Sign in to use this feature.

Years

Between: -

Subjects

remove_circle_outline
remove_circle_outline
remove_circle_outline
remove_circle_outline
remove_circle_outline

Journals

Article Types

Countries / Regions

Search Results (16)

Search Parameters:
Keywords = P. sinensis forests

Order results
Result details
Results per page
Select all
Export citation of selected articles as:
13 pages, 10260 KB  
Article
Biological Characteristics of the Scale Insect Matsucoccus sinensis (Hemiptera: Coccoidae), a Pest Damaging the Chinese Red Pine Forests
by Danchun Li, Jinqian Liu, Jing Yang, Hao Qi, Yuan Lin, Wei Lei, Wenyu Zhang, Nehal Shaarawy, Youssef Dewer, Suqin Shang and Zuolin Fu
Forests 2025, 16(2), 349; https://doi.org/10.3390/f16020349 - 15 Feb 2025
Viewed by 1507
Abstract
The Chinese red pine, Pinus tabulaeformis, is one of the most important evergreen conifer trees in China. It is widely planted in southern Gansu Province and is commonly used for garden trees, hedges, windbreaks, and soil and water conservation. However, Matsucoccus sinensis [...] Read more.
The Chinese red pine, Pinus tabulaeformis, is one of the most important evergreen conifer trees in China. It is widely planted in southern Gansu Province and is commonly used for garden trees, hedges, windbreaks, and soil and water conservation. However, Matsucoccus sinensis, a scale insect, has become a major pest of the P. tabulaeformis forests, and its life history and biological characteristics remain unknown. In this study, we investigated the biological characteristics, male cocoon emergence, adult mating period, and egg developmental period of M. sinensis, providing valuable insights for its prevention and control. We conducted continuous observation of the different developmental stages of M. sinensis, both in the laboratory and in P. tabulaeformis fields. The least squares method was used to calculate the egg developmental period of M. sinensis. Our results showed that the scale insect is a monophagous species with one generation occurring per year. The second-instar nymphs overwinter on the needles in the medium shell and reproduce sexually, without parthenogenesis. Male M. sinensis adults reach their peak appearance at the end of April in the study region. The peak emergence of male cocoons occurred between 2:00 AM and 4:00 AM, and the adult mating period lasted from 11:00 AM to 13:00 PM. The larvae of M. sinensis attack the needles of P. tabulaeformis. The nymphs crawled and moved to the inner base of the needles, with first- to third-instar nymphs fixing themselves to the needles to feed. The effective accumulated temperature and starting temperatures for the development of M. sinensis eggs were found to be 86.1 °C and 3.5 °C, respectively. Overall, understanding the biology and life history of M. sinensis is essential for identifying key developmental stages and determining the optimal timing for pest control, ultimately aiding in the development of targeted management strategies to protect P. tabulaeformis forests from this emerging pest. Full article
Show Figures

Figure 1

16 pages, 2116 KB  
Article
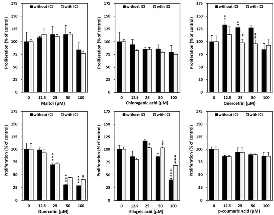
Estrogen-like Cell Proliferation Abilities of Korea Forest Plant Resources on MCF-7 Cells and Analysis of Active Compounds
by Hyejin Cho, Gia Han Tran, Hee Woon Ann, Hak-Dong Lee, Chung Ho Choi, Sanghyun Lee and Sullim Lee
Forests 2024, 15(6), 966; https://doi.org/10.3390/f15060966 - 31 May 2024
Cited by 2 | Viewed by 1566
Abstract
This study conducted a comprehensive analysis of functional substances and explored their biological activities using colorimetric and chromatographic techniques to identify high-value materials from 14 species of forest plants native to Korea. Comparative analysis between plant species included calculating the total polyphenol and [...] Read more.
This study conducted a comprehensive analysis of functional substances and explored their biological activities using colorimetric and chromatographic techniques to identify high-value materials from 14 species of forest plants native to Korea. Comparative analysis between plant species included calculating the total polyphenol and flavonoid contents and qualitative and quantitative analysis of the phytochemical compounds caffeic acid (1), p-coumaric acid (2), and quercetin (3) using HPLC, and antioxidant activity tests (DPPH and ABTS+) and menopausal symptom relief tests (E-screen assay) to investigate their biological activities. The results highlighted Cercidiphyllum japonicum (FR 4), Aruncus dioicus (FR 6), and Pseudocydonia sinensis (FR 8) as excellent forest plant resource materials among the 14 forest plant resources. Notably, FR 4 exhibited significant activity in the E-screen assay. On the basis of these findings, we propose the use of FR 4 as a valuable material. Further analysis identified the phytochemical compounds maltol (4), chlorogenic acid (5), ellagic acid (6), and quercitrin (7) in FR 4 and analyzed their biological activities. Compounds 2–6 found in FR 4 were confirmed to possess strong antioxidant activity, and an E-screen assay revealed an excellent cell proliferation rate for quercitrin (7). This suggests that quercitrin (7) in FR 4 may be a significant indicator of the alleviation of menopausal symptoms. Full article
(This article belongs to the Section Forest Ecophysiology and Biology)
Show Figures

Figure 1

15 pages, 2571 KB  
Article
A New Species of Biscogniauxia Associated with Pine Needle Blight on Pinus thunbergii in China
by Changxia Qiao, Ruiwen Zhao, Dewei Li and Xiaolei Ding
Forests 2024, 15(6), 956; https://doi.org/10.3390/f15060956 - 30 May 2024
Cited by 2 | Viewed by 2171
Abstract
In June 2020, needle blight symptoms on Pinus thunbergii were discovered in Bazhong City, Sichuan Province, China. Fungal isolates were obtained from the pine needles of P. thunbergii. After examining morphological characteristics and conducting multi-locus (ITS, ACT, TUB2 and RPB2) [...] Read more.
In June 2020, needle blight symptoms on Pinus thunbergii were discovered in Bazhong City, Sichuan Province, China. Fungal isolates were obtained from the pine needles of P. thunbergii. After examining morphological characteristics and conducting multi-locus (ITS, ACT, TUB2 and RPB2) phylogenetic analyses, the isolates SC1–SC5 were determined to be a new species, Biscogniauxia sinensis. Genealogical Concordance Phylogenetic Species Recognition with a pairwise homoplasy index test was used to further verify the results of the phylogenetic analyses. The morphology and phylogenetic relationships between this new species and other related Biscogniauxia species were discussed. To our knowledge, this is also the first report of Biscogniauxia sinensis associated with pine needle blight on P. thunbergii in China. The needle damage of P. thunbergii associated with Biscogniauxia sinensis will detrimentally affect the carbon absorption and photosynthetic efficiency of P. thunbergii, further reduce the absorption of nutrients by Japanese black pine and may lead to the imbalance of pine forest conditions, which will have a negative impact on the forest ecological system. Full article
(This article belongs to the Section Forest Health)
Show Figures

Figure 1

15 pages, 5751 KB  
Article
The Impacts of Tree Species on Soil Properties in Afforested Areas: A Case Study in Central Subtropical China
by Miao Hu, Yiping Wang, Huihu Li, Liping Hu, Qiaoli Liu, Fan Zhou, Aihong Yang, Faxin Yu and Xunzhi Ouyang
Forests 2024, 15(6), 895; https://doi.org/10.3390/f15060895 - 22 May 2024
Cited by 9 | Viewed by 2870
Abstract
Afforestation plays a critical role in ecosystem restoration and carbon sequestration. However, there continues to be insufficient knowledge about the long-term effects of different tree species on the forest soil in central subtropical China. In this study, five indigenous afforestation tree species commonly [...] Read more.
Afforestation plays a critical role in ecosystem restoration and carbon sequestration. However, there continues to be insufficient knowledge about the long-term effects of different tree species on the forest soil in central subtropical China. In this study, five indigenous afforestation tree species commonly used in the region, including Bretschneidera sinensis, Liriodendron chinense, Schima superba, Phoebe bournei, and Cunninghamia lanceolata, were selected to explore their long-term effects on the forest soil. The soil’s physicochemical properties, organic carbon content, enzyme activity, and respiration were investigated. Our results revealed significant differences in the soil physicochemical properties, enzyme activity, organic carbon content, and soil respiration among the different tree species even with the same tree species types. Broad-leaved species, particularly L. chinense and P. bournei, exhibited superior soil physicochemical properties, higher amounts of organic carbon contents, enzyme activity, and soil respiration compared to coniferous species C. lanceolata. Notably, for the two studied evergreen tree species, P. bournei seemed to improve the forest soil quality more than S. superba. Hence, increasing the proportion of broad-leaved tree species may have a beneficial effect on the soil’s physicochemical properties and microecology. Furthermore, considering tree species’ compositions in afforestation will help to optimize soil quality and ecosystem health. Full article
(This article belongs to the Special Issue Forest Soil Physical, Chemical, and Biological Properties)
Show Figures

Figure 1

13 pages, 2499 KB  
Article
Soil Moisture and Litter Coverage Drive the Altitude Gradient Pattern of Soil Arthropods in a Low-Elevation Mountain
by Haiming Qin, Jingwen Shang, Qin Qi, Bo Cao, Yong Kong, Yujian Li, Junfeng Chen and Xianfeng Yi
Diversity 2024, 16(5), 263; https://doi.org/10.3390/d16050263 - 27 Apr 2024
Viewed by 2676
Abstract
This study sought to investigate the vertical distribution pattern of the soil faunal community in a low-altitude mountain area. On 8 July 2022, a low hill was selected as the study area, and soil arthropods were collected through traps. The leaf litter, vegetation [...] Read more.
This study sought to investigate the vertical distribution pattern of the soil faunal community in a low-altitude mountain area. On 8 July 2022, a low hill was selected as the study area, and soil arthropods were collected through traps. The leaf litter, vegetation type, and distribution quantity of each sampling site were investigated while the soil faunae were collected. In addition, the soil’s physical and chemical parameters were measured. The results of a one-way ANOVA showed that there were significant differences (p < 0.05) in the soil properties, leaf litter, and plant quantities at different altitudes within the research area. A total of 1086 soil arthropods, belonging to five classes and ten orders, were collected during the study period. The dominant species of soil arthropods at different altitudes were significantly different. The dominant species in low-altitude areas were Armadillidium sp. and Aethus nigritus. However, Eupolyphaga sinensis and Philodromidae were the dominant species in high-altitude areas. The results of a non-metric multidimensional scaling (NMDS) analysis showed that the soil faunae at different altitudes were clustered into two communities: a high-altitude community and a low-altitude community. With the increase in altitude, the species richness of the soil arthropods gradually decreased, and their abundance showed a decreasing trend. A redundancy analysis (RDA) of the soil arthropods and environmental factors showed that soil moisture (p < 0.01), pH (p < 0.01) and defoliation (p < 0.05) had significant effects on the distribution of the soil fauna. The results of a Pearson correlation analysis indicated that different environmental factors had interactive effects on the distribution of the soil arthropods. The quantity and species richness of the soil arthropods in different sample lines were tested using a variance analysis. The results showed that there were significantly smaller quantities of soil arthropods in the sampling line closer to the trekking ladder. This indicates that human tourism, namely mountaineering activities, had a direct impact on the soil fauna. This study can provide a reference for and data support in the development of biodiversity conservation measures for forest parks in low mountain areas. Full article
Show Figures

Figure 1

25 pages, 4507 KB  
Article
The Rhizosphere Functional Microbial Community: A Key Driver of Phosphorus Utilization Efficiency in Karst Forest Plants
by Chunjie Zhou, Danmei Chen, Lipeng Zang, Guangqi Zhang, Qingfu Liu, Mingzhen Sui, Yuejun He, Shasha Wang, Yu Dai, Lidong Wang, Ruxia Bai, Ziyun Feng and Fachun Xiang
Forests 2024, 15(3), 453; https://doi.org/10.3390/f15030453 - 28 Feb 2024
Cited by 4 | Viewed by 2442
Abstract
Microorganisms play a pivotal role in transforming and making phosphorus (P) available in soil through various mechanisms. However, their specific contributions to alleviating P limitation and enhancing P utilization efficiency in plants within the context of a P-deficient karst ecosystem remains unclear. In [...] Read more.
Microorganisms play a pivotal role in transforming and making phosphorus (P) available in soil through various mechanisms. However, their specific contributions to alleviating P limitation and enhancing P utilization efficiency in plants within the context of a P-deficient karst ecosystem remains unclear. In this study, eco-stoichiometric methods were employed to evaluate the P utilization efficiency of plants grown in the surveyed karst forest located in Guizhou Province, China. Metagenomic sequencing was utilized to further explore the functional genes and microorganisms involved in soil P cycling. The N:P ratio for 18 out of the 20 surveyed plants exceeded 16, indicating widespread P limitation in karst plants. Among them, plants with high P utilization efficiencies (Nandina domestica Thunb.; Mahonia bodinieri Gagnep.; Pyracantha fortuneana (Maxim.) Li) exhibited higher relative abundances of genes involved in soil P cycling compared to plants with low P utilization efficiencies (Tirpitzia sinensis (Hemsl.) Hallier f.; Albizia kalkora (Roxb.) Prain; Morella rubra Lour.), indicating greater potentials within their rhizosphere microbiomes for soil P transformation. The relative abundance of these functional genes had a significant and positive effect on plant P utilization efficiencies. Structural equation modeling further indicated that microbial P cycling gene abundance directly drove the increase in plant P utilization efficiencies. Specifically, genes involved in soil organic P mineralization (G6PD, suhB, phoD, ppx) and the P uptake and transform system (pstS, pstA, pstB, pstC) contributed to the enhancement of plant P utilization efficiencies. Soil microbial communities involved in P cycling were predominately attributed to Proteobacteria (45.16%–60.02%), Actinobacteria (9.45%–25.23%), and Acidobacteria (5.90%–9.85%), although their contributions varied among different plants. The rhizosphere functional microbial community can thus alleviate P limitation in karst plants, thereby enhancing plant P utilization efficiencies. This study investigated the strong synergism between karst plants and rhizosphere microorganisms and their associated underlying mechanisms from genetic and microbial perspectives. Full article
(This article belongs to the Special Issue Microbial Community Composition and Function in Forest Soil)
Show Figures

Graphical abstract

16 pages, 2887 KB  
Article
Effects of Afforestation Patterns on Soil Nutrient and Microbial Community Diversity in Rocky Desertification Areas
by Liling Liu, Ting He, Ninghua Zhu, Yuanying Peng, Xiaoqian Gao, Zongxin Liu and Peng Dang
Forests 2023, 14(12), 2370; https://doi.org/10.3390/f14122370 - 4 Dec 2023
Cited by 7 | Viewed by 2954
Abstract
Karst ecosystems are characterized by the dissolution of soluble rocks, displaying distinctive landscape features such as rugged peaks, steep slopes, and deep valleys. Afforestation is an effective approach for improving soil quality in rocky desertification areas because plants have evolved unique adaptations to [...] Read more.
Karst ecosystems are characterized by the dissolution of soluble rocks, displaying distinctive landscape features such as rugged peaks, steep slopes, and deep valleys. Afforestation is an effective approach for improving soil quality in rocky desertification areas because plants have evolved unique adaptations to thrive in such environments. However, the effects of tree species composition and cultivation patterns on the soil quality, microbial diversity, stability, and functions in rocky desertification areas remain unclear. In this work, four study plots including three types of forests—pure Pinus massoniana plantations, Toona sinensis plantations, mixed coniferous and broadleaf plantations (Pinus massonianaBetula luminifera forests), and unforested area as the control—were established in a karst desertification area in the Hunan province of China. Soil properties including soil bulk density, soil organic carbon, total nitrogen, total phosphate, soil ammonium nitrogen, nitrate, available phosphate, soil pH, and soil microbial diversity were investigated in the study area. The results showed that the forests significantly increased the soil organic carbon, total nitrogen, and ammonium nitrogen compared to the unforested area. The microbial diversity indicators in mixed forests were significantly higher than those in the Pinus massoniana forests. The dominant bacteria phyla included Proteobacteria, Acidobacteria, and Actinobacteria, while fungi species such as Ascomycota and Basidiomycota were identified in all study plots. In addition, the AVD index evaluation revealed that the mixed forests enhanced the stability of the soil microbial communities compared to the monoculture plantations and unforested plots in rocky desertification areas. The research results indicated that, among the various forest types, the mixed forest was the most effective choice for afforestation in terms of improving the soil quality by changing the soil’s physiological properties in rocky desertification areas. Our study provided guidance and insights for afforestation technology and the optimal allocation of different tree species in the cultivation and management of plantation forests in rocky desertification regions. Full article
(This article belongs to the Section Forest Soil)
Show Figures

Figure 1

12 pages, 5595 KB  
Article
Bioavailability of Cd in Agricultural Soils Evaluated by DGT Measurements and the DIFS Model in Relation to Uptake by Rice and Tea Plants
by Yubo Wen, Yuanyuan Wang, Chunjun Tao, Wenbing Ji, Shunsheng Huang, Mo Zhou and Xianqiang Meng
Agronomy 2023, 13(9), 2378; https://doi.org/10.3390/agronomy13092378 - 13 Sep 2023
Cited by 7 | Viewed by 2562
Abstract
The elevated accumulation of cadmium (Cd) in rice (Oryza sativa L.) and tea (Camellia sinensis L.) grown in agricultural soils may lead to a variety of adverse health effects. This study collected and analyzed crop samples along with paired rhizosphere soil [...] Read more.
The elevated accumulation of cadmium (Cd) in rice (Oryza sativa L.) and tea (Camellia sinensis L.) grown in agricultural soils may lead to a variety of adverse health effects. This study collected and analyzed crop samples along with paired rhizosphere soil samples from 61 sites in Cd-contaminated regions in Anhui Province, China. The findings revealed that both the diffusive gradients in thin-films (DGT) and soil solution were capable of effectively predicting Cd contents in crops. Conventional chemical extraction methods were inappropriate to evaluate the bioavailability of Cd. However, the effective concentrations (CE) corrected by the DGT-induced fluxes in soils (DIFS) model exhibited the strongest correlation with crop Cd contents. Except for CE, various measurement methods yielded better results for predicting Cd bioavailability in tea compared to rice. Pearson’s correlation analysis and the random forest (RF) model identified the key influencing factors controlling Cd uptake by rice and tea, including pH, soil texture, and contents of zinc (Zn) and selenium (Se) in soils, which antagonize Cd. To reduce the potential health risk from rice and tea, the application of soil liming and/or Se-oxidizing bacteria was expected to be an effective management strategy. Full article
(This article belongs to the Section Soil and Plant Nutrition)
Show Figures

Figure 1

12 pages, 2504 KB  
Article
Soil Quality Evaluation and Driving Factor Analysis of Hippophae rhamnoides Plantations in Coal Mine Reclamation Areas Based on Different Restoration Durations
by Qianwen Ren, Guangquan Liu, Changhai Liu, Fangfang Qiang and Ning Ai
Forests 2023, 14(7), 1425; https://doi.org/10.3390/f14071425 - 12 Jul 2023
Cited by 8 | Viewed by 2480
Abstract
The driving factors affecting soil quality were identified to evaluate the effect of vegetation on soil quality in coal mine reclamation areas with various restoration durations. This study used Hippophae rhamnoides subsp.sinensis Rousi with different reclamation durations (3, 4, 5, 6, and 7 [...] Read more.
The driving factors affecting soil quality were identified to evaluate the effect of vegetation on soil quality in coal mine reclamation areas with various restoration durations. This study used Hippophae rhamnoides subsp.sinensis Rousi with different reclamation durations (3, 4, 5, 6, and 7 years) in the abandoned land area of the Juxinlong coal mine in Ordos as the research subject. Artificial and abandoned grasslands were selected as the study’s controls. A soil quality evaluation model was constructed to assess the soil quality in the reclamation area. A structural equation model was used to thoroughly analyze the driving factors affecting soil quality in the study area. The findings show that: (1) Reclamation duration significantly affected the physicochemical characteristics of the soil. As the reclamation duration increased, soil nutrients such as organic carbon accumulated while the bulk density index (BD) decreased. (2) The soil quality index of Hippophae rhamnoides forest land in China was the highest after 6 years of reclamation. The Hippophae rhamnoides forest land with the lowest soil quality index after 4 years of reclamation differed significantly from that after 6 years (p < 0.05). The soil quality index (SQI) of 6a (years) significantly increased by 67.44% compared to 4a. (3) By constructing a structural equation model, it was found that physical indicators (saturated water content and silt) and reclamation durations were the main drivers of soil quality. SQI had a strong interaction with organic matter (OM) and different restoration durations. The findings of this study will serve as important guidelines for future quantitative evaluation of soil quality following land reclamation and management during the ecological restoration process. Full article
(This article belongs to the Special Issue Effects of Natural Disturbances and Human Activities on Forest Soils)
Show Figures

Figure 1

16 pages, 1808 KB  
Article
Use of Ensemble Model for Modeling the Larval Fish Habitats of Different Ecological Guilds in the Yangtze Estuary
by Rong Wan, Pengbo Song, Zengguang Li, Xiangyu Long, Dong Wang and Lu Zhai
Fishes 2023, 8(4), 209; https://doi.org/10.3390/fishes8040209 - 17 Apr 2023
Cited by 7 | Viewed by 2752
Abstract
Estuaries provide nursery habitats for a variety of fish species of different ecological guilds and have complicated environmental conditions. In this study, we applied ensemble species distribution models (SDMs) to four abundant and different ecological guild larval fish species (Hemiculter bleekeri (freshwater [...] Read more.
Estuaries provide nursery habitats for a variety of fish species of different ecological guilds and have complicated environmental conditions. In this study, we applied ensemble species distribution models (SDMs) to four abundant and different ecological guild larval fish species (Hemiculter bleekeri (freshwater guild), Pseudolaubuca sinensis (freshwater guild), Coilia mystus (brackish water guild), and Engraulis japonicus (marine guild)) to explore their suitable habitats and the fish–habitat relationships in the Yangtze Estuary. The results showed that random forest (RF) demonstrated the best performance in all single algorithms and the surface range envelop (SRE) model was scarcely accurate. The ensemble SDMs demonstrated a superior predictive ability compared with any single algorithm, with the true skill statistic (TSS) and the area under the receiver operating characteristic curve (AUC) scores being above 0.899 and 0.641, respectively. Binary presence–absence maps showed the different spatial distribution patterns of the four species. We primarily found the freshwater species (P. sinensis and H. bleekeri) present in the South Branch (west of 122° E), whereas we found the marine species (E. japonicus) anywhere except inside the South Branch (west of 121.8° E). The area for P. sinensis (1615.93 km2) was relatively larger than that for H. bleekeri (1136.87 km2). We predicted that the brackish water species (C. mystus) would most likely be present inside the North Branch (west of 122° E), Eastern Chongming, and outside the South Branch (east of 121.8° E). Salinity, as a key environmental variable, contributed to the spatial variability. A low salinity (sea surface salinity (SSS) < 3) was beneficial for P. sinensis and H. bleekeri but was not suitable for E. japonicus. The SSS suitable range for C. mystus was 5–10 and 12–20. Multiple ecological guild species dwelled in the confluence of salt and fresh water. Our results will play an important role in the design of specific conservation strategies for fishery resources in this area. Full article
(This article belongs to the Special Issue Fisheries and Aquaculture Engineering)
Show Figures

Graphical abstract

7 pages, 1503 KB  
Communication
Potential Distribution and Priority Conservation Areas of Pseudotsuga sinensis Forests under Climate Change in Guizhou Province, Southwesten China
by Wangjun Li, Yingqian Yu, Tu Feng, Bin He, Xiaolong Bai and Shun Zou
Atmosphere 2023, 14(3), 581; https://doi.org/10.3390/atmos14030581 - 17 Mar 2023
Cited by 1 | Viewed by 2031
Abstract
Priority conservation areas are the key areas of biodiversity maintenance and ecosystem conservation. Based on a Maxent model, this study predicted the potential distribution of Pseudotsuga sinensis under the current climate and future climate change scenarios in Guizhou province, and then, assessed three [...] Read more.
Priority conservation areas are the key areas of biodiversity maintenance and ecosystem conservation. Based on a Maxent model, this study predicted the potential distribution of Pseudotsuga sinensis under the current climate and future climate change scenarios in Guizhou province, and then, assessed three kinds of priority conservation area under climate change. The results were as follows: (1) The AUC (Area Under the Curve) values showed excellent prediction accuracy of the model. (2) The areas of the potential habitats of P. sinensis forests under the current climate and future climate change scenarios were 22,062.85 km2 and 18,395.92 km2, respectively. As for their spatial distribution, the potential habitats of P. sinensis forests were distributed in the Bijie, Zunyi, Tongren, Liupanshui and Xingyi regions under the current climate, and in the Kaili region, in addition to the above-mentioned cities, under future climate change scenarios. (3) The total area of priority conservation areas under climate change was 25,350.26 km2. The area of the predicted sustainable potential habitats was 15,075.96 km2, of the vulnerable potential habitats was 7256.59 km2 and of the derivative potential habitats was 3017.71 km2. Full article
(This article belongs to the Special Issue Vegetation and Climate Relationships (2nd Edition))
Show Figures

Figure 1

19 pages, 5109 KB  
Article
Deep Learning Model for Soil Environment Quality Classification of Pu-erh Tea
by Xiaobo Cai, Wenxia Yuan, Xiaohui Liu, Xinghua Wang, Yaping Chen, Xiujuan Deng, Qi Wu, Ke Han, Zhiyong Cao, Wendou Wu and Baijuan Wang
Forests 2022, 13(11), 1778; https://doi.org/10.3390/f13111778 - 27 Oct 2022
Cited by 3 | Viewed by 3046
Abstract
Pu-erh tea, Camellia sinensis is a traditional Chinese tea, one of the black teas, originally produced in China’s Yunnan Province, named after its origin and distribution center in Pu-erh, Yunnan. Yunnan Pu-erh tea is protected by geographical Indication and has unique quality characteristics. [...] Read more.
Pu-erh tea, Camellia sinensis is a traditional Chinese tea, one of the black teas, originally produced in China’s Yunnan Province, named after its origin and distribution center in Pu-erh, Yunnan. Yunnan Pu-erh tea is protected by geographical Indication and has unique quality characteristics. It is made from Yunnan large-leaf sun-green tea with specific processing techniques. The quality formation of Pu-erh tea is closely related to the soil’s environmental conditions. In this paper, time-by-time data of the soil environment of tea plantations during the autumn tea harvesting period in Menghai County, Xishuangbanna, Yunnan Province, China, in 2021 were analyzed. Spearman’s correlation analysis was conducted between the inner components of Pu’er tea and the soil environmental factor. The analysis showed that three soil environmental indicators, soil temperature, soil moisture, and soil pH, were highly significantly correlated. The soil environmental quality evaluation method was proposed based on the selected soil environmental characteristics. Meanwhile, a deep learning model of Long Short Term Memory (LSTM) Network for the soil environmental quality of tea plantation was established according to the proposed method, and the soil environmental quality of tea was classified into four classes. In addition, the paper also compares the constructed models based on BP neural network and random forest to evaluate the coefficient of determination (R2), mean absolute error (MAE), mean square error (MSE), mean absolute percentage error (MAPE) and root mean square error (RMSE) of the indicators for comparative analysis. This paper innovatively proposes to introduce the main inclusions of Pu’er tea into the classification and discrimination model of the soil environment in tea plantations, while using machine learning-related algorithms to classify and predict the categories of soil environmental quality, instead of relying solely on statistical data for analysis. This research work makes it possible to quickly and accurately determines the physiological status of tea leaves based on the establishment of a soil environment quality prediction model, which provides effective data for the intelligent management of tea plantations and has the advantage of rapid and low-cost assessment compared with the need to measure the intrinsic quality of Pu-erh tea after harvesting is completed. Full article
(This article belongs to the Special Issue Dynamics of Upland Soil for Agroforestry Crops)
Show Figures

Figure 1

13 pages, 1531 KB  
Article
Stoichiometric Variation in Soil Carbon, Nitrogen, and Phosphorus Following Cropland Conversion to Forest in Southwest China
by Mengzhen Lu, Kunping Liu, Lijin Zhang, Fuping Zeng, Tongqing Song, Wanxia Peng and Hu Du
Forests 2022, 13(8), 1155; https://doi.org/10.3390/f13081155 - 22 Jul 2022
Cited by 20 | Viewed by 3319
Abstract
Soil organic carbon (SOC), nitrogen (N), and phosphorus (P) are three essential soil nutrients for plant growth, and their stoichiometric ratios are already important indices of elemental balance and the soil fertility status in soil ecosystems. The evolution mechanism of the SOC, Total [...] Read more.
Soil organic carbon (SOC), nitrogen (N), and phosphorus (P) are three essential soil nutrients for plant growth, and their stoichiometric ratios are already important indices of elemental balance and the soil fertility status in soil ecosystems. The evolution mechanism of the SOC, Total Nitrogen (TN), Total Phosphorus (TP), and stoichiometry following the “conversion of cropland to forest program” (CCFP) in southwest China is not yet clear. Seven different CCFP restoration models, including Zenia insignis (RD), Toona sinensis (XC), Castanea mollissima (BL), Citrus reticulate (GJ), Zenia insignis and Guimu-1 elephant grass (RG), Guimu-1 elephant grass (GM), and abandoned cropland (LH), were chosen to explore changes in the concentration and stoichiometry of the SOC, TN, and TP, and their recovery times, at a depth of 0–100 cm. The results indicate that the SOC and TN concentrations in different restoration models all increased with restoration years in the topsoil, whereas the soil TP concentration remained relatively stable. The soil C:N and C:P ratios increased with increasing restoration years in the topsoil, whereas the N: P ratio was relatively stable over time. After ten years of reforestation, the SOC and TN concentrations decreased as the soil layer increased. The effects of the restoration model on the C: N ratios were greater in shallow soils. Our results suggest a complex reaction of SOC, soil TN, and soil TP concentrations and stoichiometry to the vegetation restoration mode, particularly in the topsoil. This research further improves the understanding of SOC, N, and P interactions and restricted nutrition, and provides relevant theoretical support for vegetation restoration in the southwest karst region. Full article
(This article belongs to the Special Issue Plant–Soil Interactions in Karst Regions)
Show Figures

Figure 1

16 pages, 2009 KB  
Article
Assessment of Seasonal Variability in Soil Nutrients and Its Impact on Soil Quality under Different Land Use Systems of Lower Shiwalik Foothills of Himalaya, India
by Tavjot Kaur, Simerpreet Kaur Sehgal, Satnam Singh, Sandeep Sharma, Salwinder Singh Dhaliwal and Vivek Sharma
Sustainability 2021, 13(3), 1398; https://doi.org/10.3390/su13031398 - 29 Jan 2021
Cited by 25 | Viewed by 4228
Abstract
The present study was conducted to investigate the seasonal effects of five land use systems (LUSs), i.e., wheat–rice (Triticum aestivum—Oryza sativa) system, sugarcane (Saccharum officinarum), orange (Citrus sinensis) orchard, safeda (Eucalyptus globules) forest, and grassland, [...] Read more.
The present study was conducted to investigate the seasonal effects of five land use systems (LUSs), i.e., wheat–rice (Triticum aestivum—Oryza sativa) system, sugarcane (Saccharum officinarum), orange (Citrus sinensis) orchard, safeda (Eucalyptus globules) forest, and grassland, on soil quality and nutrient status in the lower Satluj basin of the Shiwalik foothills Himalaya, India. Samples were analyzed for assessment of physico-chemical properties at four soil depths, viz., 0–15, 15–30, 30–45, and 45–60 cm. A total of 120 soil samples were collected in both the seasons. Soil texture was found to be sandy loam and slightly alkaline in nature. The relative trend of soil organic carbon (SOC), macro- and micro-nutrient content for the five LUSs was forest > orchard > grassland > wheat–rice > sugarcane, in the pre- and post-monsoon seasons. SOC was highly correlated with macronutrients and micronutrients, whereas SOC was negatively correlated with soil pH (r = −0.818). The surface soil layer (0–15 cm) had a significantly higher content of SOC, and macro- and micro-nutrients compared to the sub-surface soil layers, due to the presence of more organic content in the soil surface layer. Tukey’s multiple comparison test was applied to assess significant difference (p < 0.05) among the five LUSs at four soil depths in both the seasons. Principle component analysis (PCA) identified that SOC and electrical conductivity (EC) were the most contributing soil indicators among the different land use systems, and that the post-monsoon season had better soil quality compared to the pre-monsoon season. These indicators helped in the assessment of soil health and fertility, and to monitor degraded agroecosystems for future soil conservation. Full article
Show Figures

Figure 1

17 pages, 1123 KB  
Article
Biochar Effects on Soil Physiochemical Properties in Degraded Managed Ecosystems in Northeastern Bangladesh
by Md. Rezaul Karim, Md Abdul Halim, Nigel V. Gale and Sean C. Thomas
Soil Syst. 2020, 4(4), 69; https://doi.org/10.3390/soilsystems4040069 - 27 Nov 2020
Cited by 44 | Viewed by 7119
Abstract
A body of emerging research shows the promise of charcoal soil amendments (“biochars”) in restoring fertility in degraded agricultural and forest soils. “Sustainable biochars” derived from locally produced waste biomass and produced near the application site are of particular interest. We tested the [...] Read more.
A body of emerging research shows the promise of charcoal soil amendments (“biochars”) in restoring fertility in degraded agricultural and forest soils. “Sustainable biochars” derived from locally produced waste biomass and produced near the application site are of particular interest. We tested the effects of surface applications of wood-derived biochars (applied at 7.5 t·ha−1) on soil physiochemical properties (N, P, K, pH, soil moisture content, organic matter content, and bulk density) in three land-use types: agriculture (Camellia sinensis monoculture), agroforestry (C. sinensis with shade trees), and secondary forest (Dipterocarpus dominated) assessed over seven months. We found significant positive effects of biochar on soil physiochemical properties in all land-use types, with the strongest responses in the most degraded tea monoculture sites. Although biochar had no significant effect on soil N and K, it improved soil P—the primary nutrient most commonly limiting in tropical soils. Biochar also enhanced soil moisture and organic matter content, reduced bulk density, and increased soil pH in monoculture sites. Our results support the general hypothesis that biochar can improve the fertility of degraded soils in agricultural and forest systems in Bangladesh and suggest that biochar additions may be of great benefit to the most degraded soils. Full article
Show Figures

Figure 1

Back to TopTop