Sign in to use this feature.

Years

Between: -

Subjects

remove_circle_outline
remove_circle_outline
remove_circle_outline
remove_circle_outline
remove_circle_outline
remove_circle_outline
remove_circle_outline

Journals

Article Types

Countries / Regions

Search Results (31)

Search Parameters:
Keywords = Phytophthora palmivora

Order results
Result details
Results per page
Select all
Export citation of selected articles as:
26 pages, 2472 KB  
Article
Chemical Profiling and Cheminformatic Insights into Piper Essential Oils as Sustainable Antimicrobial Agents Against Pathogens of Cocoa Crops
by Diannefair Duarte, Marcial Fuentes-Estrada, Yorladys Martínez Aroca, Paloma Sendoya-Gutiérrez, Manuel I. Osorio, Osvaldo Yáñez, Carlos Areche, Elena Stashenko and Olimpo García-Beltrán
Molecules 2026, 31(2), 326; https://doi.org/10.3390/molecules31020326 (registering DOI) - 17 Jan 2026
Abstract
This study evaluates the chemical profile and antifungal efficacy of essential oils from Piper glabratum, Piper friedrichsthalii, and Piper cumanense against the cocoa pathogens Moniliophthora roreri and Phytophthora palmivora. Microwave-assisted hydrodistillation followed by GC-MS analysis identified 80 constituents, predominantly monoterpenes [...] Read more.
This study evaluates the chemical profile and antifungal efficacy of essential oils from Piper glabratum, Piper friedrichsthalii, and Piper cumanense against the cocoa pathogens Moniliophthora roreri and Phytophthora palmivora. Microwave-assisted hydrodistillation followed by GC-MS analysis identified 80 constituents, predominantly monoterpenes and sesquiterpenes, which exhibited significant mycelial inhibition comparable to commercial fungicides. Beyond basic characterization, a comprehensive chemoinformatic analysis was conducted to elucidate the molecular mechanisms driving this bioactivity. The computed physicochemical landscape reveals a dominant lipophilic profile (average LogP 3.4) and low polarity (TPSA 11.5 Å2), characteristics essential for effective fungal membrane penetration. Structural mining identified conserved benzene and cyclohexene scaffolds alongside specific 1,3-benzodioxole moieties, while Maximum Common Substructure (MCS) analysis uncovered high similarity clusters among phenylpropanoids and sesquiterpenes. These findings suggest a synergistic mode of action where conserved structural backbones and interchangeable diastereomers facilitate membrane destabilization and ion leakage. Consequently, the integrative chemoinformatic profiling elucidates the molecular basis of this efficacy, positioning these Piper essential oils not merely as empirical alternatives, but as sources of rationally defined synergistic scaffolds for next-generation sustainable fungicides. Full article
20 pages, 2611 KB  
Article
Novel Antimicrobial Activities of Albofungin, Albonoursin, and Ribonucleosides Produced by Streptomyces sp. Caat 5-35 Against Phytopathogens and Their Potential as a Biocontrol Agent
by Carmen Julia Pedroza-Padilla, Sergio Orduz, Danilo Tosta Souza, Geraldo Antonio Astolpho-Barbão and Luiz Alberto Beraldo Moraes
Molecules 2026, 31(1), 21; https://doi.org/10.3390/molecules31010021 - 20 Dec 2025
Viewed by 303
Abstract
The genus Streptomyces is the largest group within the phylum Actinobacteria, recognized for producing antibiotics and enzymes, with wide applications in medicine and biological control for crop protection against phytopathogens. In this study, the Streptomyces sp. Caat 5-35 strain, isolated from soil of [...] Read more.
The genus Streptomyces is the largest group within the phylum Actinobacteria, recognized for producing antibiotics and enzymes, with wide applications in medicine and biological control for crop protection against phytopathogens. In this study, the Streptomyces sp. Caat 5-35 strain, isolated from soil of the Caatinga biome in Brazil, and identified by analysis of the 16S rRNA gene, demonstrated its antagonistic effect in vitro in dual cultures against Phytophthora palmivora, Colletotrichum acutatum, Fusarium oxysporum, Rhizoctonia solani, Sclerotinia sclerotiorum, and Fusarium graminearum. Caat 5-35 inhibited mycelial growth ranging from 19% to 73.3%. Compounds purified by prep-HPLC from extracts were identified by spectral data analysis using UHPLC-triple-TOF-MS/MS, or nuclear magnetic resonance (NMR). This work demonstrated for the first time the anti-oomycete activity of albofungin, its derivatives, and albonoursin against P. palmivora. Moreover, the growth inhibition of Colletotrichum gloeosporioides by albonoursin and the antibacterial effect of 2-chloroadenosine and 5′-O-sulfamoyl-2-chloroadenosine against Pectobacterium carotovorum were demonstrated as novel findings. Caat 5-35 exhibited the ability to solubilize phosphates and produce cellulases on CMC agar. The findings of this study, in combination with in vitro bioassays on cacao pods (Theobroma cacao L.) inoculated with the antagonist strain and P. palmivora APB-35, demonstrate that Streptomyces sp. Caat 5-35 is a source of natural products with applications in agriculture and could serve as an alternative for crop protection. Full article
Show Figures

Graphical abstract

16 pages, 1569 KB  
Article
In Vitro and In Vivo Anti-Phytopathogenic Fungal Activity of a Culture Extract of the Marine-Derived Fungus, Aspergillus unguis KUFA 0098, and Its Major Depsidone Constituents
by Decha Kumla, Diana I. C. Pinho, Emília Sousa, Tida Dethoup, Luis Gales, Sharad Mistry, Artur M. S. Silva and Anake Kijjoa
Mar. Drugs 2025, 23(12), 461; https://doi.org/10.3390/md23120461 - 29 Nov 2025
Viewed by 1010
Abstract
The crude ethyl acetate extract of the culture of a marine sponge-associated fungus, Aspergillus unguis KUFA 0098, was tested for its capacity to inhibit the growth of ten phytopathogenic fungi, viz. Alternaria brassicicola, Bipolaris oryzae, Colletotrichum capsici, Curvularia oryzae [...] Read more.
The crude ethyl acetate extract of the culture of a marine sponge-associated fungus, Aspergillus unguis KUFA 0098, was tested for its capacity to inhibit the growth of ten phytopathogenic fungi, viz. Alternaria brassicicola, Bipolaris oryzae, Colletotrichum capsici, Curvularia oryzae, Fusarium semitectum, Lasiodiplodia theobromae, Phytophthora palmivora, Pyricularia oryzae, Rhizoctonia oryzae, and Sclerotium roflsii. At a concentration of 1 g/L, the crude extract was most active against P. palmivora, causing the highest growth inhibition (55.32%) of this fungus but inactive against R. oryzae and S. roflsii. At a concentration of 10 g/L, the crude extract completely inhibited the growth of most of the fungi, except for L. theobromae, R. oryzae, and S. roflsii, with 94.50%, 74.12%, and 67.80% of inhibition, respectively. The crude extract of A. unguis KUFA 0098 exhibited growth-inhibitory effects against B. oryzae and P. oryzae, causative agents of brown leaf spot disease and leaf blast disease, respectively, on rice plant var. KDML105, under greenhouse conditions. Chromatographic fractionation and purification of the extract led to the isolation of four previously described depsidones, viz. unguinol (1), 2-chlorounguinol (2), 2,4-dichlorounguinol (3), and folipastatin (4), as well as one polyphenol, aspergillusphenol A (5). The major compounds, i.e., 1, 2, and 4, were tested against the ten phytopathogenic fungi. Compounds 1 and 4 were able to inhibit growth of most of the fungi, except L. theobromae, R. oryzae, and S. roflsii. Compound 1 showed the same minimum inhibitory concentration (MIC) values as that of carbendazim against A. brassicicola, C. capsici, C. oryzae, and P. oryzae, while compound 4 showed the same MIC values as that of carbendazim against only C. capsici and P. oryzae. Compound 2 was not active against all of the ten phytopathogenic fungi tested. Full article
Show Figures

Graphical abstract

24 pages, 4701 KB  
Article
Evidence of Graft Incompatibility and Rootstock Scion Interactions in Cacao
by Ashley E. DuVal, Alexandra Tempeleu, Jennifer E. Schmidt, Alina Puig, Benjamin J. Knollenberg, José X. Chaparro, Micah E. Stevens and Juan Carlos Motamayor
Horticulturae 2025, 11(8), 899; https://doi.org/10.3390/horticulturae11080899 - 3 Aug 2025
Cited by 1 | Viewed by 2586
Abstract
This study sought to quantify and characterize diverse rootstock scion interactions in cacao around graft compatibility, disease resistance, nutrient use efficiency, vigor traits, and translocation of nonstructural carbohydrates. In total, 106 grafts were performed with three scion cultivars (Matina 1/6, Criollo 22, Pound [...] Read more.
This study sought to quantify and characterize diverse rootstock scion interactions in cacao around graft compatibility, disease resistance, nutrient use efficiency, vigor traits, and translocation of nonstructural carbohydrates. In total, 106 grafts were performed with three scion cultivars (Matina 1/6, Criollo 22, Pound 7) and nine diverse open-pollinated seedling populations (BYNC, EQX 3348, GNV 360, IMC 14, PA 107, SCA 6, T 294, T 384, T 484). We found evidence for both local and translocated graft incompatibility. Cross sections and Micro-XCT imaging revealed anatomical anomalies, including necrosis and cavitation at the junction and accumulation of starch in the rootstock directly below the graft junction. Scion genetics were a significant factor in explaining differences in graft take, and graft take varied from 47% (Criollo 22) to 72% (Pound 7). Rootstock and scion identity both accounted for differences in survival over the course of the 30-month greenhouse study, with a low of 28.5% survival of Criollo 22 scions and a high of 72% for Pound 7 scions. Survival by rootstocks varied from 14.3% on GNV 360 to 100% survival on T 294 rootstock. A positive correlation of 0.34 (p = 0.098) was found between the graft success of different rootstock–scion combinations and their kinship coefficient, suggesting that relatedness of stock and scion could be a driver of incompatibility. Significant rootstock–scion effects were also observed for nutrient use efficiency, plant vigor, and resistance to Phytophthora palmivora. These findings, while preliminary in nature, highlight the potential of rootstock breeding to improve plant nutrition, resilience, and disease resistance in cacao. Full article
(This article belongs to the Special Issue Advances in Tree Crop Cultivation and Fruit Quality Assessment)
Show Figures

Figure 1

14 pages, 2148 KB  
Article
Exploring the Potential of Biocontrol Agent Against Root and Stem Rot Disease in Durian (Durio zibethinus)
by Ponchanok Datmanee, Nattarika Jitfour, Dusit Athinuwat and Wilawan Chuaboon
Int. J. Plant Biol. 2025, 16(3), 75; https://doi.org/10.3390/ijpb16030075 - 6 Jul 2025
Viewed by 2483
Abstract
The study of antagonistic bacterial strains isolated from the soil around durian tree roots demonstrated their ability to inhibit the growth of Phytophthora palmivora. The pathogens were screened from 30 samples collected around durian trees (leaves, soil around the roots, and debris [...] Read more.
The study of antagonistic bacterial strains isolated from the soil around durian tree roots demonstrated their ability to inhibit the growth of Phytophthora palmivora. The pathogens were screened from 30 samples collected around durian trees (leaves, soil around the roots, and debris under the tree) showing symptoms of root and stem rot disease. A total of 17 pathogen strains were isolated and grouped into 3 groups, TNP05, MNP13, and KNP21, originating from Chanthaburi province, Thailand. When P. palmivora isolates were tested for pathogenicity on leaves and durian trees, it was found that the strain MNP13 had the highest capacity to cause root and stem rot disease. A total of 196 beneficial bacteria isolates were collected from several samples around durian trees. The samples included leaves, soil surrounding the roots, and organic debris beneath the trees. Based on their colony characteristics on nutrient glucose agar (NGA), these isolates were divided into 8 groups. The efficacy of the beneficial bacteria against root and stem rot disease was tested using the Dual culture method and arranged in a Completely Randomized Design (CRD) with 5 replications. The experiment showed that bacterial isolates NJTU05, NJTU10, and NJTU13 effectively inhibited the growth of P. palmivora isolate MNP13, with inhibition rates of 76.66, 67.59, and 69.07%, respectively, compared to chemical control using metalaxyl 80% WP. Among the tested strains, NJTU05 was identified as the most effective bacterial strain for controlling major durian diseases. Biochemical identification and 16S rRNA sequencing revealed that bacterial strain NJTU05 was closely related to Brevibacillus formosus with a 99.70% identity. Full article
(This article belongs to the Section Plant–Microorganisms Interactions)
Show Figures

Figure 1

15 pages, 3776 KB  
Article
Characterization of Phytophthora and Pythium Species Associated with Root Rot of Olive Trees in Morocco
by Ikram Legrifi, Abderrahim Lazraq, Jamila Al Figuigui, Zineb Belabess, Moussa El Jarroudi and Rachid Lahlali
Agriculture 2025, 15(4), 435; https://doi.org/10.3390/agriculture15040435 - 19 Feb 2025
Cited by 3 | Viewed by 2562
Abstract
The olive tree is one of the most important fruit crops grown in Morocco, yet extensive decline associated with the root rot of this crop has been observed in many regions. This study aimed to identify and characterize the oomycetes associated with root [...] Read more.
The olive tree is one of the most important fruit crops grown in Morocco, yet extensive decline associated with the root rot of this crop has been observed in many regions. This study aimed to identify and characterize the oomycetes associated with root rot disease in olive trees. During the 2021 and 2022 growing seasons, symptomatic root tissues and soil samples were collected for isolation. Based on morphological traits and the sequencing of the internal transcribed spacer (ITS) region of rDNA, 10 oomycete species were identified, belonging to the Phytophthora and Pythium sensu lato (s.l.) genera. Seven species were assigned to Phytophthora, namely, P. palmivora, P. plurivora, P. acerina, P. oleae, P. cactorum, P. gonapodyides, and P. megasperma. The Pythium s.l. genus was represented by three species, including P. schmitthenneri, P. aphanidermatum, and P. irregulare. A pathogenicity assay was conducted by soil infestation to evaluate the effect of these pathogens on one-year-old olive saplings (var. Picholine Marocaine). Results revealed that all 10 species were pathogenic to olive saplings. Inoculated saplings exhibited symptoms, such as root rot, vascular discoloration, and wilting. The pathogens were successfully re-isolated from necrotic roots, thereby fulfilling Koch’s postulates. These findings highlight the complex etiology of root rot disease in olive trees, as multiple species can induce similar symptoms. This study represents the first detailed report of Phytophthora and Pythium s.l. species associated with olive root rot disease in Morocco. Full article
Show Figures

Figure 1

11 pages, 1252 KB  
Article
Pesticidal Potential and Selectivity of Soybean Extract on Pests and Non-Target Insects of Cocoa
by Silas Wintuma Avicor, Yahaya Bukari, Michael Kojo Ainooson, Godfred Kweku Awudzi and Wisdom Edem Anyomi
Crops 2025, 5(1), 7; https://doi.org/10.3390/crops5010007 - 19 Feb 2025
Viewed by 1454
Abstract
With the search for alternative pest management strategies due to the concerns associated with synthetic pesticides, botanicals have been of increasing interest. However, the potential of plants such as soybean (Glycine max) as biopesticides is less known. Hence, this study assessed [...] Read more.
With the search for alternative pest management strategies due to the concerns associated with synthetic pesticides, botanicals have been of increasing interest. However, the potential of plants such as soybean (Glycine max) as biopesticides is less known. Hence, this study assessed the activity of soybean extract (SBE) on insects and Phytophthora pod rot pathogens of cocoa using the filter paper contact toxicity and amended-agar plate techniques, respectively. Concentrations of 0.001–100% w/v SBE induced a mortality of 17.02–100% on the cocoa mirid Sahlbergella singularis and 2.5–90% and 5.26–100% on the ants Crematogaster africana and Pheidole megacephala, respectively. Also, 0.001–20% w/v SBE inhibited mycelial growth by 0–72% (Phytophthora palmivora isolates) and 1.17–81.03% (Phytophthora megakarya isolates). The minimum inhibitory concentration for P. palmivora and P. megakarya isolates was 1% and 0.001% w/v SBE, respectively. The median lethal concentration was 3.50% (S. singularis) and 193.73% w/v (C. africana), while the median inhibitory concentrations were 4.70 and 7.87% (P. palmivora isolates) and 1.13 and 1.48% (P. megakarya isolates). The activity of SBE on the pests was differential but non-toxic to the ant C. africana. The findings indicate the potential of SBE as a biopesticide against S. singularis and Phytophthora pod rot pathogens of cocoa. Full article
Show Figures

Figure 1

13 pages, 3826 KB  
Article
Bacillus velezensis SM1: A Promising Biocontrol Solution for Phytophthora Durian Root Rot
by Ashara Pengnoo, Usman Lohlaeh, Fadila Maduerehand, Chuthamard Kaewmano, Sudanai Krualee, Pimchana Wongpisal, Wipa Homhaul, Pawika Boonyapipat, Sukhumaporn Saeng-ngam, Abbas Äkbärjan and Vipaporn Phuntumart
Appl. Microbiol. 2025, 5(1), 21; https://doi.org/10.3390/applmicrobiol5010021 - 17 Feb 2025
Cited by 1 | Viewed by 3889
Abstract
Plant diseases, particularly root rot caused by Phytophthora species, pose a significant threat to plants. In this study, we investigated the antagonistic activity of a Bacillus velezensis strain (Bv-SM1) against Phytophthora palmivora isolates, NKST002 and CP002, which cause root rot in durian. In [...] Read more.
Plant diseases, particularly root rot caused by Phytophthora species, pose a significant threat to plants. In this study, we investigated the antagonistic activity of a Bacillus velezensis strain (Bv-SM1) against Phytophthora palmivora isolates, NKST002 and CP002, which cause root rot in durian. In vitro assays using dual-plate, pour-plate, and volatile organic compounds demonstrated a strong inhibition of Phytophthora mycelial growth by Bv-SM1. Phylogenomic analysis based on 1000 genes confirmed that Bv-SM1 is most closely related to B. velezensis. Genome analysis revealed the presence of key genes that contribute to biocontrol activity, including genes encoding cell wall-degrading enzymes (β-glucanase and cellulase) and siderophore production. Additionally, 13 biosynthetic gene clusters are responsible for the production of various antimicrobial compounds, such as fengycin, bacillaene, macrolactin, and bacilysin. These findings are the first to demonstrate the potential of Bv-SM1 as a promising biocontrol agent for managing Phytophthora-induced root rot in durian, with potential applications in other crops. Full article
Show Figures

Figure 1

14 pages, 1413 KB  
Article
Effector-Mediated Suppression of Programmed Cell Death by Phytophthora palmivora in Oil Palm
by María Camila Rodríguez-Cruz, Carmenza Montoya, Iván Ayala-Diaz, Leonardo Araque and Hernán Mauricio Romero
J. Fungi 2024, 10(11), 750; https://doi.org/10.3390/jof10110750 - 30 Oct 2024
Cited by 1 | Viewed by 1883
Abstract
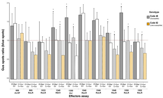
Phytophthora palmivora is the pathogen causing bud rot in oil palm (Elaeis guineensis). This pathogen secretes effector proteins that manipulate host defenses, contributing to disease progression. In this study, we systematically investigated the role of specific effector proteins in suppressing programmed cell [...] Read more.
Phytophthora palmivora is the pathogen causing bud rot in oil palm (Elaeis guineensis). This pathogen secretes effector proteins that manipulate host defenses, contributing to disease progression. In this study, we systematically investigated the role of specific effector proteins in suppressing programmed cell death (PCD) in oil palm leaflets. Our approach included using genomic and transcriptomic data from a Colombian P. palmivora isolate alongside the coexpression network of a substantial effector dataset. From this analysis, ten candidate effectors were selected, characterized, and evaluated for their ability to suppress PCD in oil palm leaflets through transient expression via biolistics. Several effectors exhibited significant anti-PCD activity in susceptible and less susceptible oil palm genotypes. Notably, the effectors Avr3F (689), RxLR (1540), and RxLR (1546) demonstrated suppression of PCD in both genotypes, while the other effectors played variable roles in PCD regulation. Phylogenetic analysis further identified distinct clades among the effectors, possibly associated with their functional activities. Additionally, specific motifs, such as RXLR-dEER, K, and Y, appeared to correlate with PCD suppression. This research enhances our understanding of the molecular mechanisms underlying the interaction between P. palmivora effectors and oil palm host responses, highlighting these proteins’ genotype-specific regulation of PCD. The findings contribute valuable insights into plant–pathogen interactions and offer potential avenues for targeted disease control strategies in the oil palm industry. Full article
Show Figures

Figure 1

14 pages, 8102 KB  
Article
Improving Early Detection of Bud Rot in Oil Palm Through Digital Field Monitoring
by Juan Manuel López-Vásquez, Diego Alejandro García Cárdenas, Carlos Bojacá-Aldana, Greicy Andrea Sarria and Anuar Morales-Rodríguez
Agronomy 2024, 14(11), 2486; https://doi.org/10.3390/agronomy14112486 - 24 Oct 2024
Cited by 4 | Viewed by 2586
Abstract
Bud Rot (BR) is the most significant phytosanitary threat to oil palm cultivation in Colombia. Early detection is essential for effective curative management, but current methods for detecting BR in adult palms are subjective and unreliable. This research aimed to develop an integrated [...] Read more.
Bud Rot (BR) is the most significant phytosanitary threat to oil palm cultivation in Colombia. Early detection is essential for effective curative management, but current methods for detecting BR in adult palms are subjective and unreliable. This research aimed to develop an integrated system for digital field monitoring and image analysis, testing two detection methods: computer-assisted detection and automatic detection using artificial intelligence (AI). Monthly monitoring was conducted over a 12-month period (January–December 2022) on 672 African oil palms (Elaeis guineensis), 15 years old and susceptible to BR. Disease monitoring focused on the incidence, cumulative incidence, and labor performance based on the number and spatial distribution of palms detected with BR, with or without the use of the device proposed. Results showed that automatic detection using AI had low effectiveness (17.1%), identifying only a small portion of actual cases. In contrast, computer-assisted detection significantly improved accuracy, reaching 78.6% during peak months and reducing detection time by up to two months compared to traditional methods, although, its maximum performance point only reached 4.7 ha/wage. The implementation of digital monitoring provides crucial technological support by considerably improving the effectiveness of early detection in BR curative management. Future advancements in AI-based detection are expected to further improve the efficiency and functionality of this approach. Full article
(This article belongs to the Section Precision and Digital Agriculture)
Show Figures

Figure 1

15 pages, 6242 KB  
Article
Infection of Phytophthora palmivora Isolates on Arabidopsis thaliana
by Mariandrea García-Gaona and Hernán Mauricio Romero
J. Fungi 2024, 10(7), 446; https://doi.org/10.3390/jof10070446 - 26 Jun 2024
Viewed by 3032
Abstract
Phytophthora palmivora, a hemibiotrophic oomycete, causes diseases in several economically important tropical crops, such as oil palm, which it is responsible for a devastating disease called bud rot (BR). Despite recent progress in understanding host resistance and virulence mechanisms, many aspects remain [...] Read more.
Phytophthora palmivora, a hemibiotrophic oomycete, causes diseases in several economically important tropical crops, such as oil palm, which it is responsible for a devastating disease called bud rot (BR). Despite recent progress in understanding host resistance and virulence mechanisms, many aspects remain unknown in P. palmivora isolates from oil palm. Model pathosystems are useful for understanding the molecular interactions between pathogens and hosts. In this study, we utilized detached leaves and whole seedlings of Arabidopsis thaliana Col-0 to describe and evaluate the infection process of three P. palmivora isolates (CPPhZC-05, CPPhZC-04, CPPhZOC-01) that cause BR in oil palm. Two compatible isolates (CPPhZC-05 and CPPhZOC-01) induced aqueous lesions at 72 h post-inoculation (hpi), with microscopic visualization revealing zoospore encysting and appressorium penetration at 3 hpi, followed by sporangia generation at 72 hpi. In contrast, an incompatible isolate (CPPhZC-04) exhibited cysts that could not penetrate tissue, resulting in low leaf colonization. Gene expression of ten P. palmivora infection-related genes was quantified by RT-qPCR, revealing overexpression in compatible isolates, but not in the incompatible isolate. Additionally, key genes associated with salicylic acid (SA), jasmonic acid (JA), and ethylene (ET) in Arabidopsis exhibited regulation during interaction with the three isolates. These findings demonstrate that P. palmivora can infect Arabidopsis Col-0, and variability is observed in the interaction between Arabidopsis-Col-0 and P. palmivora isolates. Establishing this pathosystem is expected to enhance our understanding of P. palmivora’s pathology and physiology. Full article
Show Figures

Figure 1

18 pages, 10370 KB  
Article
The Dynamic Interaction between Oil Palm and Phytophthora palmivora in Bud Rot Disease: Insights from Transcriptomic Analysis and Network Modelling
by Mariandrea García-Gaona, David Botero-Rozo, Leonardo Araque and Hernán Mauricio Romero
J. Fungi 2024, 10(3), 164; https://doi.org/10.3390/jof10030164 - 20 Feb 2024
Cited by 4 | Viewed by 3759
Abstract
Bud Rot, caused by Phytophthora palmivora, is considered one of the main diseases affecting African oil palm (Elaeis guineensis). In this study, we investigated the in vitro molecular dynamics of the pathogen–host interaction by analyzing gene expression profiles from oil [...] Read more.
Bud Rot, caused by Phytophthora palmivora, is considered one of the main diseases affecting African oil palm (Elaeis guineensis). In this study, we investigated the in vitro molecular dynamics of the pathogen–host interaction by analyzing gene expression profiles from oil palm genotypes that were either susceptible or resistant to the disease. We observed distinct interactions of P. palmivora with resistant and susceptible oil palms through co-expression network analysis. When interacting with susceptible genotypes, P. palmivora exhibited upregulation of carbohydrate and sulfate transport genes. These genes demonstrated co-expression with apoplastic and cytoplasmic effectors, including cell wall degrading enzymes, elicitins, and RxLR motif effectors. The pathogen manipulated susceptible oil palm materials, exacerbating the response and compromising the phenylpropanoid pathway, ultimately leading to susceptibility. In contrast, resistant materials exhibited control over their response through putative Heat Shock Proteins (HSP) that maintained homeostasis between primary metabolism and biotic defense. Co-expressed genes related to flavonoids, WRKY transcripts, lectin-type receptors, and LRR receptors may play important roles in pathogen control. Overall, the study provides new knowledge of the molecular mechanisms underlying the interaction between E. guineensis and P. palmivora, which can contribute to controlling Bud Rot in oil palms and gives new insights into the interactions of P. palmivora with their hosts. Full article
Show Figures

Figure 1

11 pages, 5046 KB  
Article
Fungal Pathogens of Cacao in Puerto Rico
by Alina Sandra Puig
Plants 2023, 12(22), 3855; https://doi.org/10.3390/plants12223855 - 15 Nov 2023
Cited by 5 | Viewed by 4010
Abstract
Cacao production is a rapidly expanding industry in Puerto Rico, with new farmers planting ~20,000 trees in the past few years. To determine the etiology and extent of diseases affecting cacao in Puerto Rico, a survey was performed at eight sites around the [...] Read more.
Cacao production is a rapidly expanding industry in Puerto Rico, with new farmers planting ~20,000 trees in the past few years. To determine the etiology and extent of diseases affecting cacao in Puerto Rico, a survey was performed at eight sites around the island. Pod rot and/or branch dieback were observed at all sites. Most organisms isolated from symptomatic pod and stem samples were identified as Diaporthe spp. (48%) and Lasiodiplodia spp. (25%) based on sequences of the internal transcribed spacer and large subunit regions. Within these genera, Diaporthe tulliensis and Lasiodiplodia theobromae were the most prevalent species and were used in inoculation studies to determine their relative virulence on pods and stems. Phytophthora palmivora served as a positive control due to its well-established pathogenicity in all tissues. On pods, L. theobromae and P. palmivora caused significantly larger lesions (6.1 and 5.9 cm, respectively) than D. tulliensis (2.7 cm) four days post-inoculation. All three species caused disease on stems, with no differences found among species. Although P. palmivora was thought to be the primary pathogen affecting cacao in Puerto Rico, this study identifies L. theobromae and D. tulliensis as the common pathogens on the island. This improved understanding will help scientists and farmers control disease by selecting fungicides effective against both oomycetes and fungi. Full article
(This article belongs to the Special Issue The Research of Plant Fungal Disease)
Show Figures

Figure 1

14 pages, 5893 KB  
Article
Vernonia amygdalina Extract Loaded Microspheres for Controlling Phytophthora palmivora
by Jiratchaya Chainanta, Kittiporn Yakajay, Chanakarn Chinda, Phikul Intaparn, Chaiwat To-anun, Pratchaya Tipduangta, Busaban Sirithunyalug, Sukanya Haituk, Jeerapa Nguanhom, Tonapha Pusadee, Anuruddha Karunarathna and Ratchadawan Cheewangkoon
Sustainability 2023, 15(14), 10842; https://doi.org/10.3390/su151410842 - 11 Jul 2023
Cited by 1 | Viewed by 3519
Abstract
The adverse effects of modern fungicide consumption have caused many issues in the agroecosystem. Hence, under sustainable agriculture concepts, it is important to research alternatives to the currently used fungicide. The use of secondary metabolite-containing herbal extracts for treating plant diseases has become [...] Read more.
The adverse effects of modern fungicide consumption have caused many issues in the agroecosystem. Hence, under sustainable agriculture concepts, it is important to research alternatives to the currently used fungicide. The use of secondary metabolite-containing herbal extracts for treating plant diseases has become the latest trend in sustainable and green agriculture. However, the poor solubility and volatile nature of many compounds cause practical issues when using them in the field. Hence, bioactive compound delivery through nano- or micro-particles has become a successful technique to improve the solubility and delivery of secondary metabolites to targeted sites. In the current study, the ethyl acetate (EtOAc) extract from dried leaves of Vernonia amygdalina was tested against Phytophthora palmivora isolated from Durian (Durio zibethinus) root rot. Further, the potential of enhancing the effect of V. amygdalina EtOAc treatment through microspheres loaded with V. amygdalina EtOAc extract was also investigated. The microspheres encapsulated with Eudragit® E were synthesized under different electrospray conditions to obtain the microspheres with the highest efficacy. The poison media assays evaluated the fungal growth inhibition efficiency of the V. amygdalina EtOAc crude extract and the synthesized microspheres. The study reveals that the V. amygdalina EtOAc extract has the potential to suppress the growth of P. palmivora. Interestingly, the synthesized microspheres showed immense growth inhibition in P. palmivora, with a 61.10 µg/mL decrease in ED50 compared to the direct usage of V. amygdalina EtOAc extract. Full article
Show Figures

Figure 1

21 pages, 1939 KB  
Article
Pentaketides and 5-p-Hydroxyphenyl-2-pyridone Derivative from the Culture Extract of a Marine Sponge-Associated Fungus Hamigera avellanea KUFA0732
by Rotchana Klaram, Tida Dethoup, Fátima P. Machado, Luís Gales, Decha Kumla, Salar Hafez Ghoran, Emília Sousa, Sharad Mistry, Artur M. S. Silva and Anake Kijjoa
Mar. Drugs 2023, 21(6), 344; https://doi.org/10.3390/md21060344 - 2 Jun 2023
Cited by 6 | Viewed by 2985
Abstract
Five undescribed pentaketide derivatives, (R)-6,8-dihydroxy-4,5-dimethyl-3-methylidene-3,4-dihydro-1H-2-benzopyran-1-one (1), [(3S,4R)-3,8-dihydroxy-6-methoxy-4,5-dimethyl-1-oxo-3,4-dihydro-1H-isochromen-3-yl]methyl acetate (2), (R)-5, 7-dimethoxy-3-((S)-(1-hydroxyethyl)-3,4-dimethylisobenzofuran-1(3H)-one (4b), (S)-7-hydroxy-3-((S)-1-hydroxyethyl)-5-methoxy-3,4-dimethylisobenzofuran 1(3H)-one ( [...] Read more.
Five undescribed pentaketide derivatives, (R)-6,8-dihydroxy-4,5-dimethyl-3-methylidene-3,4-dihydro-1H-2-benzopyran-1-one (1), [(3S,4R)-3,8-dihydroxy-6-methoxy-4,5-dimethyl-1-oxo-3,4-dihydro-1H-isochromen-3-yl]methyl acetate (2), (R)-5, 7-dimethoxy-3-((S)-(1-hydroxyethyl)-3,4-dimethylisobenzofuran-1(3H)-one (4b), (S)-7-hydroxy-3-((S)-1-hydroxyethyl)-5-methoxy-3,4-dimethylisobenzofuran 1(3H)-one (5), and a p-hydroxyphenyl-2-pyridone derivative, avellaneanone (6), were isolated together with the previously reported (R)-3-acetyl-7-hydroxy-5-methoxy-3,4-dimethylisobenzofuran-1(3H)-one (3), (R)-7-hydroxy-3-((S)-1-hydroxyethyl)-5-methoxy-3,4-dimethylisobenzofuran-1(3H)-one (4a) and isosclerone (7), from the ethyl acetate extract of a culture of a marine sponge-derived fungus, Hamigera avellanea KUFA0732. The structures of the undescribed compounds were elucidated using 1D and 2D NMR, as well as high-resolution mass spectral analyses. The absolute configurations of the stereogenic carbons in 1, 4b, 5, and 6 were established by X-ray crystallographic analysis. The absolute configurations of C-3 and C-4 in 2 were determined by ROESY correlations and on the basis of their common biosynthetic origin with 1. The crude fungal extract and the isolated compounds 1, 3, 4b, 5, 6, and 7 were assayed for their growth inhibitory activity against various plant pathogenic fungi viz. Alternaria brassicicola, Bipolaris oryzae, Colletotrichum capsici, C. gloeosporiodes, Curvularia oryzae, Fusarium semitectum, Lasiodiplodia theobromae, Phytophthora palmivora, Pyricularia oryzae, Rhizoctonia oryzae and Sclerotium rolfsii. Full article
Show Figures

Graphical abstract

Back to TopTop