Sign in to use this feature.

Years

Between: -

Subjects

remove_circle_outline
remove_circle_outline
remove_circle_outline
remove_circle_outline
remove_circle_outline

Journals

Article Types

Countries / Regions

Search Results (10)

Search Parameters:
Keywords = Pennisetum setaceum

Order results
Result details
Results per page
Select all
Export citation of selected articles as:
16 pages, 1458 KB  
Review
Cenchrus setaceus as an Invasive Weed: Invasiveness, Distribution, and Management (A Review)
by Sima Sohrabi, Antonia M. Rojano-Delgado, Javid Gherekhloo, Candelario Palma-Bautista and Rafael De Prado
Agronomy 2026, 16(1), 125; https://doi.org/10.3390/agronomy16010125 - 4 Jan 2026
Viewed by 256
Abstract
Invasive alien plants (IAPs) disrupt biodiversity, ecosystem functions, rural livelihoods, and human health/well-being. Hence, the negative impact of Cenchrus setaceus (syn. Pennisetum setaceum) as an invasive weed poses many concerns in terms of environmental and socio-economic impact. The abundance in previous research [...] Read more.
Invasive alien plants (IAPs) disrupt biodiversity, ecosystem functions, rural livelihoods, and human health/well-being. Hence, the negative impact of Cenchrus setaceus (syn. Pennisetum setaceum) as an invasive weed poses many concerns in terms of environmental and socio-economic impact. The abundance in previous research on invasion ecology, weed biology, and the management of C. setaceus establishes the chance to carry out an in-depth evaluation of this invasive alien species for a cohesive understanding, closely linked to policy development. This systematic review aims to provide a comprehensive evaluation of previous research, identify knowledge gaps, and incorporate recent practical research findings on C. setaceus to elucidate management options. Standard methods were used to collect the literary evidence on multiple thematic aspects linked with its traits and management. Results revealed the substantial negative impacts of C. setaceus on ecosystems, ascribed to multiple physiological, biochemical, and ecological features. Further, a multitude of plant traits such as rapid seed distribution and efficient reproductive strategies imposed serious challenges in the control of C. setaceus. Deployment of integrated control methods for at least three years in depleting seed bank conjunction by planting native grass may help in its confinement. In conclusion, policy measures like strict biosecurity/legal regulations, explicit elucidation of weed biology, early detection and response, ecological modeling, and long-term monitoring with community participation can expand the horizon of C. setaceus control and help achieve its sustainable management. Full article
(This article belongs to the Topic Plant Invasion: 2nd Edition)
Show Figures

Figure 1

21 pages, 3019 KB  
Article
Enhancing Native Plant Establishment in Mine Tailings under Drought Stress Conditions through the Application of Organo-Mineral Amendments and Microbial Inoculants
by Madline Atika, Benidire Leila, Sofia I. A. Pereira, Paula M. L. Castro and Boularbah Ali
Plants 2024, 13(6), 863; https://doi.org/10.3390/plants13060863 - 17 Mar 2024
Cited by 4 | Viewed by 2215
Abstract
The implementation of phytoremediation strategies under arid and semiarid climates requires the use of appropriate plant species capable of withstanding multiple abiotic stresses. In this study, we assessed the combined effects of organo-mineral amendments and microbial inoculants on the chemical and biological properties [...] Read more.
The implementation of phytoremediation strategies under arid and semiarid climates requires the use of appropriate plant species capable of withstanding multiple abiotic stresses. In this study, we assessed the combined effects of organo-mineral amendments and microbial inoculants on the chemical and biological properties of mine tailings, as well as on the growth of native plant species under drought stress conditions. Plants were cultivated in pots containing 1 kg of a mixture of mine tailings and topsoil (i.e., pre-mined superficial soil) in a 60:40 ratio, 6% marble sludge, and 10% sheep manure. Moreover, a consortium of four drought-resistant plant growth-promoting rhizobacteria (PGPR) was inoculated. Three irrigation levels were applied: well-watered, moderate water deficit, and severe water deficit, corresponding to 80%, 45%, and 30% of field capacity, respectively. The addition of topsoil and organo-mineral amendments to mine tailings significantly improved their chemical and biological properties, which were further enhanced by bacterial inoculation and plants’ establishment. Water stress negatively impacted enzymatic activities in amended tailings, resulting in a significant decrease in acid and alkaline phosphatases, urease, and dehydrogenase activities. Similar results were obtained for bacteria, fungi, and actinomycete abundance. PGPR inoculation positively influenced the availability of phosphorus, total nitrogen, and organic carbon, while it increased alkaline phosphatase, urease (by about 10%), and dehydrogenase activity (by 50%). The rhizosphere of Peganum harmala showed the highest enzymatic activity and number of culturable microorganisms, especially in inoculated treatments. Severe water deficit negatively affected plant growth, leading to a 40% reduction in the shoot biomass of both Atriplex halimus and Pennisetum setaceum compared to well-watered plants. P. harmala showed greater tolerance to water stress, evidenced by lower decreases observed in root and shoot length and dry weight compared to well-watered plants. The use of bioinoculants mitigated the negative effects of drought on P. harmala shoot biomass, resulting in an increase of up to 75% in the aerial biomass in plants exposed to severe water deficit. In conclusion, the results suggest that the combination of organo-mineral amendments, PGPR inoculation, and P. harmala represents a promising approach to enhance the phytoremediation of metal-polluted soils under semiarid conditions. Full article
(This article belongs to the Section Plant Response to Abiotic Stress and Climate Change)
Show Figures

Figure 1

15 pages, 912 KB  
Article
In Vitro Rumen Fermentation Kinetics Determination and Nutritional Evaluation of Several Non-Conventional Plants with Potential for Ruminant Feeding
by Cristiana S. A. M. Maduro Dias, Helder Nunes, Carlos Vouzela, João Madruga and Alfredo Borba
Fermentation 2023, 9(5), 416; https://doi.org/10.3390/fermentation9050416 - 26 Apr 2023
Cited by 10 | Viewed by 3160
Abstract
Using invasive plants as non-conventional forage in livestock production can contribute to meeting climate change targets and provide a competitive advantage in a global market. This study evaluated the nutritional potential of several non-conventional plants: Pennisetum setaceum, Ricinus communis, Arundo donax, Acacia [...] Read more.
Using invasive plants as non-conventional forage in livestock production can contribute to meeting climate change targets and provide a competitive advantage in a global market. This study evaluated the nutritional potential of several non-conventional plants: Pennisetum setaceum, Ricinus communis, Arundo donax, Acacia melanoxylon, Opuntia ficus-indica, Agave americana, Pittosporum undulatum, and Hedychium gardnerianum. Chemical composition, in vitro digestibility, gas production, and energy estimates were determined. Opuntia showed the lowest DM value (6.65%), while the highest was found for Acacia (39.43%). Ricinus recorded the highest levels of CP (23.56% DM), RFV (273.86), and in vitro gas production at 24 h (43.49 mL/200 mg DM). The highest NDF (80.39% DM), HEM (39.03% DM), and CEL (36.81% DM) values were observed for Pennisetum. Agave produced the highest amount of gas from the start to the end of incubation (22.68 to 48.99 mL/200 mg DM), while Acacia produced the least (3.83 to 14.78 mL/200 mg DM). The highest ME (8.72 MJ/kg DM) and NEL (5.06 MJ/kg DM) estimates were obtained for Agave. Correlations between the chemical compositions and feed quality indices of the plants were observed, showing strong negative correlations between ADF and DMD, OMD, and DMI (r > 0.86, p < 0.01). We can conclude that all these non-conventional plants have potential as an alternative feed for ruminants when there are fodder shortages. Full article
(This article belongs to the Special Issue In Vitro Fermentation, 2nd Edition)
Show Figures

Figure 1

18 pages, 2266 KB  
Article
Valorization of Pennisetum setaceum: From Invasive Plant to Fiber Reinforcement of Injected Composites
by Patricia Cabrera-García, María Dolores Marrero, Antonio Nizardo Benítez and Rubén Paz
Plants 2023, 12(9), 1777; https://doi.org/10.3390/plants12091777 - 26 Apr 2023
Cited by 7 | Viewed by 3317
Abstract
During the control campaigns of Pennisetum setaceum (invasive species widespread worldwide), the generated waste has accumulated in landfills. This study investigates its use to obtain P. setaceum fibers for their application as reinforcement of polymeric materials for injection molding, thus facilitating and promoting [...] Read more.
During the control campaigns of Pennisetum setaceum (invasive species widespread worldwide), the generated waste has accumulated in landfills. This study investigates its use to obtain P. setaceum fibers for their application as reinforcement of polymeric materials for injection molding, thus facilitating and promoting alternatives for the long-term sustainable management of P. setaceum. The extracted fibers were treated with alkaline, silane, acetic acid, and combined alkaline and silane treatments. Different composites with 20 and 40 wt% of fiber were extruded, and test samples were obtained by injection molding using recycled polyethylene as matrix. The composition of the fibers was determined by gravimetric methods, and contrasted with the analysis of the functional chemical groups using Fourier Transform Infrared Spectroscopy. Increases of up to 47% in the cellulose content of the treated fiber were observed. The thermal degradation was also evaluated using thermogravimetric analysis, which determined an increase in the degradation temperature, from 194 to 230 °C, after the combined alkaline–silane treatment. In order to analyze the differences in the composites, tensile, flexural, and impact properties were evaluated; in addition, differential scanning calorimetry was performed. Regarding the flexural behavior, it was possible to improve the flexural modulus up to 276% compared with that of the unreinforced polymer. Full article
(This article belongs to the Special Issue Alternatives for a Sustainable Management of Invasive Plant Species)
Show Figures

Figure 1

23 pages, 4991 KB  
Article
Effect of Water Deficit on Germination, Growth and Biochemical Responses of Four Potentially Invasive Ornamental Grass Species
by Diana M. Mircea, Elena Estrelles, Mohamad Al Hassan, Pilar Soriano, Radu E. Sestras, Monica Boscaiu, Adriana F. Sestras and Oscar Vicente
Plants 2023, 12(6), 1260; https://doi.org/10.3390/plants12061260 - 10 Mar 2023
Cited by 18 | Viewed by 4667
Abstract
Ornamental plant species introduced into new environments can exhibit an invasive potential and adaptability to abiotic stress factors. In this study, the drought stress responses of four potentially invasive ornamental grass species (Cymbopogon citratus, Cortaderia selloana, Pennisetum alopecuroides and P. [...] Read more.
Ornamental plant species introduced into new environments can exhibit an invasive potential and adaptability to abiotic stress factors. In this study, the drought stress responses of four potentially invasive ornamental grass species (Cymbopogon citratus, Cortaderia selloana, Pennisetum alopecuroides and P. setaceum) were analysed. Several seed germination parameters were determined under increasing polyethylene glycol (PEG 6000) concentrations. Additionally, plants in the vegetative stage were subjected to intermediate and severe water stress treatments for four weeks. All species registered high germination rates in control conditions (no stress treatment), even at high PEG concentrations, except C. citratus, which did not germinate at −1 MPa osmotic potential. Upon applying the water stress treatments, P. alopecuroides plants showed the highest tolerance, and C. citratus appeared the most susceptible to drought. Stress-induced changes in several biochemical markers (photosynthetic pigments, osmolytes, antioxidant compounds, root and shoot Na+ and K+ contents), highlighted different responses depending on the species and the stress treatments. Basically, drought tolerance seems to depend to a large extent on the active transport of Na+ and K+ cations to the aerial part of the plants, contributing to osmotic adjustment in all four species and, in the case of the most tolerant P. alopecuroides, on the increasing root K+ concentration under water deficit conditions. The study shows the invasive potential of all species, except C. citratus, in dry areas such as the Mediterranean region, especially in the current climate change scenario. Particular attention should be given to P. alopecuroides, which is widely commercialised in Europe as ornamental. Full article
(This article belongs to the Section Plant Response to Abiotic Stress and Climate Change)
Show Figures

Figure 1

14 pages, 2254 KB  
Article
Development of SSR Markers Based on Transcriptome Sequencing and Verification of Their Conservation across Species of Ornamental Pennisetum Rich. (Poaceae)
by Yidi Guo, Lingyun Liu, Yuesen Yue, Xifeng Fan, Wenjun Teng, Hui Zhang, Kang Gao, Jin Guan, Zhihui Chang and Ke Teng
Agronomy 2022, 12(7), 1683; https://doi.org/10.3390/agronomy12071683 - 15 Jul 2022
Cited by 9 | Viewed by 3131
Abstract
Pennisetum species have importance in foraging, agriculture, energy-production, the environment, and landscaping. To promote the preservation and utilization of ornamental Pennisetum resources, we developed simple sequence repeat (SSR) markers from the Pennisetum setaceum cv. ‘Rubrum’ transcriptome and verified their conservation in 38 sources. [...] Read more.
Pennisetum species have importance in foraging, agriculture, energy-production, the environment, and landscaping. To promote the preservation and utilization of ornamental Pennisetum resources, we developed simple sequence repeat (SSR) markers from the Pennisetum setaceum cv. ‘Rubrum’ transcriptome and verified their conservation in 38 sources. Our transcriptome sequencing efforts generated 58.91 Gb of clean data containing 55,627 unigenes. We functionally annotated 30,930 unigenes, with functions enriched in translation and ribosomal structure and biogenesis. Database comparisons indicated that the closest relative of P. setaceum cv. ‘Rubrum’ is Setaria italica. Over five thousand SSR markers were detected in the transcriptomic data. We selected 38 pairs of highly polymorphic SSR markers from 50 randomly selected SSR markers. Based on genetic diversity analysis of 38 ornamental Pennisetum sources, we obtained 312 polymorphic bands, with an average of 8.21 alleles per primer. Principal coordinate analyses and generation of a, which proved that Pennisetum has moderate genetic diversity. In addition, fingerprint maps were constructed to improve Pennisetum identification. The transcriptome data generated by our study enhances the transcriptional information available for P. setaceum. This study lays the foundation for the collection and utilization of ornamental Pennisetum resources and provides a basis for future breeding projects using this species. Full article
Show Figures

Figure 1

20 pages, 9513 KB  
Article
Valorization of Invasive Plants from Macaronesia as Filler Materials in the Production of Natural Fiber Composites by Rotational Molding
by Zaida Ortega, Francisco Romero, Rubén Paz, Luis Suárez, Antonio Nizardo Benítez and María Dolores Marrero
Polymers 2021, 13(13), 2220; https://doi.org/10.3390/polym13132220 - 5 Jul 2021
Cited by 31 | Viewed by 4410
Abstract
This paper compares the mechanical properties of different natural fiber composites produced by rotational molding as a way of waste valorization from campaigns to control invasive plant species in Macaronesia. Rotomolded parts produced with polymeric matrices (polyethylene) and filled with up to 20% [...] Read more.
This paper compares the mechanical properties of different natural fiber composites produced by rotational molding as a way of waste valorization from campaigns to control invasive plant species in Macaronesia. Rotomolded parts produced with polymeric matrices (polyethylene) and filled with up to 20% by weight of cellulosic fibers obtained from Arundo donax L., Pennisetum setaceum, and Ricinus communis plants were characterized in terms of tensile, flexural, and impact strength. It was found that the sieving of natural fibers allowed for their introduction in higher loadings, from 10 (for un-sieved material) to 20%; fiber size greatly affected the mechanical properties of the final parts, although some combinations were proven not to reduce the mechanical properties of the neat resin. This study is a first approach to the valorization of residues obtained from periodic campaigns of the control of invasive species performed by public authorities, usually at the local level. It is important to highlight that the main objective of this research did not focus on economically profitable activity; instead, it was focused on the reduction of wastes to be disposed from ecosystem maintenance actions and the investment of potential income into preservation policies. Full article
(This article belongs to the Special Issue Natural Fibers: High Performance Sustainable Materials)
Show Figures

Graphical abstract

13 pages, 5617 KB  
Article
Mechanical and Thermal Properties of Insulating Sustainable Mortars with Ampelodesmos mauritanicus and Pennisetum setaceum Plants as Aggregates
by Dionisio Badagliacco, Carmelo Sanfilippo, Bartolomeo Megna, Tommaso La Mantia and Antonino Valenza
Appl. Sci. 2021, 11(13), 5910; https://doi.org/10.3390/app11135910 - 25 Jun 2021
Cited by 10 | Viewed by 2847
Abstract
The use of natural fibers in cement composites is a widening research field as their application can enhance the mechanical and thermal behavior of cement mortars and limit their carbon footprint. In this paper, two different wild grasses, i.e., Ampelodesmos mauritanicus, also [...] Read more.
The use of natural fibers in cement composites is a widening research field as their application can enhance the mechanical and thermal behavior of cement mortars and limit their carbon footprint. In this paper, two different wild grasses, i.e., Ampelodesmos mauritanicus, also called diss, and Pennisetum setaceum, also known as crimson fountaingrass, are used as a source of natural aggregates for cement mortars. The main purpose is to assess the possibility of using the more invasive crimson fountaingrass in place of diss in cement-based vegetable concrete. The two plant fibers have been characterized by means of scanning electron microscopy (SEM), helium picnometry and thermogravimetric analysis. Moreover, the thermal conductivity of fiber panels has been measured. Mortars samples have been prepared using untreated, boiled and Polyethylene glycol 4000 (PEG) treated fibers. The mechanical characterization has been performed by means of three point bending and compression tests. Thermal conductivity and porosity have been measured to characterize physical modification induced by fibers’ treatments. The results showed better thermal and mechanical properties of diss fiber composites than fountaingrass one and that fiber treatments lead to a reduction of the thermal insulation properties. Full article
(This article belongs to the Topic Fiber-Reinforced Cementitious Composites)
Show Figures

Figure 1

17 pages, 11970 KB  
Article
Poaceae with PGPR Bacteria and Arbuscular Mycorrhizae Partnerships as a Model System for Plant Microbiome Manipulation for Phytoremediation of Petroleum Hydrocarbons Contaminated Agricultural Soils
by Carmine Guarino, Mario Marziano, Maria Tartaglia, Antonello Prigioniero, Alessia Postiglione, Pierpaolo Scarano and Rosaria Sciarrillo
Agronomy 2020, 10(4), 547; https://doi.org/10.3390/agronomy10040547 - 10 Apr 2020
Cited by 28 | Viewed by 4321
Abstract
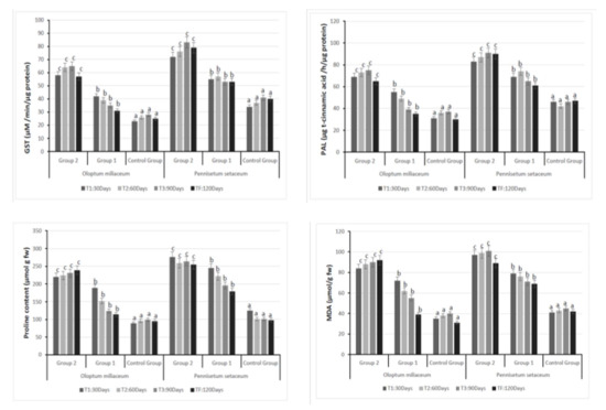
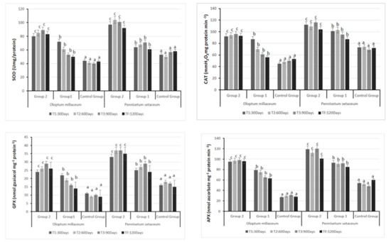
Total petroleum hydrocarbons (TPHs) are a persistent environmental organic contaminant. The possibility of obtaining synergistic effects between plants and microorganisms has further increased the possibility of alternative techniques for bioremediation. Oloptum miliaceum (L.) Röser & H.R. Hamasha and Pennisetum setaceum (Forssk.) Chiov. are, [...] Read more.
Total petroleum hydrocarbons (TPHs) are a persistent environmental organic contaminant. The possibility of obtaining synergistic effects between plants and microorganisms has further increased the possibility of alternative techniques for bioremediation. Oloptum miliaceum (L.) Röser & H.R. Hamasha and Pennisetum setaceum (Forssk.) Chiov. are, undoubtedly, good model plants for phytoremediation because they have large roots, leaf biomass, and a fast and effective renewal capacity, also, they have a great capacity to host endophytes in their roots. Gas chromatography-mass spectrometry (GC-MS) based on carbon fraction number was a basic technique used to determine the hydrocarbon degradation, and microorganism’s population was identified by high-throughput sequencing of 16s rRNA. The microbial consortium used allows the plant to increase overall biomass, adapt more in terms of redox biology (Superoxide dismutase SOD, catalase CAT, ascorbate peroxidase APX, guaiacol peroxidase GPX), and stress markers (Glutathione S-transferase GST, Phenylalanine Ammonia Lyase PAL, Proline content, and lipid peroxidation MDA). In addition, the photosynthetic efficiency and the soil dehydrogenase activity were monitored. After 240 days, the percentage of TPHs removed in Group 2 was 94%, whereas in Group 1, it was 78% in Oloptum miliaceum and Pennisetum setaceum. The removal of aliphatic hydrocarbons (C13–C36) was observed in Oloptum miliaceum and Pennisetum setaceum inoculated with the consortium of indigenous bacteria selected from rhizosphere soil and mycorrhizae strains. Our data demonstrate that, the Poaceae, in relation to its great ecological and vegetative potential, could be a great candidate for extensive remediation of soils contaminated by TPHs. Full article
Show Figures

Figure 1

19 pages, 4717 KB  
Article
Graminoid Invasion in an Insular Endemism Hotspot and Its Protected Areas
by Anna J. Walentowitz, Severin D. H. Irl, Aurelio Jesús Acevedo Rodríguez, Ángel Palomares-Martínez, Vanessa Vetter, Barbara Zennaro, Félix M. Medina and Carl Beierkuhnlein
Diversity 2019, 11(10), 192; https://doi.org/10.3390/d11100192 - 14 Oct 2019
Cited by 7 | Viewed by 5056
Abstract
Invasive plant species are increasingly altering species composition and the functioning of ecosystems from a local to a global scale. The grass species Pennisetum setaceum has recently raised concerns as an invader on different archipelagos worldwide. Among these affected archipelagos are the Canary [...] Read more.
Invasive plant species are increasingly altering species composition and the functioning of ecosystems from a local to a global scale. The grass species Pennisetum setaceum has recently raised concerns as an invader on different archipelagos worldwide. Among these affected archipelagos are the Canary Islands, which are a hotspot of endemism. Consequently, conservation managers and stakeholders are interested in the potential spreading of this species in the archipelago. We identify the current extent of the suitable habitat for P. setaceum on the island of La Palma to assess how it affects island ecosystems, protected areas (PAs), and endemic plant species richness. We recorded in situ occurrences of P. setaceum from 2010 to 2018 and compiled additional ones from databases at a 500 m × 500 m resolution. To assess the current suitable habitat and possible distribution patterns of P. setaceum on the island, we built an ensemble model. We projected habitat suitability for island ecosystems and PAs and identified risks for total as well as endemic plant species richness. The suitable habitat for P. setaceum is calculated to cover 34.7% of the surface of La Palma. In open ecosystems at low to mid elevations, where native ecosystems are already under pressure by land use and human activities, the spread of the invader will likely lead to additional threats to endemic plant species. Forest ecosystems (e.g., broadleaved evergreen and coniferous forests) are not likely to be affected by the spread of P. setaceum because of its heliophilous nature. Our projection of suitable habitat of P. setaceum within ecosystems and PAs on La Palma supports conservationists and policymakers in prioritizing management and control measures and acts as an example for the potential threat of this graminoid invader on other islands. Full article
(This article belongs to the Special Issue Impact of Invasive Species and Climate Change on Plant Biodiversity)
Show Figures

Figure 1

Back to TopTop