Due to scheduled maintenance work on our servers, there may be short service disruptions on this website between 11:00 and 12:00 CEST on March 28th.
Sign in to use this feature.

Years

Between: -

Subjects

remove_circle_outline
remove_circle_outline
remove_circle_outline
remove_circle_outline
remove_circle_outline
remove_circle_outline
remove_circle_outline
remove_circle_outline
remove_circle_outline

Journals

Article Types

Countries / Regions

Search Results (154)

Search Parameters:
Keywords = PLA/PBAT

Order results
Result details
Results per page
Select all
Export citation of selected articles as:
17 pages, 4785 KB  
Article
Synthesis of Lignin and PLA/PBAT Films: Biodegradability and Environmental Impacts
by Nutchapon Chiarasamran, Ronnachai Jitsamut, Paweena Prapainainar, Anusith Thanapimmetha, Maythee Saisriyoot, Suraini Abd-Aziz, Chanin Khomlaem, Beom Soo Kim and Penjit Srinophakun
Polymers 2026, 18(7), 793; https://doi.org/10.3390/polym18070793 - 25 Mar 2026
Abstract
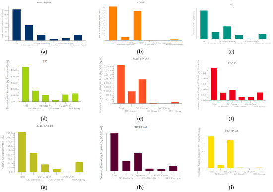
We investigated the synthesis and characterization of biodegradable films composed of poly (lactic acid) (PLA) and poly(butylene adipate-co-terephthalate) (PBAT), with lignin as a natural additive and dicumyl peroxide (DCP) as a compatibilizer. The PLA/PBAT ratio of 70:30 was optimized and the DCP was [...] Read more.
We investigated the synthesis and characterization of biodegradable films composed of poly (lactic acid) (PLA) and poly(butylene adipate-co-terephthalate) (PBAT), with lignin as a natural additive and dicumyl peroxide (DCP) as a compatibilizer. The PLA/PBAT ratio of 70:30 was optimized and the DCP was incorporated at different concentrations to enhance interfacial adhesion. The effects of lignin addition (0.005–0.02%) on the mechanical, thermal, and biodegradation properties were evaluated using SEM, FTIR, XRD, and TGA analyses. The optimal formulation had improved tensile strength, elongation at break, and thermal stability, with the highest degradation rate of 44.22% after 90 days of soil burial. Life cycle assessment using SimaPro software (SimaPro 9.1.1.1) and ReCiPe 2016 Midpoint indicated that the film containing 0.005% lignin had the lowest environmental impact. The primary environmental concerns were marine and freshwater ecotoxicity, associated with solvent use. Based on the results, incorporating small amounts of lignin enhanced the biodegradability and reduced the environmental footprint of the PLA/PBAT films, highlighting their potential for sustainable packaging applications. Full article
(This article belongs to the Section Biobased and Biodegradable Polymers)
Show Figures

Figure 1

20 pages, 4682 KB  
Article
Biodegradable Poly(lactic acid)-Based Blends as Intrinsic Self-Healing Matrices for Multifunctional and Eco-Sustainable Composites
by Isacco Savioli, Laura Simonini, Daniele Rigotti, Alessandro Pegoretti and Andrea Dorigato
Molecules 2026, 31(6), 921; https://doi.org/10.3390/molecules31060921 - 10 Mar 2026
Viewed by 300
Abstract
In this work, compatibilized poly(lactic acid)/poly(butylene adipate-co-terephthalate) (PLA/PBAT) blends were developed and characterized, to be potentially utilized as biodegradable self-healing matrices for composite laminates. Blends containing 10, 20 and 30%wt of PBAT and 0.5 phr of an epoxy-based compatibilizer were prepared by melt [...] Read more.
In this work, compatibilized poly(lactic acid)/poly(butylene adipate-co-terephthalate) (PLA/PBAT) blends were developed and characterized, to be potentially utilized as biodegradable self-healing matrices for composite laminates. Blends containing 10, 20 and 30%wt of PBAT and 0.5 phr of an epoxy-based compatibilizer were prepared by melt compounding and hot pressing. Rheological measurements showed that moduli and complex viscosity generally increased with PBAT content, while maintaining viscosity levels suitable for conventional melt-processing operations. FT-IR and FESEM analyses confirmed the formation of an immiscible but well-compatibilized morphology, characterized by a homogeneous dispersion of PBAT domains within the PLA phase. Mechanical tests revealed a decrease in tensile modulus (up to 44%), strength (up to 45%) and fracture toughness (up to 40%) with a PBAT content up to 30%wt. Self-healing was evaluated by measuring the fracture toughness (KIC) recovery after thermal treatment at 140 °C. After healing, the blend containing 20%wt of PBAT exhibited a self-healing efficiency of 64% under impact conditions, which was attributed to the smoother fracture surface generated at an elevated strain rate that facilitated a more effective flow of the molten PBAT phase across the crack interface during healing. The formulation containing 20%wt of PBAT featured the best balance between mechanical performance and self-healing efficiency. Full article
Show Figures

Graphical abstract

24 pages, 1686 KB  
Article
Obtention and Characterization of Bio-Based Composite PBAT/PLA Active Trays for Fresh Food Packaging
by Tatiana Jiménez-Ariza, Sofía Castellanos-González, Johanna Garavito and Diego A. Castellanos
Polymers 2026, 18(5), 665; https://doi.org/10.3390/polym18050665 - 9 Mar 2026
Viewed by 710
Abstract
Currently, the packaging sector must continue developing more sustainable systems to reduce the high quantities of single-use plastic waste generated. This study evaluated the production and characterization of bio-based composite trays with antimicrobial activity. Different formulations of polybutylene adipate co-terephthalate (PBAT) and polylactic [...] Read more.
Currently, the packaging sector must continue developing more sustainable systems to reduce the high quantities of single-use plastic waste generated. This study evaluated the production and characterization of bio-based composite trays with antimicrobial activity. Different formulations of polybutylene adipate co-terephthalate (PBAT) and polylactic acid (PLA) with polyethylene glycol (PEG) as plasticizer and citric acid as a compatibilizer/crosslinker were evaluated, in addition to the inclusion of plantain microfibers (PFs), TiO2, and menthol as reinforcing and antimicrobial agents, respectively. The mixtures were subjected to pellet extrusion (165/175/185/190 °C and 60 rpm) and then to flat sheet extrusion (at 185/190/195/205 °C and 60 rpm), besides calendering (at 3.5–6.0 rpm). A single-screw extruder was used in both cases. The obtained sheets (0.317 ± 0.040 mm thick and 17 cm wide) were molded into 12.5 × 11.0 × 3.5 cm trays in a thermoforming machine (at 325 °C and vacuum pressure). For the resulting composite sheets and trays, measurements of mechanical strength, moisture absorption, barrier (WVTR), transmittance, and color were performed. FT-IR, DSC, TGA, SEM, and in vitro antimicrobial tests were also conducted. Based on these tests, an initial formulation with an 85/15 (w/w) PLA/PBAT ratio was defined, which was then reinforced with 3% (w/w) PF. Furthermore, the inclusion of 5% (w/w) menthol in the composite led to fungistatic activity against Botrytis cinerea, also resulting in homogeneous sheets (tensile strength 24.137 ± 1.439 MPa) and trays (compressive strength 0.113 ± 0.010 MPa). These findings can be applied to the packaging and preservation of perishable produce. Full article
(This article belongs to the Special Issue Biodegradable and Functional Polymers for Food Packaging)
Show Figures

Graphical abstract

20 pages, 7316 KB  
Article
Effects of Different Biodegradable Mulch Films on Grain Filling Dynamics and Hormone Contents in Maize Grown in a Cold Region
by Yangming Guo, Yating Zhuang, Haoran Li, Danhui Zhang, Fei Li, Shaofeng Bian, Chen Xu, Lihua Zhang, Lizi Zhang, Hongxiang Zhao and Ning Sun
Agriculture 2026, 16(5), 614; https://doi.org/10.3390/agriculture16050614 - 6 Mar 2026
Viewed by 262
Abstract
In the cold and cool region of northeastern China, low temperature and limited soil moisture retention constrain maize yield, and mulching is widely used to alleviate these limitations. To reduce the environmental risks associated with polyethylene (PE) film, a two-year field experiment (2024–2025) [...] Read more.
In the cold and cool region of northeastern China, low temperature and limited soil moisture retention constrain maize yield, and mulching is widely used to alleviate these limitations. To reduce the environmental risks associated with polyethylene (PE) film, a two-year field experiment (2024–2025) was conducted to evaluate biodegradable films suitable for maize production in this region. Five mulching treatments were tested, including PE film (T1) and four biodegradable options—polypropylene carbonate (PPC, T2), polybutylene adipate terephthalate (PBAT, T3), polylactic acid (PLA, T4), and a PBAT + PPC composite film (T5)—with no mulching as the control (CK). Across two growing seasons, T1–T5 increased the effective grain filling duration by 4.74–13.58%, raised grain auxin content during grain filling by 1.54–29.33%, and increased the two-year mean yield by 13.95–24.73% compared with CK. Notably, the PBAT + PPC composite film (T5) did not differ significantly from PE film (T1) in grain filling traits, hormone regulation, or yield improvement (p > 0.05), indicating that T5 is a promising and sustainable alternative to PE film for maize production in cold regions. These findings provide technical support for selecting and applying biodegradable mulch films in cold-region maize systems and contribute to environmentally sustainable high-yield cultivation. Full article
(This article belongs to the Section Crop Production)
Show Figures

Figure 1

16 pages, 4035 KB  
Article
Soil Properties and Microbial Community Assemblages in Response to Plastic Film Mulches with Divergent Degradation Characteristics
by Guiliang Wang, Yulin Li, Xu Pan, Aofei Li, Juanjuan Wang, Li Yin, Xiaoping Zeng and Xiaoqing Qian
Microorganisms 2026, 14(3), 553; https://doi.org/10.3390/microorganisms14030553 - 28 Feb 2026
Viewed by 298
Abstract
To identify a suitable plastic film type for broccoli cultivation in the subtropical humid region of southern China, a field experiment was conducted with four treatments, including no film control (CK), reinforced polyethylene film (RF), biodegradable film PBAT + starch (BDF1), and biodegradable [...] Read more.
To identify a suitable plastic film type for broccoli cultivation in the subtropical humid region of southern China, a field experiment was conducted with four treatments, including no film control (CK), reinforced polyethylene film (RF), biodegradable film PBAT + starch (BDF1), and biodegradable film PBAT + PLA (BDF2). Soil physiochemical properties, temperature and humidity dynamics, microbial community structure, and film degradation status were investigated. The results showed that the RF treatment improved available P and K contents, while the BDF2 treatment significantly increased soil organic matter, NH4+-N, water-soluble Ca2+, and Mg2+ contents. The soil temperature followed the order of RF > BDF1 > BDF2 > CK, and the humidity was BDF1 > RF > CK > BDF2, with RF treatment showing a more stable soil temperature, while BDF2 treatment fluctuated the most. There were no significant differences in bacterial diversity among the treatments, while the highest fungal diversity was observed in the BDF2. Water-soluble Mg was the key factor driving the changes in microbial community structure (p < 0.05). The film degradation rate followed BDF2 > BDF1 > RF. Collectively, RF is suitable for targeting short-term yield improvement, while BDF2 has significant advantages in sustainable cultivation in the long-term. Full article
Show Figures

Figure 1

5 pages, 648 KB  
Proceeding Paper
Beyond FR-4: A Comparative Life Cycle Assessment of Traditional and Green PCB Substrates
by Moupali Chakraborty
Eng. Proc. 2026, 127(1), 7; https://doi.org/10.3390/engproc2026127007 - 27 Feb 2026
Viewed by 290
Abstract
This study compares the environmental impacts of traditional and biodegradable PCB substrate materials using Life Cycle Assessment (LCA) in GaBi (version number 9.2.1.68). It presents the first cradle-to-grave model of FR4-based rigid PCBs. Results show that conventional substrates (FR4, PI) have high global [...] Read more.
This study compares the environmental impacts of traditional and biodegradable PCB substrate materials using Life Cycle Assessment (LCA) in GaBi (version number 9.2.1.68). It presents the first cradle-to-grave model of FR4-based rigid PCBs. Results show that conventional substrates (FR4, PI) have high global warming potential (~20 kg CO2-eq/kg) and energy use, with poor recyclability. Biodegradable alternatives (PLA, PBAT) show much lower impacts (~4 kg CO2-eq/kg) and better end-of-life performance. PET offers moderate recyclable performance, while paper (~6 kg CO2-eq/kg) is fully biodegradable and recyclable. Overall, biodegradable substrates, especially PLA, PBAT, and paper, provide clear sustainability advantages, with PET as a practical transitional option. Full article
Show Figures

Figure 1

14 pages, 4304 KB  
Article
Improved Toughness of PLA/PBAT/Modified Bamboo Powder Composites Through Interfacial Regulation
by Yonghuan Zhao, Yu Qi, Lei Song, Yuan Mei, Wenxiang Zhu and Yaofeng Zhu
Materials 2026, 19(5), 873; https://doi.org/10.3390/ma19050873 - 26 Feb 2026
Viewed by 292
Abstract
The incorporation of abundant natural bamboo fiber (BF) into biodegradable polymers has emerged as a promising strategy to develop environmentally friendly materials. However, the poor interfacial compatibility between BF and biodegradable polymers has led to reduced performance, especially deteriorated toughness, and has limited [...] Read more.
The incorporation of abundant natural bamboo fiber (BF) into biodegradable polymers has emerged as a promising strategy to develop environmentally friendly materials. However, the poor interfacial compatibility between BF and biodegradable polymers has led to reduced performance, especially deteriorated toughness, and has limited the practical applications of bamboo–plastic composites. In this study, a compatible modifier, polydopamine (PDA), was employed to modify the surface of natural BF, and poly(lactic acid)/poly(butylene adipate-co-terephthalate) (PLA/PBAT) bamboo–plastic composites were fabricated via melt blending. And then, a commercial multifunctional compatibilizer (AX8900) was introduced to further enhance the interfacial compatibility and physical properties of the composite. After adding 20 wt% modified BF and 2 wt% compatibilizer, the composite exhibited a better notch impact strength (9.7 kJ/m2) than that filled with unmodified BF (3.2 kJ/m2), indicating a substantial enhancement. This work provides a novel approach to produce friendly biodegradable composites utilizing natural cellulose resources. Full article
Show Figures

Graphical abstract

16 pages, 3968 KB  
Article
Research on the Preparation of Polylactic Acid/Bamboo Fiber Composite Materials and Their 3D Printing Process
by Zhenxiao Xu, Zixin Hu, Bin Wang and Sisi Wang
Materials 2026, 19(5), 851; https://doi.org/10.3390/ma19050851 - 25 Feb 2026
Viewed by 372
Abstract
The increasing need for lightweight, personalized, and sustainable orthopedic braces has motivated the development of bamboo fiber (BF)-reinforced polylactic acid (PLA) composites. In this study, BF/PLA composites were prepared by melt blending. The effects of polybutylene adipate terephthalate (PBAT) toughener, BF content, and [...] Read more.
The increasing need for lightweight, personalized, and sustainable orthopedic braces has motivated the development of bamboo fiber (BF)-reinforced polylactic acid (PLA) composites. In this study, BF/PLA composites were prepared by melt blending. The effects of polybutylene adipate terephthalate (PBAT) toughener, BF content, and a silane coupling agent on the mechanical properties were evaluated, along with their suitability for 3D printing foot braces. The results showed that at a PLA/PBAT mass ratio of 85/15 and a bamboo fiber content of 10 wt.%, the impact strength of the composite reached 7.7 kJ/m2. Silane treatment of BF further improved the impact strength, with a maximum value of 11.3 kJ/m2 achieved at a silane/BF mass ratio of 2/98. The optimized composite exhibited good printability across nozzle temperatures of 190–210 °C. Printing speed significantly influenced the process; a speed of 35 mm/s enabled successful fabrication of the foot brace, whereas higher or lower speeds led to model collapse due to overheating or cracking caused by insufficient interlayer adhesion. This study successfully developed a bamboo fiber-reinforced PLA composite suitable for 3D printing of orthopedic braces and identified the optimal 3D printing process parameters. Full article
(This article belongs to the Section Polymeric Materials)
Show Figures

Graphical abstract

19 pages, 5263 KB  
Article
Understanding the Role of PBAT Content and Raster Orientation on the Mechanical Performance of Material Extrusion 3D-Printed PLA/PBAT Objects
by Sándor Kálmán Jakab, András Lajos Nagy and László Lendvai
Polymers 2026, 18(3), 339; https://doi.org/10.3390/polym18030339 - 27 Jan 2026
Viewed by 341
Abstract
Poly(lactic acid) (PLA) is the most widely used feedstock in material extrusion (MEX) 3D printing. In this study, PLA was combined with 0–40 wt.% of poly(butylene adipate-co-terephtalate) (PBAT) to improve its ductility. The resulting blends were processed into filaments suitable for MEX 3D [...] Read more.
Poly(lactic acid) (PLA) is the most widely used feedstock in material extrusion (MEX) 3D printing. In this study, PLA was combined with 0–40 wt.% of poly(butylene adipate-co-terephtalate) (PBAT) to improve its ductility. The resulting blends were processed into filaments suitable for MEX 3D printing and used to fabricate specimens for mechanical characterization using three distinct raster angles (RAs; 0°, ±45°, and 90°) to statistically evaluate the individual and joint effects of blend composition and raster orientation. Melt flow index (MFI) measurements showed that increasing PBAT content reduced the MFI from 40.4 g/10 min to 34.4 g/10 min, which led to weaker bonding between printed beads, as shown in scanning electron microscopic images. Tensile strength, modulus, and impact strength were evaluated using tensile and Charpy tests. Statistical analysis showed that RA, PBAT concentration, and their interaction all significantly influenced (p < 0.05) mechanical performance. Both strength and modulus decreased as PBAT content and RA increased, with the highest values of 50 MPa and 2.78 GPa observed for neat PLA 3D-printed at 0° RA, and the lowest values of 15 MPa and 1.05 GPa for 40 wt.% PBAT at 90° RA. In contrast, incorporating PBAT improved impact strength, showing its toughening effect. Meanwhile, no clear trend between impact resistance and RA was observed. The highest impact strength (52.7 kJ/m2) was found at 40 wt.% PBAT content and ±45° RA. Full article
(This article belongs to the Special Issue Smart and Functional Biopolymers)
Show Figures

Figure 1

19 pages, 5577 KB  
Article
Active Packaging Films from PBAT/PLA with Rosmarinus officinalis L. Extract: Antioxidant, UV-Shielding, and Compostable Properties
by Xiaoyan He, Lisheng Tang and Ran Huang
Molecules 2026, 31(2), 217; https://doi.org/10.3390/molecules31020217 - 8 Jan 2026
Viewed by 498
Abstract
With the growing demand for eco-friendly food packaging, poly(butylene adipate-co-terephthalate) (PBAT)/polylactic acid (PLA) composite films have emerged as promising biodegradable alternatives, but their inherent limitations (e.g., poor antioxidant capacity, weak UV stability, and insufficient antimicrobial activity) hinder practical applications. This study aimed to [...] Read more.
With the growing demand for eco-friendly food packaging, poly(butylene adipate-co-terephthalate) (PBAT)/polylactic acid (PLA) composite films have emerged as promising biodegradable alternatives, but their inherent limitations (e.g., poor antioxidant capacity, weak UV stability, and insufficient antimicrobial activity) hinder practical applications. This study aimed to address these drawbacks by incorporating Rosmarinus officinalis L. extract (RM) as a natural multifunctional additive. PBAT/PLA/RM blend films with RM concentrations of 0.1%, 0.3%, 0.5%, and 1% were fabricated via melt extrusion and blown film processing. Key characterizations were conducted to evaluate thermal stability, mechanical properties, morphology, antioxidant activity, UV-shielding performance, antimicrobial efficacy, and biodegradability. The results showed that RM significantly enhanced the antioxidant capacity of the films, with the highest DPPH radical scavenging activity achieved at 0.3% RM. UV-blocking performance improved incrementally with increasing RM concentration, and films containing ≥0.5% RM filtered over 90% of UVA and UVB radiation. All composite films met biodegradability standards, with over 90% degradation observed after 240 days of composting, though RM prolonged the initial degradation stage by inhibiting early microbial activity. However, the antimicrobial effect of RM was limited, and concentrations exceeding 1% caused film stickiness, impeding processing. This work demonstrates that RM is a viable natural additive for functionalizing PBAT/PLA films, offering enhanced antioxidant and UV-shielding properties while maintaining biodegradability, thus providing a promising solution for sustainable food packaging. Full article
Show Figures

Figure 1

38 pages, 5682 KB  
Review
Plant- and Animal-Derived Organic Waste as Fillers in Biodegradable Composites for Advanced Applications: A Comprehensive Overview
by Roberto Scaffaro, Francesco Paolo La Mantia, Giada Lo Re, Vincenzo Titone and Maria Clara Citarrella
Polymers 2026, 18(1), 22; https://doi.org/10.3390/polym18010022 - 22 Dec 2025
Viewed by 832
Abstract
Biodegradable polymeric composites reinforced with natural fillers represent one of the most promising routes toward low-impact, circular, and resource-efficient materials. In recent years, a growing number of studies have focused on the valorization of plant- and animal-derived organic waste, ranging from agricultural residues [...] Read more.
Biodegradable polymeric composites reinforced with natural fillers represent one of the most promising routes toward low-impact, circular, and resource-efficient materials. In recent years, a growing number of studies have focused on the valorization of plant- and animal-derived organic waste, ranging from agricultural residues and natural fibers to marine and livestock by-products. This review provides a comprehensive and comparative overview of these systems, analyzing the nature and origin of the waste-derived fillers, their pretreatments, processing strategies, and the resulting effects on mechanical, thermal, functional, and biodegradation properties. Particular attention is dedicated to the role of filler composition, morphology, and surface chemistry in governing interfacial adhesion and end-use performance across different polymeric matrices, including PLA, PCL, PBS, PHA, PHB, PBAT, and commercial blends such as Mater-Bi®. The emerging applications of these biocomposites, such as packaging, additive manufacturing, agriculture, biomedical uses, and environmental remediation, are critically discussed. Overall, this work provides fundamental insights to support the development of the next generation of biodegradable materials, enabling the sustainable valorization of organic waste within a circular-economy perspective. Full article
(This article belongs to the Special Issue Degradation and Stability of Polymer-Based Systems: 2nd Edition)
Show Figures

Graphical abstract

20 pages, 2676 KB  
Article
Mechanical and Structural Consequences of PLA/PBAT Contamination in Polypropylene and Polystyrene Recycling
by Przemysław Postawa, Tomasz Stachowiak, Krystyna Malińska, Danuta Dróżdż, Tomasz Jaruga and Arkadiusz Kloziński
Materials 2025, 18(24), 5523; https://doi.org/10.3390/ma18245523 - 9 Dec 2025
Viewed by 507
Abstract
The increasing use of biodegradable plastics derived from renewable sources (PLA, PHB, PBAT, and others) in the packaging industry raises controversies and risks related to potentially integrating these plastics into municipal waste streams, which may significantly hinder future recycling efforts. This publication addresses [...] Read more.
The increasing use of biodegradable plastics derived from renewable sources (PLA, PHB, PBAT, and others) in the packaging industry raises controversies and risks related to potentially integrating these plastics into municipal waste streams, which may significantly hinder future recycling efforts. This publication addresses this issue by investigating a selected bio-based and biodegradable commercial mixture of poly(lactic acid) and poly(butylene adipate terephthalate) (PLA/PBAT), referred to as (BIO), in blends with polypropylene (PP) and polystyrene (PS). The blends were prepared with three different mass contents of 1, 5, and 10 wt.% using (PP) and (PS) as base materials. The effects of introducing biodegradable and bio-based plastics into municipal waste streams (PCR—Post-Consumer Recycling), which typically contain polypropylene, various grades of polyethylene, and polystyrene, remain unknown. The purpose of the study was to assess the consequences of contaminating municipal waste destined for recycling (using PP and PS as examples) with small amounts (between 1 and 10%) of BIO plastics. The designed experiment and the obtained results simulate the expected presence of BIO contamination in future PP and PS recyclates. The prepared mixtures were subjected to injection molding to produce test specimens, which were then analyzed for changes in their physical properties such as tensile strength, impact strength and hardness. Thermal properties were assessed using Differential Scanning Calorimetry (DSC), while dynamic properties were analyzed at variable temperatures using Dynamic Mechanical Thermal Analysis (DMTA). The tests provided insights into how the addition of selected, but insignificant ratios (of 1 to 10%) of biopolymers affects the properties of (PP) and (PS) compared to materials without content of biopolymers. The conducted tests of mechanical properties (static and dynamic) and thermomechanical properties have shown that the change in the properties of the mixture depends not only on the amount of biodegradable polymer but also on the nature of the load. It would be advisable to analyze mechanical properties in relation to the duration of the load; therefore, a long-term load analysis is necessary. For dynamic tests, a decrease in impact strength was demonstrated with increasing biodegradable polymer content in the produced mixtures. Similar behavior was recorded for hardness measurements. The results underscore the need for continued research, given the valuable findings for processors and the advancement of mechanical recycling technologies. Full article
(This article belongs to the Section Polymeric Materials)
Show Figures

Figure 1

19 pages, 3444 KB  
Article
Effect of PBAT-g-MAH Compatibilization and Bamboo Flour Loadings on Melt Flow and Early Soil–Compost Mineralization of PLA Biocomposites for FFF 3D Printing
by César A. Paltán, Jorge I. Fajardo, Diana V. Rodriguez and Edwuin Carrasquero
Polymers 2025, 17(24), 3240; https://doi.org/10.3390/polym17243240 - 5 Dec 2025
Viewed by 671
Abstract
Objective. To determine how bamboo loadings (2.5–5 wt%) and compatibilization with PBAT-g-MAH (BP-1, 10 wt%) affect melt flow and early-time mineralization of PLA biocomposites under near-ambient soil–compost conditions (ASTM D5988), while using PBAT-g-GMA (BP-2) only as a melt-flow screening reference. Methods. Melt flow [...] Read more.
Objective. To determine how bamboo loadings (2.5–5 wt%) and compatibilization with PBAT-g-MAH (BP-1, 10 wt%) affect melt flow and early-time mineralization of PLA biocomposites under near-ambient soil–compost conditions (ASTM D5988), while using PBAT-g-GMA (BP-2) only as a melt-flow screening reference. Methods. Melt flow index (MFI, ASTM D1238, 2.16 kg; 190/210/230 °C) was first measured for neat PLA and PLA/BP-1/BP-2 blends to select a printable matrix. PLA/10BP-1 composites containing 2.5–5 wt% bamboo were then compounded, extruded as bars for biodegradation tests, and validated by FFF printing. Biodegradation was quantified from titrimetric CO2 evolution in soil–compost reactors at 21 ± 2 °C and pH ≈ 7 (triplicate specimens plus triplicate blanks; mean ± SD and endpoint statistics). ATR-FTIR was used to support mechanistic interpretation. Results. BP-1 markedly increased MFI relative to neat PLA, whereas BP-2 remained close to the neat matrix, consistent with epoxy-driven coupling that can raise viscosity. Under ambient burial, all materials exhibited very low mineralization over 0–23 days; PLA/10BP-1/2.5B and PLA/10BP-1/5B showed a slight increase in net CO2 evolution compared with neat PLA, but the differences remained modest and within the experimental uncertainty, reflecting a balance between bamboo’s pro-hydrolytic effect and the sealing action of PBAT-g-MAH compatibilization. Significance. The data delineate a printing–degradation window in which PLA/10BP-1 with 2.5–5 wt% bamboo combines easy processing and short-term durability while preserving industrial compostability at end-of-life. Full article
(This article belongs to the Special Issue Mechanical Properties of 3D Printed Polymer Composites)
Show Figures

Figure 1

33 pages, 1512 KB  
Review
Pineapple-Derived Nanocellulose for Nanocomposites: Extraction, Processing, and Properties
by Marianelly Esquivel-Alfaro, Oscar Rojas-Carrillo, Belkis Sulbarán-Rangel, Lilliana Rodríguez-Barquero, Hasbleidy Palacios-Hinestroza and Orlando J. Rojas
J. Compos. Sci. 2025, 9(12), 652; https://doi.org/10.3390/jcs9120652 - 1 Dec 2025
Cited by 2 | Viewed by 1840
Abstract
Pineapple waste is an underexplored source for producing nanocomposites, from which nanocellulose, namely cellulose nanocrystals (CNCs) or cellulose nanofibers (CNFs), can be produced. This review summarizes extraction methods from different pineapple residues (leaves, crown leaves, stem, peel, pulp, and pomace), covering top-down processes [...] Read more.
Pineapple waste is an underexplored source for producing nanocomposites, from which nanocellulose, namely cellulose nanocrystals (CNCs) or cellulose nanofibers (CNFs), can be produced. This review summarizes extraction methods from different pineapple residues (leaves, crown leaves, stem, peel, pulp, and pomace), covering top-down processes (hydrolysis, oxidation, carboxymethylation, and mechanical fibrillation) and bottom-up strategies (ionic liquids and deep eutectic solvents). The review examines the influence of the morphology and crystallinity of nanocellulose on the functional performance of the nanocomposites. Strategies for processing pineapple-derived nanocellulose composites are analyzed by technique (solution casting, film stacking, and melt blending/extrusion) and polymer matrices (starch, PVA, chitosan, PLA, PHBV, PBAT, proteins, and polysaccharides), including typical loading levels for most polymer-reinforced systems (0.5–5 wt.%), while higher levels (15–50 wt.%) are used in particular cases such as PVA, CMC, and cellulosic matrices. The impact on mechanical strength, barrier behavior, UV shielding, and optical properties is summarized, along with reports of self-reinforced and hybrid cellulose-derived matrices. A benchmarking section was prepared to show nanocellulose loading ranges, trends in properties, and processing-relevant information categorized by type of matrix. Finally, the review describes the potential roles of pineapple waste within a bioeconomy context and identifies some extraction by-products that could be incorporated into diverse value chains. Full article
(This article belongs to the Section Nanocomposites)
Show Figures

Graphical abstract

158 KB  
Abstract
Abiotic Surface Degradation Induced by Ozonation on Poly (Lactic Acid) (PLA)/Poly (Butylene Adipate-co-Terephthalate) (PBAT) Blends
by Natalia Kołcz, Karen Dayana Gutiérrez Silva, Anna Masek, Oscar Gil Castell and Jose David Badia Valiente
Proceedings 2026, 136(1), 71; https://doi.org/10.3390/proceedings2026136071 - 14 Nov 2025
Viewed by 83
Abstract
Biopolymers have emerged as sustainable alternatives to conventional plastics, showing advantages like biocompatibility, biodegradability, and non-toxicity [...] Full article
(This article belongs to the Proceedings of The 3rd International Online Conference on Polymer Science)
Back to TopTop