Sign in to use this feature.

Years

Between: -

Subjects

remove_circle_outline
remove_circle_outline
remove_circle_outline
remove_circle_outline
remove_circle_outline
remove_circle_outline
remove_circle_outline
remove_circle_outline
remove_circle_outline

Journals

remove_circle_outline
remove_circle_outline
remove_circle_outline

Article Types

Countries / Regions

remove_circle_outline
remove_circle_outline
remove_circle_outline
remove_circle_outline

Search Results (114)

Search Parameters:
Keywords = P–M interaction curve

Order results
Result details
Results per page
Select all
Export citation of selected articles as:
20 pages, 3473 KB  
Article
Vertical Bearing Behavior of Reinforced Composite Piles in Dense Sandy Soils
by Rui Zhang, Jinsong Tu, Donghua Wang, Lintao Fang and Mingxing Xie
Buildings 2025, 15(20), 3650; https://doi.org/10.3390/buildings15203650 - 10 Oct 2025
Viewed by 173
Abstract
Reinforced composite prestressed concrete hollow square (RCPHS) piles, installed through pre-drilling, grouting, and static jacking, integrate the large lateral contact area of cement–soil casings with the high strength and stiffness of prestressed concrete cores. This study combines full-scale vertical static load tests and [...] Read more.
Reinforced composite prestressed concrete hollow square (RCPHS) piles, installed through pre-drilling, grouting, and static jacking, integrate the large lateral contact area of cement–soil casings with the high strength and stiffness of prestressed concrete cores. This study combines full-scale vertical static load tests and finite-element (FE) simulations to explore the interaction among the core pile, plain-concrete casing, and surrounding soil. Results show that, at 3600 kN, RCPHS piles exhibit 76% less pile-head settlement compared to PHS piles, and a 36.5% reduction in pile-material expenditure is achieved using the RCPHS scheme. At the same settlement of 23 mm, RCPHS piles carry 87% more load than PHS piles. A 3D FE model developed in ABAQUS reveals that the core pile carries approximately 94% of the applied load. When the load exceeds 4180 kN, the axial force in the casing sharply increases at depths of 7–10 m. The simulated P–s curves align well with field measurements, confirming model accuracy. The superior performance of RCPHS piles is attributed to the graded elastic modulus and coordinated stress distribution of the core–casing–soil system, which enhances interface friction and overall load capacity. These findings provide a foundation for the design optimization of RCPHS piles in dense sandy foundations. Full article
(This article belongs to the Section Building Structures)
Show Figures

Figure 1

16 pages, 1469 KB  
Article
P3MA: A Promising Mycobacteriophage Infecting Mycobacterium abscessus
by Antonio Broncano-Lavado, John Jairo Aguilera-Correa, Françoise Roquet-Banères, Laurent Kremer, Aránzazu Mediero, Mateo Seoane-Blanco, Mark J. van Raaij, Israel Pagán, Jaime Esteban and Meritxell García-Quintanilla
Antibiotics 2025, 14(8), 801; https://doi.org/10.3390/antibiotics14080801 - 6 Aug 2025
Viewed by 648
Abstract
Background/Objectives: Mycobacterium abscessus is an opportunistic pathogen causing infections mainly in patients with immunosuppression and chronic pulmonary pathologies. Extended treatment periods are needed to tackle this pathogen, bacterial eradication is rare, and recurrence can take place with time. New alternative treatments are being [...] Read more.
Background/Objectives: Mycobacterium abscessus is an opportunistic pathogen causing infections mainly in patients with immunosuppression and chronic pulmonary pathologies. Extended treatment periods are needed to tackle this pathogen, bacterial eradication is rare, and recurrence can take place with time. New alternative treatments are being investigated, such as bacteriophage therapy. This work describes the characterization of the mycobacteriophage P3MA, showing its ability to infect clinical and standard M. abscessus strains. Methods: Phylogenetic analysis, electron microscopy, growth curves, biofilm assays, checkerboard, and granuloma-like medium studies were performed. Results: P3MA inhibited the growth of clinical samples in both planktonic and biofilm states as well as in a granuloma-like model. The study of the interaction with antibiotics revealed that P3MA exhibited an antagonistic effect combined with clarithromycin, indifference with amikacin, and synergy with imipenem. Conclusions: All these results suggest that, after genetic engineering, P3MA could be a promising candidate for phage therapy in combination with imipenem, including lung infections. Full article
Show Figures

Graphical abstract

18 pages, 3426 KB  
Article
XPS on Co0.95R0.05Fe2O4 Nanoparticles with R = Gd or Ho
by Adam Szatmari, Rareș Bortnic, Tiberiu Dragoiu, Radu George Hategan, Lucian Barbu-Tudoran, Coriolan Tiusan, Raluca Lucacel-Ciceo, Roxana Dudric and Romulus Tetean
Appl. Sci. 2025, 15(15), 8313; https://doi.org/10.3390/app15158313 - 25 Jul 2025
Viewed by 509
Abstract
Co0.95R0.05Fe2O4 nanoparticles were synthesized using a sol-gel approach incorporating bio-based agents and were found to be single phases adopting a cubic Fd-3m structure. XPS shows the presence of Gd3+ and Ho3+ ions. The spin–orbit [...] Read more.
Co0.95R0.05Fe2O4 nanoparticles were synthesized using a sol-gel approach incorporating bio-based agents and were found to be single phases adopting a cubic Fd-3m structure. XPS shows the presence of Gd3+ and Ho3+ ions. The spin–orbit splitting of about 15.4 eV observed in Co 2p core-level spectra is an indication that Co is predominantly present as Co3+ state, while the satellite structures located at about 6 eV higher energies than the main lines confirm the existence of divalent Co in Co0.95R0.05Fe2O4. The positions of the Co 3s and Fe 3s main peaks obtained by curve fitting and the exchange splitting obtained values for Co 3s and Fe 3s levels point to the high Co3+/Co2+ and Fe3+/Fe2+ ratios in both samples. The saturation magnetizations are smaller for the doped samples compared to the pristine ones. For theoretical magnetization calculation, we have considered that the heavy rare earths are in octahedral sites and their magnetic moments are aligned antiparallelly with 3d transition magnetic moments. ZFC-FC curves shows that some nanoparticles remain superparamagnetic, while the rest are ferrimagnetic, ordered at room temperature, and showing interparticle interactions. The MS/Ms ratio at room temperature is below 0.5, indicating the predominance of magnetostatic interactions. Full article
Show Figures

Figure 1

19 pages, 7965 KB  
Article
The Influence of Light Rare-Earth Substitution on Electronic and Magnetic Properties of CoFe2O4 Nanoparticles
by Rareș Bortnic, Adam Szatmari, Tiberiu Dragoiu, Radu George Hategan, Roman Atanasov, Lucian Barbu-Tudoran, Coriolan Tiusan, Raluca Lucacel-Ciceo, Roxana Dudric and Romulus Tetean
Nanomaterials 2025, 15(15), 1152; https://doi.org/10.3390/nano15151152 - 25 Jul 2025
Viewed by 908
Abstract
Co0.95R0.05Fe2O4 nanoparticles with R = La, Pr, Nd, Sm, and Eu were synthesized via an environmentally friendly sol–gel method. The prepared samples were studied using X-ray diffraction measurements (XRD), transmission electron microscopy (TEM), X-ray photoelectron microscopy [...] Read more.
Co0.95R0.05Fe2O4 nanoparticles with R = La, Pr, Nd, Sm, and Eu were synthesized via an environmentally friendly sol–gel method. The prepared samples were studied using X-ray diffraction measurements (XRD), transmission electron microscopy (TEM), X-ray photoelectron microscopy (XPS), and magnetic measurements. All compounds were found to be single phases adopting a cubic Fd-3m structure. EDS analysis confirmed the presence of Co, Fe, R, and oxygen in all cases. The XPS measurements reveal that the Co 2p core-level spectra are characteristic for Co3+ ions, as indicated by the 2p3/2 and 2p1/2 binding energies and spin–orbit splitting values. The analysis of the Fe 2p core-level spectra reveals the presence of both Fe3+ and Fe2+ ions in the investigated samples. The doped samples exhibit lower saturation magnetizations than the pristine sample. Very good agreement with the saturation magnetization values was obtained if we assumed that the light rare-earth ions occupy octahedral sites and their magnetic moments align parallel to those of the 3d transition metal ions. The ZFC-FC curves indicate that some nanoparticles remain superparamagnetic, while others exhibit ferrimagnetic ordering at room temperature, suggesting the presence of interparticle interactions. The Mr/Ms ratio at room temperature reflects the dominance of magnetostatic interactions. Full article
(This article belongs to the Section Nanophotonics Materials and Devices)
Show Figures

Figure 1

14 pages, 1320 KB  
Article
The Impact of Age on the Effectiveness of Immune Checkpoint Inhibitors Therapy in Patients with Metastatic Non-Small-Cell Lung Cancer
by Yuliia Moskalenko, Oleksandr Yazykov, Olena Vasylieva, Kateryna Smiian, Tetiana Ivakhniuk, Hanna Budko and Roman Moskalenko
Geriatrics 2025, 10(4), 85; https://doi.org/10.3390/geriatrics10040085 - 27 Jun 2025
Viewed by 883
Abstract
The global aging population has led to a growing incidence of malignancies, including metastatic non-small-cell lung cancer (mNSCLC). Immunosenescence may affect the efficacy of immune checkpoint inhibitors (ICIs). The prognostic role of age in ICI-treated mNSCLC remains uncertain. Objectives: This study aims [...] Read more.
The global aging population has led to a growing incidence of malignancies, including metastatic non-small-cell lung cancer (mNSCLC). Immunosenescence may affect the efficacy of immune checkpoint inhibitors (ICIs). The prognostic role of age in ICI-treated mNSCLC remains uncertain. Objectives: This study aims to assess whether age independently influences survival, response, and toxicity in mNSCLC patients treated with ICIs, and to examine potential interactions with clinical factors. Methods: In this retrospective cohort study, 105 patients with mNSCLC treated with ICIs were enrolled. Patients were stratified into four groups based on age quartiles. Clinical, pathological, and treatment data were collected. Survival outcomes were analyzed using Kaplan–Meier curves, ROC curve and multivariable Cox regression models adjusted for confounders. Interaction and restricted cubic spline analyses were performed to explore age-related effects. The p < 0.05 was considered as statistically significant. Results: The median age was 60.8 years. Clinical benefit—defined as objective response rate (51.4%) and disease control rate (86.6%)—did not significantly differ across age quartiles (p = 0.551 and p = 0.257, respectively). Median overall survival also did not differ significantly (p = 0.2853). Cox regression and spline modeling demonstrated no independent association between chronological age and all-cause mortality (Model 3: HR = 1.00, 95% CI: 0.95–1.04, p = 0.889). However, interaction analyses revealed that poor ECOG performance status (p = 0.001), longer duration of ICI treatment (p < 0.0001), and low PD-L1 expression (p = 0.017) were stronger predictors of mortality in older patients. Age was associated with increased immune-related adverse events and higher Charlson Comorbidity Index scores, suggesting the need for age-specific management strategies. Conclusions: Age alone does not predict survival in mNSCLC patients receiving ICIs. However, functional status, treatment duration and PD-L1 expression may modify age-related outcomes. Full article
(This article belongs to the Section Geriatric Oncology)
Show Figures

Figure 1

23 pages, 2846 KB  
Article
Research on Dynamic Calculation Methods for Deflection Tools in Deepwater Shallow Soft Formation Directional Wells
by Yufa He, Yu Chen, Xining Hao, Song Deng and Chaowei Li
Processes 2025, 13(6), 1947; https://doi.org/10.3390/pr13061947 - 19 Jun 2025
Viewed by 528
Abstract
The shallow, soft subsea formations, characterized by low strength and poor stability, lead to complex interactions between the screw motor drilling tool and the wellbore wall during directional drilling, complicating the accurate evaluation of the tool’s deflection capability. To address this issue, this [...] Read more.
The shallow, soft subsea formations, characterized by low strength and poor stability, lead to complex interactions between the screw motor drilling tool and the wellbore wall during directional drilling, complicating the accurate evaluation of the tool’s deflection capability. To address this issue, this paper proposes an integrated mechanical analysis method combining three-dimensional finite element analysis and transient dynamic analysis. By establishing a finite element model using 12-DOF (degree-of-freedom) spatial rigid-frame Euler–Bernoulli beam elements, coupled with well trajectory coordinate transformation and Rayleigh damping matrix, a precise description of drill string dynamic behavior is achieved. Furthermore, the introduction of pipe–soil dynamics and the p-y curve method improves the calculation of contact reaction forces between drilling tools and formation. Case studies demonstrate that increasing the tool face rotation angle intensifies lateral forces at the bit and stabilizer, with the predicted maximum dogleg severity within the first 10 m ahead of the bit progressively increasing. When the tool face rotation angle exceeds 2.5°, the maximum dogleg severity reaches 17.938°/30 m. With a gradual increase in the drilling pressure, the maximum bending stress on the drilling tool, maximum lateral cutting force, and stabilizer lateral forces progressively decrease, while vertical cutting forces and bit lateral forces gradually increase. However, the predicted maximum dogleg severity increases within the first 10 m ahead of the bit remain relatively moderate, suggesting the necessity for the multi-objective optimization of drilling pressure and related parameters prior to actual operations. Full article
(This article belongs to the Special Issue Modeling, Control, and Optimization of Drilling Techniques)
Show Figures

Figure 1

19 pages, 2520 KB  
Article
Synthesis, Antibacterial Evaluation and Molecular Modeling of Novel Chalcone Derivatives Incorporating the Diphenyl Ether Moiety
by Shiyuan Li and Hong Jin
Molecules 2025, 30(12), 2575; https://doi.org/10.3390/molecules30122575 - 13 Jun 2025
Viewed by 819
Abstract
Twenty-one novel chalcone derivatives, 5a-5u, incorporating a diphenyl ether moiety, were designed, prepared, and subsequently characterized using NMR and HR-MS and FR-IR techniques. Antibacterial evaluation of the target compounds was carried out against Staphylococcus aureus, Escherichia coli, Salmonella [...] Read more.
Twenty-one novel chalcone derivatives, 5a-5u, incorporating a diphenyl ether moiety, were designed, prepared, and subsequently characterized using NMR and HR-MS and FR-IR techniques. Antibacterial evaluation of the target compounds was carried out against Staphylococcus aureus, Escherichia coli, Salmonella, and Pseudomonas aeruginosa. The in vitro results demonstrated that most compounds exhibited considerable potency in inhibiting bacterial growth, with MIC values ranging from 25.23 to 83.50 μM for S. aureus, 27.53 to 76.25 μM for E. coli, 29.73 to 71.73 μM for Salmonella, and 27.53 to 71.73 μM for P. aeruginosa. Notably, all synthesized compounds exhibited superior antibacterial activity compared to the lead chalcone. In particular, compound 5u, which features two diphenyl ether moieties, displayed outstanding antibacterial performance, with MIC values of 25.23 μM for S. aureus and 33.63 μM for E. coli, Salmonella, and P. aeruginosa. Moreover, compound 5u outperformed both ciprofloxacin and gentamicin against Salmonella and P. aeruginosa, and time-kill curve assays further revealed that concentrations of compound 5u at or above 33.63 μM provided potent and sustained inhibition of both Salmonella and P. aeruginosa. Additionally, molecular modeling of the P. aeruginosa LpxC-compound 5u complex suggested that compound 5u could strongly bind to and interact with the binding site of the LpxC. Based on these findings, compound 5u represents a promising lead for future antimicrobial development. Full article
Show Figures

Figure 1

16 pages, 3366 KB  
Article
Antitumor Effects of Hesperidin and Cisplatin on Human Osteosarcoma Cells Through Inhibiting Proliferation and Inducing Mitochondrial-Mediated Apoptosis
by Mehmet Onur Ziyadanoğulları, Mehmet Cudi Tuncer and İlhan Özdemir
Medicina 2025, 61(6), 960; https://doi.org/10.3390/medicina61060960 - 23 May 2025
Cited by 1 | Viewed by 754
Abstract
Background and Objectives: Osteosarcoma is a primary malignant bone tumor characterized by the proliferation of malignant mesenchymal cells and primarily affects children and adolescents. Hesperidin (Hes) interacts with various cellular targets and inhibits cancer cell proliferation by inducing apoptosis. However, the precise [...] Read more.
Background and Objectives: Osteosarcoma is a primary malignant bone tumor characterized by the proliferation of malignant mesenchymal cells and primarily affects children and adolescents. Hesperidin (Hes) interacts with various cellular targets and inhibits cancer cell proliferation by inducing apoptosis. However, the precise mechanisms underlying Hes-induced cell death in osteosarcoma cells remain unclear. This study aimed to investigate the effects of Hes and cisplatin (Cis) on the Bax/Bcl-2 apoptotic pathway in osteosarcoma cells. Materials and Methods: The human osteosarcoma cell line U2OS (Uppsala 2 Osteosarcoma) was treated with IC50 concentrations of Hes and Cis for 48 h. Changes in the mRNA expression levels of Bax, Bcl-2, Caspase-3, and Survivin—key regulators of apoptosis—were analyzed using quantitative real-time PCR (qPCR). The synergistic and/or antagonistic interactions of the Hes and Cis combination were evaluated using Combenefit v2.021 software (Cambridge, UK). Results: The dose–response curve for Hes revealed a gradual reduction in cell viability, with an IC50 value of 106 µM, while the IC50 value for Cis was 4.83 µM. The levels of the inflammatory cytokines IL-1β, TNF-α, and IFN-γ were significantly decreased in the treatment groups compared to the control (p = 0.01). IL-6 levels also showed a marked decrease, particularly in the Hes and Cis groups, with high statistical significance (p = 0.002). Treatment with Hes and Cis significantly upregulated the mRNA expression of Bax and Caspase-3, while significantly downregulating Bcl-2 and Survivin mRNA levels (p < 0.05). Notably, Bax expression was highest in the Hes + Cis combination group. The combination treatment exhibited enhanced cytotoxicity, especially at higher concentrations, indicating a synergistic effect between the two compounds. Conclusions: This study is the first to demonstrate that Hes induces apoptosis in U2OS osteosarcoma cells and that its combination with Cis may enhance anticancer efficacy by activating apoptosis-related cell death pathways. Given the growing focus on combination therapies and cell death mechanisms in cancer research, these findings provide valuable insights into potential novel strategies for osteosarcoma treatment. Full article
(This article belongs to the Section Oncology)
Show Figures

Figure 1

15 pages, 4082 KB  
Article
Electrochemical Boron Detection with Ferrocene and Catechol-Functionalized Cyclodextrin Inclusion Complex
by Kai Sato, Hiroshi Kimoto and Takeshi Hashimoto
Int. J. Mol. Sci. 2025, 26(9), 4432; https://doi.org/10.3390/ijms26094432 - 7 May 2025
Viewed by 851
Abstract
We demonstrate a rapid and sensitive boron detection method through current amplification mediated by supramolecular interaction. Oxidation peak currents obtained by cyclic voltammetry (CV) measurements of a ferrocene/catechol-functionalized β-cyclodextrin inclusion complex were amplified through an EC’ reaction (where EC’ denotes an electrochemical [...] Read more.
We demonstrate a rapid and sensitive boron detection method through current amplification mediated by supramolecular interaction. Oxidation peak currents obtained by cyclic voltammetry (CV) measurements of a ferrocene/catechol-functionalized β-cyclodextrin inclusion complex were amplified through an EC’ reaction (where EC’ denotes an electrochemical step followed by a catalytic chemical step). However, the amplified current was decreased by boric acid (the primary form of boron in water) addition at pH 8.6 owing to interactions of boron with the cis-diol structure of dihydroxybenzoic acid-β-cyclodextrin and ferrocene for ester formation. We determined the optimum CyD functionalization sites and measurement conditions and obtained a limit of detection of 0.16 mg B L−1 for ferrocene/3,4-dihydroxybenzoic acid-β-cyclodextrin (Fc/3,4-DHBA-β-CyD). The binding constant (assuming a 1:1 binding model) for the interaction between Fc/3,4-DHBA-β-CyD and boric acid was estimated to be approximately 1500 M−1. Boron concentrations in spiked real samples showed good recoveries and linear calibration curves. The electrochemical response of this system was not significantly affected by the presence of other anions or cations. We also found that an aqueous solution of 3,4-DHBA-β-CyD remained stable for at least 112 days. Full article
(This article belongs to the Special Issue Cyclodextrins: Properties and Applications, 2nd Edition)
Show Figures

Figure 1

11 pages, 595 KB  
Article
Age-Dependent Risk of Long-Term All-Cause Mortality in Patients Post-Myocardial Infarction and Acute Kidney Injury
by Keren Skalsky, Mashav Romi, Arthur Shiyovich, Alon Shechter, Tzlil Grinberg, Harel Gilutz and Ygal Plakht
J. Cardiovasc. Dev. Dis. 2025, 12(4), 133; https://doi.org/10.3390/jcdd12040133 - 3 Apr 2025
Viewed by 698
Abstract
Objectives: We aimed to investigate the association between acute kidney injury (AKI) and the risk for long-term (up to 10 years) all-cause mortality among elderly compared with younger patients following an acute myocardial infarction (AMI). Methods: This study was a retrospective analysis of [...] Read more.
Objectives: We aimed to investigate the association between acute kidney injury (AKI) and the risk for long-term (up to 10 years) all-cause mortality among elderly compared with younger patients following an acute myocardial infarction (AMI). Methods: This study was a retrospective analysis of the Soroka Acute Myocardial Infarction registry and covered the years 2002 to 2017. It included patients diagnosed with an AMI who had a baseline estimated glomerular filtration rate (eGFR) greater than 60 mL/min/1.73 m2 and serum creatinine measurements available during hospitalization. The patients were stratified by age: elderly (aged 65 years or older at admission) and younger. In each stratum, two groups were defined based on the presence of an AKI. The survival approach (Kaplan–Meier survival curves, log-rank test and Cox regressions) was utilized to estimate and compare the probability of long-term (up to 10 years) all-cause mortality in each group. Results: Among the 10,511 eligible patients, which consisted of 6132 younger patients (58.3%) and 4379 elderly (41.7%), an AKI occurred in 15.2% of cases, where the elderly patients experienced a higher incidence than the younger patients (20.9% vs. 11.2%, p < 0.001). The presence of an AKI significantly increased the risk of death in both age groups, with the association being stronger among the younger patients (AdjHR = 1.634, 95% CI: 1.363–1.959, p < 0.001) than among the elderly (AdjHR = 1.278, 95% CI: 1.154–1.415, p < 0.001, p-for-interaction = 0.020). Conclusions: An AKI following an AMI was associated with a high risk for long-term all-cause mortality in both age groups, with a stronger association among younger patients. Full article
Show Figures

Figure 1

18 pages, 4929 KB  
Article
Alterations in RNA Expression Profile Following S. aureus and S. epidermidis Inoculation into Platelet Concentrates
by Jae Kwon Kim, Taewon Kang, Youngeun Kweon, In Young Yoo, Eun-Jee Oh, Yeon-Joon Park, Yonggoo Kim, Hoon Seok Kim and Dong Wook Jekarl
Int. J. Mol. Sci. 2025, 26(7), 3009; https://doi.org/10.3390/ijms26073009 - 26 Mar 2025
Viewed by 670
Abstract
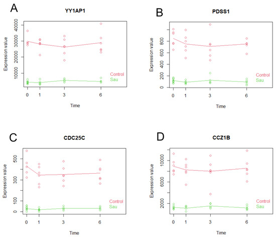
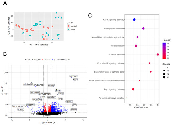
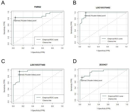
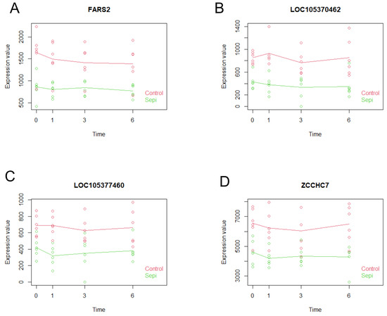
Microbial contamination of platelet concentrates (PC) remains a persistent challenge in transfusion medicine, necessitating robust preventive measures prior to product release. Differentially expressed gene (DEG) analysis of microbe inoculated PC offers a promising approach to identifying potential biomarkers for contamination detection. Within PC, [...] Read more.
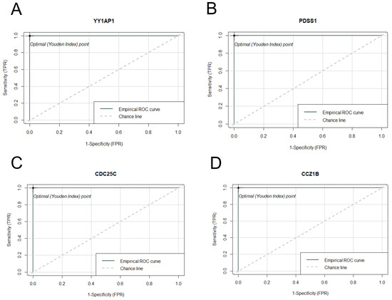
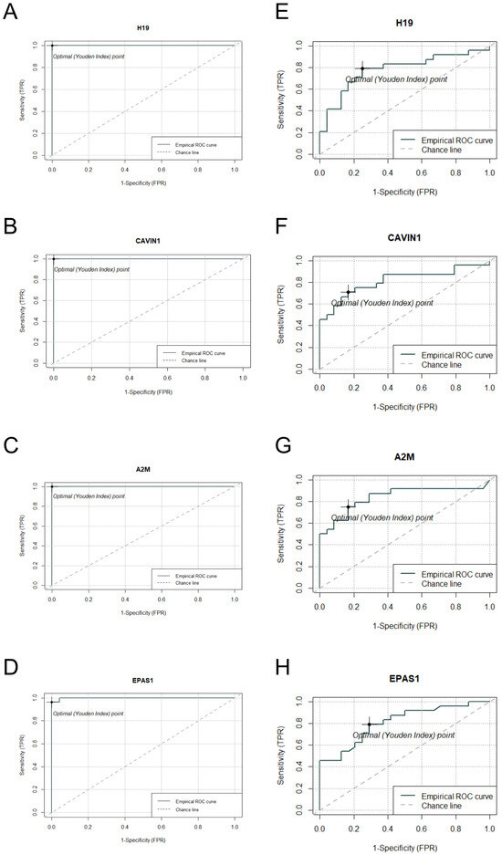
Microbial contamination of platelet concentrates (PC) remains a persistent challenge in transfusion medicine, necessitating robust preventive measures prior to product release. Differentially expressed gene (DEG) analysis of microbe inoculated PC offers a promising approach to identifying potential biomarkers for contamination detection. Within PC, each S. aureus (ATCC 29213) and S. epidermidis (ATCC 12228) was inoculated in a 103 CFU/mL concentration. Total RNA was extracted from the samples at predetermined time points (0-, 1-, 3-, and 6-hours post-inoculation), followed by high-throughput RNA sequencing. DEG, gene enrichment, and pathway analysis were conducted. Diagnostic potential was evaluated through the calculation of area under the curve (AUC) values and the assessment of additional performance metrics. DEG identified 5884 and 974 DEGs in S. aureus and S. epidermidis samples, respectively. Pathway analysis revealed distinct biological responses: S. aureus-inoculated samples showed prominent enrichment in ribosomal and spliceosome pathways, while S. epidermidis-inoculated samples demonstrated significant activation of mitogen-activated protein kinase (MAPK) signaling pathways and natural killer (NK) cell-mediated cytotoxicity pathways. ROC analysis of the commonly differentially expressed genes in both S. aureus and S. epidermidis-inoculated samples demonstrated significant diagnostic potential. The genes H19, CAVIN1, A2M, and EPAS1 exhibited statistically significant adjusted p-values and AUC values exceeding 0.8, with the exception of the H19 gene in S. epidermidis, suggesting their utility as potential biomarkers for staphylococcal contamination detection. Interaction between PC and microbial contaminants resulted in DEG and genes could be analyzed for microbial contamination of PC. However, to establish the robustness and broader applicability of these findings, further studies encompassing a more diverse range of microbial species are necessary. Full article
(This article belongs to the Section Molecular Genetics and Genomics)
Show Figures

Figure 1

26 pages, 7700 KB  
Article
Assessment of Structural Integrity Through On-Site Decision-Making Analysis for a Jacket-Type Offshore Platform
by Rodrigo Daniel Álvarez Bello Martínez, Juan Antonio Álvarez-Arellano and Youness El Hamzaoui
Appl. Sci. 2025, 15(7), 3418; https://doi.org/10.3390/app15073418 - 21 Mar 2025
Viewed by 2136
Abstract
This paper presents a comprehensive on-site decision-making framework for assessing the structural integrity of a jacket-type offshore platform in the Gulf of Mexico, installed at a water depth of 50 m. Six critical analyses—(i) static operation and storm, (ii) dynamic storm, (iii) strength-level [...] Read more.
This paper presents a comprehensive on-site decision-making framework for assessing the structural integrity of a jacket-type offshore platform in the Gulf of Mexico, installed at a water depth of 50 m. Six critical analyses—(i) static operation and storm, (ii) dynamic storm, (iii) strength-level seismic, (iv) seismic ductility (pushover), (v) maximum wave resistance (pushover), and (vi) spectral fatigue—are performed using SACS V16 software to capture both linear and nonlinear interactions among the soil, piles, and superstructure. The environmental conditions include multi-directional wind, waves, currents, and seismic loads. In the static linear analyses (i, ii, and iii), the overall results confirm that the unity checks (UCs) for structural members, tubular joints, and piles remain below allowable thresholds (UC < 1.0), thus meeting API RP 2A-WSD, AISC, IMCA, and Pemex P.2.0130.01-2015 standards for different load demands. However, these three analyses also show hydrostatic collapse due to water pressure on submerged elements, which is mitigated by installing stiffening rings in the tubular components. The dynamic analyses (ii and iii) reveal how generalized mass and mass participation factors influence structural behavior by generating various vibration modes with different periods. They also include a load comparison under different damping values, selecting the most unfavorable scenario. The nonlinear analyses (iv and v) provide collapse factors (Cr = 8.53 and RSR = 2.68) that exceed the minimum requirements; these analyses pinpoint the onset of plasticization in specific elements, identify their collapse mechanism, and illustrate corresponding load–displacement curves. Finally, spectral fatigue assessments indicate that most tubular joints meet or exceed their design life, except for one joint (node 370). This joint’s service life extends from 9.3 years to 27.0 years by applying a burr grinding weld-profiling technique, making it compliant with the fatigue criteria. By systematically combining linear, nonlinear, and fatigue-based analyses, the proposed framework enables robust multi-hazard verification of marine platforms. It provides operators and engineers with clear strategies for reinforcing existing structures and guiding future developments to ensure safe long-term performance. Full article
Show Figures

Figure 1

13 pages, 2220 KB  
Article
Comparative Analysis of Performance in the High-Bar vs. Low-Bar Squat
by Manuel González, Archit Navandar, José M. González-Ravé, Roberto Ojeda, Fernando González-Mohíno and Daniel Juárez Santos-García
Appl. Sci. 2025, 15(6), 3143; https://doi.org/10.3390/app15063143 - 13 Mar 2025
Viewed by 2964
Abstract
The objective of this study was to compare the 1 Repetition Maximum (RM) performance in the parallel squat exercise with a low-bar vs. a high-bar technique and to analyze the gender differences. A secondary objective was to analyze the differences in the force–velocity [...] Read more.
The objective of this study was to compare the 1 Repetition Maximum (RM) performance in the parallel squat exercise with a low-bar vs. a high-bar technique and to analyze the gender differences. A secondary objective was to analyze the differences in the force–velocity profile between the low- and high-bar squat technique. Nineteen recreational strength-trained participants, 9 men (22 ± 1.9 years, 79.4 ± 13.9 kg, 1.77 ± 0.11 m) and 10 women (27.6 ± 3.12 years, 60.4 ± 5.0 kg, 1.67 ± 0.5 m), participated in this study. All participants performed two evaluations of the 1RM and the force–velocity curve in parallel squat exercises, separated by a week, one with a high bar and the other with a low bar technique. The level of significance set for this study was p < 0.05. The technical × gender interaction was not significant in any of the three variables analyzed: lifted load, mean propulsive velocity, and force. A difference (p < 0.001) in the lifted load and the mean force is observed between the techniques at 1RM, being in both cases (men and women) better in the low-bar performance. A difference (p < 0.001) was observed in relation to the technique × participation interaction when comparing the mean velocity and force obtained with the same absolute submaximal loads in each of the techniques. These data may guide a better and more precise organization of training when performing the squat exercise and differentiating the techniques to be used, using the low bar when the main objective is strength or power training. Full article
Show Figures

Figure 1

28 pages, 3671 KB  
Article
Modeling of Hydrogen Atom Adsorption and Diffusion in Ti3Sb Intermetallic Crystal with A15 Cubic Structure
by Salim M. Asadov, Solmaz N. Mustafaeva and Saida O. Mammadova
Surfaces 2025, 8(1), 17; https://doi.org/10.3390/surfaces8010017 - 4 Mar 2025
Viewed by 1292
Abstract
For the first time, the adsorption of hydrogen on the (110) surface of the A15 Ti3Sb compound with a cubic structure (Cr3Si type; space group Pm3¯n) for the accumulation of hydrogen H was calculated [...] Read more.
For the first time, the adsorption of hydrogen on the (110) surface of the A15 Ti3Sb compound with a cubic structure (Cr3Si type; space group Pm3¯n) for the accumulation of hydrogen H was calculated using the density functional theory method (DFT SGGA-PBE). Taking into account the relaxation of the Ti3Sb–H system, the equilibrium positions of hydrogen on the Ti3Sb (110) surface were determined depending on the supercell size. Hydrogen adsorption on the Ti3Sb (110) surface of supercells is preferable in pit sites. All DFT calculations of the Ti3Sb–H system were performed on relaxed and optimized supercells (2 × 1 × 1, 3 × 3 × 3, and 5 × 5 × 5). Relaxation of the supercell reduced the calculated adsorption energy compared with the non-relaxed supercell. The calculated band structure and curves of local and partial densities of states of Ti3Sb–H were used to explain the interaction of hydrogen with the Ti3Sb (110) surface. The activation energy of H diffusion along the coordinates tetrahedral interstitial site → tetrahedral interstitial site (TIS–TIS) and tetrahedral interstitial site → octahedral interstitial site (TIS–OIS), along with the diffusion coefficient of H in the cubic lattice of Ti3Sb, were calculated. Full article
Show Figures

Figure 1

18 pages, 1426 KB  
Article
Association Between Per- and Polyfluoroalkyl Substances and All-Cause Mortality in Diabetic Patients: Insights from a National Cohort Study and Toxicogenomic Analysis
by Zhengxiao Wei, Jinyu Chen, Xue Mei and Yi Yu
Toxics 2025, 13(3), 168; https://doi.org/10.3390/toxics13030168 - 27 Feb 2025
Cited by 1 | Viewed by 1232
Abstract
Per- and polyfluoroalkyl substances (PFAS) are a group of environmental contaminants associated with various health risks; however, their relationship with all-cause mortality in individuals with diabetes remains unclear. A total of 1256 participants from the National Health and Nutrition Examination Survey (NHANES) were [...] Read more.
Per- and polyfluoroalkyl substances (PFAS) are a group of environmental contaminants associated with various health risks; however, their relationship with all-cause mortality in individuals with diabetes remains unclear. A total of 1256 participants from the National Health and Nutrition Examination Survey (NHANES) were included to explore the association between seven PFAS compounds and all-cause mortality in diabetic patients. Preliminary logistic regression identified three PFAS compounds (perfluorooctanoic acid [PFOA], perfluorooctane sulfonic acid [PFOS], and 2-(N-methyl-PFOSA) acetate acid [MPAH]) as significantly associated with mortality in the diabetic population. The optimal cut-off values for PFOS, PFOA, and MPAH were determined using the X-tile algorithm, and participants were categorized into high- and low-exposure groups. Kaplan–Meier survival curves and multivariable Cox proportional hazards regression models were used to assess the relationship between PFAS levels and mortality risk. The results showed that high levels of PFOS were significantly associated with increased all-cause mortality risk in diabetic patients (hazard ratio [HR]: 1.55, 95% confidence interval [CI]: 1.06–2.29), while PFOA and MPAH showed no significant associations. To explore mechanisms underlying the PFOS–mortality link, toxicogenomic analysis identified 95 overlapping genes associated with PFOS exposure and diabetes-related mortality using the Comparative Toxicogenomics Database (CTD) and GeneCards. Functional enrichment analysis revealed key biological processes, such as glucose homeostasis and response to peptide hormone, with pathways including the longevity regulating pathway, apoptosis, and p53 signaling pathway. Protein–protein interaction network analysis identified 10 hub genes, and PFOS was found to upregulate or downregulate their mRNA expression, protein activity, or protein expression, with notable effects on mRNA levels. These findings suggest that PFOS exposure contributes to increased mortality risk in diabetic patients through pathways related to glucose metabolism, apoptosis, and cellular signaling. Our study provides new insights into the association between PFAS and all-cause mortality in diabetes, highlighting the need for large-scale cohort studies and further in vivo and in vitro experiments to validate these findings. Full article
Show Figures

Figure 1

Back to TopTop