Sign in to use this feature.

Years

Between: -

Subjects

remove_circle_outline
remove_circle_outline
remove_circle_outline
remove_circle_outline
remove_circle_outline
remove_circle_outline

Journals

Article Types

Countries / Regions

Search Results (19)

Search Parameters:
Keywords = PP-YOLOv2

Order results
Result details
Results per page
Select all
Export citation of selected articles as:
22 pages, 1797 KB  
Article
A Novel Hybrid Deep Learning–Probabilistic Framework for Real-Time Crash Detection from Monocular Traffic Video
by Reşat Buğra Erkartal and Atınç Yılmaz
Appl. Sci. 2025, 15(19), 10523; https://doi.org/10.3390/app151910523 - 29 Sep 2025
Abstract
The rapid evolution of autonomous vehicle technologies has amplified the need for crash detection that operates robustly under complex traffic conditions with minimal latency. We propose a hybrid temporal hierarchy that augments a Region-based Convolutional Neural Network (R-CNN) with an adaptive time-variant Kalman [...] Read more.
The rapid evolution of autonomous vehicle technologies has amplified the need for crash detection that operates robustly under complex traffic conditions with minimal latency. We propose a hybrid temporal hierarchy that augments a Region-based Convolutional Neural Network (R-CNN) with an adaptive time-variant Kalman filter (with total-variation prior), a Hidden Markov Model (HMM) for state stabilization, and a lightweight Artificial Neural Network (ANN) for learned temporal refinement, enabling real-time crash detection from monocular video. Evaluated on simulated traffic in CARLA and real-world driving in Istanbul, the full temporal stack achieves the best precision–recall balance, yielding 83.47% F1 offline and 82.57% in real time (corresponding to 94.5% and 91.2% detection accuracy, respectively). Ablations are consistent and interpretable: removing the HMM reduces F1 by 1.85–2.16 percentage points (pp), whereas removing the ANN has a larger impact of 2.94–4.58 pp, indicating that the ANN provides the largest marginal gains—especially under real-time constraints. The transition from offline to real time incurs a modest overall loss (−0.90 pp F1), driven more by recall than precision. Compared to strong single-frame baselines, YOLOv10 attains 82.16% F1 and a real-time Transformer detector reaches 82.41% F1, while our full temporal stack remains slightly ahead in real time and offers a more favorable precision–recall trade-off. Notably, integrating the ANN into the HMM-based pipeline improves accuracy by 2.2%, while the time-variant Kalman configuration reduces detection lag by approximately 0.5 s—an improvement that directly addresses the human reaction time gap. Under identical conditions, the best RCNN-based configuration yields AP@0.50 ≈ 0.79 with an end-to-end latency of 119 ± 21 ms per frame (~8–9 FPS). Overall, coupling deep learning with probabilistic reasoning yields additive temporal benefits and advances deployable, camera-only crash detection that is cost-efficient and scalable for intelligent transportation systems. Full article
(This article belongs to the Section Computing and Artificial Intelligence)
Show Figures

Figure 1

22 pages, 8527 KB  
Article
MCEM: Multi-Cue Fusion with Clutter Invariant Learning for Real-Time SAR Ship Detection
by Haowei Chen, Manman He, Zhen Yang and Lixin Gan
Sensors 2025, 25(18), 5736; https://doi.org/10.3390/s25185736 - 14 Sep 2025
Viewed by 416
Abstract
Small-vessel detection in Synthetic Aperture Radar (SAR) imagery constitutes a critical capability for maritime surveillance systems. However, prevailing methodologies such as sea-clutter statistical models and deep learning-based detectors face three fundamental limitations: weak target scattering signatures, complex sea clutter interference, and computational inefficiency. [...] Read more.
Small-vessel detection in Synthetic Aperture Radar (SAR) imagery constitutes a critical capability for maritime surveillance systems. However, prevailing methodologies such as sea-clutter statistical models and deep learning-based detectors face three fundamental limitations: weak target scattering signatures, complex sea clutter interference, and computational inefficiency. These challenges create inherent trade-offs between noise suppression and feature preservation while hindering high-resolution representation learning. To address these constraints, we propose the Multi-cue Efficient Maritime detector (MCEM), an anchor-free framework integrating three synergistic components: a Feature Extraction Module (FEM) with scale-adaptive convolutions for enhanced signature representation; a Feature Fusion Module (F2M) decoupling target-background ambiguities; and a Detection Head Module (DHM) optimizing accuracy-efficiency balance. Comprehensive evaluations demonstrate MCEM’s state-of-the-art performance: achieving 45.1% APS on HRSID (+2.3pp over YOLOv8) and 77.7% APL on SSDD (+13.9pp over same baseline), the world’s most challenging high-clutter SAR datasets. The framework enables robust maritime surveillance in complex oceanic conditions, particularly excelling in small target detection amidst high clutter. Full article
(This article belongs to the Section Sensing and Imaging)
Show Figures

Figure 1

21 pages, 2965 KB  
Article
Inspection Method Enabled by Lightweight Self-Attention for Multi-Fault Detection in Photovoltaic Modules
by Shufeng Meng and Tianxu Xu
Electronics 2025, 14(15), 3019; https://doi.org/10.3390/electronics14153019 - 29 Jul 2025
Viewed by 555
Abstract
Bird-dropping fouling and hotspot anomalies remain the most prevalent and detrimental defects in utility-scale photovoltaic (PV) plants; their co-occurrence on a single module markedly curbs energy yield and accelerates irreversible cell degradation. However, markedly disparate visual–thermal signatures of the two phenomena impede high-fidelity [...] Read more.
Bird-dropping fouling and hotspot anomalies remain the most prevalent and detrimental defects in utility-scale photovoltaic (PV) plants; their co-occurrence on a single module markedly curbs energy yield and accelerates irreversible cell degradation. However, markedly disparate visual–thermal signatures of the two phenomena impede high-fidelity concurrent detection in existing robotic inspection systems, while stringent onboard compute budgets also preclude the adoption of bulky detectors. To resolve this accuracy–efficiency trade-off for dual-defect detection, we present YOLOv8-SG, a lightweight yet powerful framework engineered for mobile PV inspectors. First, a rigorously curated multi-modal dataset—RGB for stains and long-wave infrared for hotspots—is assembled to enforce robust cross-domain representation learning. Second, the HSV color space is leveraged to disentangle chromatic and luminance cues, thereby stabilizing appearance variations across sensors. Third, a single-head self-attention (SHSA) block is embedded in the backbone to harvest long-range dependencies at negligible parameter cost, while a global context (GC) module is grafted onto the detection head to amplify fine-grained semantic cues. Finally, an auxiliary bounding box refinement term is appended to the loss to hasten convergence and tighten localization. Extensive field experiments demonstrate that YOLOv8-SG attains 86.8% mAP@0.5, surpassing the vanilla YOLOv8 by 2.7 pp while trimming 12.6% of parameters (18.8 MB). Grad-CAM saliency maps corroborate that the model’s attention consistently coincides with defect regions, underscoring its interpretability. The proposed method, therefore, furnishes PV operators with a practical low-latency solution for concurrent bird-dropping and hotspot surveillance. Full article
Show Figures

Figure 1

19 pages, 3801 KB  
Article
AI-Based Identification and Redevelopment Prioritization of Inefficient Industrial Land Using Street View Imagery and Multi-Criteria Modeling
by Yan Yu, Qiqi Yan, Yu Guo, Chenhe Zhang, Zhixiang Huang and Liangze Lin
Land 2025, 14(6), 1254; https://doi.org/10.3390/land14061254 - 11 Jun 2025
Viewed by 925
Abstract
The strategic prioritization of inefficient industrial land (IIL) redevelopment is critical for directing capital allocation toward sustainable urban regeneration. However, current redevelopment prioritization suffers from inefficient identification of IIL and ambiguous characterization of redevelopment potential, which hinders the efficiency of land resource allocation. [...] Read more.
The strategic prioritization of inefficient industrial land (IIL) redevelopment is critical for directing capital allocation toward sustainable urban regeneration. However, current redevelopment prioritization suffers from inefficient identification of IIL and ambiguous characterization of redevelopment potential, which hinders the efficiency of land resource allocation. To address these challenges, this study develops an AI-driven redevelopment prioritization framework for identifying IIL, evaluating redevelopment potential, and establishing implementation priorities. For land identification we propose an improved YOLOv11 model with an AdditiveBlock module to enhance feature extraction in complex street view scenes, achieving an 80.1% mAP on a self-built dataset of abandoned industrial buildings. On this basis, a redevelopment potential evaluation index system is constructed based on the necessity, maturity, and urgency of redevelopment, and the Particle Swarm Optimization-Projection Pursuit (PSO-PP) model is introduced to objectively evaluate redevelopment potential by adaptively reducing the reliance on expert judgment. Subsequently, the redevelopment priorities were classified according to the calculated potential values. The proposed framework is empirically tested in the central urban area of Ningbo City, China, where inefficient industrial land is successfully identified and redevelopment priority is categorized into near-term, medium-term, and long-term stages. Results show that the framework integrating computer vision and machine learning technology can effectively provide decision support for the redevelopment of IIL and offer a new method for promoting the smart growth of urban space. Full article
Show Figures

Figure 1

25 pages, 27454 KB  
Article
Development of an Optimized YOLO-PP-Based Cherry Tomato Detection System for Autonomous Precision Harvesting
by Xiayang Qin, Jingxing Cao, Yonghong Zhang, Tiantian Dong and Haixiao Cao
Processes 2025, 13(2), 353; https://doi.org/10.3390/pr13020353 - 27 Jan 2025
Cited by 5 | Viewed by 1637
Abstract
An accurate and efficient detection method for harvesting is crucial for the development of automated harvesting robots in short-cycle, high-yield facility tomato cultivation environments. This study focuses on cherry tomatoes, which grow in clusters, and addresses the complexity and reduced detection speed associated [...] Read more.
An accurate and efficient detection method for harvesting is crucial for the development of automated harvesting robots in short-cycle, high-yield facility tomato cultivation environments. This study focuses on cherry tomatoes, which grow in clusters, and addresses the complexity and reduced detection speed associated with the current multi-step processes that combine target detection with segmentation and traditional image processing for clustered fruits. We propose YOLO-Picking Point (YOLO-PP), an improved cherry tomato picking point detection network designed to efficiently and accurately identify stem keypoints on embedded devices. YOLO-PP employs a C2FET module with an EfficientViT branch, utilizing parallel dual-path feature extraction to enhance detection performance in dense scenes. Additionally, we designed and implemented a Spatial Pyramid Squeeze Pooling (SPSP) module to extract fine features and capture multi-scale spatial information. Furthermore, a new loss function based on Inner-CIoU was developed specifically for keypoint tasks to further improve detection efficiency.The model was tested on a real greenhouse cherry tomato dataset, achieving an accuracy of 95.81%, a recall rate of 98.86%, and mean Average Precision (mAP) scores of 99.18% and 98.87% for mAP50 and mAP50-95, respectively. Compared to the DEKR, YOLO-Pose, and YOLOv8-Pose models, the mAP value of the YOLO-PP model improved by 16.94%, 10.83%, and 0.81%, respectively. The proposed algorithm has been implemented on NVIDIA Jetson edge computing devices, equipped with a human–computer interaction interface. The results demonstrate that the proposed Improved Picking Point Detection Network exhibits excellent performance and achieves real-time accurate detection of cherry tomato harvesting tasks in facility agriculture. Full article
(This article belongs to the Section Automation Control Systems)
Show Figures

Figure 1

21 pages, 15422 KB  
Article
A Lightweight Model for Weed Detection Based on the Improved YOLOv8s Network in Maize Fields
by Jinyong Huang, Xu Xia, Zhihua Diao, Xingyi Li, Suna Zhao, Jingcheng Zhang, Baohua Zhang and Guoqiang Li
Agronomy 2024, 14(12), 3062; https://doi.org/10.3390/agronomy14123062 - 22 Dec 2024
Cited by 4 | Viewed by 1629
Abstract
To address the issue of the computational intensity and deployment difficulties associated with weed detection models, a lightweight target detection model for weeds based on YOLOv8s in maize fields was proposed in this study. Firstly, a lightweight network, designated as Dualconv High Performance [...] Read more.
To address the issue of the computational intensity and deployment difficulties associated with weed detection models, a lightweight target detection model for weeds based on YOLOv8s in maize fields was proposed in this study. Firstly, a lightweight network, designated as Dualconv High Performance GPU Net (D-PP-HGNet), was constructed on the foundation of the High Performance GPU Net (PP-HGNet) framework. Dualconv was introduced to reduce the computation required to achieve a lightweight design. Furthermore, Adaptive Feature Aggregation Module (AFAM) and Global Max Pooling were incorporated to augment the extraction of salient features in complex scenarios. Then, the newly created network was used to reconstruct the YOLOv8s backbone. Secondly, a four-stage inverted residual moving block (iRMB) was employed to construct a lightweight iDEMA module, which was used to replace the original C2f feature extraction module in the Neck to improve model performance and accuracy. Finally, Dualconv was employed instead of the conventional convolution for downsampling, further diminishing the network load. The new model was fully verified using the established field weed dataset. The test results showed that the modified model exhibited a notable improvement in detection performance compared with YOLOv8s. Accuracy improved from 91.2% to 95.8%, recall from 87.9% to 93.2%, and mAP@0.5 from 90.8% to 94.5%. Furthermore, the number of GFLOPs and the model size were reduced to 12.7 G and 9.1 MB, respectively, representing a decrease of 57.4% and 59.2% compared to the original model. Compared with the prevalent target detection models, such as Faster R-CNN, YOLOv5s, and YOLOv8l, the new model showed superior performance in accuracy and lightweight. The new model proposed in this paper effectively reduces the cost of the required hardware to achieve accurate weed identification in maize fields with limited resources. Full article
(This article belongs to the Collection AI, Sensors and Robotics for Smart Agriculture)
Show Figures

Figure 1

16 pages, 5047 KB  
Article
Blood Cell Target Detection Based on Improved YOLOv5 Algorithm
by Xuan Song and Hongyan Tang
Electronics 2024, 13(24), 4992; https://doi.org/10.3390/electronics13244992 - 18 Dec 2024
Cited by 2 | Viewed by 1560
Abstract
In the medical field, blood analysis is a key method used to evaluate the health status of the human body. The types and number of blood cells serve as important criteria for doctors to diagnose and treat diseases. In view of the problems [...] Read more.
In the medical field, blood analysis is a key method used to evaluate the health status of the human body. The types and number of blood cells serve as important criteria for doctors to diagnose and treat diseases. In view of the problems regarding difficult classification and low efficiency in blood cell detection, this paper proposes an improved YOLOv5-BS blood cell target detection algorithm. The purpose of the improvement is to enhance the real-time performance and accuracy of blood cell type recognition. The algorithm is based on YOLOv5s as the basic network, incorporating the advantages of both CNN and Transformer architectures. First, the BotNet backbone network is incorporated. Then the YOLOv5 head architecture is replaced with the Decoupled Head structure. Finally, a new loss function SIoU is used to improve the accuracy and efficiency of the model. To detect the feasibility of the algorithm, a comparative experiment was conducted. The experiment shows that the improved algorithm has an accuracy of 92.8% on the test set, an average precision of 83.3%, and a recall rate of 99%. Compared with YOLOv8s and PP-YOLO, the average precision is increased by 3.9% and 1%, and the recall rate is increased by 3% and 2%. This algorithm effectively improves the efficiency and accuracy of blood cell detection and effectively improves the problem of blood cell detection. Full article
(This article belongs to the Special Issue Intelligent Perception and Control for Robotics)
Show Figures

Figure 1

20 pages, 6916 KB  
Article
An Improved YOLOv5 Algorithm for Tyre Defect Detection
by Mujun Xie, Heyu Bian, Changhong Jiang, Zhong Zheng and Wei Wang
Electronics 2024, 13(11), 2207; https://doi.org/10.3390/electronics13112207 - 5 Jun 2024
Cited by 5 | Viewed by 2162
Abstract
In this study, a tyre defect detection model is improved and optimized under the YOLOv5 framework, aiming at radial tyre defects with characteristics such as an elongated shape and various target sizes and defect types. The DySneakConv module is introduced to replace the [...] Read more.
In this study, a tyre defect detection model is improved and optimized under the YOLOv5 framework, aiming at radial tyre defects with characteristics such as an elongated shape and various target sizes and defect types. The DySneakConv module is introduced to replace the first BotteneckCSP in the Backbone network. The deformation offset of the DySneakConv module is used to make the convolutional energy freely adapt to the structure to improve the recognition rate of tyre defects with elongated features; the AIFI module is introduced to replace the fourth BotteneckCSP, and the self-attention mechanism and the processing of large-scale features are used to improve the recognition rate of tyre defects with elongated features using the AIFI module. This latter module has a self-attention mechanism and the ability to handle large-scale features to solve the problems of diverse tyre defects and different sizes. Secondly, the CARAFE up-sampling operator is introduced to replace the up-sampling operator in the Neck network. The up-sampling kernel prediction module in the CARAFE operator is used to increase the receptive field and allow the feature reorganization module to capture more semantic information to overcome the information loss problem of the up-sampling operator. Finally, based on the improved YOLOv5 detection algorithm, the Channel-wise Knowledge Distillation algorithm lightens the model, reducing its computational requirements and size while ensuring detection accuracy. Experimental studies were conducted on a dataset containing four types of tyre defects. Experimental results for the training set show that the improved algorithm improves the mAP0.5 by 4.6 pp, reduces the model size by 25.6 MB, reduces the computational complexity of the model by 31.3 GFLOPs, and reduces the number of parameters by 12.7 × 106 compared to the original YOLOv5m algorithm. Experimental results for the test set show that the improved algorithm improves the mAP0.5 by 2.6 pp compared to the original YOLOv5m algorithm. This suggests that the improved algorithm is more suitable for tyre defect detection than the original YOLOv5. Full article
(This article belongs to the Special Issue Fault Detection Technology Based on Deep Learning)
Show Figures

Figure 1

19 pages, 6634 KB  
Article
A Lightweight Remote Sensing Aircraft Object Detection Network Based on Improved YOLOv5n
by Jiale Wang, Zhe Bai, Ximing Zhang and Yuehong Qiu
Remote Sens. 2024, 16(5), 857; https://doi.org/10.3390/rs16050857 - 29 Feb 2024
Cited by 12 | Viewed by 3223
Abstract
Due to the issues of remote sensing object detection algorithms based on deep learning, such as a high number of network parameters, large model size, and high computational requirements, it is challenging to deploy them on small mobile devices. This paper proposes an [...] Read more.
Due to the issues of remote sensing object detection algorithms based on deep learning, such as a high number of network parameters, large model size, and high computational requirements, it is challenging to deploy them on small mobile devices. This paper proposes an extremely lightweight remote sensing aircraft object detection network based on the improved YOLOv5n. This network combines Shufflenet v2 and YOLOv5n, significantly reducing the network size while ensuring high detection accuracy. It substitutes the original CIoU and convolution with EIoU and deformable convolution, optimizing for the small-scale characteristics of aircraft objects and further accelerating convergence and improving regression accuracy. Additionally, a coordinate attention (CA) mechanism is introduced at the end of the backbone to focus on orientation perception and positional information. We conducted a series of experiments, comparing our method with networks like GhostNet, PP-LCNet, MobileNetV3, and MobileNetV3s, and performed detailed ablation studies. The experimental results on the Mar20 public dataset indicate that, compared to the original YOLOv5n network, our lightweight network has only about one-fifth of its parameter count, with only a slight decrease of 2.7% in mAP@0.5. At the same time, compared with other lightweight networks of the same magnitude, our network achieves an effective balance between detection accuracy and resource consumption such as memory and computing power, providing a novel solution for the implementation and hardware deployment of lightweight remote sensing object detection networks. Full article
Show Figures

Graphical abstract

19 pages, 6215 KB  
Article
Enhanced Detection of Subway Insulator Defects Based on Improved YOLOv5
by Lifeng Huang, Yongzhen Li, Weizu Wang and Zemin He
Appl. Sci. 2023, 13(24), 13044; https://doi.org/10.3390/app132413044 - 7 Dec 2023
Cited by 8 | Viewed by 1585
Abstract
Insulators, pivotal to the integrity of railway catenaries, demand impeccable functioning to prevent system failures. Their consistent assessment is vital for railway safety. Current insulator evaluations in subways predominantly involve human intervention, a method fraught with inefficiencies, inaccuracies, and oversights, exacerbated by the [...] Read more.
Insulators, pivotal to the integrity of railway catenaries, demand impeccable functioning to prevent system failures. Their consistent assessment is vital for railway safety. Current insulator evaluations in subways predominantly involve human intervention, a method fraught with inefficiencies, inaccuracies, and oversights, exacerbated by the complex backdrop of subway tunnels and minuscule defect dimensions. This study introduces an enhanced algorithm, anchored in the YOLOv5 framework, to refine insulator defect identification. Challenges in defect detection include limited, imbalanced data samples and adaptability. Addressing this, an accurate catenary model mirrors the subway line’s architecture, facilitating the creation of synthetic instances of both intact and impaired insulators. An atomization technique augments the dataset volume, fortifying the algorithm’s resilience in reduced visibility conditions, such as fog. Tackling sample equilibrium, the study introduces an equilibrium loss function, assigning disparate weights to various sample categories during training, thereby sharpening the algorithm’s focus on positive instances, particularly those that are challenging to discern, and rectifying the disproportion in sample categories. Incorporating lightweight structures like GhostNet and the Efficient Channel Attention Network (ECA-Net) channel attention scheme not only diminishes the network’s computational demands, thereby elevating the detection capabilities, but also minimizes superfluous data processing, enhancing the accuracy in identifying smaller targets. Empirical analyses indicate substantial model optimization: a size reduction to 60 pp of its original (from 15 MB to 9 MB), a near 1.4 pp increase in mean average precision (mAP) to 96.57%, and a tripling of the detection speed (from 30 to 90 FPS). Real-world image assessments further reveal a mAP improvement of approximately 2.5 pp (reaching 98.43%), confirming the model’s suitability for real-time applications. Full article
Show Figures

Figure 1

18 pages, 4345 KB  
Article
Optimization Algorithm for Steel Surface Defect Detection Based on PP-YOLOE
by Yi Qu, Boyu Wan, Cheng Wang, Haijuan Ju, Jiabo Yu, Yakang Kong and Xiancong Chen
Electronics 2023, 12(19), 4161; https://doi.org/10.3390/electronics12194161 - 7 Oct 2023
Cited by 12 | Viewed by 2075
Abstract
The fast and accurate detection of steel surface defects has become an important goal of research in various fields. As one of the most important and effective methods of detecting steel surface defects, the successive generations of YOLO algorithms have been widely used [...] Read more.
The fast and accurate detection of steel surface defects has become an important goal of research in various fields. As one of the most important and effective methods of detecting steel surface defects, the successive generations of YOLO algorithms have been widely used in these areas; however, for the detection of tiny targets, it still encounters difficulties. To solve this problem, the first modified PP-YOLOE algorithm for small targets is proposed. By introducing Coordinate Attention into the Backbone structure, we encode channel relationships and long-range dependencies using accurate positional information. This improves the performance and overall accuracy of small target detection while maintaining the model parameters. Additionally, simplifying the traditional PAN+FPN components into an optimized FPN feature pyramid structure allows the model to skip computationally expensive but less relevant processes for the steel surface defect dataset, effectively reducing the computational complexity of the model. The experimental results show that the overall average accuracy (mAP) of the improved PP-YOLOE algorithm is increased by 4.1%, the detection speed is increased by 2.06 FPS, and the accuracy of smaller targets (with a pixel area less than 322) that are more difficult to detect is significantly improved by 13.3% on average, as compared to the original algorithm. The detection performance is also higher than that of the mainstream target detection algorithms, such as SSD, YOLOv3, YOLOv4, and YOLOv5, and has a high application value in industrial detection. Full article
Show Figures

Figure 1

32 pages, 12061 KB  
Article
Lane Crack Detection Based on Saliency
by Shengyuan Zhang, Zhongliang Fu, Gang Li and Aoxiang Liu
Remote Sens. 2023, 15(17), 4146; https://doi.org/10.3390/rs15174146 - 24 Aug 2023
Cited by 3 | Viewed by 1864
Abstract
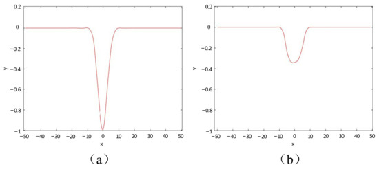
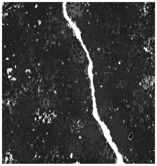
Lane cracks are one of the biggest threats to pavement conditions. The automatic detection of lane cracks can not only assist the evaluation of road quality and quantity but can also be used to develop the best crack repair plan, so as to [...] Read more.
Lane cracks are one of the biggest threats to pavement conditions. The automatic detection of lane cracks can not only assist the evaluation of road quality and quantity but can also be used to develop the best crack repair plan, so as to keep the road level and ensure driving safety. Although cracks can be extracted from pavement images because the gray intensity of crack pixels is lower than the background gray intensity, it is still a challenge to extract continuous and complete cracks from the three-lane images with complex texture, high noise, and uneven illumination. Different from threshold segmentation and edge detection, this study designed a crack detection algorithm with dual positioning. An image-enhancement method based on crack saliency is proposed for the first time. Based on Bayesian probability, the saliency of each pixel judged as a crack is calculated. Then, the Fréchet distance improvement triangle relationship is introduced to determine whether the key point extracted is the fracture endpoint and whether the fast-moving method should be terminated. In addition, a complete remote-sensing process was developed to calculate the length and width of cracks by inverting the squint images collected by mobile phones. A large number of images with different types, noise, illumination, and interference conditions were tested. The average crack extraction accuracy of 89.3%, recall rate of 87.1%, and F1 value of 88.2% showed that the method could detect cracks in pavement well. Full article
Show Figures

Figure 1

15 pages, 2597 KB  
Article
Object Detection Network Based on Module Stack and Attention Mechanism
by Xinke Dou, Ting Wang, Shiliang Shao and Xianqing Cao
Electronics 2023, 12(17), 3542; https://doi.org/10.3390/electronics12173542 - 22 Aug 2023
Cited by 1 | Viewed by 1741
Abstract
Currently, visual computer applications based on convolutional neural networks are rapidly developing. However, several problems remain: (1) high-quality graphics processing equipment is needed, and (2) the trained network model has several unnecessary convolution operations. These problems result in a single-stage target detection network [...] Read more.
Currently, visual computer applications based on convolutional neural networks are rapidly developing. However, several problems remain: (1) high-quality graphics processing equipment is needed, and (2) the trained network model has several unnecessary convolution operations. These problems result in a single-stage target detection network that often requires unnecessary computing power and is difficult to apply to equipment with insufficient computing resources. To solve these problems, based on YOLOv5, a YOLOv5-L (YOLOv5 Lightweight) network structure is proposed. This network is improved using YOLOv5. First, to enhance the inference speed of the detector on the CPU, the PP-LCNet (PaddlePaddle-Lightweight CPU Net) is employed as the backbone network. Second, the focus module is removed, and the end convolution module in the head network is replaced by a deep separable convolution module, which eliminates redundant operations and reduces the amount of computation. The experimental results show that YOLOv5-L enables a 48% reduction in model parameters and computation compared to YOLOv5, a 35% increase in operation speed, and a less than 2% reduction in accuracy, which is significant in the environment of low-performance computing equipment. Full article
(This article belongs to the Special Issue Lifelong Machine Learning-Based Efficient Robotic Object Perception)
Show Figures

Figure 1

23 pages, 2451 KB  
Article
Unmanned Aerial Vehicle Perspective Small Target Recognition Algorithm Based on Improved YOLOv5
by He Xu, Wenlong Zheng, Fengxuan Liu, Peng Li and Ruchuan Wang
Remote Sens. 2023, 15(14), 3583; https://doi.org/10.3390/rs15143583 - 17 Jul 2023
Cited by 16 | Viewed by 4897
Abstract
Small target detection has been widely used in applications that are relevant to everyday life and have many real-time requirements, such as road patrols and security surveillance. Although object detection methods based on deep learning have achieved great success in recent years, they [...] Read more.
Small target detection has been widely used in applications that are relevant to everyday life and have many real-time requirements, such as road patrols and security surveillance. Although object detection methods based on deep learning have achieved great success in recent years, they are not effective in small target detection. In order to solve the problem of low recognition rate caused by factors such as low resolution of UAV viewpoint images and little valid information, this paper proposes an improved algorithm based on the YOLOv5s model, called YOLOv5s-pp. First, to better suppress interference from complex backgrounds and negative samples in images, we add a CA attention module, which can better focus on task-specific important channels while weakening the influence of irrelevant channels. Secondly, we improve the forward propagation and generalisation of the network using the Meta-ACON activation function, which adaptively learns to adjust the degree of linearity or nonlinearity of the activation function based on the input data. Again, the SPD Conv module is incorporated into the network model to address the problems of reduced learning efficiency and loss of fine-grained information due to cross-layer convolution in the model. Finally, the detection head is improved by using smaller, smaller-target detection heads to reduce missed detections. We evaluated the algorithm on the VisDrone2019-DET and UAVDT datasets and compared it with other state-of-the-art algorithms. Compared to YOLOv5s, mAP@.5 improved by 7.4% and 6.5% on the VisDrone2019-DET and UAVDT datasets, respectively, and compared to YOLOv8s, mAP@.5 improved by 0.8% and 2.1%, respectively. For improving the performance of the UAV-side small target detection algorithm, it will help to enhance the reliability and safety of UAVs in critical missions such as military reconnaissance, road patrol and security surveillance. Full article
Show Figures

Figure 1

17 pages, 11249 KB  
Article
Research on a New Method of Track Turnout Identification Based on Improved Yolov5s
by Renxing Chen, Jintao Lv, Haotian Tian, Zhensen Li, Xuan Liu and Yongjun Xie
Processes 2023, 11(7), 2123; https://doi.org/10.3390/pr11072123 - 16 Jul 2023
Cited by 4 | Viewed by 2007
Abstract
The modern tram track automatic cleaning car is a crucial equipment in urban rail transportation systems, effectively removing trash, dust, and other debris from the slotted tracks of trams. However, due to the complex and variable structure of turnouts, the cleaning car often [...] Read more.
The modern tram track automatic cleaning car is a crucial equipment in urban rail transportation systems, effectively removing trash, dust, and other debris from the slotted tracks of trams. However, due to the complex and variable structure of turnouts, the cleaning car often requires assistance in accurately detecting their positions. Consequently, the cleaning car needs help in adequately cleaning or bypassing turnouts, which adversely affects cleaning effectiveness and track maintenance quality. This paper presents a novel method for tracking turnout identification called PBE-YOLO based on the improved yolov5s framework. The algorithm enhances yolov5s by optimizing the lightweight backbone network, improving feature fusion methods, and optimizing the regression loss function. The proposed method is trained using a dataset of track turnouts collected through field shots on modern tram lines. Comparative experiments are conducted to analyze the performance of the improved lightweight backbone network, as well as performance comparisons and ablation experiments for the new turnout identification method. Experimental results demonstrate that the proposed PBE-YOLO method achieves a 52.71% reduction in model parameters, a 4.60% increase in mAP@0.5(%), and a 3.27% improvement in precision compared to traditional yolov5s. By improving the track turnout identification method, this paper enables the automatic cleaning car to identify turnouts’ positions accurately. This enhancement leads to several benefits, including increased automation levels, improved cleaning efficiency and quality, reduced reliance on manual intervention, and mitigation of collision risks between the cleaning car and turnouts. Full article
Show Figures

Figure 1

Back to TopTop