Sign in to use this feature.

Years

Between: -

Subjects

remove_circle_outline
remove_circle_outline
remove_circle_outline
remove_circle_outline
remove_circle_outline
remove_circle_outline
remove_circle_outline
remove_circle_outline

Journals

Article Types

Countries / Regions

Search Results (44)

Search Parameters:
Keywords = RHM1

Order results
Result details
Results per page
Select all
Export citation of selected articles as:
17 pages, 5893 KB  
Article
Study on the Overburden Failure Law of Extra-Thick Coal Seam Mining Under Extremely Thick Conglomerate Strata
by Sun Binyang, Hu Xiongwu and Fu Maoru
Appl. Sci. 2026, 16(5), 2189; https://doi.org/10.3390/app16052189 - 24 Feb 2026
Viewed by 219
Abstract
This study investigates the mining-induced overburden failure and the development law of the water-conducting fracture zone under key layer control during the extraction of an extra-thick coal seam (thickness ≥ 8 m) under extremely thick conglomerate strata (thickness ≥ 200 m) in the [...] Read more.
This study investigates the mining-induced overburden failure and the development law of the water-conducting fracture zone under key layer control during the extraction of an extra-thick coal seam (thickness ≥ 8 m) under extremely thick conglomerate strata (thickness ≥ 200 m) in the Zhaoxian Coal Mine, Binchang mining area, Shaanxi Province, China. A combined approach utilizing FLAC3D numerical simulation and ground borehole full-section resistivity monitoring was adopted. The results indicate that the primary key layer (extremely thick conglomerate) and the sub-key layer (sandy mudstone) exert a significant inhibitory and segmented control effect on fracture development. The height of the water-conducting fracture zone increases in a “step-like” pattern with working face advancement, stabilizing at 270.3 m; the Rh/m is 23.5. The overburden failure morphology evolves dynamically through stages described as “funnel shape–concave shape–inverted trapezoid shape” as mining progresses. Field resistivity monitoring results (fracture zone height of 255 m, Rh/m of 22.17) show good agreement with numerical simulations, validating the control mechanism of key layers on overburden failure. These findings provide a theoretical basis for safe mining practices and water resource protection in extra-thick coal seams overlain by extremely thick conglomerate strata. Full article
Show Figures

Figure 1

20 pages, 917 KB  
Article
A Novel Modular Framework for Secure and Scalable Remote Health Monitoring: RHMS
by Shams Khan, Ehesan Maimaitijiang, Irsad Kures and Yasin Mamatjan
Appl. Sci. 2025, 15(23), 12623; https://doi.org/10.3390/app152312623 - 28 Nov 2025
Cited by 1 | Viewed by 603
Abstract
Background: Remote health monitoring for time-critical conditions (e.g., acute stroke) demands rapid, reliable data delivery and immediate clinical interpretation. However, existing Remote Patient Monitoring (RPM) frameworks often exhibit fragmented designs, latency bottlenecks, and integration challenges when onboarding new sensors or clinical algorithms. Methods: [...] Read more.
Background: Remote health monitoring for time-critical conditions (e.g., acute stroke) demands rapid, reliable data delivery and immediate clinical interpretation. However, existing Remote Patient Monitoring (RPM) frameworks often exhibit fragmented designs, latency bottlenecks, and integration challenges when onboarding new sensors or clinical algorithms. Methods: To address these gaps, we introduce a unified Remote Health Monitoring System (RHMS) that combines MQTT-driven sensor transport, a pattern-oriented software architecture, and blockchain-based immutable audit logging. Results: In a TRL 3–4 technical feasibility evaluation using synthetic load and a 30 min smartwatch trace, RHMS achieved a median end-to-end latency of 480 ms (IQR 110 ms; P95 < 600 ms) under 500 concurrent 1 Hz streams and a peak throughput of 545 streams/s in controlled environments. The system emits algorithmic risk alerts from an integrated model; no adjudicated clinical diagnoses were performed. A modeled rollup-backed audit log estimates a per-record cost of $0.00016 (USD). Conclusion: RHMS demonstrates technical feasibility and interoperability that aligns with clinical recommendations. Clinical validation is out of scope for this study and will require prospective trials. Full article
(This article belongs to the Special Issue Robotics, IoT and AI Technologies in Bioengineering, 2nd Edition)
Show Figures

Figure 1

19 pages, 8100 KB  
Article
Integrative Metabolome and Transcriptome Analyses Reveal the Effects of Plucking Flower on Polysaccharide Accumulation in the Rhizomes of Polygonatum cyrtonema Hua
by Huidong Yang, Hua Li, Jiahui Huang, Xincheng Liu, Zhongdong Hu and Yi Liu
Molecules 2025, 30(3), 670; https://doi.org/10.3390/molecules30030670 - 3 Feb 2025
Cited by 2 | Viewed by 1520
Abstract
Polysaccharides are the major bioactive components of Polygonatum cyrtonema Hua, and their biosynthesis and accumulation are influenced by many agronomic practices. In this study, we applied integrative metabolome and transcriptome analyses to investigate the accumulation of bioactive components in one-year-old (1Y) and six-year-old [...] Read more.
Polysaccharides are the major bioactive components of Polygonatum cyrtonema Hua, and their biosynthesis and accumulation are influenced by many agronomic practices. In this study, we applied integrative metabolome and transcriptome analyses to investigate the accumulation of bioactive components in one-year-old (1Y) and six-year-old (6Y) rhizomes of P. cyrtonema Hua treated with a plucking flower. The compound content analysis suggested that six-year-old treated rhizomes (T6) accumulated the highest polysaccharide content compared to that of one-year-old treated rhizomes (T1), one-year-old untreated rhizomes (C1), and six-year-old untreated rhizomes (C6). Metabolomics analysis showed that 4-O-galactopyranosylxylose, 6-O-α-l-arabinopyranosyl-d-glucopyranose, d-arabinose and dl-xylose significantly accumulated in T6 rhizomes. Carbohydrate metabolic pathways, including “glycolysis/gluconeogenesis”, “pentose and glucoronate interconversions” and “amino sugar and nucleotide sugar metabolism” were highly correlated with polysaccharide biosynthesis and accumulation. The transcriptome data indicated that UPG2, GPI, and GALE were positively upregulated in T6_vs_C6. In parallel, RHM and PEI were down-regulated in T6_vs_C6. Taken together, this study not only indicates that the candidate metabolites/metabolic pathways and genes affected by plucking flowers may influence the accumulation of polysaccharides in the rhizomes but also provides an easy and feasible agronomic practice to facilitate the accumulation of polysaccharides in the rhizomes of P. cyrtonema Hua. Full article
(This article belongs to the Special Issue Natural Products Biosynthesis: Present and Perspectives)
Show Figures

Figure 1

13 pages, 1025 KB  
Article
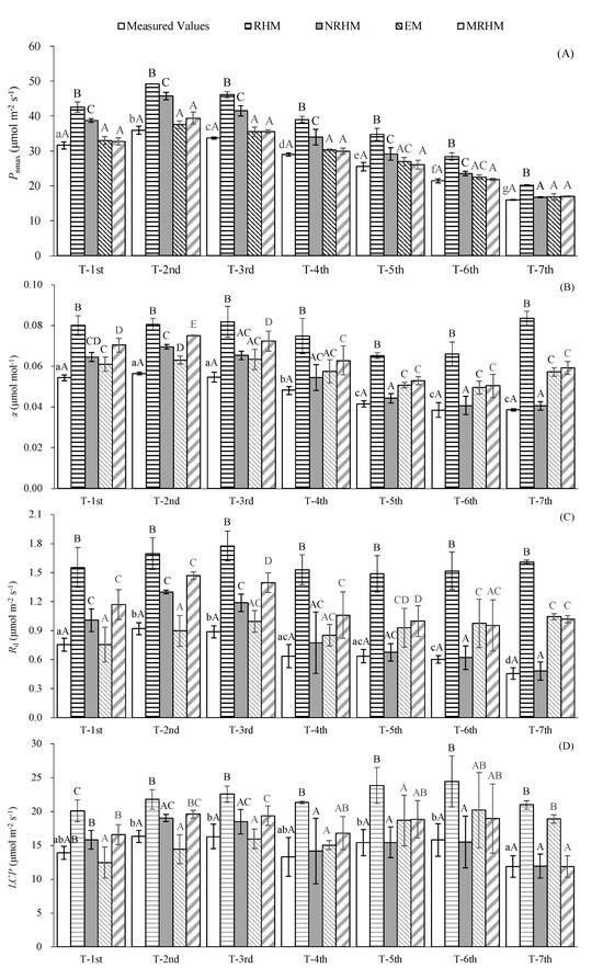
Evaluation of Models for Describing Photosynthetic Light–Response Curves and Estimating Parameters in Rice Leaves at Various Canopy Positions
by Yangjie Guo and Yuping Lv
Agronomy 2025, 15(1), 125; https://doi.org/10.3390/agronomy15010125 - 6 Jan 2025
Cited by 3 | Viewed by 3357
Abstract
The photosynthetic light–response (Pn/I) curve is a crucial tool for accurately estimating photosynthetic parameters. However, selecting the most suitable model from numerous available light–response models is still difficult because of the complex canopy structure. This study aimed to [...] Read more.
The photosynthetic light–response (Pn/I) curve is a crucial tool for accurately estimating photosynthetic parameters. However, selecting the most suitable model from numerous available light–response models is still difficult because of the complex canopy structure. This study aimed to evaluate the performance of different models, including the rectangular hyperbolic model (RHM), non-rectangular hyperbolic model (NRHM), exponential model (EM), and modified rectangular hyperbolic model (MRHM), in modeling Pn/I curves and estimating photosynthetic parameters for rice leaves at various canopy positions. The results showed that the NRHM demonstrated the highest accuracy, and the EM was identified as the most ideal in estimating Pn. The RHM consistently overestimated the maximum net photosynthetic rate (Pnmax), apparent quantum efficiency (α), dark respiration rate (Rd), and light compensation point (LCP) while underestimating light saturation point (LSP) for all rice leaves. The NRHM overestimated Pnmax, underestimated LSP, and accurately estimated LCP for all leaves, and overestimated α and Rd for top leaves but performed well for lower leaves. The EM excelled in estimating Pnmax and LSP for all leaves and performed well in estimating α for the top third and fourth leaves, Rd for the top four leaves, and LCP for the top six leaves. The MRHM was effective in estimating Pnmax but consistently overestimated α, Rd, and LSP for all leaves. Full article
(This article belongs to the Section Farming Sustainability)
Show Figures

Figure 1

19 pages, 6978 KB  
Article
Phenotypic Characters and Inheritance Tendency of Agronomic Traits in F1 Progeny of Chinese Cherry
by Zhenshan Liu, Shuaiwei Yang, Lisu Hao, Hao Wang, Jing Zhang, Wen He, Mengyao Li, Yuanxiu Lin, Yunting Zhang, Qing Chen, Yong Zhang, Ya Luo, Haoru Tang, Yan Wang and Xiaorong Wang
Agronomy 2024, 14(12), 2862; https://doi.org/10.3390/agronomy14122862 - 30 Nov 2024
Cited by 2 | Viewed by 1481
Abstract
Chinese cherry [Prunus. pseudocerasus Lindl., syn. Cerasus. pseudocerasus (Lindl.) G.Don], an economically important tetraploid fruit crop native to southwestern China, is celebrated as “the earliest fruit of spring”. Understanding the inheritance and heterosis of major agronomical traits is essential for advancing its [...] Read more.
Chinese cherry [Prunus. pseudocerasus Lindl., syn. Cerasus. pseudocerasus (Lindl.) G.Don], an economically important tetraploid fruit crop native to southwestern China, is celebrated as “the earliest fruit of spring”. Understanding the inheritance and heterosis of major agronomical traits is essential for advancing its breeding. In this study, we conducted a three-year observation and inheritance analysis of 32 economic traits in the reciprocal F1 populations (NH, n = 114; HN, n = 87) derived from Chinese cherry landraces “Nanzaohong” and “Hongfei”. The results revealed a broad segregation for all traits in F1 offspring. Fruit size exhibited an inheritance tendency toward smaller dimensions, with some individuals displaying extreme values (Fruit weight, HH = 3.90~12.15%) that highlighted the potential for selecting larger fruits. The hybrids showed a tendency for sweeter fruit flavor, with total soluble solids (RHm = 7.00~19.35%) and soluble sugar (RHm = 11.09% and 17.47%) exhibiting hybrid vigor, along with a decreasing tendency in titratable acid (RHm = −16.08~−1.05%). The flowering and fruiting phenology tended to occur earlier, with extremely early and late flowering lines offering the potential to extend the ornamental and harvesting periods. Fruit bitterness (H2 = 0.98 and 0.95) and fruit skin color (H2 = 0.93 and 0.89) displayed the highest heritability. Correlation analysis revealed strong internal correlations among trait categories, confirming the reliability of the data collection and analysis. Moreover, no significant differences were observed between the maternal and the paternal effect on the inheritance for agronomic traits attributes. This study systematically clarifies the inheritance trends of agronomic traits in Chinese cherry, providing a foundation for the rational selection of parental lines in breeding strategies and laying the groundwork for future molecular genetic research. Full article
Show Figures

Figure 1

20 pages, 630 KB  
Article
Retrieval Integrity Verification and Multi-System Data Interoperability Mechanism of a Blockchain Oracle for Smart Healthcare with Internet of Things (IoT) Integration
by Ziyuan Zhou, Long Chen, Yekang Zhao, Xinyi Yang, Zhaoyang Han and Zheng He
Sensors 2024, 24(23), 7487; https://doi.org/10.3390/s24237487 - 24 Nov 2024
Cited by 5 | Viewed by 1992
Abstract
The proliferation of Internet of Things (IoT) technology has significantly enhanced smart healthcare systems, enabling the collection and processing of vast healthcare datasets such as electronic medical records (EMRs) and remote health monitoring (RHM) data. However, this rapid expansion has also introduced critical [...] Read more.
The proliferation of Internet of Things (IoT) technology has significantly enhanced smart healthcare systems, enabling the collection and processing of vast healthcare datasets such as electronic medical records (EMRs) and remote health monitoring (RHM) data. However, this rapid expansion has also introduced critical challenges related to data security, privacy, and system reliability. To address these challenges, we propose a retrieval integrity verification and multi-system data interoperability mechanism for a Blockchain Oracle in smart healthcare with IoT Integration (RIVMD-BO). The mechanism uses the cuckoo filter technology to effectively reduce the computational complexity and ensures the authenticity and integrity of data transmission and use through data retrieval integrity verification. The experimental results and security analysis show that the proposed method can improve system performance while ensuring security. Full article
Show Figures

Figure 1

27 pages, 6430 KB  
Article
Integrity and Privacy Assurance Framework for Remote Healthcare Monitoring Based on IoT
by Salah Hamza Alharbi, Ali Musa Alzahrani, Toqeer Ali Syed and Saad Said Alqahtany
Computers 2024, 13(7), 164; https://doi.org/10.3390/computers13070164 - 3 Jul 2024
Cited by 14 | Viewed by 3587
Abstract
Remote healthcare monitoring (RHM) has become a pivotal component of modern healthcare, offering a crucial lifeline to numerous patients. Ensuring the integrity and privacy of the data generated and transmitted by IoT devices is of paramount importance. The integration of blockchain technology and [...] Read more.
Remote healthcare monitoring (RHM) has become a pivotal component of modern healthcare, offering a crucial lifeline to numerous patients. Ensuring the integrity and privacy of the data generated and transmitted by IoT devices is of paramount importance. The integration of blockchain technology and smart contracts has emerged as a pioneering solution to fortify the security of internet of things (IoT) data transmissions within the realm of healthcare monitoring. In today’s healthcare landscape, the IoT plays a pivotal role in remotely monitoring and managing patients’ well-being. Furthermore, blockchain’s decentralized and immutable ledger ensures that all IoT data transactions are securely recorded, timestamped, and resistant to unauthorized modifications. This heightened level of data security is critical in healthcare, where the integrity and privacy of patient information are nonnegotiable. This research endeavors to harness the power of blockchain and smart contracts to establish a robust and tamper-proof framework for healthcare IoT data. Employing smart contracts, which are self-executing agreements programmed with predefined rules, enables us to automate and validate data transactions within the IoT ecosystem. These contracts execute automatically when specific conditions are met, eliminating the need for manual intervention and oversight. This automation not only streamlines the process of data processing but also enhances its accuracy and reliability by reducing the risk of human error. Additionally, smart contracts provide a transparent and tamper-proof mechanism for verifying the validity of transactions, thereby mitigating the risk of fraudulent activities. By leveraging smart contracts, organizations can ensure the integrity and efficiency of data transactions within the IoT ecosystem, leading to improved trust, transparency, and security. Our experiments demonstrate the application of a blockchain approach to secure transmissions in IoT for RHM, as will be illustrated in the paper. This showcases the practical applicability of blockchain technology in real-world scenarios. Full article
(This article belongs to the Section Blockchain Infrastructures and Enabled Applications)
Show Figures

Figure 1

36 pages, 2179 KB  
Article
Context Matters: How Experimental Language and Language Environment Affect Mental Representations in Multilingualism
by Laura Sperl, Marta Sofia Nicanço Tomé, Helene Kühn and Helene Kreysa
Languages 2024, 9(3), 106; https://doi.org/10.3390/languages9030106 - 19 Mar 2024
Cited by 3 | Viewed by 3460
Abstract
The Revised Hierarchical Model (RHM) proposed by Kroll and Stewart has been one of the most influential models of late multilingual language processing. While the model has provided valuable insights into language processing mechanisms, the role of contextual factors for the RHM has [...] Read more.
The Revised Hierarchical Model (RHM) proposed by Kroll and Stewart has been one of the most influential models of late multilingual language processing. While the model has provided valuable insights into language processing mechanisms, the role of contextual factors for the RHM has not been investigated to date. Such contextual effects could be manifold, including individual speakers’ language profiles (such as age of acquisition, proficiency, and immersion experiences), experimental factors (such as different instruction languages), and environmental factors (such as societal language(s)). Additionally, it also appears promising to investigate the applicability of the RHM to non-native multilingual speakers from diverse backgrounds. To investigate whether some of the mentioned contextual factors affect non-native language processing, we designed three online experiments requiring answers in German and English, but tested speakers whose first language was neither German nor English. They performed a series of translation, picture-naming, and recall tasks based on Kroll and Stewart, as well as providing detailed information on their proficiencies, profiles of language use, and exposure. Experiment 1, conducted with speakers living in Germany, established the paradigm and investigated the role of individual differences in linguistic background. While Experiment 2 focused on the short-term effects of the experimental context by varying whether instructions were provided in German or in English, Experiment 3 examined the longer-term role of the current language environment by comparing individuals living in German-speaking countries with speakers living in societies where neither experimental language is spoken regularly. As in Kroll and Stewart, both the response language and the list type constituted key variables affecting response times and accuracy, known as language asymmetry and category interference. Importantly, the strength of this asymmetry was affected by participants’ immersion experiences, suggesting a certain dynamic development in multilingual language processing. In addition, context also seemed to play a role for experimental performance, especially the language environment examined in Experiment 3. Hence, speakers’ individual linguistic backgrounds and experience with the experimental languages, as well as additional contextual factors, need to be considered when conducting multilingual experiments and drawing conclusions about multilinguistic processing. Full article
(This article belongs to the Special Issue Language Use, Processing and Acquisition in Multilingual Contexts)
Show Figures

Figure 1

53 pages, 2033 KB  
Review
Smart Solutions for Diet-Related Disease Management: Connected Care, Remote Health Monitoring Systems, and Integrated Insights for Advanced Evaluation
by Laura-Ioana Coman, Marilena Ianculescu, Elena-Anca Paraschiv, Adriana Alexandru and Ioana-Anca Bădărău
Appl. Sci. 2024, 14(6), 2351; https://doi.org/10.3390/app14062351 - 11 Mar 2024
Cited by 42 | Viewed by 13994
Abstract
The prevalence of diet-related diseases underscores the imperative for innovative management approaches. The deployment of smart solutions signifies a paradigmatic evolution, capitalising on advanced technologies to enhance precision and efficacy. This paper aims to present and explore smart solutions for the management of [...] Read more.
The prevalence of diet-related diseases underscores the imperative for innovative management approaches. The deployment of smart solutions signifies a paradigmatic evolution, capitalising on advanced technologies to enhance precision and efficacy. This paper aims to present and explore smart solutions for the management of diet-related diseases, focusing on leveraging advanced technologies, such as connected care, the Internet of Medical Things (IoMT), and remote health monitoring systems (RHMS), to address the rising prevalence of diet-related diseases. This transformative approach is exemplified in case studies focusing on tailored RHMS capabilities. This paper aims to showcase the potential of three RHMS in introducing a novel evaluation method and their customisation for proactive management of conditions influenced by dietary habits. The RO-SmartAgeing System uniquely addresses age-related aspects, providing an integrated approach that considers the long-term impact of dietary choices on ageing, marking an advanced perspective in healthcare. The NeuroPredict Platform, leveraging complex neuroinformatics, enhances the understanding of connections between brain health, nutrition, and overall well-being, contributing novel insights to healthcare assessments. Focused on liver health monitoring, the HepatoConect system delivers real-time data for personalized dietary recommendations, offering a distinctive approach to disease management. By integrating cutting-edge technologies, these smart solutions transcend traditional healthcare boundaries. Full article
(This article belongs to the Special Issue Diet-Related Diseases: Pathophysiology and Novel Evaluation Methods)
Show Figures

Figure 1

15 pages, 1566 KB  
Article
Rapid and High Throughput Hydroponics Phenotyping Method for Evaluating Chickpea Resistance to Phytophthora Root Rot
by Muhammad A. Asif, Sean L. Bithell, Ramethaa Pirathiban, Brian R. Cullis, David Glyn Dionaldo Hughes, Aidan McGarty, Nicole Dron and Kristy Hobson
Plants 2023, 12(23), 4069; https://doi.org/10.3390/plants12234069 - 4 Dec 2023
Viewed by 2586
Abstract
Phytophthora root rot (PRR) is a major constraint to chickpea production in Australia. Management options for controlling the disease are limited to crop rotation and avoiding high risk paddocks for planting. Current Australian cultivars have partial PRR resistance, and new sources of resistance [...] Read more.
Phytophthora root rot (PRR) is a major constraint to chickpea production in Australia. Management options for controlling the disease are limited to crop rotation and avoiding high risk paddocks for planting. Current Australian cultivars have partial PRR resistance, and new sources of resistance are needed to breed cultivars with improved resistance. Field- and glasshouse-based PRR resistance phenotyping methods are labour intensive, time consuming, and provide seasonally variable results; hence, these methods limit breeding programs’ abilities to screen large numbers of genotypes. In this study, we developed a new space saving (400 plants/m2), rapid (<12 days), and simplified hydroponics-based PRR phenotyping method, which eliminated seedling transplant requirements following germination and preparation of zoospore inoculum. The method also provided post-phenotyping propagation all the way through to seed production for selected high-resistance lines. A test of 11 diverse chickpea genotypes provided both qualitative (PRR symptoms) and quantitative (amount of pathogen DNA in roots) results demonstrating that the method successfully differentiated between genotypes with differing PRR resistance. Furthermore, PRR resistance hydroponic assessment results for 180 recombinant inbred lines (RILs) were correlated strongly with the field-based phenotyping, indicating the field phenotype relevance of this method. Finally, post-phenotyping high-resistance genotypes were selected. These were successfully transplanted and propagated all the way through to seed production; this demonstrated the utility of the rapid hydroponics method (RHM) for selection of individuals from segregating populations. The RHM will facilitate the rapid identification and propagation of new PRR resistance sources, especially in large breeding populations at early evaluation stages. Full article
(This article belongs to the Special Issue Advances in Legume Crops Research)
Show Figures

Figure 1

31 pages, 5513 KB  
Article
Adaptive Autonomous Protocol for Secured Remote Healthcare Using Fully Homomorphic Encryption (AutoPro-RHC)
by Ruey-Kai Sheu, Yuan-Cheng Lin, Mayuresh Sunil Pardeshi, Chin-Yin Huang, Kai-Chih Pai, Lun-Chi Chen and Chien-Chung Huang
Sensors 2023, 23(20), 8504; https://doi.org/10.3390/s23208504 - 16 Oct 2023
Cited by 9 | Viewed by 3208
Abstract
The outreach of healthcare services is a challenge to remote areas with affected populations. Fortunately, remote health monitoring (RHM) has improved the hospital service quality and has proved its sustainable growth. However, the absence of security may breach the health insurance portability and [...] Read more.
The outreach of healthcare services is a challenge to remote areas with affected populations. Fortunately, remote health monitoring (RHM) has improved the hospital service quality and has proved its sustainable growth. However, the absence of security may breach the health insurance portability and accountability act (HIPAA), which has an exclusive set of rules for the privacy of medical data. Therefore, the goal of this work is to design and implement the adaptive Autonomous Protocol (AutoPro) on the patient’s remote healthcare (RHC) monitoring data for the hospital using fully homomorphic encryption (FHE). The aim is to perform adaptive autonomous FHE computations on recent RHM data for providing health status reporting and maintaining the confidentiality of every patient. The autonomous protocol works independently within the group of prime hospital servers without the dependency on the third-party system. The adaptiveness of the protocol modes is based on the patient’s affected level of slight, medium, and severe cases. Related applications are given as glucose monitoring for diabetes, digital blood pressure for stroke, pulse oximeter for COVID-19, electrocardiogram (ECG) for cardiac arrest, etc. The design for this work consists of an autonomous protocol, hospital servers combining multiple prime/local hospitals, and an algorithm based on fast fully homomorphic encryption over the torus (TFHE) library with a ring-variant by the Gentry, Sahai, and Waters (GSW) scheme. The concrete-ML model used within this work is trained using an open heart disease dataset from the UCI machine learning repository. Preprocessing is performed to recover the lost and incomplete data in the dataset. The concrete-ML model is evaluated both on the workstation and cloud server. Also, the FHE protocol is implemented on the AWS cloud network with performance details. The advantages entail providing confidentiality to the patient’s data/report while saving the travel and waiting time for the hospital services. The patient’s data will be completely confidential and can receive emergency services immediately. The FHE results show that the highest accuracy is achieved by support vector classification (SVC) of 88% and linear regression (LR) of 86% with the area under curve (AUC) of 91% and 90%, respectively. Ultimately, the FHE-based protocol presents a novel system that is successfully demonstrated on the cloud network. Full article
(This article belongs to the Section Biomedical Sensors)
Show Figures

Figure 1

16 pages, 635 KB  
Article
Heterosis and Mixed Genetic Analysis of Flowering Traits in Cross Breeding of Day-Neutral Chrysanthemum (Asteraceae)
by Xiaoyun Wu, Xiaogang Zhao, Kang Gao, Yuankai Tian, Mengmeng Zhang, Neil O. Anderson and Silan Dai
Agronomy 2023, 13(8), 2107; https://doi.org/10.3390/agronomy13082107 - 11 Aug 2023
Cited by 6 | Viewed by 2642
Abstract
Day-neutral multiflora chrysanthemums can flower throughout the year without being influenced by daylength and have great application value in gardens. Studying heterosis and the genetic basis of important traits in day-neutral chrysanthemums can accelerate the breeding of new cultivars. In this research, a [...] Read more.
Day-neutral multiflora chrysanthemums can flower throughout the year without being influenced by daylength and have great application value in gardens. Studying heterosis and the genetic basis of important traits in day-neutral chrysanthemums can accelerate the breeding of new cultivars. In this research, a genetic population was constructed by crossing 135 F1 hybrid progeny from the day-neutral chrysanthemum ‘82-81-19’ (female parent) and the late-flowering chrysanthemum ‘388Q-76’ (male parent). Six traits, including abnormal (crown) bud, plant height, plant crown width, budding date, full flowering date, and number of petal layers, were selected for inheritance and heterosis analyses, and a single-generation major gene plus polygene mixed inheritance model was used to perform mixed inheritance analysis on these traits. The results indicated that the six traits were widely segregated in the F1 population, with the coefficient of variation (CV) ranging from 30% to 84%. The phenomena of heterosis and extra-parent segregation existed generally in F1 progeny, and the ratio of heterosis value of mid-parents (RHm) for the six traits was 45.5%, 2%, 2%, 6%, 6%, and −0.3%, respectively. The mixed genetic analysis showed that the abnormal (crown) bud and budding date were fitted to the B-3 model and controlled by two pairs of additive major genes. The plant height and plant crown width were fitted to the A-0 model, and no major gene was detected. The full flowering date was fitted to the A-1 model and was controlled by one pair of major genes. The number of petal layers was fitted to the B-1 model and controlled by two pairs of additive–dominant major genes. The heritabilities of major genes for abnormal bud, budding date, full flowering date, and the number of petal layers were 1.0, 0.9871, 0.7240, and 0.5612, respectively, indicating that these traits were less affected by environmental factors. Using a percentile scoring method, eight day-neutral chrysanthemum genotypes were selected from the hybrid progeny. Full article
(This article belongs to the Special Issue Research Progress in Genetic Breeding of Ornamental Plants)
Show Figures

Figure 1

15 pages, 2267 KB  
Article
Reinforcement Learning for Optimizing Can-Order Policy with the Rolling Horizon Method
by Jiseong Noh
Systems 2023, 11(7), 350; https://doi.org/10.3390/systems11070350 - 7 Jul 2023
Cited by 4 | Viewed by 4485
Abstract
This study presents a novel approach to a mixed-integer linear programming (MILP) model for periodic inventory management that combines reinforcement learning algorithms. The rolling horizon method (RHM) is a multi-period optimization approach that is applied to handle new information in updated markets. The [...] Read more.
This study presents a novel approach to a mixed-integer linear programming (MILP) model for periodic inventory management that combines reinforcement learning algorithms. The rolling horizon method (RHM) is a multi-period optimization approach that is applied to handle new information in updated markets. The RHM faces a limitation in easily determining a prediction horizon; to overcome this, a dynamic RHM is developed in which RL algorithms optimize the prediction horizon of the RHM. The state vector consisted of the order-up-to-level, real demand, total cost, holding cost, and backorder cost, whereas the action included the prediction horizon and forecasting demand for the next time step. The performance of the proposed model was validated through two experiments conducted in cases with stable and uncertain demand patterns. The results showed the effectiveness of the proposed approach in inventory management, particularly when the proximal policy optimization (PPO) algorithm was used for training compared with other reinforcement learning algorithms. This study signifies important advancements in both the theoretical and practical aspects of multi-item inventory management. Full article
(This article belongs to the Special Issue Manufacturing and Service Systems for Industry 4.0/5.0)
Show Figures

Figure 1

14 pages, 2557 KB  
Article
A High-Reliability 12T SRAM Radiation-Hardened Cell for Aerospace Applications
by Ruxue Yao, Hongliang Lv, Yuming Zhang, Xu Chen, Yutao Zhang, Xingming Liu and Geng Bai
Micromachines 2023, 14(7), 1305; https://doi.org/10.3390/mi14071305 - 25 Jun 2023
Cited by 11 | Viewed by 4235
Abstract
The static random-access memory (SRAM) cells used in the high radiation environment of aerospace have become highly vulnerable to single-event effects (SEE). Therefore, a 12T SRAM-hardened circuit (RHB-12T cell) for the soft error recovery is proposed using the radiation hardening design (RHBD) concept. [...] Read more.
The static random-access memory (SRAM) cells used in the high radiation environment of aerospace have become highly vulnerable to single-event effects (SEE). Therefore, a 12T SRAM-hardened circuit (RHB-12T cell) for the soft error recovery is proposed using the radiation hardening design (RHBD) concept. To verify the performance of the RHB-12T, the proposed cell is simulated by the 28 nm CMOS process and compared with other hardened cells (Quatro-10T, WE-Quatro-12T, RHM-12T, RHD-12T, and RSP-14T). The simulation results show that the RHB-12T cell can recover not only from single-event upset caused by their sensitive nodes but also from single-event multi-node upset caused by their storage node pairs. The proposed cell exhibits 1.14×/1.23×/1.06× shorter read delay than Quatro-10T/WE-Quatro-12T/RSP-14T and 1.31×/1.11×/1.18×/1.37× shorter write delay than WE-Quatro-12T/RHM-12T/RHD-12T/RSP-14T. It also shows 1.35×/1.11×/1.04× higher read stability than Quatro-10T/RHM-12T/RHD-12T and 1.12×/1.04×/1.09× higher write ability than RHM-12T/RHD-12T/RSP-14T. All these improvements are achieved at the cost of a slightly larger area and power consumption. Full article
(This article belongs to the Special Issue MEMS for Aerospace Applications, 2nd Edition)
Show Figures

Figure 1

13 pages, 6686 KB  
Article
The Effect of Astaxanthin on Mitochondrial Dynamics in Rat Heart Mitochondria under ISO-Induced Injury
by Roman Krestinin, Yulia Baburina, Irina Odinokova, Alexey Kruglov, Linda Sotnikova and Olga Krestinina
Antioxidants 2023, 12(6), 1247; https://doi.org/10.3390/antiox12061247 - 9 Jun 2023
Cited by 12 | Viewed by 3056
Abstract
Mitochondria are dynamic organelles that produce ATP in the cell and are sensitive to oxidative damage that impairs mitochondrial function in pathological conditions. Mitochondria are involved not only in a healthy heart but also in the development of heart disease. Therefore, attempts should [...] Read more.
Mitochondria are dynamic organelles that produce ATP in the cell and are sensitive to oxidative damage that impairs mitochondrial function in pathological conditions. Mitochondria are involved not only in a healthy heart but also in the development of heart disease. Therefore, attempts should be made to enhance the body’s defense response against oxidative stress with the help of various antioxidants in order to decrease mitochondrial damage and reduce mitochondrial dysfunction. Mitochondrial fission and fusion play an important role in the quality control and maintenance of mitochondria. The ketocarotenoid astaxanthin (AX) is an antioxidant able to maintain mitochondrial integrity and prevent oxidative stress. In the present study, we investigated the effect of the protective effect of AX on the functioning of rat heart mitochondria (RHM). Changes in the content of proteins responsible for mitochondrial dynamics, prohibitin 2 (PHB2) as a protein that performs the function of quality control of mitochondrial proteins and participates in the stabilization of mitophagy, and changes in the content of cardiolipin (CL) in rat heart mitochondria after isoproterenol (ISO)-induced damage were examined. AX improved the respiratory control index (RCI), enhanced mitochondrial fusion, and inhibited mitochondrial fission in RHM after ISO injury. Rat heart mitochondria (RHM) were more susceptible to Ca2+-induced mitochondrial permeability pore (mPTP) opening after ISO injection, while AX abolished the effect of ISO. AX is able to perform a protective function in mitochondria, improving their efficiency. Therefore, AX can be considered an important ingredient in the diet for the prevention of cardiovascular disease. Therefore, AX can be examined as an important component of the diet for the prevention of heart disease. Full article
(This article belongs to the Section Natural and Synthetic Antioxidants)
Show Figures

Figure 1

Back to TopTop