Sign in to use this feature.

Years

Between: -

Subjects

remove_circle_outline
remove_circle_outline
remove_circle_outline
remove_circle_outline

Journals

Article Types

Countries / Regions

Search Results (15)

Search Parameters:
Keywords = PolSenior2

Order results
Result details
Results per page
Select all
Export citation of selected articles as:
12 pages, 241 KB  
Article
Tooth Loss, Denture Use, and Risk of Malnutrition in Older Adults in Poland: Evidence from the National PolSenior2 Study
by Wojciech Dąbrowski, Aleksandra Kaluźniak-Szymanowska, Kacper Jagiełło, Łukasz Wierucki, Renata Górska, Hanna Kujawska-Danecka and Katarzyna Wieczorowska-Tobis
Nutrients 2026, 18(6), 1010; https://doi.org/10.3390/nu18061010 - 23 Mar 2026
Abstract
Background: Malnutrition and its risk are prevalent in older adults and contribute to frailty, morbidity, and mortality. Poor oral health—particularly tooth loss and inadequate prosthetic rehabilitation—may impair chewing, limit dietary variety, and accelerate nutritional decline. We investigated associations between dentition status, denture [...] Read more.
Background: Malnutrition and its risk are prevalent in older adults and contribute to frailty, morbidity, and mortality. Poor oral health—particularly tooth loss and inadequate prosthetic rehabilitation—may impair chewing, limit dietary variety, and accelerate nutritional decline. We investigated associations between dentition status, denture use, and nutritional status in a nationally representative sample of Polish older adults. Methods: We analyzed data from 5214 participants aged ≥60 years from the nationwide cross-sectional PolSenior2 study. Dentition status was classified as functional dentition (≥20 teeth), partial dentition (1–19 teeth), or edentulism (0 teeth). Nutritional status was assessed using the Mini Nutritional Assessment—Short Form (MNA-SF); impaired nutritional status was defined as MNA-SF <12 (malnourished or at risk). Additional indicators included hypoalbuminemia (<35 g/L) and small calf circumference (<31 cm). Associations were tested using chi-square and multivariable logistic regression adjusted for age, sex, education, and place of residence. Results: Functional dentition was present in 15.5%, partial dentition in 48.1%, and edentulism in 36.4% of participants. The proportion of edentulous individuals increased across worsening MNA-SF categories (26.2% in well-nourished, 41.8% in at risk, 46.9% in malnourished). In adjusted models, edentulism was associated with higher odds of impaired nutritional status compared with functional dentition (OR: 1.66; 95% CI: 1.32–2.10; p < 0.001), while partial dentition showed a non-significant trend (OR: 1.22; 95% CI: 0.98–1.52; p = 0.077). Among edentulous participants, denture use was more common in well-nourished individuals than in those with impaired nutritional status (93.0% vs. 77.2%), suggesting a possible association between active prosthetic rehabilitation and better nutritional status. Conclusions: In Polish older adults, tooth loss—particularly edentulism—is associated with poorer nutritional status. Screening for malnutrition risk may benefit from incorporating basic oral health and denture-use assessment while improved access to prosthetic rehabilitation may support nutritional resilience in ageing populations. Full article
(This article belongs to the Section Geriatric Nutrition)
19 pages, 538 KB  
Article
Novel Anthropometric Indices and Probability of Adequate Nutrient Intake in the Older Polish Population
by Agata Białecka-Dębek, Elżbieta Wierzbicka, Olga Januszko, Barbara Pietruszka, Aleksandra Szybalska and Małgorzata Mossakowska
Nutrients 2025, 17(23), 3666; https://doi.org/10.3390/nu17233666 - 24 Nov 2025
Viewed by 642
Abstract
Background: The Body Roundness Index (BRI) is an emerging anthropometric measure that reflects central adiposity, particularly relevant in ageing populations where body composition and nutritional status undergo significant changes. This study aims to explore patterns linking BRI values, age, energy intake, and [...] Read more.
Background: The Body Roundness Index (BRI) is an emerging anthropometric measure that reflects central adiposity, particularly relevant in ageing populations where body composition and nutritional status undergo significant changes. This study aims to explore patterns linking BRI values, age, energy intake, and micronutrient adequacy using cluster analysis, with a focus on implications for older adults. Methods: Data from 1504 community-dwelling older adults (mean age 74.4 ± 10.8 years) in Poland participating in the PolSenior project were analyzed. K-means cluster analysis was applied to standardized variables (BRI, age, energy intake, and micronutrient adequacy) to identify major participant profiles. Results: The data indicate that older adults, particularly those over 75 years old, are at an elevated risk of inadequate micronutrient intake, especially for essential nutrients such as calcium, magnesium, folate and vitamin D. Three distinct clusters were identified: Cluster 1 (n = 495, 33%): oldest participants, lowest BRI, and insufficient energy and micronutrient intake, indicating a high risk of undernutrition; Cluster 2 (n = 557, 37%): average age, moderate BRI, and highest energy and micronutrient intake, suggesting a potentially excessive energy balance. Cluster 3 (n = 452, 30%): the youngest group with the highest BRI and the lowest energy and micronutrient intake, indicating early-onset central adiposity and poor dietary quality. Conclusions: Three clusters were identified that differed significantly in BRI, age, and adequacy of energy and micronutrient intake. BRI combined with dietary indicators effectively distinguishes nutritional risk profiles among older adults. A low BRI may indicate a risk of undernutrition in advanced age, whereas a higher BRI with low nutrient adequacy suggests poor diet quality, even within the older population. Age-specific and nutrition-sensitive interventions are needed to support healthy ageing. Full article
(This article belongs to the Section Geriatric Nutrition)
Show Figures

Figure 1

19 pages, 549 KB  
Article
Socioeconomic and Health-Related Determinants of Eating Habits in Polish Caucasian Older Population—The Nationwide PolSenior2 Study Results
by Hanna Kujawska-Danecka, Jolanta A. Dardzińska, Małgorzata Mossakowska, Monika Puzianowska-Kuźnicka, Aleksandra Kaluźniak-Szymanowska, Sylwia Małgorzewicz, Edyta Wernio and Jerzy Chudek
Nutrients 2025, 17(10), 1640; https://doi.org/10.3390/nu17101640 - 11 May 2025
Cited by 1 | Viewed by 1705
Abstract
Background/Objectives: Adherence to a healthy diet may increase the chance of healthy aging. This study’s objective was to evaluate the nutritional quality of the diet and socioeconomic and health-related correlations of adherence to a healthy diet in older individuals. Methods: This analysis was [...] Read more.
Background/Objectives: Adherence to a healthy diet may increase the chance of healthy aging. This study’s objective was to evaluate the nutritional quality of the diet and socioeconomic and health-related correlations of adherence to a healthy diet in older individuals. Methods: This analysis was part of the PolSenior2 project, which comprised 5987 respondents aged ≥60 years, representatives of the community-dwelling Polish population. Eating habits were categorized according to the Senior Healthy Diet Index (SHDI), with a score between 0 and 100 points, based on the 42-item food frequency questionnaire filled out by participants. Higher adherence to the SHDI was defined as fulfilling at least five components. Results: The mean SHDI score was significantly higher in women, 58.5 ± 11.7, compared to men (55.8 ± 11.8); p < 0.001. Only 0.7% of respondents were fully adherent to dietary recommendations (fulfilling at least eight of ten SHDI components). In univariate analysis, a lower prevalence of typical geriatric problems (functional impairment, dementia, depression, falls, frailty, visual impairment, lack of functional dentition) and an additional occurrence of diabetes, hypertension, and heart failure in men were significantly correlated with higher compliance with SHDI recommendations. According to multivariate regression analysis, female sex, higher education level, regular physical activity, functional dentition, diabetes, and the absence of depression or dementia were factors most strongly associated with better adherence to a healthy diet. Conclusions: Full adherence to dietary recommendations in Polish seniors is rare. Aging-related diseases correlate in various ways with better eating habits. Especially, men are more likely to choose a healthy diet when signs of deterioration appear. Full article
(This article belongs to the Special Issue Nutrition, Lifestyle and Health Outcomes in Older Adults)
Show Figures

Figure 1

14 pages, 544 KB  
Article
Anti-HBs Positivity Related to Past HBV Infection and Vaccination in Older Adults in Polish Population—Cohort-Based Study
by Katarzyna Zięba, Kacper Jagiełło, Joanna Musialik, Łukasz Wierucki, Adam Hajduk, Małgorzata Mossakowska and Jerzy Chudek
Vaccines 2025, 13(1), 18; https://doi.org/10.3390/vaccines13010018 - 29 Dec 2024
Viewed by 2382
Abstract
Background: In Poland, a national hepatitis B (HBV) immunization program was introduced for neonates in 1996, and between 2000 and 2011, those born from 1986 to 1995 were vaccinated. Little is known about vaccination rates among adults born before 1986. This study aimed [...] Read more.
Background: In Poland, a national hepatitis B (HBV) immunization program was introduced for neonates in 1996, and between 2000 and 2011, those born from 1986 to 1995 were vaccinated. Little is known about vaccination rates among adults born before 1986. This study aimed to determine the frequency of anti-HBs seropositivity rates related to vaccination and past HBV infection in older Poles. Methods: The HBV serological status was analyzed in 5781 (96.6%) of the PolSenior2 population-based cohort (60+) by assessing serum seropositivity for HBs antigen, anti-HBs, and anti-HBc antibodies. The survey was performed in 2018–2019 and included medical and socio-economic questionnaires, anthropometric measurements, and comprehensive geriatric assessment. Results: Serological status implying past hepatitis B and serological profile consistent with anti-HBV vaccination corresponded to 15.2% (95% CI: 13.4–17.0) and 25.2% (95% CI: 23.4–27.0) prevalences, respectively. Female gender, living in a town or city, having better education, and suffering from coronary artery disease, or depression independently increased the rate of past hepatitis B. On the other hand, being ‘white collar’ and self-reliant, having the ability to use the Internet, and past surgical procedures in the last 5-year period were factors associated with a higher vaccination rate. Conclusions: More than 15% of older adults in Poland present serological profiles suggesting past hepatitis B, and one-fourth anti-HBV vaccination. Being functionally independent, ‘white collar’, using the Internet, and having past surgical procedures are factors associated with a higher chance of being vaccinated. Nevertheless, a large group of older adults should be prophylactically vaccinated due to increased exposure to medical procedures. Full article
(This article belongs to the Special Issue Hepatitis Vaccines: Immunization, Effectiveness and Future Challenges)
Show Figures

Figure 1

18 pages, 843 KB  
Article
Inflammation in Older Poles with Localized and Widespread Chronic Pain—Results from a Population-Based PolSenior Study
by Anna Chudek, Przemysław Kotyla, Elżbieta Kozak-Szkopek, Małgorzata Mossakowska, Katarzyna Wieczorowska-Tobis, Joanna Sulicka-Grodzicka, Magdalena Olszanecka-Glinianowicz, Jerzy Chudek and Aleksander J. Owczarek
J. Clin. Med. 2024, 13(19), 5870; https://doi.org/10.3390/jcm13195870 - 1 Oct 2024
Cited by 2 | Viewed by 1784
Abstract
Background: Inflammation leads to a decrease in the excitation threshold and the sensitization of peripheral nociceptors. However, little is known about the effect of inflammation on the sensing of regional (CRegP) and widespread chronic pain (CWP) in older adults. This analysis aimed [...] Read more.
Background: Inflammation leads to a decrease in the excitation threshold and the sensitization of peripheral nociceptors. However, little is known about the effect of inflammation on the sensing of regional (CRegP) and widespread chronic pain (CWP) in older adults. This analysis aimed to characterize the prevalence and associates of both types of chronic pain in a population-based cohort. Methods: Our analysis was based on the Polish nationwide PolSenior study database. We excluded participants with moderate-to-severe dementia. Respondents answered questions concerning the occurrence of pain in 10 regions. CWP was defined as chronic pain present in the axial region (neck, upper back, lower back) and any part of both the lower (lower leg, hip, knee, foot) and upper (shoulder, hand) extremities. Inflammatory status was divided into three subgroups: no inflammation (CRP < 3 mg/dL), mild inflammation (CPR 3–10 mg/dL and IL-6 < 10 ng/mL), and significant inflammation (CRP ≥ 10 mg/dL or IL-6 ≥ 10 ng/mL). Results: CRegP was more frequent (33.9%) than CWP (8.8%). The occurrence of CWP was more frequent in subgroups with significant inflammation than in both subgroups with mild or no inflammation (11.4% vs. both 8.4%). Women (OR 3.67; 95% CI: 2.58–5.21) and subjects with major depression symptoms were more likely to experience CWP (OR 2.85; 95% CI: 1.68–4.82), while, malnourished participants were more likely to report CRegP (OR 2.00; 95% CI: 1.52–2.62). Conclusions: Significant inflammation is associated with increased occurrence of CWP in older adults. Female sex and major depression are the most significant associates of CWP, while malnutrition is the most significant associate of CRegP. Full article
(This article belongs to the Section Epidemiology & Public Health)
Show Figures

Figure 1

14 pages, 2188 KB  
Article
Vitamin D Status among Patients Admitted to a Geriatric Ward—Are Recommendations for Preventing Its Deficiency Effective Enough?
by Maksymilian Adam Lech, Marcin Warpechowski, Aleksandra Wojszel, Justyna Rentflejsz, Marta Świętek and Zyta Beata Wojszel
Nutrients 2024, 16(2), 193; https://doi.org/10.3390/nu16020193 - 6 Jan 2024
Cited by 5 | Viewed by 6815
Abstract
Despite a decade of available recommendations aimed at preventing vitamin D (VD) deficiency in Poland, the efficacy of these measures among community-dwelling older individuals remains inconsistent. The PolSenior2 study provided valuable insights into VD status among community-dwelling older individuals in Poland. However, it [...] Read more.
Despite a decade of available recommendations aimed at preventing vitamin D (VD) deficiency in Poland, the efficacy of these measures among community-dwelling older individuals remains inconsistent. The PolSenior2 study provided valuable insights into VD status among community-dwelling older individuals in Poland. However, it is important to note that this research did not include the elderly living in care institutions. Therefore, our study concentrates on evaluating VD status in older patients admitted to a geriatrics ward to indirectly assess their adherence to existing recommendations and preventive actions in this particular setting (whether they translate into health-promoting behaviors (i.e., taking vitamin D supplements) and whether the recommended, optimal 25(OH)D concentration values are achieved). This approach offers a comprehensive understanding of VD status in a previously understudied population. We aimed to evaluate VD status in patients aged 70 and above within the geriatrics ward, exploring its association with age, sex, BMI, and the use of VD supplements. The study involved the measurement of serum VD concentration in 240 individuals. Of these participants, 177 (73.8%) were women, and 193 (80.4%) were over 75 years old. The median 25(OH)D concentration was found to be 22.95 (IQR, 13.7–33.0) ng/mL. Notably, profound deficiency (<10 ng/mL) was noted in 15% of the participants, while 67.5% exhibited VD inadequacy (<30 ng/mL). It is worth mentioning that only 18.3% of individuals took VD supplements preadmission. Insufficiency was more prevalent in nonsupplemented individuals (70.9% vs. 52.3%, p = 0.02) and those with a BMI ≥30 kg/m2 (76.2% vs. 59.2%, p = 0.007). The logistic regression model demonstrated that obese patients had over two times higher odds of VD inadequacy (OR = 2.21, p = 0.0074), as did nonsupplemented individuals (OR = 2.23, p = 0.0187). The high prevalence of VD deficiency and inadequacy in geriatric ward admissions emphasizes the urgent need for targeted interventions and enhanced education for older adults, caregivers, and physicians to improve adherence to preventive supplementation practices. Full article
(This article belongs to the Special Issue Calcium, Vitamin D and Aging in Humans)
Show Figures

Figure 1

19 pages, 1828 KB  
Article
Obesity in Caucasian Seniors on the Rise: Is It Truly Harmful? Results of the PolSenior2 Study
by Monika Puzianowska-Kuznicka, Alina Kurylowicz, Lukasz Wierucki, Aleksander Jerzy Owczarek, Kacper Jagiello, Malgorzata Mossakowska, Tomasz Zdrojewski and Jerzy Chudek
Nutrients 2022, 14(21), 4621; https://doi.org/10.3390/nu14214621 - 2 Nov 2022
Cited by 16 | Viewed by 2832
Abstract
Obesity is associated with an increased risk of morbidity and mortality; however, data suggest that in old age, obesity is not detrimental. The study’s objective was to verify whether obesity frequency still increases in Polish Caucasian seniors and to verify the “obesity paradox”. [...] Read more.
Obesity is associated with an increased risk of morbidity and mortality; however, data suggest that in old age, obesity is not detrimental. The study’s objective was to verify whether obesity frequency still increases in Polish Caucasian seniors and to verify the “obesity paradox”. Five thousand and fifty-seven community-dwelling individuals aged ≥ 65 years completed a detailed medical questionnaire, underwent measurements of the body mass index (BMI) and the waist circumference (WC), and an evaluation of physical and cognitive performances. Over a decade, general obesity increased by 2.1%, mostly due to a 3.9% increase in men. Abdominal obesity increased by 1.0%, mainly due to males, in whom it increased by 3.9%. Obesity increased the risk of several aging-related diseases, but this effect was less pronounced in the oldest-old. Obesity did not adversely affect the physical and cognitive functioning or mortality. Through a multivariable analysis, the BMI and WC remained the independent predictors of the Katz Activities of Daily Living score (p < 0.001 and p < 0.05, respectively) and Mini-Mental State Examination score (both p < 0.001). The Kaplan–Meier survival curves revealed that overweight and obesity classes 1 and 2 were associated with the lowest mortality. Through a multivariable analysis, overweight, class 1 obesity, and abdominal obesity remained the independent predictors of a decreased mortality (all p < 0.001). In conclusion, we found that overweight and obesity are not detrimental in seniors, including the oldest-old. We suggest that the anthropometric values defining obesity should be modified for age-advanced people. Full article
(This article belongs to the Special Issue Public Health Nutrition and Healthy Aging)
Show Figures

Figure 1

12 pages, 925 KB  
Article
The Prevalence of Anticitrullinated Protein Antibodies in Older Poles—Results from a Population-Based PolSenior Study
by Anna Chudek, Przemysław Kotyla, Małgorzata Mossakowska, Tomasz Grodzicki, Tomasz Zdrojewski, Magdalena Olszanecka-Glinianowicz, Jerzy Chudek and Aleksander J. Owczarek
Int. J. Environ. Res. Public Health 2022, 19(21), 14216; https://doi.org/10.3390/ijerph192114216 - 31 Oct 2022
Cited by 2 | Viewed by 2790
Abstract
Little is known about the occurrence of antibodies in older subjects. We analyzed the prevalence of anticitrullinated protein antibodies (anti-CCP) in a representative cohort of Polish older adults, participants of PolSenior substudy. Randomly selected 1537 serum samples of community-dwelling participants aged 65 and [...] Read more.
Little is known about the occurrence of antibodies in older subjects. We analyzed the prevalence of anticitrullinated protein antibodies (anti-CCP) in a representative cohort of Polish older adults, participants of PolSenior substudy. Randomly selected 1537 serum samples of community-dwelling participants aged 65 and over. Questionnaires were completed by qualified interviewers and laboratory assessments served as a database for this analysis. The frequency of anti-CCP seropositivity (N = 50) was estimated at 3.25% (95% CI: 2.45–4.30%), being higher among women—4.05% (2.83–5.73%) than men—2.41% (1.48–3.86%). The frequency of anti-CCP seropositivity was decreasing with age from 4.29% in aged 65–74 years and 4.07% in 70–84 years to 1.50% in aged 85 years or above (p < 0.05). Hypoalbuminemia, inflammatory status (C-reactive protein >10 mg/dL or interleukin-6 ≥10 pg/mL), and female gender were associated with increased, while age ≥85 years with decreased risk of seropositivity. Multivariable logistic regression revealed that hypoalbuminemia, inflammatory status, and age ≥85 years were independently associated factors of anti-CCP seropositivity. The decreased frequency of anti-CCP seropositivity in the oldest old suggests shorter survival of the seropositive individuals who developed rheumatoid arthritis. It seems that low symptomatic RA remains frequently undiagnosed in older subjects. Full article
(This article belongs to the Special Issue Significance of Biostatistics in Public Health)
Show Figures

Figure 1

13 pages, 760 KB  
Article
Polypharmacy in Polish Older Adult Population—A Cross-Sectional Study: Results of the PolSenior Project
by Agnieszka Neumann-Podczaska, Slawomir Tobis, Demetra Antimisiaris, Malgorzata Mossakowska, Monika Puzianowska-Kuznicka, Jerzy Chudek, Lukasz Wierucki, Piotr Merks, Barbara Wizner, Malgorzata Sobieszczanska, Zofia I. Niemir, Beata Kaczmarek and Katarzyna Wieczorowska-Tobis
Int. J. Environ. Res. Public Health 2022, 19(3), 1030; https://doi.org/10.3390/ijerph19031030 - 18 Jan 2022
Cited by 9 | Viewed by 3468
Abstract
Polypharmacy is a challenging issue in geriatrics. The aim of the study was to characterize correlates of polypharmacy in the PolSenior project. The PolSenior project, was a comprehensive survey in a large and longitudinal representative sample of thePolish older population. The project was [...] Read more.
Polypharmacy is a challenging issue in geriatrics. The aim of the study was to characterize correlates of polypharmacy in the PolSenior project. The PolSenior project, was a comprehensive survey in a large and longitudinal representative sample of thePolish older population. The project was conducted by the International Institute of Molecular and Cell Biology in Warsaw between 2008 and 2011. All medications consumed during the week preceding the survey were evaluated for each participant (n = 4793, including 2314 females (48.3%)). Thereafter, the percentage of those with polypharmacy (at least 5 medications) and excessive polypharmacy (at least 10 medications) was calculated, and their correlates were determined. The average number of medications used by participants was 5.1 ± 3.6, and was higher in females than in males (5.5 ± 3.5 vs. 4.8 ± 3.5; p < 0.001). Polypharmacy characterized 2650 participants (55.3%) and excessive polypharmacy—532 of them (11.1%). The independent correlates associated withpolypharmacy were: age over 70 years, female sex, higher than primary education, living in an urban area, comorbidities, any hospitalization during past five years, and visiting general practicioners at least yearly. As for correlates with excessive polypharmacy, they were: age 80–84 years, female sex, living in an urban area, diagnosis of at least four chronic diseases, and at least two hospitalizations in the last five years. This study serves as a starting place to understand patient characteristics associated with polypharmacy, excessive polypharmacy, and identify targeted interventions. Full article
(This article belongs to the Section Health Care Sciences & Services)
Show Figures

Figure 1

11 pages, 1345 KB  
Article
Socioeconomic Risk Factors of Poor Nutritional Status in Polish Elderly Population: The Results of PolSenior2 Study
by Roma Krzymińska-Siemaszko, Ewa Deskur-Śmielecka, Aleksandra Kaluźniak-Szymanowska, Beata Kaczmarek, Hanna Kujawska-Danecka, Alicja Klich-Rączka, Małgorzata Mossakowska, Sylwia Małgorzewicz, Lechosław B. Dworak, Tomasz Kostka, Jerzy Chudek and Katarzyna Wieczorowska-Tobis
Nutrients 2021, 13(12), 4388; https://doi.org/10.3390/nu13124388 - 8 Dec 2021
Cited by 25 | Viewed by 5583
Abstract
Poor nutritional status (PNS) threatens successful aging. Identifying potentially modifiable predictors of PNS is essential for elaborating a preventive strategy for the population at risk. To assess the prevalence of PNS in the Polish elderly population and analyze its socioeconomic correlates based on [...] Read more.
Poor nutritional status (PNS) threatens successful aging. Identifying potentially modifiable predictors of PNS is essential for elaborating a preventive strategy for the population at risk. To assess the prevalence of PNS in the Polish elderly population and analyze its socioeconomic correlates based on the data from the nationwide PolSenior2 project. Special emphasis was put on potentially modifiable factors among the identified PNS predictors. Nutritional status was assessed in 5698 community-dwelling older adults with the Mini Nutritional Assessment–Short Form. We evaluated the effect of age, sex, level of education, marital status, place of residence, subjective loneliness, and self-reported poverty on the nutritional status of the studied subjects. PNS was found in 25.3% of studied subjects (27.7% women and 21.9% men; p < 0.001). Female sex, older age, unmarried status (in men), subjective loneliness, and self-reported poverty were independent correlates of PNS. The two last above-mentioned predictors were identified as potentially modifiable. Based on our results, we recommend preventive interventions (e.g., performing regular screening), particularly in unmarried (men), poorly educated individuals, self-reporting poverty, complaining of loneliness, and the oldest old. PNS preventive strategies should include social support (both emotional and instrumental) to reduce the effect of poverty and subjective loneliness. Full article
(This article belongs to the Special Issue Nutritional Status of Older Adults)
Show Figures

Figure 1

12 pages, 498 KB  
Article
Physical Activity and Its Determinants among Senior Residents of Podlasie, a Green Region of Poland, Based on the National PolSenior Study
by Rafał Rowiński, Grażyna Kowalska, Mariusz Kozakiewicz, Kornelia Kędziora-Kornatowska, Maciej Kornatowski, Joanna Hawlena and Karolina Rowińska
Int. J. Environ. Res. Public Health 2021, 18(20), 10816; https://doi.org/10.3390/ijerph182010816 - 14 Oct 2021
Cited by 6 | Viewed by 2692
Abstract
Physical activity is essential at all stages of life, and particularly so in the later years. The main objectives of the present work was to evaluate the physical activity of seniors, aged 65 years and older, living in the area of the Podlaskie [...] Read more.
Physical activity is essential at all stages of life, and particularly so in the later years. The main objectives of the present work was to evaluate the physical activity of seniors, aged 65 years and older, living in the area of the Podlaskie voivodeship (Podlasie), Poland, based on the results of the nationwide PolSenior project, and to formulate recommendations for health policies implemented by both national and local government units. The study was performed as part of the national PolSenior project, whose aim was to evaluate various aspects of aging in Poland. The physical activity of a group of 186 randomly-selected people aged 65 years and above, 94 men and 92 women, was evaluated by questionnaire. The analysis included participants who took part in physical activity at least several times a week. Although all participants reported a decline in physical activity with age, the men remained physically active for longer. Among the respondents, 68.3% of women and 62.7% of men took short walks around the house as the main form of exercise, with working on the allotment or garden being another frequent activity; however, this was more common among men (53.9%) than women (34.7%). In addition, men were nearly twice as likely to take part in cycling (31.5%) than women (13.1%). The greatest motivation for physical activity given by the respondents was health, as noted by 73.8% of the men and 77.7% of the women. The physical activity of seniors in Podlasie is unsatisfactory and does not fulfil the WHO recommendations regarding the prophylaxis and prevention of chronic illness. This level does not, however, significantly differ from that reported in the nationwide PolSenior study or in other European countries in the Eurobarometer study. The decline in physical activity with age highlights the need for its greater promotion among seniors by local authorities. Such initiatives will help maintain the physical fitness and independence of this age group and contribute to a greater quality of life. Full article
(This article belongs to the Special Issue Active and Healthy Ageing)
Show Figures

Figure 1

15 pages, 1934 KB  
Article
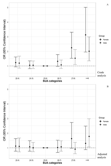
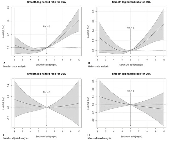
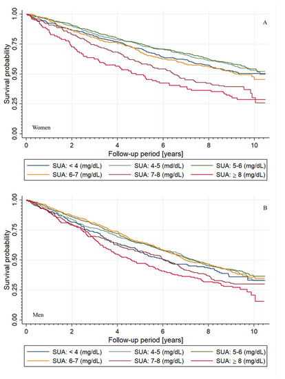
Serum Uric Acid Is a Weak Independent Predictor of Overall Survival in Older Adults
by Mateusz Winder, Aleksander J. Owczarek, Małgorzata Mossakowska, Michał Holecki, Katarzyna Broczek, Tomasz Grodzicki, Tomasz Zdrojewski and Jerzy Chudek
J. Clin. Med. 2021, 10(19), 4505; https://doi.org/10.3390/jcm10194505 - 29 Sep 2021
Cited by 6 | Viewed by 4710
Abstract
Hyperuricemia accompanies many pathologies that contribute to overall death rate. The population-based multifaceted study of older adults in Poland made it possible to assess the effect of serum uric acid (SUA) on overall mortality. The PolSenior study performed between 2007–2011 included 3926 participants [...] Read more.
Hyperuricemia accompanies many pathologies that contribute to overall death rate. The population-based multifaceted study of older adults in Poland made it possible to assess the effect of serum uric acid (SUA) on overall mortality. The PolSenior study performed between 2007–2011 included 3926 participants aged 65 years or above (mean age 79 ± 9 years) not treated with xanthin oxidase inhibitors (XOI) who were stratified by sex and SUA concentration into six subgroups increasing by 1 mg/dL. In 2019, survival data were retrieved from the population register. The crude risk of death was significantly higher in men and women with SUA ≥ 7 mg/dL. After adjustment to statistically significant factors, SUA remained a risk factor of death in men with SUA ≥ 8 mg/dL only, potentially due to the limited number of women with high SUA levels. Furthermore, age, heart failure, diabetes, and activities of daily living ≤ 4 pts were identified as factors increasing mortality risk regardless of sex. The risk of death increased also with smoking, past stroke, COPD/asthma, and hs-CRP > 3 mg/dL for men; and eGFR < 45 mL/min/1.73 m2, mini nutritional assessment ≤ 7 pts, and loop diuretics use for women. Mild hyperuricemia is a significant health status marker and an independent risk factor for overall mortality in older Caucasians not receiving XOI. Increased mortality is mostly limited to subjects with SUA levels ≥ 8 mg/dL. Full article
(This article belongs to the Section Epidemiology & Public Health)
Show Figures

Figure 1

18 pages, 1649 KB  
Article
Causes of Anemia in Polish Older Population—Results from the PolSenior Study
by Arkadiusz Styszyński, Jerzy Chudek, Małgorzata Mossakowska, Krzysztof Lewandowski, Monika Puzianowska-Kuźnicka, Alicja Klich-Rączka, Andrzej Więcek and Katarzyna Wieczorowska-Tobis
Cells 2021, 10(8), 2167; https://doi.org/10.3390/cells10082167 - 22 Aug 2021
Cited by 12 | Viewed by 5227
Abstract
Vitamin B12, folate, iron deficiency (IDA), chronic kidney disease (CKD), and anemia of inflammation (AI) are among the main causes of anemia in the elderly. WHO criteria of nutritional deficiencies neglect aging-related changes in absorption, metabolism, and utilization of nutrients. Age-specific [...] Read more.
Vitamin B12, folate, iron deficiency (IDA), chronic kidney disease (CKD), and anemia of inflammation (AI) are among the main causes of anemia in the elderly. WHO criteria of nutritional deficiencies neglect aging-related changes in absorption, metabolism, and utilization of nutrients. Age-specific criteria for the diagnosis of functional nutritional deficiency related to anemia are necessary. We examined the nationally representative sample of Polish seniors. Complete blood count, serum iron, ferritin, vitamin B12, folate, and renal parameters were assessed in 3452 (1632 women, 1820 men) participants aged above 64. Cut-off points for nutritional deficiencies were determined based on the WHO criteria (method-A), lower 2.5 percentile of the studied population (method-B), and receiver operating characteristic (ROC) analysis (method-C). Method-A leads to an overestimation of the prevalence of vitamin B12 and folate deficiency, while method-B to their underestimation with over 50% of unexplained anemia. Based on method-C, anemia was classified as nutritional in 55.9%. In 22.3% of cases, reasons for anemia remained unexplained, the other 21.8% were related to CKD or AI. Mild cases were less common in IDA, and more common in non-deficiency anemia. Serum folate had an insignificant impact on anemia. It is necessary to adopt the age-specific criteria for nutrient deficiency in an old population. Full article
(This article belongs to the Collection Advances in Red Blood Cells Research)
Show Figures

Figure 1

14 pages, 2248 KB  
Article
Prevalence of Hyperuricemia and the Use of Allopurinol in Older Poles—Results from a Population-Based PolSenior Study
by Mateusz Winder, Aleksander J. Owczarek, Małgorzata Mossakowska, Katarzyna Broczek, Tomasz Grodzicki, Łukasz Wierucki and Jerzy Chudek
Int. J. Environ. Res. Public Health 2021, 18(2), 387; https://doi.org/10.3390/ijerph18020387 - 6 Jan 2021
Cited by 27 | Viewed by 7005
Abstract
Background: Our study analyzes the frequency and risk factors of hyperuricemia and the use of allopurinol in a representative cohort of the older Polish adult population. Methods: The analysis was a part of a cross-sectional PolSenior study on aging in Poland. The complete [...] Read more.
Background: Our study analyzes the frequency and risk factors of hyperuricemia and the use of allopurinol in a representative cohort of the older Polish adult population. Methods: The analysis was a part of a cross-sectional PolSenior study on aging in Poland. The complete medication data were available in 4873 out of 4979 community dwelling respondents aged 65 and over. Serum uric acid concentrations were evaluated in 4028 participants (80.9% of the cohort). Results: Hyperuricemia was observed in 28.2% of women and 24.7% of men. Ten risk factors of hyperuricemia were selected based on multivariable LASSO logistic regression analysis. Nine factors showed significant odds ratios: eGFR < 60 mL/min/1.73 m2 (OR = 4.10), hypertriglyceridemia (OR = 1.88), obesity (OR = 1.75), heart failure (1.70), CRP > 3.0 mg/dL (OR = 1.64), coronary artery disease (OR = 1.30), use of loop-diuretics (OR = 4.20), hydrochlorothiazide (OR = 2.96), and thiazide-like diuretics (OR = 2.81). Allopurinol was used by 2.8% of men and 1.8% of women. The therapy was considered effective in 46.7% of men and 53.3% of women. Conclusions: Hyperuricemia was present in 23.1% (95% CI: 21.8–24.4) of the older Polish population. The frequency of hyperuricemia increases with age, reaching 30.5% in men and 33.7% in women aged 90 years or more. Chronic kidney disease, obesity, heart failure, hypertriglyceridemia, and the use of diuretics were the strongest risk factors for hyperuricemia in older adults. The treatment with allopurinol was ineffective in more than half of participants. Full article
Show Figures

Figure 1

12 pages, 1188 KB  
Article
CA125 as a Marker of Heart Failure in the Older Women: A Population-Based Analysis
by Weronika Bulska-Będkowska, Elżbieta Chełmecka, Aleksander J. Owczarek, Katarzyna Mizia-Stec, Andrzej Witek, Aleksandra Szybalska, Tomasz Grodzicki, Magdalena Olszanecka-Glinianowicz and Jerzy Chudek
J. Clin. Med. 2019, 8(5), 607; https://doi.org/10.3390/jcm8050607 - 3 May 2019
Cited by 19 | Viewed by 6741
Abstract
(1) Background: Cancer antigen 125 (CA125) is a glycoprotein that is expressed by tissue derived from coelomic epithelium in the pleura, peritoneum, pericardium. It has been shown that CA125 concentrations are correlated with NT-proBNP in older people with congestive heart failure (HF). We [...] Read more.
(1) Background: Cancer antigen 125 (CA125) is a glycoprotein that is expressed by tissue derived from coelomic epithelium in the pleura, peritoneum, pericardium. It has been shown that CA125 concentrations are correlated with NT-proBNP in older people with congestive heart failure (HF). We conducted a study on the association between concentrations of CA125 and NT-proBNP in a population-based cohort of older Polish women. (2) Methods: The current research is sub-study of a large, cross-sectional research project (PolSenior). The study group consisted of 1565 Caucasian women aged 65–102 years. To assess the relationship between CA125 and other variables a stepwise backward multivariate normal and skew-t regression analyses were performed. (3) Results: The median of CA125 concentration was 13.0 U/mL and values over the upper normal range limit (35 U/mL) were observed in 5.1% (n = 79) of the study cohort. The concentration of CA125 was positively related to age, hospitalization for HF and history of atrial fibrillation and chronic obstructive pulmonary disease, levels of NT-proBNP, IL-6, hs-CRP and triglycerides. We found in the multivariate analyses, that increased CA125 levels were independently associated with log10 (IL-6) (β = 11.022), history of hospitalization for HF (β = 4.619), log10 (NT-proBNP) (β = 4.416) and age (β = 3.93 for 10 years). (4) Conclusions: Despite the association between CA125 and NT-proBNP, the usefulness of CA125 for the detection of HF in older women is limited by factors such as inflammatory status and age. Full article
(This article belongs to the Special Issue Novel Biomarkers for Heart Disease)
Show Figures

Figure 1

Back to TopTop