Sign in to use this feature.

Years

Between: -

Subjects

remove_circle_outline
remove_circle_outline
remove_circle_outline
remove_circle_outline
remove_circle_outline
remove_circle_outline
remove_circle_outline
remove_circle_outline
remove_circle_outline

Journals

Article Types

Countries / Regions

Search Results (65)

Search Parameters:
Keywords = Porphyridium

Order results
Result details
Results per page
Select all
Export citation of selected articles as:
17 pages, 1051 KB  
Article
Effects of Different Culture Conditions on the Synthesis and Distribution of Polyunsaturated Fatty Acids (EPA and ARA) in Porphyridium purpureum
by Tao Li, Bingqi Xu, Yiyang Wu, Liang Wei, Hualian Wu, Houbo Wu, Wenzhou Xiang and Jin Xu
Mar. Drugs 2026, 24(3), 114; https://doi.org/10.3390/md24030114 - 19 Mar 2026
Viewed by 217
Abstract
The arachidonic acid (C20:4 ω6, ARA) and eicosapentaenoic acid (C20:5 ω3, EPA) from Porphyridium purpureum endow this microalga with potential utilization value, but their distribution patterns remain poorly understood. In this study, a nitrogen concentration, a phosphorus concentration, light intensity and salinity were [...] Read more.
The arachidonic acid (C20:4 ω6, ARA) and eicosapentaenoic acid (C20:5 ω3, EPA) from Porphyridium purpureum endow this microalga with potential utilization value, but their distribution patterns remain poorly understood. In this study, a nitrogen concentration, a phosphorus concentration, light intensity and salinity were applied to investigate the synthesis and distribution patterns of EPA and ARA in P. purpureum by measuring growth, lipid content, lipid fractions, fatty acid composition, and the levels of EPA and ARA in storage lipids and membrane lipids. The results show that the optimal conditions for biomass accumulation were a nitrogen concentration of 0.75 g L−1, a phosphorus concentration of 240 mg L−1, a light intensity of 250–300 μmol photons m−2 s−1 and a salinity of 50 ppt. Reducing the phosphorus concentration and increasing salinity enhanced the total lipid content, whereas changes in nitrogen concentration and light intensity had minimal effects on total lipid content. Low nitrogen concentration, low phosphorus concentration and high light intensity favored ARA synthesis, whereas the opposite conditions promoted EPA synthesis. Culture conditions could alter the distribution of ARA and EPA between storage lipids and membrane lipids. Increasing the nitrogen concentration, phosphorus concentration and salinity, as well as reducing light intensity, promoted the distribution of ARA and EPA in membrane lipids. Conversely, the opposite conditions enhanced their distribution in storage lipids. In conclusion, the synthesis and distribution of EPA and ARA in P. purpureum are influenced by culture conditions. To improve the yield of ARA and EPA, P. purpureum should be cultivated under nutrient-sufficient conditions. Full article
Show Figures

Graphical abstract

24 pages, 2101 KB  
Article
Sustainable Dyeing and Functionalization of Knitted Cotton Fabrics with Algae Extracts
by Helena S. Oliveira, Joana Santos, Tânia Ferreira, Artur Ribeiro, Carla Silva, Joana C. Antunes, João Bessa, Luís Miguel Oliveira and Raul Fangueiro
Textiles 2026, 6(1), 35; https://doi.org/10.3390/textiles6010035 - 19 Mar 2026
Viewed by 191
Abstract
Algae extracts have emerged as a sustainable and eco-friendly alternative to synthetic dyes and functional additives in the textile industry, particularly for dyeing and functionalizing of cotton fabrics. Herein, two types of water-soluble algae extracts from Arthrospira platensis and Porphyridium cruentum were characterized [...] Read more.
Algae extracts have emerged as a sustainable and eco-friendly alternative to synthetic dyes and functional additives in the textile industry, particularly for dyeing and functionalizing of cotton fabrics. Herein, two types of water-soluble algae extracts from Arthrospira platensis and Porphyridium cruentum were characterized in terms of thermal, structural, and functional properties and used as dye and/or functional agents. Cotton samples were pre-treated with chitosan and alum mordants and compared with commercially treated cationic cotton. The algae extracts were applied through the exhaust method, with variations in temperature, pH, liquor ratio, temperature rise gradient, and extract percentages. The resulting colours, assessed through CIE L*a*b* coordinates and K/S values using UV–Vis spectroscopy, displayed green and pink coloration, with commercial cationic cotton exhibiting more intense colours. Colour fastness measurements were also performed on functionalized cotton fabrics. The water-based algae extracts and functionalized samples were additionally characterized for functional features, displaying an antioxidant activity exceeding 60% (68.13 ± 3.60 and 60.76 ± 1.18, for A. platensis and P. cruentum, respectively). This work highlights their dual role in providing both aesthetic dyeing and functional enhancement of cotton. By using renewable marine resources and eco-friendly water-based processes, this approach supports the development of greener, more sustainable textile technologies. Full article
Show Figures

Graphical abstract

28 pages, 1727 KB  
Article
Impact of Algae Species from the Baltic Sea Region on Ruminal Fermentation Parameters and Methane Mitigation Using an In Vitro Gas Production System
by Sophia Brunnbauer, Ulrich Meyer, Jeannette Kluess, Fabian Billenkamp, Christian Visscher, Marlene Reich, Thomas Schweder, Christian Schulz, Mathias Paschen, Sven Dänicke and Dirk von Soosten
Ruminants 2026, 6(1), 18; https://doi.org/10.3390/ruminants6010018 - 11 Mar 2026
Viewed by 248
Abstract
This study evaluated the effects of four macroalgae (Colaconema spp., Ulva intestinalis, Ceramium spp., Pylaiella litoralis) and two microalgae (Haematococcus pluvialis, Porphyridium purpureum), chosen due to their local cultivability in the southern Baltic Sea region and potential [...] Read more.
This study evaluated the effects of four macroalgae (Colaconema spp., Ulva intestinalis, Ceramium spp., Pylaiella litoralis) and two microalgae (Haematococcus pluvialis, Porphyridium purpureum), chosen due to their local cultivability in the southern Baltic Sea region and potential gas-reducing properties reported for their taxa, on rumen fermentation and methane production. Therefore, the in vitro ANKOM Rf gas production system was used; three trials were conducted and gas kinetics, gas composition after 48 h of incubation, and short-chain fatty acids (SCFAs) were analyzed. For Trial 1.1, the algae biomasses were added at 4% to a conventional dairy diet and incubated in buffered rumen fluid for 48 h, to evaluate their potential as a supplement. In Trial 1.2, the polysaccharide-enriched algae extracts were added at 2% to the base diet using the same procedure, to investigate the role of the polysaccharide content. For Trial 2, the macroalgae biomasses were evaluated solely to assess their fermentation potential. The addition of the red alga Colaconema spp. (Colaconema) altered the SCFA profile with a shift towards propionate (rate of change in propionate concentration, ΔC3 = 1.216; p < 0.001), without compromising total SCFA yield. The same could be assessed for Ulva intestinalis (U. intestinalis), limited to Trial 2 (ΔC3 = 0.516; p < 0.001). The addition of U. intestinalis led to reduced initial gas production (p = 0.003), reaching the maximum gas production rate at 5.8 h of incubation, 0.3–0.7 h later than the others (5.1–5.5 h). While there was no significant methane reduction at the chosen inclusion rates, the results indicate that both algae influence the SCFA profile and therefore fermentation pattern, with U. intestinalis warranting further investigation on gas production dynamics. Full article
Show Figures

Figure 1

33 pages, 3197 KB  
Article
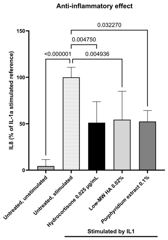
Hyaluronic Acid-like Skin Plumping and Radiance Benefits of a Porphyridium Sulfated Exopolysaccharide- and Natural PDRN-Rich Extract
by Fabien Havas, Shlomo Krispin, Moshe Cohen and Joan Attia-Vigneau
Mar. Drugs 2026, 24(3), 99; https://doi.org/10.3390/md24030099 - 1 Mar 2026
Viewed by 618
Abstract
Red microalga Porphyridium cruentum produces a sulfated exopolysaccharide (EPS), which enables its survival in challenging intertidal and spray zones. Extracellular polysaccharide hyaluronic acid (HA) plays important roles in skin hydration, elasticity, and volume. However, with aging, HA decreases and loses effectiveness, reducing skin [...] Read more.
Red microalga Porphyridium cruentum produces a sulfated exopolysaccharide (EPS), which enables its survival in challenging intertidal and spray zones. Extracellular polysaccharide hyaluronic acid (HA) plays important roles in skin hydration, elasticity, and volume. However, with aging, HA decreases and loses effectiveness, reducing skin moisture retention and firmness, and increasing signs of aging. An effective topical alternative to injectable HA replacement remains a largely unmet need. An extract of Porphyridium cultivated in natural sunlight, rich in EPS and polydeoxyribonucleotides (PDRNs), significantly activated the ADORA2A receptor in a CHO model, as well as reduced inflammation and increased collagen and HA production, autophagic flux, and key autophagy gene expression in dermal fibroblast cultures. In a double-blind clinical trial with placebo and HA benchmark controls, the Porphyridium extract delivered significant HA-like skin plumpness, hydration, and radiance benefits, and reduced signs of aging. The extract generally equaled or exceeded the HA benchmark. Its meaningful, swift HA-like activity shows potential for a safe, natural, and arguably more powerful HA-like alternative. Full article
(This article belongs to the Special Issue Marine Natural Products with Anti-Aging Activity, 2nd Edition)
Show Figures

Figure 1

16 pages, 2381 KB  
Article
A Phycoerythrin-SOD Fluorescent Probe Enables Detection of Oxidative Stress for Assessing Astaxanthin in NAFLD
by Kun Li, Zhen Zhang, Ran Chen, Shilin Wu, Ning Yang, Jingyun Chen, Hongxiang Zhao, Pei Wang, Yunmei Yin, Meicong Xiao and Rongqing Zhang
Antioxidants 2026, 15(2), 189; https://doi.org/10.3390/antiox15020189 - 2 Feb 2026
Viewed by 464
Abstract
Objective: To develop a superoxide dismutase (SOD) fluorescent detection probe based on Phycoerythrin (PE) from Porphyridium cruentum for real-time monitoring of SOD activity, a core biomarker of oxidative stress, in a nonalcoholic fatty liver disease (NAFLD) model, and to explore the regulatory effect [...] Read more.
Objective: To develop a superoxide dismutase (SOD) fluorescent detection probe based on Phycoerythrin (PE) from Porphyridium cruentum for real-time monitoring of SOD activity, a core biomarker of oxidative stress, in a nonalcoholic fatty liver disease (NAFLD) model, and to explore the regulatory effect of astaxanthin. Methods: Phycoerythrin and SOD were covalently coupled using the heterobifunctional cross-linker N-Succinimidyl 3-(2-pyridyldithio) propionate (SPDP), and the probe concentration and incubation time were optimized. A NAFLD model was established in HepG2 cells induced by free fatty acids (FFAs). The fluorescence intensity of the probe was detected by flow cytometry, and the intervention effect of astaxanthin was evaluated by measuring triglyceride (TG)/total cholesterol (TC) contents and SOD activity. Results: The optimal conditions for the Phycoerythrin-SOD probe were determined. Astaxanthin at 20 μM significantly reduced FFA-induced TG (56.8%) and TC (63.6%) contents and restored SOD activity to 60% of that in the control group. Conclusion: The Phycoerythrin-SOD probe serves as an efficient tool for dynamic monitoring of SOD activity in NAFLD. Astaxanthin alleviates liver injury by multi-target regulation of lipid metabolism and antioxidant pathways. Full article
Show Figures

Figure 1

28 pages, 2998 KB  
Article
Transcriptomic Insights into Metabolic Reprogramming and Exopolysaccharide Synthesis in Porphyridium purpureum Under Gradual Nitrogen Deprivation
by Maurean Guerreiro, Coline Emmanuel, Céline Dupuits, Christine Gardarin, Said Mouzeyar, João Varela, Jane Roche and Céline Laroche
Mar. Drugs 2026, 24(1), 40; https://doi.org/10.3390/md24010040 - 13 Jan 2026
Viewed by 1244
Abstract
Porphyridium species are known red microalgae for producing valuable bioactive compounds such as sulfated exopolysaccharides (EPS) with diverse industrial biomedical applications due to their functional and rheological properties. Recent studies have investigated how abiotic stresses, particularly nitrogen deprivation, affect Porphyridium’s metabolic regulation [...] Read more.
Porphyridium species are known red microalgae for producing valuable bioactive compounds such as sulfated exopolysaccharides (EPS) with diverse industrial biomedical applications due to their functional and rheological properties. Recent studies have investigated how abiotic stresses, particularly nitrogen deprivation, affect Porphyridium’s metabolic regulation and EPS production through transcriptomic analysis. Still, the mechanisms governing EPS biosynthesis and the involvement of carbohydrate-activated enzymes (CAZymes) remain poorly understood. This study investigated the progressive effects of nitrate consumption on the unicellular red alga, P. purpureum, by integrating physiological, biochemical, and transcriptomic analyses through RNA-Seq, further validated by RT-qPCR. P. purpureum displayed a gradual, phase-dependent metabolic response to progressive nitrogen stress. EPS release coincided with the decline in nitrate uptake, linking nitrogen availability to carbon redirection towards polysaccharide secretion. Transcriptomic data revealed global metabolic downregulation with targeted upregulation of stress-responsive, carbohydrate catabolic, and nucleotide–sugar synthesis pathways, including the upregulation of CAZyme families GT4, GT8, and GT77. Our results give insights into the coordinated nitrogen and carbon metabolic regulation underlying polysaccharide biosynthesis, while opening future perspectives on enzyme compartmentalization and regulatory flux distribution under nitrogen stress in P. purpureum. Full article
(This article belongs to the Special Issue Polysaccharides from Marine Environment)
Show Figures

Graphical abstract

13 pages, 1847 KB  
Article
Enhancing Phycoerythrin Production of Marine Red Microalga Porphyridium purpureum with Low Salinity and Semi-Continuous Culture Strategy
by Chulin Li, Houbo Wu, Hualian Wu, Wenzhou Xiang, Jin Xu and Tao Li
Mar. Drugs 2025, 23(9), 361; https://doi.org/10.3390/md23090361 - 19 Sep 2025
Cited by 1 | Viewed by 1285
Abstract
Porphyridium purpureum can synthesize a high phycoerythrin content, which has strong potential application in nutrition, pharmaceuticals, and cosmetics. An effective culture strategy is the key to producing biomass of P. purpureum rich in phycoerythrin. However, there are still bottlenecks in the large-scale production [...] Read more.
Porphyridium purpureum can synthesize a high phycoerythrin content, which has strong potential application in nutrition, pharmaceuticals, and cosmetics. An effective culture strategy is the key to producing biomass of P. purpureum rich in phycoerythrin. However, there are still bottlenecks in the large-scale production of Porphyridium, such as nutrient supplementation and cultivation mode. In this study, P. purpureum SCS-02, isolated from the South China Sea, was used as experimental microalga strain. The effects of different salinity (10, 20 and 34 ppt) and semi-continuous culture on accumulation of biomass and phycoerythrin were investigated. The semi-continuous culture modes include recycled culture medium mode (RM) and fresh culture medium mode (FM). The results showed that low salinity (10 ppt) could enhance the accumulation of phycoerythrin, the content and yield of which were 8.39% DW and 160 mg L−1, respectively. The yield of phycoerythrin of P. purpureum in semi-continuous culture with a 30% renewal rate of fresh culture medium was 253% higher than the batch culture. In summary, the semi-continuous culture strategy with fresh medium renewal under low salinity conditions increased the phycoerythrin yield to 641.47 mg after 30 days of cultivation, while exopolysaccharide accumulation was significantly reduced compared with batch culture. These results provide useful reference for optimizing culture strategies of P. purpureum, and may serve as a basis for future attempts to scale phycoerythrin production under industrially relevant conditions. Full article
Show Figures

Figure 1

30 pages, 2315 KB  
Article
Exploring the Development of a Clean-Label Vegan Burger Enriched with Fermented Microalgae
by Joseane C. Bassani, Valter F. R. Martins, Joana Barbosa, Marta Coelho, Clara Sousa, Juliana Steffens, Geciane T. Backes, Hugo Pereira, Manuela E. Pintado, Paula C. Teixeira, Alcina M. M. B. Morais and Rui M. S. C. Morais
Foods 2025, 14(16), 2884; https://doi.org/10.3390/foods14162884 - 20 Aug 2025
Cited by 3 | Viewed by 1644
Abstract
Haematococcus pluvialis and Porphyridium cruentum are red microalgae with high biotechnological potential due to their rich composition of bioactive compounds. However, their intense flavor limits their application in food products. This study evaluated the impact of fermentation with Lactiplantibacillus plantarum (30 °C for [...] Read more.
Haematococcus pluvialis and Porphyridium cruentum are red microalgae with high biotechnological potential due to their rich composition of bioactive compounds. However, their intense flavor limits their application in food products. This study evaluated the impact of fermentation with Lactiplantibacillus plantarum (30 °C for 48 h; LAB-to-biomass ratio of 0.1:1; 106 CFU/mL) on the physicochemical and functional properties of H. pluvialis and P. cruentum biomasses. Particular attention was given to antioxidant activity (ABTS and ORAC assays), color, amino acid profiles, and volatile organic compound (VOC) profiles, all of which may influence sensory characteristics. Results demonstrated that non-fermented H. pluvialis exhibited significantly higher antioxidant activity (AA) than P. cruentum. After fermentation, H. pluvialis showed an ABTS value of 3.22 ± 0.35 and an ORAC value of 54.32 ± 1.79 µmol TE/100 mg DW, while P. cruentum showed an ABTS of 0.26 ± 0.00 and an ORAC of 3.11 ± 0.13 µmol TE/100 mg DW. Total phenolic content (TPC) of fermented H. pluvialis and P. cruentum was 1.08 ± 0.23 and 0.18 ± 0.026 mg GAE/100 mg DW, respectively. Both AA and TPC increased after fermentation. Fermentation also significantly affected biomass color. FTIR analysis showed intensification of protein and carbohydrate vibrational bands post-fermentation. GC-MS analysis of VOCs showed that P. cruentum contained 42 VOCs before fermentation, including trans-β-ionone, 4-ethyl-6-hepten-3-one, hexanal, and heptadienal, which are responsible for fishy and algal odors. Fermentation with Lb. plantarum significantly reduced these compounds, lowering trans-β-ionone to 0.1453 mg/L and eliminating 4-ethyl-6-hepten-3-one entirely. H. pluvialis contained 22 VOCs pre-fermentation; fermentation eliminated hexanal and reduced heptadienal to 0.1747 ± 0.0323 mg/L. These changes contributed to improved sensory profiles. Fermentation also induced significant changes in the amino acid profiles of both microalgae. The fermented biomasses were incorporated into vegan burgers made from chickpea, lentil, and quinoa. Color evaluation showed more stable and visually appealing tones, while texture remained within desirable consumer parameters. These findings suggest that Lb. plantarum fermentation is an effective strategy for improving the sensory and functional characteristics of microalgal biomass, promoting their use as sustainable, value-added ingredients in innovative plant-based foods. Full article
Show Figures

Graphical abstract

19 pages, 4473 KB  
Article
Intervention of Natural Microalgal Bioactives on Type 2 Diabetes: Integrated Scientometric Mapping and Cellular Efficacy Studies
by Ran Chen, Hongxiang Zhao, Shilin Wu, Ning Yang, Zhen Zhang, Kun Li, Jingyun Chen, Pei Wang, Xiaojun Liu and Rongqing Zhang
Phycology 2025, 5(3), 36; https://doi.org/10.3390/phycology5030036 - 8 Aug 2025
Viewed by 894
Abstract
Type 2 diabetes mellitus (T2DM) is recognized as a multifactorial health disorder associated with various complications. This paper presents a bibliometric analysis of type 2 diabetes mellitus and natural active substances. Currently, the research field in this area is on an upward trajectory, [...] Read more.
Type 2 diabetes mellitus (T2DM) is recognized as a multifactorial health disorder associated with various complications. This paper presents a bibliometric analysis of type 2 diabetes mellitus and natural active substances. Currently, the research field in this area is on an upward trajectory, with major research hotspots focusing on pathogenesis, pharmacological activities, the gut microbiota, and lipid metabolism. Algae-derived natural active substances, namely astaxanthin, extracellular polysaccharide from Porphyridium cruentum (EPS-P), and β-carotene, all exhibit high antioxidant properties and safety, along with favorable hypoglycemic effects. Therefore, their therapeutic intervention effects on type 2 diabetes mellitus were evaluated through in vitro experiments. Compared with the model group, astaxanthin, β-carotene, and Porphyridium cruentum polysaccharide (EPS-P) improved various indicators by at least 24.17%, 7.7%, and 6.7%, respectively. All three substances could, to a certain extent, enhance glucose consumption, glycogen content, and pyruvate activity, as well as improve and restore the condition of IR-HepG2 cells. The order of intervention efficacy was astaxanthin, followed by β-carotene, and then Porphyridium cruentum polysaccharide (EPS-P). These findings provide a scientific basis for the biomedical applications of algae-derived natural products. Full article
Show Figures

Figure 1

23 pages, 999 KB  
Article
Unravelling the Potential of Seven Microalgae Species: Nutritional, Antioxidant, and Antimicrobial Properties and Application
by Valter F. R. Martins, Ana I. Lopes, Diana Gomes, Celina Parreira, Sara M. Badenes, Luís Costa, Manuela Pintado, Alcina M. M. B. Morais and Rui M. S. C. Morais
Appl. Sci. 2025, 15(12), 6691; https://doi.org/10.3390/app15126691 - 14 Jun 2025
Cited by 5 | Viewed by 1692
Abstract
Microalgae are a rich renewable source of a wide variety of bioactive compounds. This study focuses on seven microalgae—Limnospira sp., Dunaliella sp., Lobosphaera sp., Nannochloropsis sp., Odontella sp., Porphyridium sp., and Tetraselmis sp.— analyzing their nutritional compositions and the potential bioactivity of [...] Read more.
Microalgae are a rich renewable source of a wide variety of bioactive compounds. This study focuses on seven microalgae—Limnospira sp., Dunaliella sp., Lobosphaera sp., Nannochloropsis sp., Odontella sp., Porphyridium sp., and Tetraselmis sp.— analyzing their nutritional compositions and the potential bioactivity of their hydroethanolic extracts obtained via ultrasound-assisted extraction. The total phenolic content (TPC) and antioxidant activity (ABTS, DPPH, and ORAC), as well as the antimicrobial activity of the extracts were determined. The protein content of the microalgae ranged from 22.9 ± 0.1 to 59.8 ± 1.6%, the fat content ranged from 5.3 ± 0.0 to 36.6 ± 0.0%, and the carbohydrates ranged from 24.0 ± 3.0 to 46.1 ± 1.0%. The highest contents of protein, fat, and carbohydrates were found in Limnospira sp., Nannochloropsis sp., and Lobosphaera sp., respectively. The TPC of the extracts varied between 0.53 ± 0.09 and 3.18 ± 0.53 mg GAE/100 mg DW. Antioxidant activity values ranged from 1.09 ± 0.15 and 2.85 ± 0.45 μmol TE/100 mg DW for ABTS, 0.25 ± 0.06 and 2.28 ± 0.06 μmol TE/100 mg DW for DPPH, and 2.37 ± 0.58 and 18.32 ± 1.00 μmol TE/100 mg DW for ORAC. The extract from Limnospira sp. exhibited the highest antioxidant activity and also showed notable antimicrobial effects. Meanwhile, the Nannochloropsis sp. extract demonstrated the strongest antimicrobial activity against most tested bacterial strains. Lipids were successfully extracted from Nannochloropsis sp. Furthermore, alginate and zein films incorporated with bioactive-rich extracts from Limnospira sp. and Nannochloropsis sp., along with the lipid-rich extract from Nannochloropsis sp., were developed. These films showed significant antioxidant activity and effective antimicrobial activity against Listeria monocytogenes. Full article
Show Figures

Figure 1

11 pages, 957 KB  
Article
Comparison of the Level and Mechanisms of Toxicity of Nanoparticles of Underwater Welding in Bioassay with Three Marine Microalgae
by Konstantin Yu. Kirichenko, Konstantin S. Pikula, Vladimir V. Chayka, Alexander V. Gridasov, Igor A. Vakhniuk, Vladislava N. Volkova, Anton V. Pogodaev, Sergei G. Parshin, Yulia S. Parshina, Yuri E. Kalinin, Aleksei S. Kholodov, Sergey M. Ugay, Tatyana Yu. Orlova and Kirill S. Golokhvast
Nanomaterials 2025, 15(7), 518; https://doi.org/10.3390/nano15070518 - 29 Mar 2025
Viewed by 952
Abstract
In this work, the toxicity level of nano- and microparticles obtained by underwater welding was assessed. The toxicity of nano- and microparticles obtained by underwater welding was evaluated on three types of marine microalgae: Heterosigma akashiwo (Ochrophyta), Porphyridium purpureum (Rhodophyta), and Attheya ussuriensis [...] Read more.
In this work, the toxicity level of nano- and microparticles obtained by underwater welding was assessed. The toxicity of nano- and microparticles obtained by underwater welding was evaluated on three types of marine microalgae: Heterosigma akashiwo (Ochrophyta), Porphyridium purpureum (Rhodophyta), and Attheya ussuriensis (Bacillariophyta). The aim was to study the environmental risks associated with the ingress of micro- and nanoparticles of metal oxides into the marine environment. Water samples containing suspensions from wet welding and cutting processes were analyzed by inductively coupled plasma mass spectrometry (ICP-MS) to determine heavy metal concentrations. Biotesting included evaluation of growth inhibition, cell size change, and membrane potential of microalgae using flow cytometry. The results showed that samples APL-1 and APL-2 (flux-cored wire) were the most toxic, causing concentration-dependent growth inhibition of H. akashiwo and A. ussuriensis (p < 0.0001) as well as membrane depolarization. For P. purpureum, ELc and ELw (coated electrodes) samples stimulated growth, indicating species-specific responses. The stability of the nanoparticles and their bioavailability were found to play a key role in the mechanisms of toxicity. The study highlights the need to control the composition of materials for underwater welding and to develop environmentally friendly technologies. The data obtained are important for predicting the long-term effects of pollution of marine ecosystems by substances formed during underwater welding. Full article
(This article belongs to the Special Issue Nanosafety and Nanotoxicology: Current Opportunities and Challenges)
Show Figures

Graphical abstract

13 pages, 1710 KB  
Article
Extraction Optimization of Polysaccharides from Wet Red Microalga Porphyridium purpureum Using Response Surface Methodology
by Yi Chen, Qianmei Li, Bingqi Xu, Wenzhou Xiang, Aifen Li and Tao Li
Mar. Drugs 2024, 22(11), 498; https://doi.org/10.3390/md22110498 - 4 Nov 2024
Cited by 16 | Viewed by 3126
Abstract
Porphyridium is a unicellular marine microalga that is rich in polysaccharides and has excellent biological activities. Optimizing the extraction of polysaccharides can significantly improve the value of Porphyridium biomass. In the present study, response surface methodology was employed to optimize the extraction conditions [...] Read more.
Porphyridium is a unicellular marine microalga that is rich in polysaccharides and has excellent biological activities. Optimizing the extraction of polysaccharides can significantly improve the value of Porphyridium biomass. In the present study, response surface methodology was employed to optimize the extraction conditions of polysaccharides, including extraction time, extraction temperature, and biomass-to-water ratio. Furthermore, microwave-assisted extraction was used to improve the yield of polysaccharides further. The results showed that increasing the extraction temperature and extraction time could enhance the yield of polysaccharides. The multiple regression analysis of RSM indicated that the model could be employed to optimize the extraction of polysaccharides. The optimal extraction time, extraction temperature, and biomass-to-water ratio were 45 min, 87 °C, and 1:63 g mL−1, respectively. Under these optimal conditions, the maximum yield of polysaccharides was 23.66% DW, which well matched the predicted yield. The results indicated that the extraction temperature was the most significant condition affecting the yield of polysaccharides. The microwave-assisted extraction could further improve the yield of polysaccharides to 25.48% DW. In conclusion, hot water with microwave-assisted extraction was effective for polysaccharide extraction in P. purpureum. Full article
Show Figures

Figure 1

10 pages, 835 KB  
Communication
Crude Polysaccharide Extract from the Microalga Porphyridium cruentum Improved Nonspecific Immune Responses and Resistance in Penaeus vannamei Exposed to Vibrio alginolyticus
by Renata Ávila Ozório, Rafael Garcia Lopes, Felipe do Nascimento Vieira, Norha Constanza Bolívar-Ramírez, Carlos Yure Barbosa de Oliveira, Margherita Anna Antonia Maria Barracco, Marco Shizuo Owatari, Debora Machado Fracalossi and Roberto Bianchini Derner
Aquac. J. 2024, 4(3), 104-113; https://doi.org/10.3390/aquacj4030008 - 1 Jul 2024
Cited by 6 | Viewed by 3204
Abstract
Sulfated polysaccharides (SPs), especially those with immunostimulant effects on shrimp and fish, are bioactive compounds with potential use in aquaculture. In this study, Pacific white shrimp (Penaeus vannamei) were fed diets containing 0%, 0.5%, 1.0%, 1.5%, or 2.0% crude extracts from [...] Read more.
Sulfated polysaccharides (SPs), especially those with immunostimulant effects on shrimp and fish, are bioactive compounds with potential use in aquaculture. In this study, Pacific white shrimp (Penaeus vannamei) were fed diets containing 0%, 0.5%, 1.0%, 1.5%, or 2.0% crude extracts from the microalga Porphyridium cruentum for 30 days. After dietary supplementation, the shrimp were exposed to Vibrio alginolyticus, allowing the assessment of phenoloxidase activity (PO) and total hemocyte count (THC) pre- and post-challenge, as well as shrimp survival rates. Shrimp that received the 1.0% treatment had greater survival (90%) at 48 h post-challenge, while the 0% and 2.0% treatments had survival rates close to 63% in the same period. Furthermore, at 48 h post-challenge, THC was significantly greater (p < 0.05) in the shrimp that received crude extract supplementation compared to that in shrimp of the control group (0%). PO showed a proportional increase according to crude extract inclusion levels. Such dose-dependency in response to PO increases became significantly greater (p < 0.05) in the 2.0% treatment group compared to that in the 0% treatment group in the pre-challenge period and that in the 0% and 0.5% treatment groups in the post-challenge period. These results showed that crude extracts from P. cruentum could be considered immunostimulants by increasing the resistance of P. vannamei exposed to V. alginolyticus, potentially representing a major breakthrough for marine shrimp farming. Full article
Show Figures

Figure 1

21 pages, 4077 KB  
Article
Innovative Alkanediol-Based Eutectic Solvents for Extracting/Pre-Formulating Dermatologically Valuable Free Fatty Acids from Spirulina and Porphyridium Cakes
by Laura Wils, Mervé Yagmur, Nicolas Bellin, Myriam Phelippe, Alia Chevalley, Charles Bodet and Leslie Boudesocque-Delaye
Mar. Drugs 2024, 22(6), 281; https://doi.org/10.3390/md22060281 - 15 Jun 2024
Cited by 10 | Viewed by 3338
Abstract
The growing demand for phycobiliproteins from microalgae generates a significant volume of by-products, such as extraction cakes. These cakes are enriched with products of interest for the cosmetics market, namely free fatty acids, particularly polyunsaturated (PUFA). In this work, two cakes, one of [...] Read more.
The growing demand for phycobiliproteins from microalgae generates a significant volume of by-products, such as extraction cakes. These cakes are enriched with products of interest for the cosmetics market, namely free fatty acids, particularly polyunsaturated (PUFA). In this work, two cakes, one of spirulina and one of Porphyridium cruentum, were valorized using innovative natural hydrophobic deep eutectic solvents (NaDES) based on alkanediols. The most promising NaDES, as determined by physicochemical properties and screening, are mixtures of alkanediols and fatty acids. These include the mixtures of 1,3-propanediol and octanoic acid (1:5, mol/mol) and 1,3-propanediol and octanoic and decanoic acid (1:3:1, mol/mol). Two extractive processes were implemented: ultrasound-assisted extraction and an innovative mechanical process involving dual asymmetric centrifugation. The second process resulted in the production of extracts significantly enriched in PUFA, ranging from 65 to 220 mg/g dry matter with the two cakes. The extracts and NaDES demonstrated good safety with respect to epidermal keratinocyte viability (>80% at 200 µg/mL). The study of their impact on commensal and pathogenic cutaneous bacteria demonstrated significant effects on the viability of Staphylococcus aureus and Staphylococcus epidermidis (>50% decrease at 200 µg/mL) while preserving Corynebacterium xerosis and Cutibacterium acnes. These results highlight the potential of valorizing these co-products using alkanediol-based NaDES, in a strategy combining an active vector (NaDES) and a growth regulator extract, for the management of cutaneous dysbiosis involving staphylococci. Full article
Show Figures

Graphical abstract

12 pages, 1628 KB  
Article
Antioxidant and Anticancer Potential of Extracellular Polysaccharide from Porphyridium aerugineum (Rhodophyta)
by Juliana G. Ivanova, Tanya S. Toshkova-Yotova, Reneta A. Toshkova, Veronika R. Deleva, Ani K. Georgieva and Liliana G. Gigova
Fermentation 2024, 10(5), 259; https://doi.org/10.3390/fermentation10050259 - 15 May 2024
Cited by 8 | Viewed by 3719
Abstract
Porphyridium aerugineum is a unicellular freshwater red microalga that synthesizes and secretes into the culture medium an extracellular polysaccharide (EPS). In this study, algal growth and polysaccharide production, as well as the antioxidant capacity and antitumor effect of Porphyridium aerugineum EPS (PaEPS), were [...] Read more.
Porphyridium aerugineum is a unicellular freshwater red microalga that synthesizes and secretes into the culture medium an extracellular polysaccharide (EPS). In this study, algal growth and polysaccharide production, as well as the antioxidant capacity and antitumor effect of Porphyridium aerugineum EPS (PaEPS), were investigated. Cultivation of the microalgae was carried out in a photobioreactor under controlled conditions. Algal growth and the amount of EPS were monitored daily. The accumulated polysaccharide was extracted and lyophilized. At the end of cultivation, the concentration of microalgal biomass and PaEPS reached 3.3 and 1.2 g L−1, respectively. To examine the antioxidant capacity of PaEPS, FRAP and ABTS assays were performed. The cytotoxic activity of PaEPS was evaluated on the tumor cell lines MCF-7 (breast cancer) and HeLa (cervical adenocarcinoma) and on BJ (a non-tumor human skin fibroblast cell line), using MTT assay. The results obtained indicated that P. aerugineum polysaccharide exhibited a high ABTS radical-scavenging activity reaching up to 55%. The cytotoxic effect was best expressed in MCF-7 cells treated for 72 h with 1000 µg/mL PaEPS, where tumor cell proliferation was inhibited by more than 70%. Importantly, the PaEPS treatments did not significantly affect the viability of BJ cells. These findings promote the biotechnological production of P. aerugineum extracellular polysaccharide and reveal its potential as an anticancer and antioxidant agent for future applications. Full article
(This article belongs to the Special Issue Cyanobacteria and Eukaryotic Microalgae)
Show Figures

Figure 1

Back to TopTop