error_outline You can access the new MDPI.com website here. Explore and share your feedback with us.
 
 
Sign in to use this feature.

Years

Between: -

Subjects

remove_circle_outline
remove_circle_outline
remove_circle_outline
remove_circle_outline
remove_circle_outline
remove_circle_outline
remove_circle_outline
remove_circle_outline
remove_circle_outline

Journals

Article Types

Countries / Regions

Search Results (113)

Search Parameters:
Keywords = Nutrient Rich Food Index 9.3

Order results
Result details
Results per page
Select all
Export citation of selected articles as:
21 pages, 4052 KB  
Article
Replacing Solid Snacks with Almonds or Adding Almonds to the Diet Improves Diet Quality and Compliance with the 2020–25 Dietary Guidelines for Americans: Modeling Analyses of NHANES 2017–23 Data
by Mattieu Maillot, Romane Poinsot, Maha Tahiri and Adam Drewnowski
Nutrients 2026, 18(1), 87; https://doi.org/10.3390/nu18010087 - 26 Dec 2025
Viewed by 254
Abstract
Background: Healthier between-meal snacks can improve diet quality in the US and globally. Objectives: To assess the impact on diet quality of replacing solid snacks with almonds or adding almonds (30 g) to the diet. Methods: Dietary data for 4333 [...] Read more.
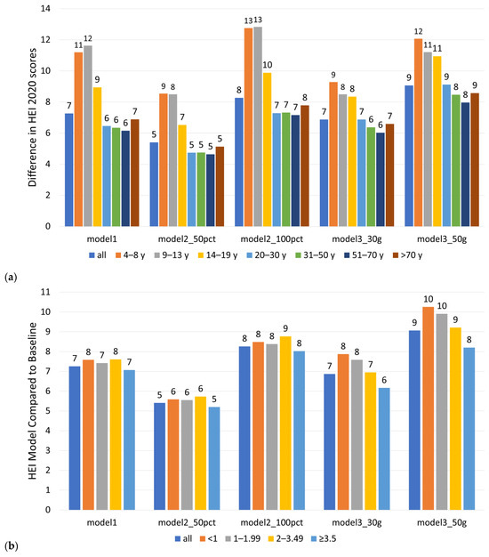
Background: Healthier between-meal snacks can improve diet quality in the US and globally. Objectives: To assess the impact on diet quality of replacing solid snacks with almonds or adding almonds (30 g) to the diet. Methods: Dietary data for 4333 children (4–19 y) and 10,925 adults (>19 y) came from the National Health and Nutrition Examination Survey (NHANES 2017–23). Nutrient composition data came from the Food and Nutrient Databases for Dietary Studies (FNDDS). Substitution Model 1 replaced all solid snacks with almonds on a per-calorie basis. Model 2 exempted “healthy” snacks. Model 3 added almonds to the observed diet. The Healthy Eating Index (HEI-2020), Nutrient Rich Food Index (NRF), Mean Adequacy Ratio (MAR), and Mean Excess Ratio (MER) were measures of diet quality. Results: Solid snacks provided 329 kcal/day (15.6% of dietary energy), of which 58 kcal came from healthy snacks (2.9%). The 4–13 y age group consumed the most energy from snacks. Diets with almonds replacing solid snacks were lower in added sugar, sodium, and saturated (solid) fat but higher in protein, fiber, mono- and polyunsaturated fats, and magnesium. MAR dietary nutrient density scores were significantly higher, and MER scores were lower. Total HEI-2020 scores rose from 52.4 (observed) to 59.6 (Model 1) and to 60.6 in Model 2_100. The addition of almonds (30 g or 50 g) increased HEI-2020 values to 59.2 and to 61.4, respectively. Several HEI-2020 sub-scores increased as well. The greatest dietary benefits were obtained for children and young adults. Conclusions: Replacing solid snacks with small amounts of almonds led to higher quality modeled food patterns, especially for younger age groups. The DGA 2025–30 should address the inclusion of healthy energy-dense snacks into everyday diets. Full article
(This article belongs to the Section Nutrition and Public Health)
Show Figures

Figure 1

26 pages, 4461 KB  
Article
Dietary Benefits of Pistachio Consumption in Mexico Modeled Using National Health Survey System (ENSANUT) 2012 and 2016 Data
by Alfonso Mendoza Velázquez, Sonia Rodríguez-Ramírez, Ana Elena Pérez Gómez, María Concepción Medina-Zacarias, Leonardo Mendoza Martínez and Adam Drewnowski
Nutrients 2025, 17(23), 3767; https://doi.org/10.3390/nu17233767 - 30 Nov 2025
Viewed by 497
Abstract
Background: Energy-dense non-essential snacks are subject to 8% excise tax in Mexico. Objectives: To model the impact on diet quality of (1) replacing energy-dense snacks with pistachios and (2) adding small amounts of pistachios to the diet. Methods: Data came from the Mexico [...] Read more.
Background: Energy-dense non-essential snacks are subject to 8% excise tax in Mexico. Objectives: To model the impact on diet quality of (1) replacing energy-dense snacks with pistachios and (2) adding small amounts of pistachios to the diet. Methods: Data came from the Mexico National Health and Nutrition survey (ENSANUT, by its Spanish acronym) 2012 (n = 7132) and 2016 (n = 14,764). Dietary intakes were collected using a semi-quantitative food frequency questionnaire. Substitution analyses replaced energy-dense snack foods with equicaloric amounts of pistachios (Model 1) or with mixed nuts/seeds (Model 2). Additional analyses (Model 3) added small amounts of pistachios (10–28 g) to the daily diet. Added sugars, sodium, and saturated fat along with protein fiber, vitamins, and minerals were the main nutrients of interest. Dietary nutrient density was assessed using the Nutrient-Rich Food (NRF9.3) Index. Separate modeling analyses were performed for ENSANUT 2012 and 2016 and for children and adults. Results: Energy-dense foods, mostly sweet, accounted for about 20% of daily energy. Modeled diets with pistachios and mixed nuts/seeds were much lower in added sugars (<8% of dietary energy) and in sodium (<550 mg/day) and were higher in protein, fiber, mono- and polyunsaturated fats, potassium, and magnesium (p < 0.05). Significant improvements in dietary quality held across all socio-demographic strata. Adding small amounts of pistachios (10–28 g) to the diet (Model 3) increased calories but also led to better diets and higher NRF9.3 dietary nutrient density scores. Conclusions: Modeled diets with pistachios replacing energy-dense snack foods had less added sugars and sodium and more protein, fiber, vitamins, and minerals. Adding small amounts of pistachios also led to better diets. Pistachios are a healthy snack and can be an integral component of healthy diets. Full article
(This article belongs to the Section Nutrition and Public Health)
Show Figures

Figure 1

17 pages, 5247 KB  
Article
Mulberry Leaf Glutelin: Physicochemical, Functional, and Pancreatic Lipase Inhibitory Activity of Seven Varieties
by Hongyan Li, Dongjun He, Xiaomin Zhang, Zhenpeng Liu, Mingxi Li, Tianran Shen, Shuang Wei, Xiyang Wu and Chongzhen Sun
Foods 2025, 14(23), 4004; https://doi.org/10.3390/foods14234004 - 22 Nov 2025
Viewed by 475
Abstract
Mulberry leaf glutelin (MG), a nutrient-rich protein fraction from mulberry leaves, remains underutilized due to limited studies on its physicochemical functional properties and biological activities. In this study, seven varieties of MG (TSG, DSG, 109G, C1G, C2G, C3G, C4G) were evaluated for amino [...] Read more.
Mulberry leaf glutelin (MG), a nutrient-rich protein fraction from mulberry leaves, remains underutilized due to limited studies on its physicochemical functional properties and biological activities. In this study, seven varieties of MG (TSG, DSG, 109G, C1G, C2G, C3G, C4G) were evaluated for amino acid composition, secondary structure (FTIR), solubility, water-holding capacity (WHC), oil absorption capacity (OAC), foaming capacity (FC), foam stability (FS), emulsifying activity index (EAI), emulsion stability index (ESI), in vitro digestibility, and pancreatic lipase inhibitory activity (PLI). The results showed that MG contains four secondary structures and 17 amino acids, being rich in glutamic acid, aspartic acid, and leucine. C3G exhibited superior solubility (96.32%) at pH 10, while C4G showed optimal WHC (9.27 g/g), FC (73.75%), and FS (92.80%). TSG exhibited the highest OAC (9.58 g/g) and EAI (15.79 m2/g), and DSG demonstrated an excellent ESI (117.25 min), digestibility (88.17%), and PLI (70.54%). These findings provide valuable insights for the application of MG in food processing and innovation, enhancing its potential value for the food industry and human health. Full article
(This article belongs to the Section Nutraceuticals, Functional Foods, and Novel Foods)
Show Figures

Graphical abstract

20 pages, 321 KB  
Review
The Relationship of Macro–Micronutrient Intake with Incidence and Progressivity of Hypertension and Microalbuminuria
by Maria Riastuti Iryaningrum, Nanny Natalia Mulyani Soetedjo, Noormarina Indraswari, Dessy Agustini, Yunia Sribudiani and Rudi Supriyadi
Kidney Dial. 2025, 5(4), 53; https://doi.org/10.3390/kidneydial5040053 - 9 Nov 2025
Viewed by 794
Abstract
Hypertension (HTN) and chronic kidney disease (CKD) are significant global health burdens, with microalbuminuria (MA) serving as a key early marker of renal damage and cardiovascular risk. While nutritional interventions are pivotal for management, the evidence for specific nutrients is often complex and [...] Read more.
Hypertension (HTN) and chronic kidney disease (CKD) are significant global health burdens, with microalbuminuria (MA) serving as a key early marker of renal damage and cardiovascular risk. While nutritional interventions are pivotal for management, the evidence for specific nutrients is often complex and inconsistent, creating challenges for clinical guidance. This review critically evaluates current evidence on the interaction among macronutrients, micronutrients, and established dietary approaches and their influence on the development and course of HTN and MA. Strong consensus is present regarding sodium restriction, increased intakes of potassium, and the implementation of dietary patterns like Dietary Approaches to Stop Hypertension (DASH) and the Mediterranean diet to improve blood pressure and renal outcomes. Evidence favors protein moderation (approximately 0.8 g/kg/day), especially from plant sources, and emphasizes carbohydrate quality (e.g., high fiber, low glycemic index) over absolute quantity. The role of micronutrients is more nuanced; maintaining vitamin D sufficiency is protective, but intervention trials for many supplements, including B vitamins and antioxidant vitamins (C and E), have yielded inconsistent results. Several minerals, such as iron and selenium, exhibit a U-shaped risk curve where both deficiency and excess are detrimental, highlighting the risks of unselective supplementation. Ideal nutrition care prioritizes holistic dietary patterns over a focus on single nutrients. Clinical guidance should be founded on sodium reduction and potassium-rich foods, with personalized recommendations for protein and micronutrient supplementation based on an individual’s specific cardiovascular and renal profile. Future research must target nutrients with conflicting evidence to establish clear, evidence-based intake guidelines. Full article
19 pages, 4609 KB  
Article
Geospatial Analysis of Soil Quality Parameters and Soil Health in the Lower Mahanadi Basin, India
by Sagar Kumar Swain, Bikash Ranjan Parida, Ananya Mallick, Chandra Shekhar Dwivedi, Manish Kumar, Arvind Chandra Pandey and Navneet Kumar
GeoHazards 2025, 6(4), 71; https://doi.org/10.3390/geohazards6040071 - 1 Nov 2025
Viewed by 667
Abstract
The lower Mahanadi basin in eastern India is experiencing significant land and soil transformations that directly influence agricultural sustainability and ecosystem resilience. In this study, we used geospatial techniques to analyze the spatial-temporal variability of soil quality and land cover between 2011 and [...] Read more.
The lower Mahanadi basin in eastern India is experiencing significant land and soil transformations that directly influence agricultural sustainability and ecosystem resilience. In this study, we used geospatial techniques to analyze the spatial-temporal variability of soil quality and land cover between 2011 and 2020 in the lower Mahanadi basin. The results revealed that the cropland decreased from 39,493.2 to 37,495.9 km2, while forest cover increased from 12,401.2 to 13,822.2 km2, enhancing soil organic carbon (>290 g/kg) and improving fertility. Grassland recovered from 4826.3 to 5432.1 km2, wastelands declined from 133.3 to 93.2 km2, and water bodies expanded from 184.3 to 191.4 km2, reflecting positive land–soil interactions. Soil quality was evaluated using the Simple Additive Soil Quality Index (SQI), with core indicators bulk density, organic carbon, and nitrogen, selected to represent physical, chemical, and biological components of soil. These indicators were chosen as they represent the essential physical, chemical, and biological components influencing soil functionality and fertility. The SQI revealed spatial variability in texture, organic carbon, nitrogen, and bulk density at different depths. SQI values indicated high soil quality (SQI > 0.65) in northern and northwestern zones, supported by neutral to slightly alkaline pH (6.2–7.4), nitrogen exceeding 5.29 g/kg, and higher organic carbon stocks (>48.8 t/ha). In contrast, central and southwestern regions recorded low SQI (0.15–0.35) due to compaction (bulk density up to 1.79 g/cm3) and fertility loss. Clay-rich soils (>490 g/kg) enhanced nutrient retention, whereas sandy soils (>320 g/kg) in the south increased leaching risks. Integration of LULC with soil quality confirms forest expansion as a driver of resilience, while agricultural intensification contributed to localized degradation. These findings emphasize the need for depth-specific soil management and integrated land-use planning to ensure food security and ecological sustainability. Full article
Show Figures

Figure 1

16 pages, 2255 KB  
Article
Consumption of 100% Juice and Diluted 100% Juice Is Associated with Better Compliance with Dietary Guidelines for Americans: Analyses of NHANES 2017–2023
by Rozenn Gazan, Matthieu Maillot and Adam Drewnowski
Nutrients 2025, 17(16), 2715; https://doi.org/10.3390/nu17162715 - 21 Aug 2025
Viewed by 3515
Abstract
Background: The Dietary Guidelines for Americans (DGA) and the American Academy of Pediatrics recommend limiting 100% juice consumption to 0.5–1.25 cups/day and to no more than one half of total fruit intake. Objective: To explore the dietary benefits of consuming 100% [...] Read more.
Background: The Dietary Guidelines for Americans (DGA) and the American Academy of Pediatrics recommend limiting 100% juice consumption to 0.5–1.25 cups/day and to no more than one half of total fruit intake. Objective: To explore the dietary benefits of consuming 100% fruit juice and diluted 100% juice across diverse socio-demographic strata in the US. Methods: Consumption patterns for 100% juice and diluted 100% juice were examined by sex, age group, income-to-poverty ratio (IPR), and race/ethnicity. Dietary intakes came from the National Health and Nutrition Examination Survey (NHANES 2017–2020 and 2021–2023). The Healthy Eating Index 2020 (HEI 2020) and diet-level Nutrient Rich Food (NRF9.3) scores were the two measures of diet quality. The amounts of 100% juice consumed were compared to published DGA recommendations. Results: The consumption of 100% juice was greatly below that of water, milk, and sugar-sweetened beverages (SSBs). The consumption of diluted 100% juice was very low. Consumers of 100% juice had higher HEI 2020 scores (53 vs. 48) and diets with less added sugar and more total fruit, more potassium, calcium, and vitamin C. About 88% of the NHANES sample consumed <4 oz/day (1/2 cup) of 100% juice and most derived at least 50% of fruit from whole fruit, though some variation by income and race/ethnicity was observed. About 93% of the sample consumed <1 cup/day (8 oz) of 100% juice. Lower income groups consumed less whole fruit and more 100% juice. Conclusion: The consumption of 100% fruit juice was a marker of healthier dietary choices. The observed social gradient suggests that 100% fruit juice may provide valuable nutrients to populations who may be unable to afford or access whole fruit. Public health recommendations: The consumption of 100% fruit juice by some population subgroups could be increased. Fruit juice was not displacing whole fruit, and current consumption was well below the current DGA recommended values. Full article
(This article belongs to the Section Nutritional Epidemiology)
Show Figures

Figure 1

18 pages, 2069 KB  
Article
Healthy Grains in Healthy Diets: The Contribution of Grain Foods to Diet Quality and Health in the National Health and Nutrition Examination Survey 2017–2023
by Adam Drewnowski, Rozenn Gazan and Matthieu Maillot
Nutrients 2025, 17(16), 2674; https://doi.org/10.3390/nu17162674 - 19 Aug 2025
Viewed by 4068
Abstract
Background: Grain foods are important sources of complex carbohydrates, fiber, vitamins, and minerals. Objective: To identify healthy grain foods and to assess their associations with composite diet quality measures and selected health outcomes. Methods: Healthy grain foods were identified using [...] Read more.
Background: Grain foods are important sources of complex carbohydrates, fiber, vitamins, and minerals. Objective: To identify healthy grain foods and to assess their associations with composite diet quality measures and selected health outcomes. Methods: Healthy grain foods were identified using two methods. The first one, Carbohydrate Food Quality Score (CFQS-3) was based on whole grains, fiber, and added sugar. The second, NRF9.3g score for grains, balanced nutrients to encourage (protein, fiber, vitamins B1, B2, B3, and E, folate, iron, and magnesium) against added sugar, sodium, and saturated fat. Nutrient composition data for 1244 grain foods came from the USDA Food and Nutrient Database for Dietary Studies (FNDDS 2017–2023). Dietary intakes came from the National Health and Nutrition Examination Surveys (NHANES 2017–2023). The Healthy Eating Index (HEI 2020) and the diet-level Nutrient Rich Food Index (NRF) were the two measures of diet quality. National food prices came from the USDA 2021 Thrifty Food Plan. Data on body weight, waist circumference, insulin, and cholesterol came from NHANES clinical files. Results: Healthy grain foods were those that scored >2 points on CFQS-3 or were in the top tertile of NRF9.3g scores. The CFQS-3 score favored cooked whole grains and cereals and savory snacks. The NRF9.3g score gave the highest ratings to breads, rolls, and RTE cereals. Consumers of healthy grains identified using both methods had higher HEI 2020 values and higher diet-level NRF scores. Both effects were dose-dependent. Consumption of healthy grains was associated with lower obesity rates and lower fasting insulin levels. Conclusions: Consumption of healthy grain foods was associated with healthier diets and lower obesity prevalence. Dietary guidelines need to acknowledge the contribution of healthy grain foods to diet quality and health. Full article
(This article belongs to the Section Carbohydrates)
Show Figures

Figure 1

12 pages, 1759 KB  
Article
Assessing Plant-Based Diets in Taiwan Using a Harmonized Food Description-Incorporated Framework
by Yu-Syuan Wei, Ming-Hua Lin, Fu-Jun Chen and She-Yu Chiu
Nutrients 2025, 17(14), 2268; https://doi.org/10.3390/nu17142268 - 9 Jul 2025
Viewed by 1675
Abstract
Background: Exploring emerging dietary patterns, such as plant-based diets (PBD), often requires considerable effort to rebuild new systems or adapt existing food classification frameworks, presenting a substantial challenge for dietary research. Current systems were not originally designed for this purpose and vary [...] Read more.
Background: Exploring emerging dietary patterns, such as plant-based diets (PBD), often requires considerable effort to rebuild new systems or adapt existing food classification frameworks, presenting a substantial challenge for dietary research. Current systems were not originally designed for this purpose and vary in standardization and interoperability, complicating cross-study comparisons. This study aimed to adopt the harmonized, food description-incorporated, food classification system (HFDFC system) to develop a plant-based diet food classification system (PBDFC system), and to evaluate dietary intake and nutritional status among adults in Taiwan. Methods: A repeated cross-sectional design was applied using 24 h dietary recall data from the Nutrition and Health Survey in Taiwan (2013–2016 and 2017–2020), accessed via the national food consumption database. Adults aged 20–70 years were included. Data were processed through the HFDFC system to generate the PBDFC system. For each participant, the Plant-Based Diet Index (PDI), Body Mass Index (BMI), and Nutrient-Rich Food Index (NRF) were calculated and analyzed by age group. Results: Adults aged 46–70 had significantly higher O-PDI and H-PDI scores, lower Lh-PDI scores (all p < 0.0001), and higher NRF values. Despite higher average BMI, those in the highest H-PDI tertile had significantly lower BMI (p < 0.02). Conclusions: The HFDFC-based PBDFC system offers a flexible, scalable framework for plant-based diet classification and supports future cross-national research. Full article
(This article belongs to the Special Issue Data Science and Machine Learning for Nutrition Studies)
Show Figures

Figure 1

22 pages, 2439 KB  
Article
An Ecosystem-Based Approach to Evaluating Impacts of Fisheries Management on Ecosystem Restoration in a Chinese Subtropical Yangming Reservoir
by Haibo Gong, Chengjie Yin, Jinxiang Yu, Jun Xiao, Zhijie Yu, Xuejun Fu, Bin Huang, Xiya Wu and Caigang Li
Fishes 2025, 10(6), 246; https://doi.org/10.3390/fishes10060246 - 23 May 2025
Viewed by 1621
Abstract
This study delves into the ecological implications of diverse fishery patterns on aquatic ecosystems, centering on environmental parameters, species richness, and nutrient dynamics. Using the ecological fishery management model of Yangming Lake as a case, it evaluates its influence on water quality improvement, [...] Read more.
This study delves into the ecological implications of diverse fishery patterns on aquatic ecosystems, centering on environmental parameters, species richness, and nutrient dynamics. Using the ecological fishery management model of Yangming Lake as a case, it evaluates its influence on water quality improvement, species diversity promotion, and ecosystem stability maintenance. From 2018 to 2022, the Shannon–Wiener index in Yangming Lake increased by 17.34%, and water quality significantly improved, with phytoplankton biomass decreasing by 95.5%, total nitrogen content dropping by 33.69%, and permanganate index declining by 30.75%. Although ecological fisheries demonstrate certain effectiveness in tackling invasive species, further in-depth research is needed. This study emphasizes the importance of striking a balance between fishery development and ecological protection, in line with the United Nations Food and Agriculture Organization’s “blue transformation” strategy. Our findings offer valuable insights for sustainable fisheries development and highlight the necessity of customized management strategies to protect biodiversity and ecosystem resilience. Future research will focus on exploring the long-term ecological effects of ecological fisheries and the role of native carnivorous fish in controlling invasive species. Full article
(This article belongs to the Section Fishery Economics, Policy, and Management)
Show Figures

Figure 1

22 pages, 1676 KB  
Review
Millets: Journey from an Ancient Crop to Sustainable and Healthy Food
by Mrudula M. Mohanan, Akshitha Vijayakumar, Claus Heiner Bang-Berthelsen, Kiran Kumar Mudnakudu-Nagaraju and Radhakrishna Shetty
Foods 2025, 14(10), 1733; https://doi.org/10.3390/foods14101733 - 13 May 2025
Cited by 3 | Viewed by 6250
Abstract
Millets, often known as “nutri-cereals”, have garnered renewed global interest due to their numerous health benefits, rich nutritional composition, resilience to extreme climatic conditions, and minimal environmental footprint. The advent of rice and wheat as staple foods in the 1960s led to drastic [...] Read more.
Millets, often known as “nutri-cereals”, have garnered renewed global interest due to their numerous health benefits, rich nutritional composition, resilience to extreme climatic conditions, and minimal environmental footprint. The advent of rice and wheat as staple foods in the 1960s led to drastic decline in millet cultivation worldwide. Recognizing the importance of millet, the United Nations (UN) declared 2023 as the International Year of Millets in an effort to accomplish Sustainable Development Goal 2 (SDG-2), i.e., zero hunger, by increasing millet production and fostering research and development to improve the integration of these grains into mainstream food systems. In recent years, global production of millets has surged, with India leading as the top producer. Millets are nutritionally advantageous, consisting of carbohydrates, antioxidants, and biologically active compounds such as flavonoids, carotenoids, phenolic acids, minerals, and vitamins. Incorporating millets into a balanced diet can help control and prevent diseases such as cardiovascular disease, diabetes, inflammation, and malnutrition due to their enriched vital nutrients, low glycemic index, and gluten-free nature. This indicates a transition of millets from an “orphan crop” to being used as ingredients for products (with or without fermentation) that are nutrient-rich, climate-resilient, sustainable, and health-promoting. Full article
(This article belongs to the Special Issue Feature Review on Plant Foods)
Show Figures

Graphical abstract

10 pages, 202 KB  
Article
Association Between Dietary Monounsaturated Fatty Acid Intake and Metabolic Syndrome Among Korean Adults: A Cross-Sectional Analysis of Korea National Health and Examination Survey
by Bo-Hyun Choi and Sunhye Shin
Nutrients 2025, 17(10), 1629; https://doi.org/10.3390/nu17101629 - 9 May 2025
Cited by 1 | Viewed by 1024
Abstract
Introduction/Objectives: Although monounsaturated fatty acids (MUFAs) are known as a healthy nutrient, their impact on the risk of metabolic syndrome (MetS) in the Asian population is not fully understood. This study aimed to determine the association between dietary MUFA intake and the prevalence [...] Read more.
Introduction/Objectives: Although monounsaturated fatty acids (MUFAs) are known as a healthy nutrient, their impact on the risk of metabolic syndrome (MetS) in the Asian population is not fully understood. This study aimed to determine the association between dietary MUFA intake and the prevalence of MetS among Korean adults. Materials and Methods: The 7th Korea National Health and Examination Survey (2016–2018) was analyzed. MetS was defined based on the guideline of the National Cholesterol Education Program Adult Treatment Panel III (NCEP-ATP III) criteria, and MUFA intake was calculated using a single 24 h dietary recall. Data from 3932 younger adults (19–39 years), 6943 middle-aged adults (40–64 years), and 3942 older adults (≥65 years) were included and multivariable logistic regression models were applied to estimate odds ratios (OR) and 95% confidence intervals (CI). Results: Approximately 25.8% of Korean adults showed signs of MetS, and the average MUFA intake was 13.70 g/day. Middle-aged adults with a higher MUFA intake had a lower risk of MetS (OR 0.52, 95% CI 0.35–0.78 for men; OR 0.66, 95% CI 0.43–0.99 for women) compared to those with a lower MUFA intake after the adjustment of possible confounding variables, including age, body mass index, total energy intake, household income, alcohol consumption, smoking, aerobic exercise, and energy intake from carbohydrates. No significant associations were observed in younger and older adults. Conclusions: These results suggest that higher dietary MUFA consumption is associated with a lower risk of MetS in middle-aged Korean adults. These findings suggest that including MUFA-rich foods in the diet could be a practical strategy to reduce the burden of MetS in clinical and public heath settings. Full article
(This article belongs to the Section Lipids)
25 pages, 4700 KB  
Article
Design and Optimization of a Second-Generation Extruded Snack Using Carrot Waste, Blue Corn Flour, and Ellagic Acid as Functional Ingredients
by Yaír Adonaí Sánchez-Nuño, Karla Nuño, Alma Hortensia Martínez-Preciado, Jorge Manuel Silva-Jara, Carlos A. Velázquez-Carriles, Carlos Alberto Gomez-Aldapa and Angélica Villarruel-López
Foods 2025, 14(10), 1657; https://doi.org/10.3390/foods14101657 - 8 May 2025
Cited by 1 | Viewed by 2180
Abstract
Blue maize is rich in bioactive compounds which are at risk of extinction due to monoculture practices. Carrot bagasse, considered a byproduct of the food industry, contains compounds that have been shown to benefit human health while also enhancing sustainability. Ellagic acid can [...] Read more.
Blue maize is rich in bioactive compounds which are at risk of extinction due to monoculture practices. Carrot bagasse, considered a byproduct of the food industry, contains compounds that have been shown to benefit human health while also enhancing sustainability. Ellagic acid can prevent and assist in the treatment of various pathologies. Extrusion is a process characterized by its use of low energy, which minimizes the degradation of nutrients and bioactive compounds compared to other technologies. The objective of this research was to develop a functional food with high value of sensorial acceptance, desirable physicochemical, and antioxidant properties, using an 85:13:2% mixture of nixtamalized blue maize flour, carrot bagasse flour, and ellagic acid, processed with optimal conditions of extrusion determined with a surface response model. Operational conditions using a central rotatable experimental design were die temperature (DT = 120–170 °C), and screw speed (SS = 50–240 rpm), while response variables were physicochemical properties (expansion index, bulk density, breaking force, water absorption index and water solubility index) and antioxidant activity (free phenols inhibition of ABTS and DPPH). Sensory analysis, bromatological characterization and ellagic acid content determination with HPLC-DAD in reversed phase were also made. The optimal operational conditions were found to be DT = 144 °C and SS = 207 rpm, resulting in a mixture with high sensorial acceptability on a five-point hedonic scale. The optimized functional food may be used to promote the utilization of endemic ingredients and reduce food waste in the treatment of pathologies and prevention of diseases due to its high antioxidant activity attributed to phenolic and terpene compounds. Full article
Show Figures

Figure 1

26 pages, 7074 KB  
Article
Menu Dilemmas: An Integrated Assessment of the Nutritional Quality, Environmental Impact, and Cost of Vegan, Vegetarian, and Meat-Based Versions of Meals
by Berill Takacs, Anastasia Z. Kalea and Aiduan Borrion
Nutrients 2025, 17(9), 1569; https://doi.org/10.3390/nu17091569 - 2 May 2025
Cited by 3 | Viewed by 3570
Abstract
Background/Objectives: Adopting sustainable dietary patterns is essential for addressing environmental sustainability and improving public health outcomes. However, food service providers and consumers often face challenges in making informed choices due to a lack of information on the environmental, nutritional, and cost implications [...] Read more.
Background/Objectives: Adopting sustainable dietary patterns is essential for addressing environmental sustainability and improving public health outcomes. However, food service providers and consumers often face challenges in making informed choices due to a lack of information on the environmental, nutritional, and cost implications of different meal options. The aim of this paper was to provide an integrated assessment of the nutritional quality, environmental impact and cost of vegan, vegetarian, and meat-based versions of four popular meals (lasagne, chilli, teriyaki, and curry) offered in the lunch service of a university food service establishment in London, UK. Methods: In this study, real recipes from the food service provider were analysed. The nutritional quality of meals was evaluated using the Nutrient Rich Food Index (NRF 9.3 and 17.3), the environmental impact was assessed using life cycle assessment (LCA), and the cost was calculated using recipe costing. Results were normalised using the min–max method, and recipes were ranked relative to each other based on their final nutritional quality, environmental impact and cost scores using a normalised integrated scoring method to identify which recipe version of meals was the most optimal when considering environmental sustainability, nutrition, and cost simultaneously. Results: The integrated assessment revealed that vegan recipe versions of meals made with whole foods consistently outperformed their meat-based counterparts across all three criteria—environmental impact, nutritional quality, and cost—ranking highest in environmental sustainability and nutrition while also being more cost-effective, regardless of cuisine or dish type. Conclusions: These findings suggest that shifting towards plant-based recipes made with whole-foods (e.g., vegetables, legumes, etc.) can improve micronutrient intake, reduce environmental impact, and lower costs, thus supporting sustainable dietary transitions and public health. Full article
Show Figures

Figure 1

25 pages, 2801 KB  
Article
Encapsulation of Monascus Pigments Using Enzyme-Modified Yeast Protein–Polysaccharide Complex Pickering Emulsions to Increase Its Stability During Storage
by Ziyan Zhao, Jinling Zhao, Sirong Liu, Mengxuan Liu, Xiangquan Zeng, He Li, Yu Xi and Jian Li
Foods 2025, 14(8), 1366; https://doi.org/10.3390/foods14081366 - 15 Apr 2025
Cited by 2 | Viewed by 1826
Abstract
Yeast protein (YP) is rich in nutrients, but its emulsifying properties, especially emulsifying stability, still need to be improved. In this study, cationic polysaccharide chitosan (CS) and anionic polysaccharide xanthan gum (XG) were selected to enhance the emulsifying properties of protein emulsions. The [...] Read more.
Yeast protein (YP) is rich in nutrients, but its emulsifying properties, especially emulsifying stability, still need to be improved. In this study, cationic polysaccharide chitosan (CS) and anionic polysaccharide xanthan gum (XG) were selected to enhance the emulsifying properties of protein emulsions. The preparation conditions of the emulsions were optimized by calculating particle size, zeta potential, emulsifying activity index, emulsifying stability index, and emulsifying capacity index, as well as macroscopic observation. The optimized emulsions were characterized using confocal laser scanning microscopy, rheology, Raman spectroscopy, color difference analysis, and storage stability. The results showed that the stability of yeast protein/modified yeast protein–chitosan (YP/EYP–CS) emulsions was better at pH 5.5, with a protein:polysaccharide ratio of 1:1 and an oil phase addition of 40%, while the stability of yeast protein/modified yeast protein–xanthan gum (YP/EYP–XG) emulsions was better at pH 3.5, with a protein:polysaccharide ratio of 1:1 and an oil phase addition of 50%. Further analysis indicated that the emulsions with CS had smaller particle sizes and lower initial viscosities, but more hydrogen bonds and better encapsulation of Monascus pigment (MP), especially the EYP–CS emulsion (81.18%). In contrast, the emulsions with XG had uniform droplet sizes and high thermal stability and exhibited obvious shear thinning behavior with increasing shear rates. The network structure of the emulsions was mainly elastic, and the hydrophobic interaction was stronger. This study provides insights into the utilization of yeast protein in the food industry and the development of emulsification systems. Full article
(This article belongs to the Section Food Packaging and Preservation)
Show Figures

Graphical abstract

12 pages, 6090 KB  
Article
The Functional Components and Hepatic Protective Mechanism of Wolfberry Vinegar by Mixed-Culture Fermentation
by Xiao Qiang, Man Zhao, Ting Xia, Qi Wang, Junwei Yu, Yunru Song, Huimin Zhang, Changsheng Qiao and Min Wang
Foods 2025, 14(7), 1278; https://doi.org/10.3390/foods14071278 - 7 Apr 2025
Cited by 1 | Viewed by 2310
Abstract
Wolfberry (Lycium barbarum L.), as a kind of combination of medicine and food, is rich in antioxidant components. However, the deep-processed products of wolfberry need to be developed to improve its added value. This study aimed to investigate the nutrients, active antioxidant [...] Read more.
Wolfberry (Lycium barbarum L.), as a kind of combination of medicine and food, is rich in antioxidant components. However, the deep-processed products of wolfberry need to be developed to improve its added value. This study aimed to investigate the nutrients, active antioxidant ingredients, and liver-protective mechanism of mixed-culture fermented wolfberry vinegar (MFV). The results showed that MFV had significantly higher protein and significantly lower fat content than wolfberry juice before fermentation, indicating that MFV was a healthy product. The active ingredient content, which included total phenolics, total flavonoids, polysaccharides, betaine, and antioxidant activities, was significantly increased in MFV after mixed-culture fermentation. Moreover, MFV improved histopathological changes and reduced liver biochemical indicators in alcohol-treated mice, indicating the improvement of liver function. In addition, MFV effectively alleviated alcohol-induced liver injury by increasing the expression of alcohol metabolizing enzymes and inhibiting CYP2E1 activity. MFV regulated the equilibrium between pro-oxidant and antioxidant levels by downregulating pro-oxidant markers and upregulating antioxidant markers. Furthermore, MFV reduced the levels of inflammatory indexes by inhibiting the PI3K/Akt/NF-κB signaling pathway. These results suggest that MFV is a healthy food for liver protection, which provides a strategy for deep-processed products of wolfberry. Full article
(This article belongs to the Special Issue Potential Health Benefits of Plant Food-Derived Bioactive Compounds)
Show Figures

Figure 1

Back to TopTop