Improved Toughness of PLA/PBAT/Modified Bamboo Powder Composites Through Interfacial Regulation
Abstract
1. Introduction
2. Experiments and Characterization
2.1. Materials
2.2. Preparation of Polydopamine-Modified Bamboo Flour (MBF)
2.3. Preparation of PLA/PBAT Bamboo–Plastic Composites
2.4. Characterization
3. Results and Discussion
3.1. The Morphology of BF and MBF
3.2. Structural Analysis of BF and MBF
3.3. FTIR of PLA/PBAT and Composites
3.4. SEM of PLA/PBAT and Composites
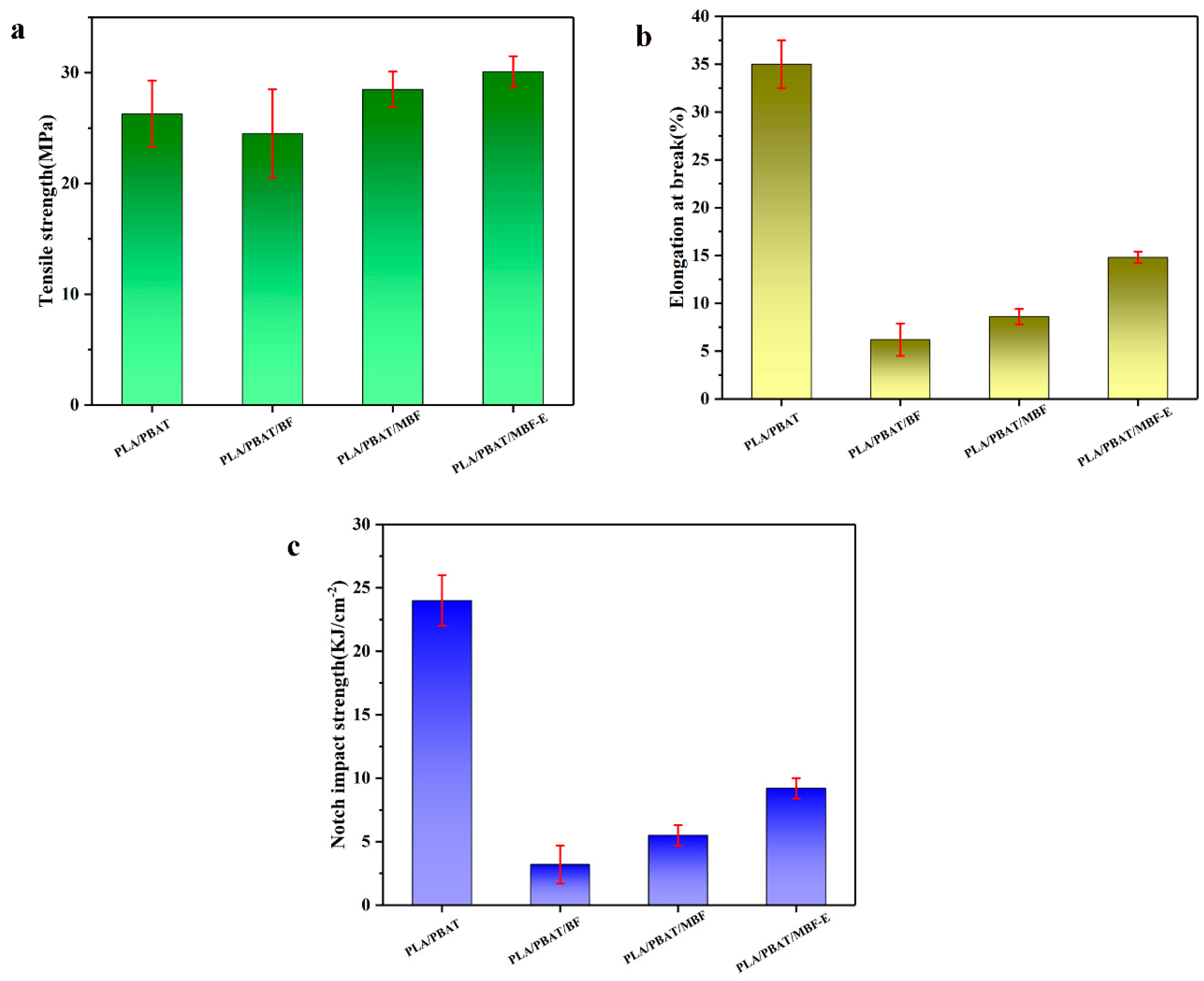
3.5. Mechanical Properties of PLA/PBAT and Composites
3.6. Thermal Properties of PLA/PBAT and Composites
4. Conclusions
Author Contributions
Funding
Data Availability Statement
Conflicts of Interest
References
- Zhao, J.; Lan, R.; Tan, H.; Wang, J.; Ma, Y.; Chen, Q.; Jiang, F.; Wang, Z.; Xing, B. Detection and characterization of microplastics and nanoplastics in biological samples. Nat. Rev. Bioeng. 2025, 3, 1019–1033. [Google Scholar] [CrossRef]
- Padervand, M.; Lichtfouse, E.; Robert, D.; Wang, C. Removal of microplastics from the environment: A review. Environ. Chem. Lett. 2020, 18, 807–828. [Google Scholar] [CrossRef]
- O’Brien, S.; Rauert, C.; Ribeiro, F.; Okoffo, E.D.; Burrows, S.D.; Thomas, K.V. There’s something in the air: A review of sources, prevalence and behaviour of microplastics in the atmosphere. Sci. Tota. Environ. 2023, 874, 162193. [Google Scholar] [CrossRef]
- Filiciotto, L.; Rothenberg, G. Biodegradable plastics: Standards, policies, and impacts. ChemSusChem 2021, 14, 56–72. [Google Scholar] [CrossRef]
- Kim, M.S.; Chang, H.; Zheng, L.; Yan, Q.; Pffeger, B.F.; Klier, J.; Nelson, K.; Majumder, E.L.W.; George, W. A review of biodegradable plastics: Chemistry, applications, properties, and future research needs. Chem. Rev. 2023, 123, 9915–9939. [Google Scholar] [CrossRef]
- Goel, V.; Luthra, P.; Kapur, G.S.; Ramakumar, S.S.V. Biodegradable/bio-plastics: Myths and realities. J. Poly. Environ. 2021, 29, 3079–3104. [Google Scholar] [CrossRef]
- Li, B.; Zhao, G.; Wang, G.; Zhang, L.; Gong, J.; Shi, Z. Biodegradable PLA/PBS open-cell foam fabricated by supercritical CO2 foaming for selective oil-adsorption. Sep. Purif. Technol. 2021, 257, 117949. [Google Scholar] [CrossRef]
- Meereboer, K.W.; Misra, M.; Mohanty, A.K. Review of recent advances in the biodegradability of polyhydroxyalkanoate (PHA) bioplastics and their composites. Green Chem. 2020, 22, 5519–5558. [Google Scholar] [CrossRef]
- Ju, Z.; Brosse, N.; Hoppe, H.S.B. Thermal and mechanical properties of polyethylene glycol (PEG)-modified lignin/polylactic acid (PLA) biocomposites. Int. J. Biol. Macromol. 2024, 262, 129997. [Google Scholar] [CrossRef]
- Taib, N.A.B.; Rahman, M.R.; Huda, D.; Kuok, K.K.; Hamdan, S.; Bakri, M.K.B.; Julaihi, M.R.M.; Khan, A. A review on poly lactic acid (PLA) as a biodegradable polymer. Polym. Bull. 2023, 80, 1179–1213. [Google Scholar] [CrossRef]
- Tripathi, N.; Misra, M.; Mohanty, A.K. Durable polylactic acid (PLA)-based sustainable engineered blends and biocomposites: Recent developments, challenges, and opportunities. ACS Eng. Au 2021, 1, 7–38. [Google Scholar] [CrossRef]
- Ayan, U.; Nouranian, S.; Majdoub, M.; Al-Ostaz, A.; Ucak-Astarlioglu, M.G.; Villacorta, B.S. Supertoughened polylactic acid/polybutylene adipate terephthalate blends compatibilized with ethylene-methyl acrylate-glycidyl methacrylate: Morphology and mechanical properties by the response surface methodology. ACS. Appl. Mater. Interfaces 2024, 16, 26833–26848. [Google Scholar] [CrossRef]
- Su, S.; Duhme, M.; Kopitzky, R. Uncompatibilized PBAT/PLA blends: Manufacturability, miscibility and properties. Materials 2020, 13, 4897. [Google Scholar] [CrossRef]
- Lu, T.; Liu, S.; Jiang, M.; Xu, X.; Wang, Y.; Wang, Z.; Gou, J.; Hui, D.; Zhou, Z. Effects of modifications of bamboo cellulose fibers on the improved mechanical properties of cellulose reinforced poly (lactic acid) composites. Compos. Part B Eng. 2014, 62, 191–197. [Google Scholar] [CrossRef]
- Bright, B.M.; Binoj, J.S.; Hassan, S.A.; Wong, W.L.E.; Suryanto, H.; Liu, S.; Goh, K.L. Feasibility study on thermos-mechanical performance of 3D printed and annealed coir fiber powder/polylactic acid eco-friendly biocomposites. Polym. Compos. 2024, 45, 6512–6524. [Google Scholar] [CrossRef]
- Zhang, K.; Chen, Z.; Smith, L.M.; Hong, G.; Song, W.; Zhang, S. Polypyrrole-modified bamboo fiber/polylactic acid with enhanced mechanical, the antistatic properties and thermal stability. Ind. Crop. Pro. 2021, 162, 113227. [Google Scholar] [CrossRef]
- Wang, B.; Qi, Z.; Chen, X. Preparation and mechanism of lightweight wood fiber/poly (lactic acid) composites. Int. J. Biol. Macromol. 2022, 217, 792–802. [Google Scholar] [CrossRef]
- Sheng, K.; Zhang, S.; Qian, S.; Lopez, C.A.F. High-toughness PLA/Bamboo cellulose nanowhiskers bionanocomposite strengthened with silylated ultrafine bamboo-char. Compos. Part B Eng. 2019, 165, 174–182. [Google Scholar] [CrossRef]
- Olonisakin, K.; Lin, H.; Haojin, P.; Wen, A.; Wang, H.; Ran, L.; Zhang, X.X.; Yang, W. Fiber treatment impact on toughness and interfacial bonding in epoxidized soya bean oil compatibilized PLA/PBAT bamboo fiber composites. Mater. Today Commun. 2024, 38, 107790. [Google Scholar] [CrossRef]
- Li, R.; Zhu, X.; Peng, F. Biodegradable, colorless, and odorless PLA/PBAT bioplastics incorporated with corn stover. ACS. Sustain. Chem. Eng. 2023, 11, 8870–8883. [Google Scholar] [CrossRef]
- Lv, C.; Luo, S.; Guo, W. Enhancing interfacial interaction and crystallization in polylactic acid-based biocomposites via synergistic effect of wood fiber and self-assembly nucleating agent. Int. J. Biol. Macromol. 2023, 253, 127265. [Google Scholar] [CrossRef]
- Geremew, A.; Winne, D.; Demissie, P.; Backer, H.D. Surface modification of bamboo fibers through alkaline treatment: Morphological and physical characterization for composite reinforcement. J. Eng. Fiber. Fabr. 2024, 19, 15589. [Google Scholar] [CrossRef]
- Ryu, J.H.; Messersmith, P.B.; Lee, H. Polydopamine surface chemistry: A decade of discovery. ACS Appl. Mater. Interfaces 2018, 10, 7523–7540. [Google Scholar] [CrossRef]
- Lee, H.A.; Ma, Y.; Zhou, F.; Hong, S.; Lee, H. Material-independent surface chemistry beyond polydopamine coating. Acc. Chem. Res. 2019, 52, 704–713. [Google Scholar] [CrossRef]
- Huang, S.; Zhao, F.; Wu, T.; Han, Q.; Li, J.; Xing, J. Polydopamine-intercalated montmorillonite to mitigate polymerization inhibition for preparation of photothermal antibacterial and hemostatic hydrogel. Eur. Polym. J. 2024, 214, 113174. [Google Scholar] [CrossRef]
- Zhang, H.; Han, W.; Tavakoli, J.; Ya-ping, Z.; Lin, X.; Xiong, L.; Yong, M.; Tang, Y. Understanding interfacial interactions of polydopamine and glass fiber and their enhancement mechanisms in epoxy-based laminates. Compos. Part A Appl. Sci. Manu. 2019, 116, 62–71. [Google Scholar] [CrossRef]
- Kim, H.J.; Song, J.H. Improvement in the mechanical properties of carbon and aramid composites by fiber surface modification using polydopamine. Compos. Part B Eng. 2019, 160, 31–36. [Google Scholar] [CrossRef]
- Li, C.; Yang, Q.; Chen, D.; Zhu, H.; Chen, J.; Liu, R.; Dang, Q.; Wang, X. Polyethyleneimine-assisted co-deposition of polydopamine coating with enhanced stability and efficient secondary modification. RSC Adv. 2022, 12, 35051–35063. [Google Scholar] [CrossRef] [PubMed]
- Zhang, K.; Chen, Z.; Boukhir, M.; Song, W.; Zhang, S. Bioinspired polydopamine deposition and silane grafting modification of bamboo fiber for improved interface compatibility of poly (lactic acid) composites. Int. J. Biol. Macromo. 2022, 201, 121–132. [Google Scholar] [CrossRef]
- Zhai, H.; Sun, B.; Ma, T.; Guo, H.; Zhang, C.; Ding, X.; Zhao, J.; Pan, B. Fabrication of modifed bamboo fiber/PLA/PBAT composite for interfacial compatibilization and toughening. J. Mater. Sci. 2026, 61, 3015–3029. [Google Scholar] [CrossRef]
- Liu, L.; Fu, W.; Wang, L. Dopamine-coated nano-SiO2-modified PVDF piezoelectric composite film. New J. Chem. 2021, 45, 11544–11551. [Google Scholar] [CrossRef]
- Zhang, Q.; Chen, J.; Guo, X.; Lei, H.; Zou, R.; Huo, E.; Kong, X.; Liu, W.; Wang, M.; Ma, Z.; et al. Mussel-inspired polydopamine-modified biochar microsphere for reinforcing polylactic acid composite films: Emphasizing the achievement of excellent thermal and mechanical properties. Int. J. Biol. Macromol. 2024, 260, 9. [Google Scholar] [CrossRef] [PubMed]
- Ruppel, S.S.; Liang, J. Tunable properties of polydopamine nanoparticles and coated surfaces. Langmuir 2022, 38, 5020–5029. [Google Scholar] [CrossRef]
- Zhu, J.; Ren, W.; Guo, F.; Wang, H.; Yu, Y. The spatial orientation and interaction of cell wall polymers in bamboo revealed with a combination of imaging polarized FTIR and directional chemical removal. Cellulose 2022, 29, 3163–3176. [Google Scholar] [CrossRef]
- Sun, S.; Zhu, Y.; Gu, Z.; Chu, H.; Hu, C.; Gao, L.; Zhao, X. Adsorption of crystal violet on activated bamboo fiber powder from water: Preparation, characterization, kinetics and isotherms. RSC Adv. 2023, 13, 6108–6123. [Google Scholar] [CrossRef] [PubMed]
- Chen, Z.; Ouyang, J.; Yao, H.; Hong, C.; Hu, L.; Zhao, X. Facile bioinspired modification of bamboo flour/polyhydroxybutyrate biocomposites via laccase-mediated polydopamine/octadecylamine spraying. Sustain. Mater. Technol. 2025, 45, 01576. [Google Scholar] [CrossRef]
- Song, W.; Zhang, S.; Fei, B.; Zhao, R. Mussel-inspired polydopamine modification of bamboo flour for superior interfacial compatibility of bamboo plastic composites: Influence of oxidant type. Cellulose 2021, 28, 8567–8580. [Google Scholar] [CrossRef]
- Zhu, E.Q.; Xu, G.F.; Ye, X.Y.; Yang, J.; Yang, H.Y.; Wang, D.W.; Shi, Z.J.; Deng, J. Preparation and characterization of hydrothermally pretreated bamboo powder with improved thermoplasticity by propargyl bromide modification in a heterogeneous system. Adv. Compos. Hybrid. Mater. 2021, 4, 1059–1069. [Google Scholar] [CrossRef]
- Rocky, B.P.; Thompson, A.J. Analyses of the chemical compositions and structures of four bamboo species and their natural fibers by infrared, laser, and X-ray spectroscopies. Fiber. Polym. 2021, 22, 916–927. [Google Scholar] [CrossRef]
- Huang, C.; Qin, Q.; Liu, Y.; Duan, G.; Xiao, P.; Huang, Y.; Mei, C.; Han, X.; Han, J.; He, S.; et al. Physicochemical, polymeric and microbial modifications of wood toward advanced functional applications: A review. Chem. Soc. Rev. 2025, 54, 9027–9091. [Google Scholar] [CrossRef]
- Ruggero, F.; Carretti, E.; Gori, R.; Lotti, T.; Lubello, C. Monitoring of degradation of starch-based biopolymer film under different composting conditions, using TGA, FTIR and SEM analysis. Chemosphere 2020, 246, 125770. [Google Scholar] [CrossRef]
- Hernández-López, M.; Correa-Pacheco, Z.N.; Bautista-Baños, S.; Avejar, L.Z.; Jiménezd, J.J.B.; Gutiérreze, M.A.S.; Gudiño, P.O. Bio-based composite fibers from pine essential oil and PLA/PBAT polymer blend. Morphological, physicochemical, thermal and mechanical characterization. Mater. Chem. Phys. 2019, 234, 345–353. [Google Scholar] [CrossRef]
- Wu, C.S.; Wu, D.Y.; Wang, S.S. Preparation and characterization of polylactic acid/bamboo fiber composites. ACS. Appl. Bio. Mater. 2022, 5, 1038–1046. [Google Scholar] [CrossRef]
- Wang, Y.; Huang, S.; Li, J.; Luo, S.; Li, J. Preparation of polylactic acid ternary blend film with improved compatibility for promising application in food packaging. J. Mater. Sci. 2025, 60, 432–444. [Google Scholar] [CrossRef]
- Aliotta, L.; Gigante, V.; Acucella, O.; Signori, F.F.; Lazzeri, A. Thermal, mechanical and micromechanical analysis of PLA/PBAT/POE-g-GMA extruded ternary blends. Front. Mater. 2020, 7, 130. [Google Scholar] [CrossRef]
- Han, Y.; Shi, J.; Mao, L.; Wang, Z.; Zhang, L. Improvement of compatibility and mechanical performances of PLA/PBAT composites with epoxidized soybean oil as compatibilizer. Ind. Eng Chem. Res. 2020, 59, 21779–21790. [Google Scholar] [CrossRef]
- Kilic, N.T.; Can, B.N.; Kodal, M.; Ozkoc, G. Compatibilization of PLA/PBAT blends by using Epoxy-POSS. J. Appl. Polym. Sci. 2019, 136, 47217. [Google Scholar] [CrossRef]
- Ramesh, M.; Rajeshkumar, L.; Sasikala, G.; Balaji, D.; Saravanakumar, A.; Bhuvaneswari, V.; Bhoopathi, R. A critical review on wood-based polymer composites: Processing, properties, and prospects. Polymers 2022, 14, 589. [Google Scholar] [CrossRef]
- Bouafif, H.; Koubaa, A.; Patrick, P.; Cloutier, A. Effects of fiber characteristics on the physical and mechanical properties of wood plastic composites. Compos. Part A Appl. Sci. Manu. 2009, 40, 1975–1981. [Google Scholar] [CrossRef]
- Gao, X.; Li, Q.; Cheng, W.; Han, G.; Xuan, L. Effects of moisture content, wood species, and form of raw materials on fiber morphology and mechanical properties of wood fiber-HDPE composites. Polym. Compos. 2018, 39, 3236–3246. [Google Scholar] [CrossRef]
- Nukala, S.G.; Kong, I.; Patel, V.I.; Kakarla, A.B.; Kong, W.; Buddrick, O. Development of biodegradable composites using polycaprolactone and bamboo powder. Polymers 2022, 14, 4169. [Google Scholar] [CrossRef] [PubMed]
- Li, L.; Liu, S.; Du, G.; Jiang, S.; Yang, J.; Zhang, J.; Li, T. Sustainable engineering polymer composites fabricated using delignified bamboo fiber as reinforcement and walnut shell powder as filler. Compos. Part B: Eng. 2024, 287, 111857. [Google Scholar] [CrossRef]
- Nurazzi, N.M.; Norrrahim, M.N.F.; Sabaruddin, F.A.; Shazleen, S.S.; Ilyas, R.A.; Lee, S.H.; Padzil, F.N.M.; Mohidem, N.A. Mechanical performance evaluation of bamboo fibre reinforced polymer composites and its applications: A review. Funct. Compos. Struct. 2022, 4, 015009. [Google Scholar] [CrossRef]
- Guo, Y.; Wang, L.; Wang, H.; Chen, Y.; Zhu, S.; Chen, T.; Luo, P. Properties of bamboo flour/high-density polyethylene composites reinforced with ultrahigh molecular weight polyethylene. J. Appl. Polym. Sci. 2020, 137, 48971. [Google Scholar] [CrossRef]
- Verma, Y.K.; Singh, A.K.; Paswan, M.K.; Gurmaita, P.K. Preparation and characterization of bamboo based nanocellulose by ball milling and used as a filler for preparation of nanocomposite. Polymer 2024, 308, 127396. [Google Scholar] [CrossRef]
- Shi, H.; Zhao, S.; Chen, L.; Tian, Y.; Li, L.; Cao, Y.; Han, J.; Zhang, L. Evaluation of GMA-Modified PLA/Bamboo Composites: Mechanical Strength and Biodegradability. ACS Omega 2025, 10, 49732–49743. [Google Scholar] [CrossRef]
- Kumar, M.; Mohanty, S.; Nayak, S.K.; Parvaiz, M.R. Effect of glycidyl methacrylate (GMA) on the thermal, mechanical and morphological property of biodegradable PLA/PBAT blend and its nanocomposites. Biore. Technol. 2010, 101, 8406–8415. [Google Scholar] [CrossRef]
- Xiang, S.; Feng, L.; Bian, X.G.; Li, X. Evaluation of PLA content in PLA/PBAT blends using TGA. Polym. Test 2020, 81, 106211. [Google Scholar] [CrossRef]
- Yan, D.; Wang, Z.; Ma, Y.; Wang, C.; Tan, H.; Zhang, Y. Study on the properties of PLA/PBAT composite modified by nanohydroxyapatite. J. Mater. Res. Technol. 2020, 9, 11895–11904. [Google Scholar] [CrossRef]
- Li, W.; He, X.; Zuo, Y.; Wang, S.; Wu, Y. Study on the compatible interface of bamboo fiber/polylactic acid composites by in-situ solid phase grafting. Int. J. Biol. Macromol. 2019, 141, 325–332. [Google Scholar] [CrossRef]










| PLA/PBAT | PLA/PBAT/BF | PLA/PBAT/MBF | PLA/PBAT/MBF-E | |
|---|---|---|---|---|
| PLA | 60 | 60 | 60 | 60 |
| PBAT | 40 | 40 | 40 | 40 |
| BF | / | 20 | / | / |
| MBF | / | / | 20 | 20 |
| E-GMA | / | / | / | 2 |
| Sample | PLA/PBAT | PLA/PBAT/BF | PLA/PBAT/MBF | PLA/PBAT/MBF-E |
|---|---|---|---|---|
| T5 (°C) | 354.2 | 322.8 | 323.2 | 325.4 |
| T50 (°C) | 385.5 | 372.1 | 373.6 | 402.6 |
| Residual carbon (%) | 0.8 | 6.7 | 9.4 | 14.5 |
Disclaimer/Publisher’s Note: The statements, opinions and data contained in all publications are solely those of the individual author(s) and contributor(s) and not of MDPI and/or the editor(s). MDPI and/or the editor(s) disclaim responsibility for any injury to people or property resulting from any ideas, methods, instructions or products referred to in the content. |
© 2026 by the authors. Licensee MDPI, Basel, Switzerland. This article is an open access article distributed under the terms and conditions of the Creative Commons Attribution (CC BY) license.
Share and Cite
Zhao, Y.; Qi, Y.; Song, L.; Mei, Y.; Zhu, W.; Zhu, Y. Improved Toughness of PLA/PBAT/Modified Bamboo Powder Composites Through Interfacial Regulation. Materials 2026, 19, 873. https://doi.org/10.3390/ma19050873
Zhao Y, Qi Y, Song L, Mei Y, Zhu W, Zhu Y. Improved Toughness of PLA/PBAT/Modified Bamboo Powder Composites Through Interfacial Regulation. Materials. 2026; 19(5):873. https://doi.org/10.3390/ma19050873
Chicago/Turabian StyleZhao, Yonghuan, Yu Qi, Lei Song, Yuan Mei, Wenxiang Zhu, and Yaofeng Zhu. 2026. "Improved Toughness of PLA/PBAT/Modified Bamboo Powder Composites Through Interfacial Regulation" Materials 19, no. 5: 873. https://doi.org/10.3390/ma19050873
APA StyleZhao, Y., Qi, Y., Song, L., Mei, Y., Zhu, W., & Zhu, Y. (2026). Improved Toughness of PLA/PBAT/Modified Bamboo Powder Composites Through Interfacial Regulation. Materials, 19(5), 873. https://doi.org/10.3390/ma19050873
