced model to simulate the RSOA response in the time domain, and correlate it with that of the BFL in the frequency domain. We validate the model’s predictions by an extensive comparison of the simulation against experimental results. The reasonable theoretical findings allow us to establish the employed model as an efficient tool for describing electrically driven RSOA operation and its improvement by means of optical notch filtering. Furthermore, we evaluate and quantify the performance of the scheme and the potential range of RSOA direct modulation capability extension enabled by the BFL, which complies with the experimentally observed trends. The outcomes of this thorough study highlight the BFL supportive role in rendering feasible RSOAs’ direct modulation at data rates beyond those deemed possible by their nominal modulation bandwidth. Full article
Show Figures

Figure 1

9 pages, 3728 KB  
Article
Self-Start Multi-Wavelength Laser Source with Tunable Delay-Line Interferometer and Optical Fiber Reflector for Wireless Communication System
by Amare-Mulatie Dehnaw, Run-Kai Shiu, Ruei-Bin Chen, Jyun-Wei Li, Yibeltal-Chanie Manie, Hsing-Chih Liang and Peng-Chun Peng
Appl. Sci. 2021, 11(20), 9553; https://doi.org/10.3390/app11209553 - 14 Oct 2021
Cited by 4 | Viewed by 2590
Abstract
The radio-over-fiber (RoF) technique has gained a lot of interest recently, as the millimeter-wave signals can be generated and delivered in the optical domain with the advantages of low attenuation, high capacity, and being free from electromagnetic noise interference (EMI). In this paper, [...] Read more.
The radio-over-fiber (RoF) technique has gained a lot of interest recently, as the millimeter-wave signals can be generated and delivered in the optical domain with the advantages of low attenuation, high capacity, and being free from electromagnetic noise interference (EMI). In this paper, we propose and experimentally prove a self-start multi-wavelength laser source based on a distributed feedback laser diode (DFB-LD) for the RoF transport system. The self-start multi-wavelength laser source generates stable laser power with less than 0.18 dB power fluctuation and exhibits good stability. In order to estimate the transmission performance, data is externally modulated onto the multi-wavelength by a reflective semiconductor optical amplifier (RSOA) and transmitted through single-mode fiber (SMF). The experimental result proves that the proposed RoF transport system achieves error-free transmission and clear eye diagrams. Full article
Show Figures

Figure 1

9 pages, 1212 KB  
Article
Study of the Effects of Cavity Mode Spacing on Mode-Hopping in III–V/Si Hybrid Photonic Crystal Lasers
by Praveen K. J. Singaravelu, Sharon M. Butler, Robert N. Sheehan, Alexandros A. Liles, Stephen P. Hegarty and Liam O’Faolain
Crystals 2021, 11(8), 848; https://doi.org/10.3390/cryst11080848 - 22 Jul 2021
Viewed by 3584
Abstract
We present a design methodology for hybrid lasers to realise mode-hop free operation by controlling the cavity mode spacing. In this study, a compact hybrid photonic crystal laser (H-PhCL) was employed which allowed a reduction of the Fabry–Perot length of the laser cavity [...] Read more.
We present a design methodology for hybrid lasers to realise mode-hop free operation by controlling the cavity mode spacing. In this study, a compact hybrid photonic crystal laser (H-PhCL) was employed which allowed a reduction of the Fabry–Perot length of the laser cavity and eliminated the need for an active mode stabilisation mechanism in order to realise mode-hop free operation. The H-PhCL was formed by butt-coupling a reflective semiconductor optical amplifier (RSOA) with a two-dimensional silicon (Si) photonic crystal (PhC) cavity. Continuous stable single frequency operation with >40 dB side-mode suppression ratio (SMSR) of the laser was achieved for gain currents of up to 100 mA, i.e., up to four times the threshold current. The shorter length of the laser cavity enabled single frequency operation due to the selection of a single longitudinal mode by the PhC narrowband reflector. Various longitudinal mode spacing regimes were studied to explain the mode-hop free characteristics of the H-PhCL. The proposed hybrid laser design methodologies can be adapted to eliminate mode-hopping in laser wavelength. Full article
(This article belongs to the Special Issue Photonic Crystal Lasers)
Show Figures

Graphical abstract

12 pages, 3662 KB  
Article
Polarization-Discriminated RSOA–EAM for Colorless Transmitter in WDM–PON
by Chengliang Zuo and Xun Li
Appl. Sci. 2020, 10(24), 9049; https://doi.org/10.3390/app10249049 - 18 Dec 2020
Cited by 5 | Viewed by 3011
Abstract
The integrated reflective semiconductor optical amplifier (RSOA) and electro-absorption modulator (EAM) is viewed as an appealing solution to the colorless transmitter on the optical network unit (ONU) side of wavelength-division multiplexed (WDM) passive optical networks (PONs), for its broad modulation bandwidth and high [...] Read more.
The integrated reflective semiconductor optical amplifier (RSOA) and electro-absorption modulator (EAM) is viewed as an appealing solution to the colorless transmitter on the optical network unit (ONU) side of wavelength-division multiplexed (WDM) passive optical networks (PONs), for its broad modulation bandwidth and high optical gain. However, the conventional RSOA–EAM usually exhibits a poor upstream signal eye-diagram because it can hardly simultaneously saturate the downstream signal and boost the upstream signal as required. By exploiting the polarization-depended RSOA gain, we propose a polarization-discriminated RSOA–EAM to improve the quality of the upstream signal eye-diagram. In this device, the transverse electric polarized downstream signal is saturated by the high gain in the RSOA active region made of compressively strained multiple quantum wells, whereas the upstream signal is linearly amplified after polarization rotation. We find that, as the quality of the upstream signal eye-diagram improves with an increased polarization rotation angle, its power drops, which indicates that there exists an optimized rotation angle to reach a compromise between the upstream signal integrity and power. Simulation results show that the dynamic extinction ratio and output power of the upstream signal can reach 8.3 dB and 11 dBm, respectively, through the proposed device with its rotation angle set at an optimum value (80°), which exceeds the specification (6 dB and 4 dBm) of the upstream transmitter as required by the next-generation PON stage two. The quality of the upstream signal eye-diagram measured in Q-factor is improved by 10 dB compared to the conventional RSOA–EAM design without polarization rotation introduced. Full article
(This article belongs to the Special Issue Fiber Optic Communication)
Show Figures

Figure 1

17 pages, 6102 KB  
Article
Theoretical Analysis of Directly Modulated Reflective Semiconductor Optical Amplifier Performance Enhancement by Microring Resonator-Based Notch Filtering
by Zoe V. Rizou and Kyriakos E. Zoiros
Appl. Sci. 2018, 8(2), 223; https://doi.org/10.3390/app8020223 - 1 Feb 2018
Cited by 19 | Viewed by 5264
Abstract
We demonstrate the feasibility of using a single microring resonator (MRR) as optical notch filter for enabling the direct modulation of a reflective semiconductor optical amplifier (RSOA) at more than tripled data rate than possible with the RSOA alone. We conduct a thorough [...] Read more.
We demonstrate the feasibility of using a single microring resonator (MRR) as optical notch filter for enabling the direct modulation of a reflective semiconductor optical amplifier (RSOA) at more than tripled data rate than possible with the RSOA alone. We conduct a thorough simulation analysis to investigate and assess the impact of critical operating parameters on defined performance metrics, and we specify how the former must be selected so that the latter can become acceptable. By using an MRR of appropriate radius and detuning, the RSOA modulation bandwidth, which we explicitly quantify, can be extended to overcome the RSOA pattern-dependent performance limitations. Thus, the MRR makes the RSOA-encoded signal exhibit improved characteristics that can be exploited in practical RSOA direct modulation applications. Full article
(This article belongs to the Special Issue Applications of Semiconductor Optical Amplifiers)
Show Figures

Figure 1

17 pages, 2279 KB  
Article
Bit- and Power-Loading—A Comparative Study on Maximizing the Capacity of RSOA Based Colorless DMT Transmitters
by Simon Arega Gebrewold, Romain Bonjour, Romain Brenot, David Hillerkuss and Juerg Leuthold
Appl. Sci. 2017, 7(10), 999; https://doi.org/10.3390/app7100999 - 27 Sep 2017
Cited by 5 | Viewed by 6158
Abstract
We present a comparative study of the capacity increase brought by bit- and power-loading discrete multi-tone (DMT) modulation for low-cost colorless transmitters. Three interesting reflective semiconductor optical amplifier (RSOA) based colorless transmitter configurations are compared: First, an amplified spontaneous emission (ASE) spectrum-sliced source; [...] Read more.
We present a comparative study of the capacity increase brought by bit- and power-loading discrete multi-tone (DMT) modulation for low-cost colorless transmitters. Three interesting reflective semiconductor optical amplifier (RSOA) based colorless transmitter configurations are compared: First, an amplified spontaneous emission (ASE) spectrum-sliced source; second, a self-seeded RSOA fiber cavity laser (FCL) and third, an externally seeded RSOA. With bit- and power-loaded DMT, we report record high line rates of 6.25, 20.1 and 30.7 Gbit/s and line rates of 4.17, 10.1 and 24.5 Gbit/s in a back-to-back and in a 25 km nonzero dispersion shifted fiber (NZDSF) transmission experiments for the three transmitter configurations, respectively. In all the experiments, BER (bit error ratios) below an FEC (forward error correction) limit of 7.5 × 10−3 were achieved. Full article
(This article belongs to the Special Issue Applications of Semiconductor Optical Amplifiers)
Show Figures

Graphical abstract

20 pages, 726 KB  
Article
Self-Seeded RSOA-Fiber Cavity Lasers vs. ASE Spectrum-Sliced or Externally Seeded Transmitters—A Comparative Study
by Simon A. Gebrewold, Romain Bonjour, Sophie Barbet, Anaelle Maho, Romain Brenot, Philippe Chanclou, Marco Brunero, Lucia Marazzi, Paola Parolari, Angelina Totovic, Dejan Gvozdic, David Hillerkuss, Christian Hafner and Juerg Leuthold
Appl. Sci. 2015, 5(4), 1922-1941; https://doi.org/10.3390/app5041922 - 17 Dec 2015
Cited by 8 | Viewed by 7479
Abstract
Reflective semiconductor optical amplifier fiber cavity lasers (RSOA-FCLs) are appealing, colorless, self-seeded, self-tuning and cost-efficient upstream transmitters. They are of interest for wavelength division multiplexed passive optical networks (WDM-PONs) based links. In this paper, we compare RSOA-FCLs with alternative colorless sources, namely the [...] Read more.
Reflective semiconductor optical amplifier fiber cavity lasers (RSOA-FCLs) are appealing, colorless, self-seeded, self-tuning and cost-efficient upstream transmitters. They are of interest for wavelength division multiplexed passive optical networks (WDM-PONs) based links. In this paper, we compare RSOA-FCLs with alternative colorless sources, namely the amplified spontaneous emission (ASE) spectrum-sliced and the externally seeded RSOAs. We compare the differences in output power, signal-to-noise ratio (SNR), relative intensity noise (RIN), frequency response and transmission characteristics of these three sources. It is shown that an RSOA-FCL offers a higher output power over an ASE spectrum-sliced source with SNR, RIN and frequency response characteristics halfway between an ASE spectrum-sliced and a more expensive externally seeded RSOA. The results show that the RSOA-FCL is a cost-efficient WDM-PON upstream source, borrowing simplicity and cost-efficiency from ASE spectrum slicing with characteristics that are, in many instances, good enough to perform short-haul transmission. To substantiate our statement and to quantitatively compare the potential of the three schemes, we perform data transmission experiments at 5 and 10 Gbit/s. Full article
(This article belongs to the Special Issue Fibre Lasers: From Underlying Science and Technology to Applications)
Show Figures

Graphical abstract

Back to TopTop