Quantum Dot Reflective Semiconductor Optical Amplifiers: Optical Pumping Compared with Electrical Pumping
Abstract
:1. Introduction
2. Concept and Modelling
2.1. Rate and Signal Propagation Equations
2.2. Dynamic Algorithm
3. Results and Discussion
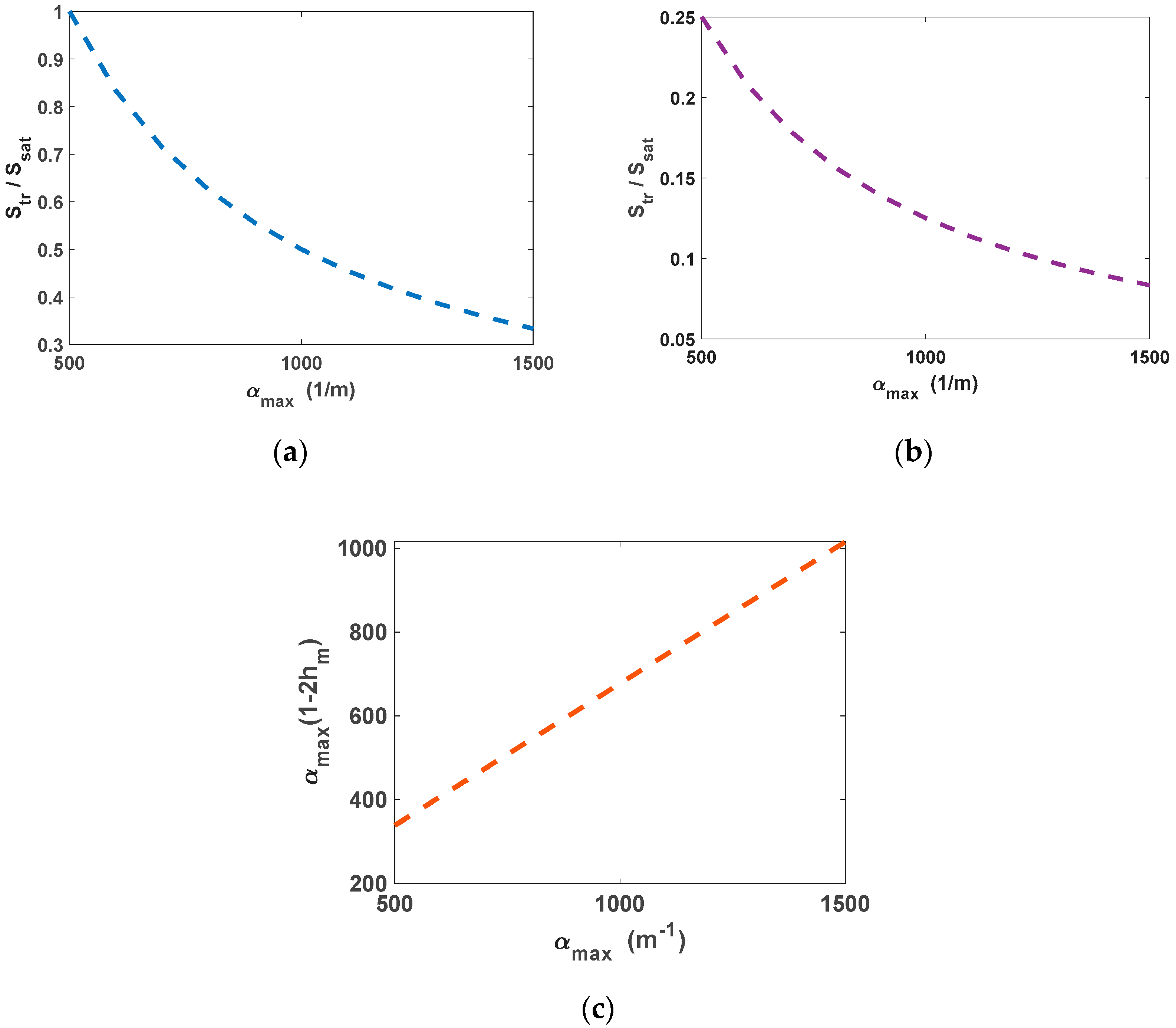
3.1. Continous Wave Operation Mode
3.2. Pulse Operation Mode
| Symbol | Value | Description |
|---|---|---|
| L | 2 mm | RSOA length |
| H | 0.25 µm | Height of the RSOA |
| W | 4 µm | Width of the RSOA |
| gmax | 1400 m−1 | Maximum modal gain |
| αmax | 1000 m−1 | The maximum modal absorption coefficient |
| αint | 200 m−1 | Material absorption coefficient |
| τwr | 0.2 ns | Recombination lifetime for WL |
| τgr | 0.4 ns | Recombination lifetime for GS |
| τwe | 3 ps | Relaxation lifetime from WL to ES |
| τew | 1 ns | Escape lifetime from ES to WL |
| τeg | 0.16 ps | Relaxation lifetime from ES to GS |
| τeg | 1.2 ps | Escape lifetime from GS to ES |
4. Conclusions
Author Contributions
Funding
Institutional Review Board Statement
Informed Consent Statement
Data Availability Statement
Conflicts of Interest
References
- Sugawara, M.; Akiyama, T.; Hatori, N.; Nakata, Y.; Ebe, H.; Ishikawa, H. Quantum-Dot Semiconductor Optical Amplifiers for High-Bit-Rate Signal Processing up to 160 Gb S-1 and a New Scheme of 3r Regenerators. Meas. Sci. Technol. 2002, 13, 1683. [Google Scholar] [CrossRef]
- Ezra, Y.B.; Lembrikov, B.; Haridim, M. Ultrafast all-optical processor based on quantum-dot semiconductor optical amplifiers. IEEE J. Quantum Electron. 2008, 45, 34–41. [Google Scholar] [CrossRef]
- Nahaei, F.S.; Rostami, A.; Matloub, S. Selective band amplification in ultra-broadband superimposed quantum dot reflective semiconductor optical amplifiers. Appl. Opt. 2022, 61, 4509–4517. [Google Scholar] [CrossRef]
- Uskov, A.V.; Berg, T.W.; Mrk, J. Theory of pulse-train amplification without patterning effects in quantum-dot semiconductor optical amplifiers. IEEE J. Quantum Electron. 2004, 40, 306–320. [Google Scholar] [CrossRef]
- Eliseev, P.G.; Van Luc, V. Semiconductor optical amplifiers: Multifunctional possibilities, photoresponse and phase shift properties. Pure Appl. Opt. J. Eur. Opt. Soc. Part A 1995, 4, 295. [Google Scholar] [CrossRef]
- Saini, S.S.; Bowser, J.L.; Luciani, V.K.; Heim, P.J.; Dagenais, M. Semiconductor Optical Amplifier Having a Non-Uniform Injection Current Density. U.S. Patent 20060268397A1, 15 April 2008. [Google Scholar]
- Bjorlin, E.S.; Riou, B.; Abraham, P.; Piprek, J.; Chiu, Y.-Y.; Black, K.A.; Keating, A.; Bowers, J.E. Long wavelength vertical-cavity semiconductor optical amplifiers. IEEE J. Quantum Electron. 2001, 37, 274–281. [Google Scholar] [CrossRef]
- Jayaraman, V.; Goodnough, T.; Beam, T.; Ahedo, F.; Maurice, R. Continuous-wave operation of single-transverse-mode 1310-nm VCSELs up to 115/spl deg/C. IEEE Photonics Technol. Lett. 2000, 12, 1595–1597. [Google Scholar] [CrossRef]
- Zhou, P.; Zhan, W.; Mukaikubo, M.; Nakano, Y.; Tanemura, T. Reflective semiconductor optical amplifier with segmented electrodes for high-speed self-seeded colorless transmitter. Opt. Express 2017, 25, 28547–28555. [Google Scholar] [CrossRef]
- Totović, A.R.; Crnjanski, J.V.; Krstić, M.M.; Gvozdić, D.M. Numerical study of the small-signal modulation bandwidth of reflective and traveling-wave SOAs. J. Lightwave Technol. 2015, 33, 2758–2764. [Google Scholar] [CrossRef]
- Jin, C.; Shevchenko, N.A.; Li, Z.; Popov, S.; Chen, Y.; Xu, T. Nonlinear coherent optical systems in the presence of equalization enhanced phase noise. J. Lightwave Technol. 2021, 39, 4646–4653. [Google Scholar] [CrossRef]
- Berg, T.W.; Mork, J. Saturation and noise properties of quantum-dot optical amplifiers. IEEE J. Quantum Electron. 2004, 40, 1527–1539. [Google Scholar] [CrossRef] [Green Version]
- Yin, Y.; Ling, Y.; Li, H.; Du, X.; Qiu, K. High order demodulation scheme based on R-QDSOA at colorless ONU. In Proceedings of the 2017 16th International Conference on Optical Communications and Networks (ICOCN), Wuzhen, China, 7–10 August 2017; pp. 1–3. [Google Scholar]
- Kim, J.; Laemmlin, M.; Meuer, C.; Bimberg, D.; Eisenstein, G. Theoretical and experimental study of high-speed small-signal cross-gain modulation of quantum-dot semiconductor optical amplifiers. IEEE J. Quantum Electron. 2009, 45, 240–248. [Google Scholar] [CrossRef]
- Kim, J.; Laemmlin, M.; Meuer, C.; Bimberg, D.; Eisenstein, G. Static gain saturation model of quantum-dot semiconductor optical amplifiers. IEEE J. Quantum Electron. 2008, 44, 658–666. [Google Scholar] [CrossRef]
- Huang, L.; Hong, W.; Jiang, G. All-optical power equalization based on a two-section reflective semiconductor optical amplifier. Opt. Express 2013, 21, 4598–4611. [Google Scholar] [CrossRef] [PubMed]
- Uskov, A.; McInerney, J.; Adler, F.; Schweizer, H.; Pilkuhn, M. Auger carrier capture kinetics in self-assembled quantum dot structures. Appl. Phys. Lett. 1998, 72, 58–60. [Google Scholar] [CrossRef]
- Bhattacharya, P.; Klotzkin, D.; Qasaimeh, O.; Zhou, W.; Krishna, S.; Zhu, D. High-speed modulation and switching characteristics of In (Ga) As-Al (Ga) As self-organized quantum-dot lasers. IEEE J. Sel. Top. Quantum Electron. 2000, 6, 426–438. [Google Scholar] [CrossRef]
- Qasaimeh, O. Characteristics of cross-gain (XG) wavelength conversion in quantum dot semiconductor optical amplifiers. IEEE Photonics Technol. Lett. 2004, 16, 542–544. [Google Scholar] [CrossRef]
- Rostami, A.; Nejad, H.B.A.; Qartavol, R.M.; Saghai, H.R. Tb/s optical logic gates based on quantum-dot semiconductor optical amplifiers. IEEE J. Quantum Electron. 2010, 46, 354–360. [Google Scholar] [CrossRef]
- Steiner, T.D. Semiconductor Nanostructures for Optoelectronic Applications; Artech House: Boston, MA, USA, 2004. [Google Scholar]
- Vujičić, Z.; Dionísio, R.P.; Shahpari, A.; Pavlović, N.B.; Teixeira, A. Efficient dynamic modeling of the reflective semiconductor optical amplifier. IEEE J. Sel. Top. Quantum Electron. 2013, 19, 1–10. [Google Scholar] [CrossRef]
- Li, X. Optoelectronic Devices: Design, Modeling, and Simulation; Cambridge University Press: Cambridge, UK, 2009. [Google Scholar]
- Anzabi, K.S.; Habibzadeh-Sharif, A.; Connelly, M.J.; Rostami, A. Wideband steady-state and pulse propagation modeling of a reflective quantum-dot semiconductor optical amplifier. J. Lightwave Technol. 2020, 38, 797–803. [Google Scholar] [CrossRef]
- Antonelli, C.; Mecozzi, A. Reduced model for the nonlinear response of reflective semiconductor optical amplifiers. IEEE Photonics Technol. Lett. 2013, 25, 2243–2246. [Google Scholar] [CrossRef]
- Zhou, E.; Zhang, X.; Huang, D. Analysis on dynamic characteristics of semiconductor optical amplifiers with certain facet reflection based on detailed wideband model. Opt. Express 2007, 15, 9096–9106. [Google Scholar] [CrossRef] [PubMed]
- Connelly, M.J. Wideband semiconductor optical amplifier steady-state numerical model. IEEE J. Quantum Electron. 2001, 37, 439–447. [Google Scholar] [CrossRef]
- Qasaimeh, O. Novel closed-form model for multiple-state quantum-dot semiconductor optical amplifiers. IEEE J. Quantum Electron. 2008, 44, 652–657. [Google Scholar] [CrossRef]
- Adams, A.; Suematsu, Y. Handbook of Semiconductor Lasers and Photonic Integrated Circuits; Chapman and Hall: Stuttgart, Germany, 1994. [Google Scholar]
- Nahaei, F.S.; Rostami, A.; Matloub, S. Ultrabroadband reflective semiconductor optical amplifier using superimposed quantum dots. J. Nanophotonics 2021, 15, 036009. [Google Scholar]
- Berg, T.W.; Bischoff, S.; Magnusdottir, I.; Mork, J. Ultrafast gain recovery and modulation limitations in self-assembled quantum-dot devices. IEEE Photonics Technol. Lett. 2001, 13, 541–543. [Google Scholar] [CrossRef] [Green Version]
- Baghban, H.; Ghorbani, R.; Rostami, A. Equivalent circuit model of quantum dot semiconductor optical amplifiers: Dynamic behaviour and saturation properties. J. Opt. A Pure Appl. Opt. 2009, 11, 105205. [Google Scholar]












Publisher’s Note: MDPI stays neutral with regard to jurisdictional claims in published maps and institutional affiliations. |
© 2022 by the authors. Licensee MDPI, Basel, Switzerland. This article is an open access article distributed under the terms and conditions of the Creative Commons Attribution (CC BY) license (https://creativecommons.org/licenses/by/4.0/).
Share and Cite
Nahaei, F.S.; Rostami, A.; Mirtaheri, P. Quantum Dot Reflective Semiconductor Optical Amplifiers: Optical Pumping Compared with Electrical Pumping. Nanomaterials 2022, 12, 2143. https://doi.org/10.3390/nano12132143
Nahaei FS, Rostami A, Mirtaheri P. Quantum Dot Reflective Semiconductor Optical Amplifiers: Optical Pumping Compared with Electrical Pumping. Nanomaterials. 2022; 12(13):2143. https://doi.org/10.3390/nano12132143
Chicago/Turabian StyleNahaei, Farshad Serat, Ali Rostami, and Peyman Mirtaheri. 2022. "Quantum Dot Reflective Semiconductor Optical Amplifiers: Optical Pumping Compared with Electrical Pumping" Nanomaterials 12, no. 13: 2143. https://doi.org/10.3390/nano12132143
APA StyleNahaei, F. S., Rostami, A., & Mirtaheri, P. (2022). Quantum Dot Reflective Semiconductor Optical Amplifiers: Optical Pumping Compared with Electrical Pumping. Nanomaterials, 12(13), 2143. https://doi.org/10.3390/nano12132143

