Theoretical Analysis of Directly Modulated Reflective Semiconductor Optical Amplifier Performance Enhancement by Microring Resonator-Based Notch Filtering
Abstract
:1. Introduction
2. RSOA Direct Modulation Assisted by MRR-Based Notch Filtering
2.1. Configuration
2.2. Modeling
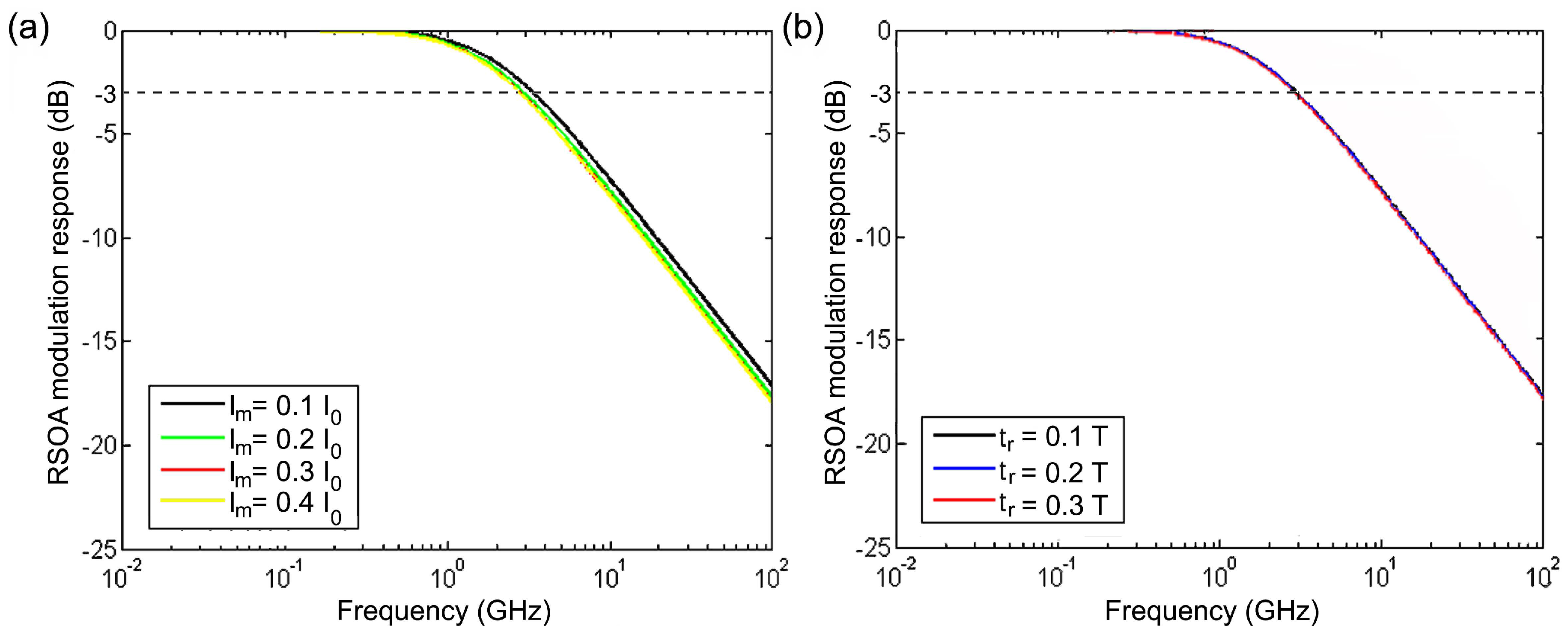
3. Results
4. Conclusions
Author Contributions
Conflicts of Interest
References
- Spiekman, L.H. Active devices in passive optical networks. J. Lightwave Technol. 2013, 31, 488–497. [Google Scholar] [CrossRef]
- Liu, Z.; Sadeghi, M.; de Valicourt, G.; Brenot, R.; Violas, M. Experimental validation of a reflective semiconductor optical amplifier model used as a modulator in radio over fiber systems. IEEE Photonics Technol. Lett. 2011, 23, 576–578. [Google Scholar] [CrossRef]
- Meehan, A.; Connelly, M.J. Experimental characterization and modeling of the improved low frequency response of a current modulated bulk RSOA slow light based microwave phase shifter. Opt. Commun. 2015, 341, 241–244. [Google Scholar] [CrossRef]
- Guiying, J.; Lirong, H. Remodulation scheme based on a two-section reflective SOA. J. Semicond. 2014, 35, 054008. [Google Scholar]
- Huang, L.; Hong, W.; Jiang, G. All-optical power equalization based on a two-section reflective semiconductor optical amplifier. Opt. Express 2013, 21, 4598–4611. [Google Scholar] [CrossRef] [PubMed]
- Peng, P.C.; Shiu, K.C.; Liu, W.C.; Chen, K.J.; Lu, H.H. A fiber-optical cable television system using a reflective semiconductor optical amplifier. Laser Phys. 2013, 23, 025106. [Google Scholar] [CrossRef]
- Connelly, M.J. Semiconductor Optical Amplifiers; Kluwer Academic Publishers: Dordrecht, The Netherlands, 2002. [Google Scholar]
- König, S. Semiconductor Optical Amplifiers and mm-Wave Wireless Links for Converged Access Networks; Karlsruhe Series in Photonics & Communications; Karlsruhe Institute of Technology, Institute of Photonics and Quantum Electronics (IPQ): Karlsruhe, Germany, 2014; Volume 14. [Google Scholar]
- Cho, K.Y.; Takushima, Y.; Chung, Y.C. 10-Gb/s operation of RSOA for WDM PON. IEEE Photonics Technol. Lett. 2008, 20, 1533–1535. [Google Scholar] [CrossRef]
- Wei, J.L.; Hamié, A.; Gidding, R.P.; Hugues-Salas, E.; Zheng, X.; Mansoor, S.; Tang, J.M. Adaptively modulated optical OFDM modems utilizing RSOAs as intensity modulators in IMDD SMF transmission systems. Opt. Express 2010, 18, 8556–8573. [Google Scholar] [CrossRef] [PubMed]
- Shim, H.K.; Kim, H.; Chung, Y.C. 20-Gb/s polar RZ 4-PAM transmission over 20-km SSMF using RSOA and direct detection. IEEE Photonics Technol. Lett. 2015, 27, 1116–1119. [Google Scholar] [CrossRef]
- Cho, K.Y.; Choi, B.S.; Takushima, Y.; Chung, Y.C. 25.78-Gb/s operation of RSOA for next-generation optical access networks. IEEE Photonics Technol. Lett. 2011, 23, 495–497. [Google Scholar] [CrossRef]
- Schrenk, B.; de Valicourt, G.; Omella, M.; Lazaro, J.A.; Brenot, R.; Prat, J. Direct 10-Gb/s modulation of a single-section RSOA in PONs with high optical budget. IEEE Photonics Technol. Lett. 2010, 22, 392–394. [Google Scholar] [CrossRef]
- Rizou, Z.V.; Zoiros, K.E.; Morel, P. Improving SOA direct modulation capability with optical filtering. In Proceedings of the International Conference on Transparent Optical Networks, Trento, Italy, 10–14 July 2016. [Google Scholar]
- Papagiannakis, I.; Omella, M.; Klonidis, D.; Birbas, A.N.; Kikidis, J.; Tomkos, I.; Prat, J. Investigation of 10-Gb/s RSOA-based upstream transmission in WDM-PONs utilizing optical filtering and electronic equalization. IEEE Photonics Technol. Lett. 2008, 20, 2168–2170. [Google Scholar] [CrossRef]
- Cossu, G.; Bottoni, F.; Corsini, R.; Presi, M.; Ciaramella, E. 40 Gb/s single R-SOA transmission by optical equalization and adaptive OFDM. IEEE Photonics Technol. Lett. 2013, 25, 2119–2122. [Google Scholar] [CrossRef]
- Kim, H. 10-Gb/s operation of RSOA using a delay interferometer. IEEE Photonics Technol. Lett. 2010, 22, 1379–1381. [Google Scholar] [CrossRef]
- Su, T.; Zhang, M.; Chen, X.; Zhang, Z.; Liu, M.; Liu, L.; Huang, S. Improved 10-Gbps uplink transmission in WDM-PON with RSOA-based colorless ONUs and MZI-based equalizers. Opt. Laser Technol. 2013, 51, 90–97. [Google Scholar] [CrossRef]
- Zhang, M.; Wang, D.; Cao, Z.; Chen, X.; Huang, S. Suppression of pattern dependence in 10 Gbps upstream transmission of WDM-PON with RSOA-based ONUs. Opt. Commun. 2013, 308, 248–252. [Google Scholar] [CrossRef]
- Presi, M.; Chiuchiarelli, A.; Corsini, R.; Choudury, P.; Bottoni, F.; Giorgi, L.; Ciaramella, E. Enhanced 10 Gb/s operations of directly modulated reflective semiconductor optical amplifiers without electronic equalization. Opt. Express 2012, 20, B507–B512. [Google Scholar] [CrossRef] [PubMed]
- Zoiros, K.E.; Morel, P. Enhanced performance of semiconductor optical amplifier at high direct modulation speed with birefringent fiber loop. AIP Adv. 2014, 4, 077107. [Google Scholar] [CrossRef]
- Engel, T.; Rizou, Z.V.; Zoiros, K.E.; Morel, P. Semiconductor optical amplifier direct modulation with double-stage birefringent fiber loop. Appl. Phys. B-Lasers Opt. 2016, 122, 158. [Google Scholar] [CrossRef]
- Zoiros, K.E.; Morel, P.; Hamze, M. Performance improvement of directly modulated semiconductor optical amplifier with filter-assisted birefringent fiber loop. Microw. Opt. Technol. Lett. 2015, 57, 2247–2251. [Google Scholar] [CrossRef]
- Rizou, Z.V.; Zoiros, K.E. Performance analysis and improvement of semiconductor optical amplifier direct modulation with assistance of microring resonator notch filter. Opt. Quantum Electron. 2017, 49, 119. [Google Scholar] [CrossRef]
- Katz, O.; Malka, D. Design of novel SOI 1 × 4 optical power splitter using seven horizontally slotted waveguides. Photonics Nanostruct. 2017, 25, 9–13. [Google Scholar] [CrossRef]
- Malka, D.; Cohen, M.; Turkiewicz, J.; Zalevsky, Z. Optical micro-multi-racetrack resonator filter based on SOI waveguides. Photonics Nanostruct. 2015, 16, 16–23. [Google Scholar] [CrossRef]
- Antonelli, C.; Mecozzi, A.; Hu, Z.; Santagiustina, M. Analytic study of the modulation response of reflective semiconductor optical amplifiers. J. Lightwave Technol. 2015, 33, 4367–4376. [Google Scholar] [CrossRef]
- Stathi, G.; Rizou, Z.V.; Zoiros, K.E. Simulation of directly modulated RSOA. In Proceedings of the International Conference on Numerical Simulation of Optoelectronic Devices, Copenhagen, Denmark, 24–28 July 2017. [Google Scholar]
- Connelly, M.J. Reflective semiconductor optical amplifier pulse propagation model. IEEE Photonics Technol. Lett. 2012, 24, 95–97. [Google Scholar] [CrossRef]
- Sengupta, I.; Barman, A.D. Analysis of optical re-modulation by multistage modeling of RSOA. Optik 2014, 125, 3393–3400. [Google Scholar] [CrossRef]
- Cassioli, D.; Scotti, S.; Mecozzi, A. A time-domain computer simulator of the nonlinear response of semiconductor optical amplifiers. IEEE J. Quantum Electron. 2000, 36, 1072–1080. [Google Scholar] [CrossRef]
- Agrawal, G.P.; Olsson, N.A. Self-phase modulation and spectral broadening of optical pulses in semiconductor laser amplifiers. IEEE J. Quantum Electron. 1989, 25, 2297–2306. [Google Scholar] [CrossRef]
- Zhou, E.; Zhang, X.; Huang, D. Analysis on dynamic characteristics of semiconductor optical amplifiers with certain facet reflection based on detailed wideband model. Opt. Express 2007, 15, 9096–9106. [Google Scholar] [CrossRef] [PubMed]
- Antonelli, C.; Mecozzi, A. Reduced model for the nonlinear response of reflective semiconductor optical amplifiers. IEEE Photonics Technol. Lett. 2013, 25, 2243–2246. [Google Scholar] [CrossRef]
- Shen, T.M.; Agrawal, G.P. Pulse-shape effects on frequency chirping in single-frequency semiconductor lasers under current modulation. J. Lightwave Technol. 1986, 4, 497–503. [Google Scholar] [CrossRef]
- Cartledge, J.C.; Burley, G.S. The effect of laser chirping on lightwave system performance. J. Lightwave Technol. 1989, 7, 568–573. [Google Scholar] [CrossRef]
- Zoiros, K.E.; Botsiaris, C.; Koukourlis, C.S.; Houbavlis, T. Necessary temporal condition for optimizing the switching window of the semiconductor-optical-amplifier-based ultrafast nonlinear interferometer in counter-propagating configuration. Opt. Eng. 2006, 45, 115005. [Google Scholar] [CrossRef]
- Ali, M.A.; Elrefaie, A.F.; Ahmed, S.A. Simulation of 12.5 Gb/s lightwave optical time-division multiplexer using semiconductor optical amplifiers as external modulators. IEEE Photonics Technol. Lett. 1992, 4, 280–283. [Google Scholar] [CrossRef]
- Chi, J.W.D.; Chao, L.; Rao, M.K. Time-domain large-signal investigation on nonlinear interactions between an optical pulse and semiconductor waveguides. IEEE J. Quantum Electron. 2001, 37, 1329–1336. [Google Scholar] [CrossRef]
- Rabus, D.G. Integrated Ring Resonators: The Compendium; Spring: Berlin, Germany, 2007. [Google Scholar]
- Heebner, J.E.; Wong, V.; Schweinsberg, A.; Boyd, R.W.; Jackson, D.J. Optical transmission characteristics of fiber ring resonators. IEEE J. Quantum Electron. 2004, 40, 726–730. [Google Scholar] [CrossRef]
- Absil, P.P.; Hryniewicz, J.V.; Little, B.E.; Wilson, R.A.; Joneckis, L.G.; Ho, P.T. Compact microring notch filters. IEEE Photonics Technol. Lett. 2000, 12, 398–400. [Google Scholar] [CrossRef]
- Nielsen, M.L. Experimental and Theoretical Investigation of Semiconductor Optical Amplifier (SOA) Based All-Optical Switches. Ph.D. Thesis, Technical University of Denmark, Lyngby, Denmark, 2004. [Google Scholar]
- Pile, B.; Taylor, G. Small-signal analysis of microring resonator modulators. Opt. Express 2014, 22, 14913–14928. [Google Scholar] [CrossRef] [PubMed]
- Sato, K.; Toba, H. Reduction of mode partition noise by using semiconductor optical amplifiers. IEEE J. Sel. Top. Quantum Electron. 2001, 7, 328–333. [Google Scholar] [CrossRef]
- Ahmed, M.; Lafi, A.E. Analysis of small-signal intensity modulation of semiconductor lasers taking account of gain suppression. Pramana-J. Phys. 2008, 71, 99–115. [Google Scholar] [CrossRef]
- Corless, R.M.; Gonnet, G.H.; Hare, D.E.; Jeffrey, D.J.; Knuth, D.E. On the Lambert W function. Adv. Comput. Math. 1996, 5, 329–359. [Google Scholar] [CrossRef]
- Dawson, H.G. On the Numerical Value of . Proc. Lond. Math. Soc. 1897, 1, 519–522. [Google Scholar] [CrossRef]
- Totović, A.R.; Crnjanski, J.V.; Krstić, M.M.; Gvozdić, D.M. Numerical study of the small-signal modulation bandwidth of reflective and traveling-wave SOAs. J. Lightwave Technol. 2015, 33, 2758–2764. [Google Scholar] [CrossRef]
- De Valicourt, G.; Pommereau, F.; Poingt, F.; Lamponi, M.; Duan, G.; Chanclou, P.; Violas, M.; Brenot, R. Chirp reduction in directly modulated multi-electrode RSOA devices in passive optical networks. IEEE Photonics Technol. Lett. 2010, 22, 1425–1427. [Google Scholar] [CrossRef]
- Zoiros, K.E.; Rizou, Z.V.; Connelly, M.J. On the compensation of chirp induced from semiconductor optical amplifier on RZ data using optical delay interferometer. Opt. Commun. 2011, 284, 3539–3547. [Google Scholar] [CrossRef]
- Liu, F.; Wang, T.; Qiang, L.; Ye, T.; Zhang, Z.; Qiu, M.; Su, Y. Compact optical temporal differentiator based on silicon microring resonator. Opt. Express 2008, 16, 15880–15886. [Google Scholar] [CrossRef] [PubMed]
- Trebino, R. Frequency-Resolved Optical Gating: The Measurement of Ultrashort Laser Pulses; Springer Science & Business Media: New York, NY, USA, 2012; pp. 11–35. [Google Scholar]
- Azaña, J.; Park, Y.; Li, F. Linear self-referenced complex-field characterization of fast optical signals using photonic differentiation. Opt. Commun. 2011, 284, 3772–3784. [Google Scholar] [CrossRef]
- Watts, R.T.; Shi, K.; Barry, L.P. Time-resolved chirp measurement for 100GBaud test systems using an ideal frequency discriminator. Opt. Commun. 2012, 285, 2039–2043. [Google Scholar] [CrossRef]
- Ruege, A.C. Electro-Optic Ring Resonators in Integrated Optics for Miniature Electric Field Sensors. Ph.D. Thesis, The Ohio State University, Columbus, OH, USA, 2001. [Google Scholar]
- Agrawal, G.P. Fiber-Optic Communication Systems; Wiley: New York, NY, USA, 2002. [Google Scholar]
- Wei, J.L.; Hamié, A.; Giddings, R.P.; Tang, J.M. Semiconductor optical amplifier-enabled intensity modulation of adaptively modulated optical OFDM signals in SMF-based IMDD systems. J. Lightwave Technol. 2009, 27, 3678–3688. [Google Scholar] [CrossRef]
- Rizou, Z.V.; Zoiros, K.E.; Hatziefremidis, A. Signal amplitude and phase equalization technique for free space optical communications. In Proceedings of the International Conference on Transparent Optical Networks, Cartagena, Spain, 23–27 July 2013. [Google Scholar]
- Vardakas, J.S.; Zoiros, K.E. Performance investigation of all-optical clock recovery circuit based on Fabry-Pérot filter and semiconductor optical amplifier assisted Sagnac switch. Opt. Eng. 2007, 46, 085005. [Google Scholar]
- Zoiros, K.E.; Vardakas, J.S.; Tsigkas, M. Study on the instantaneous frequency deviation of pulses switched from semiconductor optical amplifier–assisted Sagnac interferometer. Opt. Eng. 2010, 49, 075003. [Google Scholar]
- Hinton, K.; Stephens, T. Modeling high-speed optical transmission systems. IEEE J. Sel. Area Commun. 1993, 11, 380–392. [Google Scholar] [CrossRef]
- Müller, J.; Merget, F.; Azadeh, S.S.; Hauck, J.; García, S.R.; Shen, B.; Witzens, J. Optical peaking enhancement in high-speed ring modulators. Sci. Rep. 2014, 4, 6310. [Google Scholar] [CrossRef] [PubMed]
- Padmaraju, K.; Bergman, K. Resolving the thermal challenges for silicon microring resonator devices. Nanophotonics 2014, 3, 269–281. [Google Scholar] [CrossRef]
- Bogaerts, W.; De Heyn, P.; Van Vaerenbergh, T.; De Vos, K.; Kumar Selvaraja, S.; Claes, T.; Dumon, P.; Bienstman, P.; Van Thourhout, D.; Baets, R. Silicon microring resonators. Laser Photonics Rev. 2012, 6, 47–73. [Google Scholar] [CrossRef]
- Lee, M.C.; Wu, M.C. MEMS-actuated microdisk resonators with variable power coupling ratios. IEEE Photonics Technol. Lett. 2005, 17, 1034–1036. [Google Scholar] [CrossRef]
- Stoffer, R.; Hiremath, K.R.; Hammer, M.; Prkna, L.; Čtyrokỳ, J. Cylindrical integrated optical microresonators: Modeling by 3-D vectorial coupled mode theory. Opt. Commun. 2005, 256, 46–67. [Google Scholar] [CrossRef]
- Niehusmann, J.; Vörckel, A.; Bolivar, P.H.; Wahlbrink, T.; Henschel, W.; Kurz, H. Ultrahigh-quality-factor silicon-on-insulator microring resonator. Opt. Lett. 2004, 29, 2861–2863. [Google Scholar] [CrossRef] [PubMed]











© 2018 by the authors. Licensee MDPI, Basel, Switzerland. This article is an open access article distributed under the terms and conditions of the Creative Commons Attribution (CC BY) license (http://creativecommons.org/licenses/by/4.0/).
Share and Cite
Rizou, Z.V.; Zoiros, K.E. Theoretical Analysis of Directly Modulated Reflective Semiconductor Optical Amplifier Performance Enhancement by Microring Resonator-Based Notch Filtering. Appl. Sci. 2018, 8, 223. https://doi.org/10.3390/app8020223
Rizou ZV, Zoiros KE. Theoretical Analysis of Directly Modulated Reflective Semiconductor Optical Amplifier Performance Enhancement by Microring Resonator-Based Notch Filtering. Applied Sciences. 2018; 8(2):223. https://doi.org/10.3390/app8020223
Chicago/Turabian StyleRizou, Zoe V., and Kyriakos E. Zoiros. 2018. "Theoretical Analysis of Directly Modulated Reflective Semiconductor Optical Amplifier Performance Enhancement by Microring Resonator-Based Notch Filtering" Applied Sciences 8, no. 2: 223. https://doi.org/10.3390/app8020223
APA StyleRizou, Z. V., & Zoiros, K. E. (2018). Theoretical Analysis of Directly Modulated Reflective Semiconductor Optical Amplifier Performance Enhancement by Microring Resonator-Based Notch Filtering. Applied Sciences, 8(2), 223. https://doi.org/10.3390/app8020223
