Replacing Solid Snacks with Almonds or Adding Almonds to the Diet Improves Diet Quality and Compliance with the 2020–25 Dietary Guidelines for Americans: Modeling Analyses of NHANES 2017–23 Data
Abstract
1. Introduction
2. Materials and Methods
2.1. The National Health and Nutrition Examination Survey
2.2. Identification of Between-Meal Snacks
2.3. The Food and Nutrient Database for Dietary Studies FNDDS
2.4. The Food Patterns Equivalents Database FPED
2.5. Composite Nutrient Profile of the Almond Snack
2.6. Substitution and Addition Modeling Analyses
2.7. Diet Quality Metrics
2.8. Plan of Analysis
3. Results
3.1. The Contribution of Snack Energy to the Total Diet
3.2. Nutrient Density of Existing Solid Snacks Eligible for Replacement
3.3. Substitution Modeling (Models 1 and 2) Shows Higher Quality Diets
3.4. Substitution Modeling (Model 1 and 2) and HEI-2020 Sub Scores
3.5. Adding Almonds Improved HEI-2020 Scores and Nutrient Density of Modeled Diets
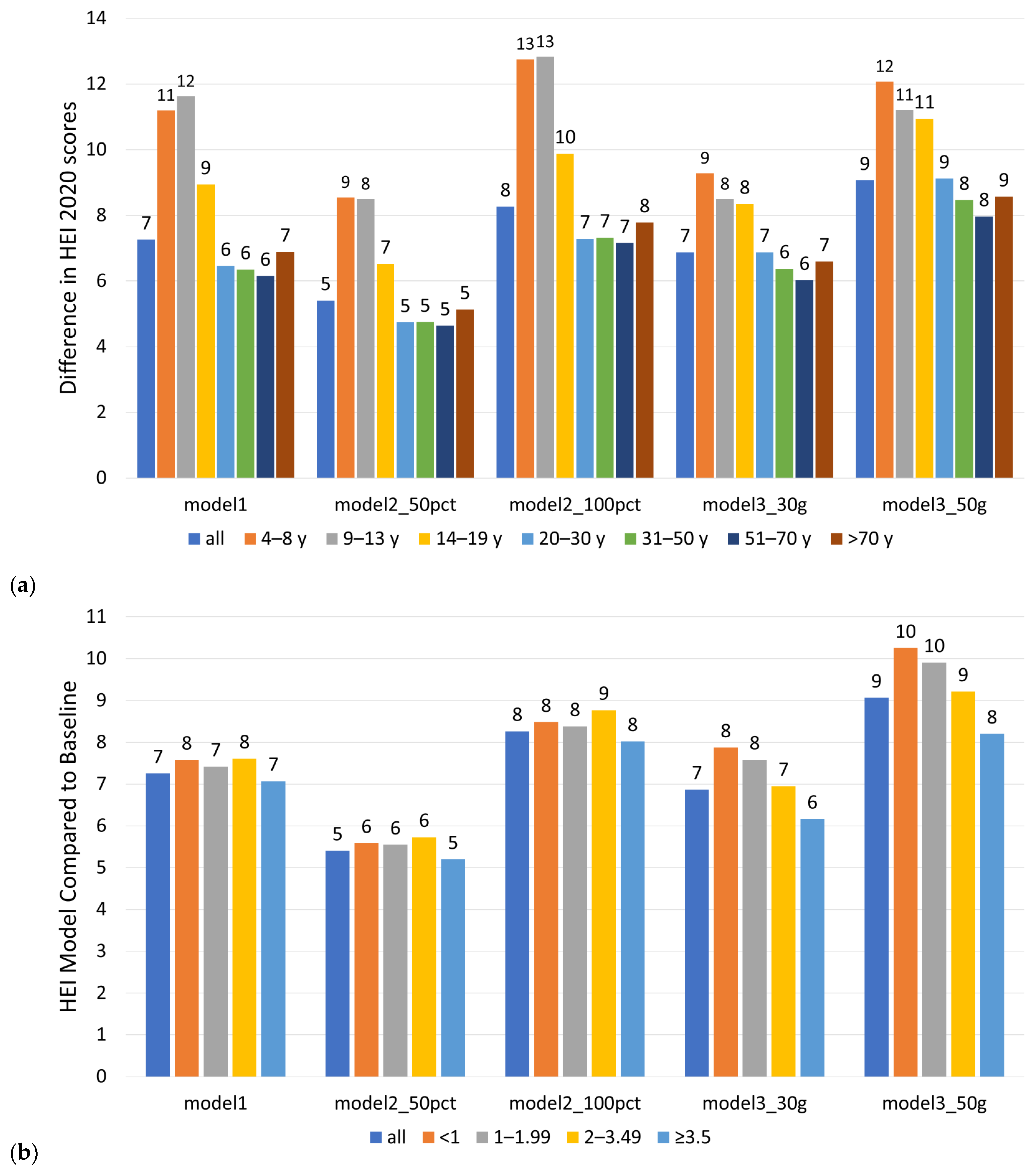
3.6. Greatest Benefits for Children and Adolescents in All Models
3.7. Small Doses of Almonds Improve Diet Quality
4. Discussion
5. Conclusions
Supplementary Materials
Author Contributions
Funding
Institutional Review Board Statement
Informed Consent Statement
Data Availability Statement
Conflicts of Interest
References
- U.S. Department of Agriculture, Agricultural Research Service. Meals and Snacks: Distribution of Meal Patterns and Snack Occasions, by Gender and Age. Available online: https://www.ars.usda.gov/ARSUserFiles/80400530/pdf/1718/Table_33_DMP_GEN_17.pdf (accessed on 9 October 2025).
- U.S. Department of Agriculture, Agricultural Research Service. Snacks: Percentages of Selected Nutrients Contributed by Food and Beverages Consumed at Snack Occasions, by Gender and Age. Available online: https://www.ars.usda.gov/ARSUserFiles/80400530/pdf/1718/Table_25_SNK_GEN_17.pdf (accessed on 9 October 2025).
- Saksena, M.; Okrent, A.; Anekwe, T.D.; Cho, C.; Dicken, C.; Effland, A.; Elitzak, H.; Guthrie, J.; Hamrick, K. Young Jo America’s Eating Habits: Food Away From Home. Available online: https://www.ers.usda.gov/publications/pub-details?pubid=90227 (accessed on 13 October 2025).
- Hoy, M.K.; Sebastian, R.S.; Murayi, T.; Goldman, J.D.; Moshfegh, A.J. Dinner Consumption by U.S. Children and Adolescents: What We Eat in America, NHANES 2017-March 2020. In FSRG Dietary Data Briefs; United States Department of Agriculture (USDA): Beltsville, MD, USA, 2010; Dietary Data Brief No. 54. [Google Scholar]
- Global Snack Market Reaches USD 693 Billion in Retail Sales. Available online: https://www.euromonitor.com/newsroom/press-releases/september-2025/global-snack-market-reaches-usd-693-billion-in-retail-sales (accessed on 9 October 2025).
- U.S. Department of Agriculture; U.S. Department of Health and Human Services. Dietary Guidelines for Americans, 2020–2025; U.S. Department of Agriculture: Washington, DC, USA, 2020. Available online: https://www.dietaryguidelines.gov/resources/2020-2025-dietary-guidelines-online-materials (accessed on 3 October 2025).
- Wambogo, E.A.; O’Connor, L.E.; Shams-White, M.M.; Herrick, K.A.; Reedy, J. Top Sources and Trends in Consumption of Total Energy and Energy from Solid Fats and Added Sugars among Youth Aged 2–18 Years: United States 2009–2018. Am. J. Clin. Nutr. 2022, 116, 1779–1789. [Google Scholar] [CrossRef]
- Enriquez, J.P.; Gollub, E. Snacking Consumption among Adults in the United States: A Scoping Review. Nutrients 2023, 15, 1596. [Google Scholar] [CrossRef]
- Rehm, C.D.; Drewnowski, A. Replacing American Snacks with Tree Nuts Increases Consumption of Key Nutrients among US Children and Adults: Results of an NHANES Modeling Study. Nutr. J. 2017, 16, 17. [Google Scholar] [CrossRef]
- Aranceta, J.; Rodrigo, C.P.; Naska, A.; Vadillo, V.R.; Trichopoulou, A. Nut Consumption in Spain and Other Countries. Br. J. Nutr. 2006, 96, S3–S11. [Google Scholar] [CrossRef] [PubMed]
- U.S. Department of Agriculture, Economic Research Service. Almonds Lead Increase in Tree Nut Consumption. Available online: https://www.ers.usda.gov/data-products/charts-of-note/chart-detail?chartId=93152 (accessed on 13 October 2025).
- Agricultural Economic Insights U.S. Almond Production and Consumption Trends. Available online: https://aei.ag/overview/article/united-states-almond-production-consumption-trends (accessed on 13 October 2025).
- Gonçalves, B.; Pinto, T.; Aires, A.; Morais, M.C.; Bacelar, E.; Anjos, R.; Ferreira-Cardoso, J.; Oliveira, I.; Vilela, A.; Cosme, F. Composition of Nuts and Their Potential Health Benefits—An Overview. Foods 2023, 12, 942. [Google Scholar] [CrossRef] [PubMed]
- Trumbo, P.R.; Ard, J.; Bellisle, F.; Drewnowski, A.; Gilbert, J.A.; Kleinman, R.; Misra, A.; Sievenpiper, J.; Tahiri, M.; Watson, K.E.; et al. Perspective: Current Scientific Evidence and Research Strategies in the Role of Almonds in Cardiometabolic Health. Curr. Dev. Nutr. 2025, 9, 104516. [Google Scholar] [CrossRef] [PubMed]
- Kalita, S.; Khandelwal, S.; Madan, J.; Pandya, H.; Sesikeran, B.; Krishnaswamy, K. Almonds and Cardiovascular Health: A Review. Nutrients 2018, 10, 468. [Google Scholar] [CrossRef]
- Beaver, L.M.; Leonard, S.W.; Uesugi, S.L.; Wong, C.P.; Lytle, L.-M.; Vasudevan, A.; Papenhausen, E.M.; Jupudi, Y.; Bella, D.; Bobe, G.; et al. Beneficial Changes in Total Cholesterol, LDL-C, Biomarkers of Intestinal Inflammation, and Vitamin E Status in Adults with Metabolic Syndrome Consuming Almonds as Snack Foods: A Randomized Controlled Clinical Trial. Nutr. Res. 2025, 139, 50–65. [Google Scholar] [CrossRef]
- Carter, S.; Hill, A.M.; Mead, L.C.; Wong, H.Y.; Yandell, C.; Buckley, J.D.; Tan, S.; Rogers, G.B.; Fraysse, F.; Coates, A.M. Almonds vs. Carbohydrate Snacks in an Energy-restricted Diet: Weight and Cardiometabolic Outcomes from a Randomized Trial. Obesity 2023, 31, 2467–2481, Erratum in Obesity 2024, 32, 219. https://doi.org/10.1002/oby.23950. [Google Scholar] [CrossRef]
- Chen, C.-Y.O.; Holbrook, M.; Duess, M.-A.; Dohadwala, M.M.; Hamburg, N.M.; Asztalos, B.F.; Milbury, P.E.; Blumberg, J.B.; Vita, J.A. Effect of Almond Consumption on Vascular Function in Patients with Coronary Artery Disease: A Randomized, Controlled, Cross-over Trial. Nutr. J. 2015, 14, 61. [Google Scholar] [CrossRef]
- Dikariyanto, V.; Berry, S.E.; Francis, L.; Smith, L.; Hall, W.L. Whole Almond Consumption Is Associated with Better Diet Quality and Cardiovascular Disease Risk Factors in the UK Adult Population: National Diet and Nutrition Survey (NDNS) 2008–2017. Eur. J. Nutr. 2021, 60, 643–654. [Google Scholar] [CrossRef]
- 2025 Dietary Guidelines Advisory Committee. Scientific Report of the 2025 Dietary Guidelines Advisory Committee: Advisory Report to the Secretary of Health and Human Services and Secretary of Agriculture; HHS and USDA: Washington, DC, USA, 2024. Available online: https://www.dietaryguidelines.gov/2025-advisory-committee-report (accessed on 9 October 2025).
- Hess, J.; Slavin, J. Snacking for a Cause: Nutritional Insufficiencies and Excesses of U.S. Children, a Critical Review of Food Consumption Patterns and Macronutrient and Micronutrient Intake of U.S. Children. Nutrients 2014, 6, 4750–4759. [Google Scholar] [CrossRef] [PubMed]
- Dunford, E.K.; Popkin, B.M. 37 Year Snacking Trends for US Children 1977–2014. Pediatr. Obes. 2018, 13, 247–255. [Google Scholar] [CrossRef]
- Centers for Disease Control and Prevention 2017–March 2020 Pre-Pandemic Laboratory Data—Continuous NHANES. Available online: https://wwwn.cdc.gov/nchs/nhanes/search/datapage.aspx?Component=Laboratory&Cycle=2017-2020 (accessed on 9 October 2025).
- Centers for Disease Control and Prevention NHANES Survey Methods and Analytic Guidelines. Available online: https://wwwn.cdc.gov/nchs/nhanes/analyticguidelines.aspx (accessed on 9 October 2025).
- U.S. Department of Agriculture, Agricultural Research Service Food and Nutrient Database for Dietary Studies (FNDDS). Available online: https://www.ars.usda.gov/northeast-area/beltsville-md-bhnrc/beltsville-human-nutrition-research-center/food-surveys-research-group/docs/fndds/ (accessed on 9 October 2024).
- U.S. Department of Agriculture, Agricultural Research Service. Food Patterns Equivalents Database (FPED). Available online: http://ars.usda.gov/northeast-area/beltsville-md-bhnrc/beltsville-human-nutrition-research-center/food-surveys-research-group/docs/fped-databases/ (accessed on 9 October 2025).
- National Cancer Institute Developing the Healthy Eating Index (HEI). Available online: https://epi.grants.cancer.gov/hei/developing.html (accessed on 9 October 2025).
- Shams-White, M.M.; Pannucci, T.E.; Lerman, J.L.; Herrick, K.A.; Zimmer, M.; Meyers Mathieu, K.; Stoody, E.E.; Reedy, J. Healthy Eating Index-2020: Review and Update Process to Reflect the Dietary Guidelines for Americans, 2020–2025. J. Acad. Nutr. Diet. 2023, 123, 1280–1288. [Google Scholar] [CrossRef]
- Drewnowski, A.; Fulgoni, V.L. Nutrient Density: Principles and Evaluation Tools. Am. J. Clin. Nutr. 2014, 99, 1223S–1228S. [Google Scholar] [CrossRef]
- Fulgoni, V.L.; Keast, D.R.; Drewnowski, A. Development and Validation of the Nutrient-Rich Foods Index: A Tool to Measure Nutritional Quality of Foods. J. Nutr. 2009, 139, 1549–1554. [Google Scholar] [CrossRef]
- Tufts University Data4Diets: Building Blocks for Diet-Related Food Security Analysis, Version 2.0. Available online: https://inddex.nutrition.tufts.edu/data4diets/indicator/mean-adequacy-ratio-mar (accessed on 13 October 2025).
- Institute of Medicine (US) Panel on Micronutrients. Dietary Reference Intakes for Vitamin A, Vitamin K, Arsenic, Boron, Chromium, Copper, Iodine, Iron, Manganese, Molybdenum, Nickel, Silicon, Vanadium, and Zinc; National Academies Press: Washington, DC, USA, 2001; ISBN 978-0-309-07279-3. Available online: http://www.ncbi.nlm.nih.gov/books/NBK222310/ (accessed on 9 October 2025).
- Institute of Medicine (US) Panel on Dietary Antioxidants and Related Compounds. Dietary Reference Intakes for Vitamin C, Vitamin E, Selenium, and Carotenoids; National Academies Press: Washington, DC, USA, 2000; ISBN 978-0-309-06949-6. Available online: http://www.ncbi.nlm.nih.gov/books/NBK225483/ (accessed on 9 October 2025).
- Vieux, F.; Soler, L.-G.; Touazi, D.; Darmon, N. High Nutritional Quality Is Not Associated with Low Greenhouse Gas Emissions in Self-Selected Diets of French Adults123. Am. J. Clin. Nutr. 2013, 97, 569–583. [Google Scholar] [CrossRef]
- Sebastian, R.S.; Hoy, M.K.; Goldman, J.D.; Moshfegh, A.J. Snack Consumption by U.S. Adults: What We Eat in America, NHANES 2017–March 2020. In FSRG Dietary Data Briefs; United States Department of Agriculture (USDA): Beltsville, MD, USA, 2010. Available online: http://www.ncbi.nlm.nih.gov/books/NBK603801/ (accessed on 13 October 2025).
- Rehm, C.D.; Drewnowski, A. Replacing American Breakfast Foods with Ready-To-Eat (RTE) Cereals Increases Consumption of Key Food Groups and Nutrients among US Children and Adults: Results of an NHANES Modeling Study. Nutrients 2017, 9, 1010. [Google Scholar] [CrossRef]
- O’Neil, C.E.; Nicklas, T.A.; Fulgoni, V.L. Tree Nut Consumption Is Associated with Better Nutrient Adequacy and Diet Quality in Adults: National Health and Nutrition Examination Survey 2005–2010. Nutrients 2015, 7, 595–607. [Google Scholar] [CrossRef] [PubMed]
- O’Neil, C.E.; Keast, D.R.; Fulgoni, V.L.; Nicklas, T.A. Tree Nut Consumption Improves Nutrient Intake and Diet Quality in US Adults: An Analysis of National Health and Nutrition Examination Survey (NHANES) 1999–2004. Asia Pac. J. Clin. Nutr. 2010, 19, 142–150. [Google Scholar]
- O’Neil, C.E.; Fulgoni, V.L.; Nicklas, T.A. Tree Nut Consumption Is Associated with Better Adiposity Measures and Cardiovascular and Metabolic Syndrome Health Risk Factors in U.S. Adults: NHANES 2005–2010. Nutr. J. 2015, 14, 64. [Google Scholar] [CrossRef]
- Neale, E.P.; Tapsell, L.C. Nuts in Healthy Dietary Patterns and Dietary Guidelines. In Health Benefits of Nuts and Dried Fruits; Alasalvar, C., Salas-Salvado, J., Ros, E., Sabate, J., Eds.; CRC Press: Boca Raton, FL, USA, 2020; pp. 289–312. ISBN 978-1-315-17333-7. Available online: https://www.taylorfrancis.com/books/9781351700535/chapters/10.1201/9781315173337-13 (accessed on 9 October 2025).
- Guthrie, J.; Lin, B.-H.; Smith, T.A. Food Consumption and Nutrient Intake Trends Emerge Over Past Four Decades. Available online: https://www.ers.usda.gov/amber-waves/2024/august/food-consumption-and-nutrient-intake-trends-emerge-over-past-four-decades (accessed on 13 October 2025).
- U.S. Department of Agriculture, Foreign Agricultural Service. Tree Nuts: World Markets and Trade. Available online: https://www.fas.usda.gov/sites/default/files/2024-11/TreeNuts.pdf (accessed on 13 October 2025).
- Rehm, C.D.; Peñalvo, J.L.; Afshin, A.; Mozaffarian, D. Dietary Intakes among US Adults, 1999–2012. JAMA 2016, 315, 2542–2553. [Google Scholar] [CrossRef] [PubMed]
- O’Neil, C.E.; Keast, D.R.; Nicklas, T.A.; Fulgoni, V.L. Out-of-Hand Nut Consumption Is Associated with Improved Nutrient Intake and Health Risk Markers in US Children and Adults: National Health and Nutrition Examination Survey 1999–2004. Nutr. Res. 2012, 32, 185–194. [Google Scholar] [CrossRef]
- Hull, S.; Re, R.; Chambers, L.; Echaniz, A.; Wickham, M.S.J. A Mid-Morning Snack of Almonds Generates Satiety and Appropriate Adjustment of Subsequent Food Intake in Healthy Women. Eur. J. Nutr. 2015, 54, 803–810. [Google Scholar] [CrossRef] [PubMed]
- Hollingworth, S.; Dalton, M.; Blundell, J.E.; Finlayson, G. Evaluation of the Influence of Raw Almonds on Appetite Control: Satiation, Satiety, Hedonics and Consumer Perceptions. Nutrients 2019, 11, 2030. [Google Scholar] [CrossRef] [PubMed]
- Liu, X.; Li, Y.; Guasch-Ferré, M.; Willett, W.C.; Drouin-Chartier, J.-P.; Bhupathiraju, S.N.; Tobias, D.K. Changes in Nut Consumption Influence Long-Term Weight Change in US Men and Women. BMJ Nutr. Prev. Health 2019, 2, 90. [Google Scholar] [CrossRef]
- Hollis, J.; Mattes, R. Effect of Chronic Consumption of Almonds on Body Weight in Healthy Humans. Br. J. Nutr. 2007, 98, 651–656. [Google Scholar] [CrossRef]
- U.S. Department of Agriculture and U.S. Department of Agriculture, Food and Nutrition Service Smart Snacks in Schools. Available online: https://www.fns.usda.gov/school-meals/nutrition-standards/smartsnacks (accessed on 13 October 2025).
- FoodData Central Almonds, Unsalted. Available online: https://fdc.nal.usda.gov/food-details/2707489/nutrients (accessed on 13 October 2025).









| N | Total Diet (kcal) | Snacks | |||||||
|---|---|---|---|---|---|---|---|---|---|
| Total Snacks (kcal) | Less Healthy Snacks (kcal) | Healthy Snacks (kcal) | |||||||
| Mean | SE | Mean | SE | Mean | SE | Mean | SE | ||
| All | 15,258 | 2019 | 17.6 | 328.8 | 2.60 | 270.5 | 2.35 | 58.3 | 1.00 |
| Gender | |||||||||
| Female | 8071 | 1766 | 14.6 | 304.9 | 3.10 | 251.3 | 2.81 | 53.6 | 1.18 |
| Male | 7187 | 2286 | 18.0 | 354.0 | 4.23 | 290.6 | 3.83 | 63.3 | 1.64 |
| p | <0.001 | <0.001 | <0.001 | 0.003 | |||||
| Age group | |||||||||
| 4–8 y | 1343 | 1715 | 12.6 | 363.0 | 7.08 | 309.5 | 6.48 | 53.5 | 2.61 |
| 9–13 y | 1425 | 1947 | 14.4 | 390.4 | 8.54 | 354.0 | 7.95 | 36.3 | 1.77 |
| 14–19 y | 1565 | 1950 | 18.9 | 327.1 | 8.39 | 291.4 | 7.88 | 35.7 | 2.35 |
| 20–30 y | 1500 | 2096 | 18.1 | 302.8 | 9.00 | 260.0 | 8.41 | 42.8 | 2.67 |
| 31–50 y | 3171 | 2137 | 18.6 | 323.4 | 5.71 | 261.5 | 5.11 | 61.9 | 2.17 |
| 51–70 y | 4372 | 2033 | 17.5 | 332.6 | 4.84 | 257.8 | 4.24 | 74.8 | 2.30 |
| >70 y | 1882 | 1853 | 15.0 | 307.5 | 6.74 | 242.3 | 5.94 | 65.2 | 3.01 |
| p | <0.001 | <0.001 | <0.001 | <0.001 | |||||
| Ethnicity | |||||||||
| Mexican | 1642 | 2011 | 18.1 | 292.0 | 7.07 | 235.6 | 6.53 | 56.4 | 2.43 |
| NH Black | 3399 | 1939 | 19.3 | 319.9 | 6.14 | 276.2 | 5.81 | 43.8 | 1.76 |
| NH White | 6549 | 2054 | 16.9 | 344.3 | 3.95 | 282.6 | 3.49 | 61.6 | 1.67 |
| Other H | 1496 | 1922 | 19.8 | 292.3 | 8.82 | 244.5 | 8.35 | 47.9 | 2.34 |
| Other | 2172 | 2000 | 17.2 | 315.0 | 6.21 | 248.8 | 5.67 | 66.2 | 2.53 |
| p | <0.001 | 0.001 | 0.001 | <0.001 | |||||
| IPR * | |||||||||
| <1 | 2735 | 1956 | 20.7 | 304.3 | 6.95 | 267.7 | 6.56 | 36.6 | 1.84 |
| 1–1.99 | 3257 | 1957 | 18.4 | 304.6 | 5.41 | 254.5 | 4.93 | 50.1 | 1.96 |
| 2–3.49 | 3039 | 2064 | 17.4 | 348.3 | 5.80 | 287.0 | 5.28 | 61.3 | 2.10 |
| ≥3.5 | 4502 | 2069 | 16.2 | 344.4 | 4.64 | 275.4 | 4.09 | 69.0 | 2.11 |
| p | 0.001 | 0.002 | 0.118 | <0.001 | |||||
| Nutrients | All Solid Snacks | Composite Almond Snack | p-Value | ||
|---|---|---|---|---|---|
| Mean | SE | Mean | SE | ||
| Amount, g | 50.5 | 0.413 | 16.5 | 0.000 | <0.001 |
| Energy, kcal | 100 | 0.008 | 100 | 0.064 | <0.001 |
| Carbohydrates, g | 13.7 | 0.041 | 3.4 | 0.011 | <0.001 |
| Fibers, g | 1 | 0.007 | 1.7 | 0.004 | <0.001 |
| Proteins, g | 2.3 | 0.014 | 3.4 | 0.005 | <0.001 |
| Total fats, g | 4.3 | 0.016 | 8.8 | 0.009 | <0.001 |
| Saturated fats, g | 1.4 | 0.008 | 0.7 | 0.003 | <0.001 |
| Monounsaturated fats, g | 1.5 | 0.007 | 5.5 | 0.006 | <0.001 |
| Polyunsaturated fats, g | 1 | 0.006 | 2.2 | 0.003 | <0.001 |
| Magnesium, mg | 13 | 0.070 | 44.6 | 0.065 | <0.001 |
| Sodium, mg | 103 | 1.187 | 22.1 | 0.956 | <0.001 |
| Added sugars, g | 4.2 | 0.031 | 0.1 | 0.014 | <0.001 |
| Oils, g | 1.5 | 0.013 | 5.8 | 0.010 | <0.001 |
| Solid fats, g | 2 | 0.014 | 0.0 | 0.003 | <0.001 |
| WWEIA Category | Model 1 | Model 2 |
|---|---|---|
| Ice cream and frozen dairy desserts | 9.6 | 11.5 |
| Cookies and brownies | 9.2 | 11.1 |
| Cakes and pies | 7.4 | 8.9 |
| Candy containing chocolate | 4.4 | 5.3 |
| Tortilla, corn, other chips | 4.3 | 5.2 |
| Doughnuts, sweet rolls, pastries | 3.5 | 4.2 |
| Potato chips | 3.4 | 4.1 |
| Crackers, excludes saltines | 3.4 | 4.1 |
| Popcorn | 3.4 | 4.1 |
| Candy not containing chocolate | 2.7 | 3.3 |
| Cheese | 2.7 | 3.2 |
| Pretzels/snack mix | 2.0 | 2.4 |
| Cereal bars | 1.6 | 1.9 |
| Biscuits, muffins, quick breads | 1.5 | 1.8 |
| Pizza | 1.3 | 1.6 |
| RTE cereal, higher sugar (>21.2 g/100 g) | 1.1 | 0.7 |
| Yeast breads | 1.1 | 1 |
| Dips, gravies, other sauces | 1 | 1.2 |
| Milkshakes and other dairy drinks | 1 | 1.2 |
| Others | 24.8 | 23.4 |
| Not replaced in Model 2 | ||
| Nuts and seeds | 7.1 | - |
| Bananas | 1.9 | - |
| Apples | 1.8 | - |
| N | Observed | Model 1 | Model 2_50 | Model 2_100 | |||||||||
|---|---|---|---|---|---|---|---|---|---|---|---|---|---|
| Mean | SE | Mean | SE | p-Value 1 | Mean | SE | p-Value 1 | Mean | SE | p-Value 1 | |||
| All | 15,258 | 52.4 | 0.11 | 59.6 | 0.10 | <0.001 | 57.8 | 0.10 | <0.001 | 60.6 | 0.10 | <0.001 | |
| Sex | Female | 8071 | 53.4 | 0.15 | 60.9 | 0.14 | <0.001 | 59.0 | 0.14 | <0.001 | 62.0 | 0.14 | <0.001 |
| Male | 7187 | 51.2 | 0.16 | 58.3 | 0.14 | <0.001 | 56.4 | 0.15 | <0.001 | 59.2 | 0.15 | <0.001 | |
| p-value | <0.001 | <0.001 | <0.001 | <0.001 | |||||||||
| Age group | 4–8 y | 1343 | 52.8 | 0.32 | 64.0 | 0.30 | <0.001 | 61.4 | 0.31 | <0.001 | 65.6 | 0.31 | <0.001 |
| 9–13 y | 1425 | 48.2 | 0.32 | 59.9 | 0.30 | <0.001 | 56.7 | 0.31 | <0.001 | 61.1 | 0.31 | <0.001 | |
| 14–19 y | 1565 | 47.2 | 0.32 | 56.1 | 0.31 | <0.001 | 53.7 | 0.31 | <0.001 | 57.0 | 0.32 | <0.001 | |
| 20–30 y | 1500 | 49.4 | 0.34 | 55.8 | 0.31 | <0.001 | 54.1 | 0.32 | <0.001 | 56.7 | 0.32 | <0.001 | |
| 31–50 y | 3171 | 52.3 | 0.24 | 58.6 | 0.22 | <0.001 | 57.0 | 0.23 | <0.001 | 59.6 | 0.23 | <0.001 | |
| 51–70 y | 4372 | 55.1 | 0.20 | 61.2 | 0.18 | <0.001 | 59.7 | 0.19 | <0.001 | 62.2 | 0.18 | <0.001 | |
| >70 y | 1882 | 56.7 | 0.32 | 63.5 | 0.28 | <0.001 | 61.8 | 0.29 | <0.001 | 64.4 | 0.29 | <0.001 | |
| p-value | <0.001 | <0.001 | <0.001 | <0.001 | |||||||||
| Race/Ethnicity | Mexican | 1642 | 51.9 | 0.30 | 58.3 | 0.28 | <0.001 | 56.9 | 0.29 | <0.001 | 59.6 | 0.29 | <0.001 |
| Non-Hispanic Black | 3399 | 50.9 | 0.22 | 57.9 | 0.21 | <0.001 | 56.1 | 0.21 | <0.001 | 58.6 | 0.21 | <0.001 | |
| Non-Hispanic White | 6549 | 52.2 | 0.17 | 59.9 | 0.15 | <0.001 | 57.8 | 0.16 | <0.001 | 60.8 | 0.16 | <0.001 | |
| Other Hispanic | 1496 | 53.5 | 0.34 | 59.9 | 0.32 | <0.001 | 58.5 | 0.33 | <0.001 | 61.0 | 0.33 | <0.001 | |
| Other race | 2172 | 54.3 | 0.31 | 60.9 | 0.27 | <0.001 | 59.5 | 0.28 | <0.001 | 62.3 | 0.28 | <0.001 | |
| p-value | <0.001 | <0.001 | <0.001 | <0.001 | |||||||||
| IPR * | <1 | 2735 | 49.1 | 0.25 | 56.6 | 0.24 | <0.001 | 54.6 | 0.24 | <0.001 | 57.5 | 0.25 | <0.001 |
| 1–1.99 | 3257 | 50.4 | 0.23 | 57.8 | 0.22 | <0.001 | 55.9 | 0.22 | <0.001 | 58.7 | 0.22 | <0.001 | |
| 2–3.49 | 3039 | 51.3 | 0.24 | 58.9 | 0.22 | <0.001 | 57.1 | 0.23 | <0.001 | 60.1 | 0.23 | <0.001 | |
| ≥3.5 | 4502 | 54.7 | 0.20 | 61.8 | 0.18 | <0.001 | 59.9 | 0.19 | <0.001 | 62.7 | 0.18 | <0.001 | |
| p-value | <0.001 | <0.001 | <0.001 | <0.001 | |||||||||
| Total NHANES Sample | Observed | Model 1 | Model 2_50 | Model 2_100 | |||||||
|---|---|---|---|---|---|---|---|---|---|---|---|
| Nutrient/Score | Mean | SE | Mean | SE | p-Value 1 | Mean | SE | p-Value 1 | Mean | SE | p-Value 1 |
| Amount, g | 3120 | 11.81 | 3030 | 11.69 | <0.001 | 3090 | 11.77 | <0.001 | 3070 | 11.75 | <0.001 |
| Energy, kcal | 2019 | 6.40 | 2019 | 6.40 | 0.165 | 2019 | 6.40 | 0.165 | 2019 | 6.40 | 0.165 |
| Carbohydrates, g | 234 | 0.82 | 203 | 0.72 | <0.001 | 222 | 0.77 | <0.001 | 209 | 0.73 | <0.001 |
| Total fats, g | 83.4 | 0.31 | 97.3 | 0.37 | <0.001 | 89 | 0.33 | <0.001 | 94.6 | 0.36 | <0.001 |
| Monounsaturated fats, g | 28.3 | 0.11 | 41 | 0.18 | <0.001 | 33.6 | 0.14 | <0.001 | 38.9 | 0.17 | <0.001 |
| Polyunsaturated fats, g | 19.4 | 0.09 | 23.2 | 0.10 | <0.001 | 21 | 0.09 | <0.001 | 22.6 | 0.10 | <0.001 |
| Oils, g | 28.6 | 0.15 | 42.4 | 0.20 | <0.001 | 34.5 | 0.17 | <0.001 | 40.4 | 0.20 | <0.001 |
| Solid fats, g | 35.1 | 0.17 | 28 | 0.14 | <0.001 | 31.6 | 0.15 | <0.001 | 28.1 | 0.14 | <0.001 |
| Fibers, % DRI | 61.1 | 0.27 | 71.9 | 0.30 | <0.001 | 67 | 0.28 | <0.001 | 72.9 | 0.30 | <0.001 |
| Proteins, % DRI | 166 | 0.62 | 174 | 0.65 | <0.001 | 169 | 0.63 | <0.001 | 173 | 0.64 | <0.001 |
| Saturated fats, % DRI | 120 | 0.27 | 109 | 0.24 | <0.001 | 114 | 0.25 | <0.001 | 108 | 0.24 | <0.001 |
| Magnesium, % DRI | 86.4 | 0.34 | 121 | 0.56 | <0.001 | 102 | 0.42 | <0.001 | 117 | 0.53 | <0.001 |
| Sodium, % DRI | 167 | 0.59 | 153 | 0.55 | <0.001 | 160 | 0.57 | <0.001 | 153 | 0.55 | <0.001 |
| Added sugars, % DRI | 124 | 0.66 | 98.7 | 0.63 | <0.001 | 112 | 0.63 | <0.001 | 99.6 | 0.63 | <0.001 |
| NRF | 455 | 1.28 | 509 | 1.18 | <0.001 | 488 | 1.22 | <0.001 | 514 | 1.20 | <0.001 |
| MAR | 53.5 | 0.07 | 56.6 | 0.08 | <0.001 | 55.7 | 0.08 | <0.001 | 56.9 | 0.08 | <0.001 |
| MER | 30.8 | 0.17 | 22.8 | 0.15 | <0.001 | 26.4 | 0.16 | <0.001 | 23 | 0.15 | <0.001 |
| Nutrient Density Metric | Observed | Model 3 (30 g) | Model 3 (50 g) | |||||
|---|---|---|---|---|---|---|---|---|
| Mean | SE | Mean | SE | p-Value 1 | Mean | SE | p-Value 1 | |
| Amount, g | 3120 | 11.81 | 3150 | 11.81 | <0.001 | 3170 | 11.81 | <0.001 |
| Energy, kcal | 2019 | 6.40 | 2201 | 6.40 | <0.001 | 2322 | 6.40 | <0.001 |
| NRF9.3 | 455 | 1.28 | 488 | 1.17 | <0.001 | 505 | 1.11 | <0.001 |
| MAR | 53.5 | 0.07 | 59.9 | 0.07 | <0.001 | 63.3 | 0.06 | <0.001 |
| MER | 30.8 | 0.17 | 25.3 | 0.16 | <0.001 | 22.8 | 0.15 | <0.001 |
| HEI-2020 | 52.4 | 0.11 | 59.2 | 0.10 | <0.001 | 61.4 | 0.09 | <0.001 |
Disclaimer/Publisher’s Note: The statements, opinions and data contained in all publications are solely those of the individual author(s) and contributor(s) and not of MDPI and/or the editor(s). MDPI and/or the editor(s) disclaim responsibility for any injury to people or property resulting from any ideas, methods, instructions or products referred to in the content. |
© 2025 by the authors. Licensee MDPI, Basel, Switzerland. This article is an open access article distributed under the terms and conditions of the Creative Commons Attribution (CC BY) license.
Share and Cite
Maillot, M.; Poinsot, R.; Tahiri, M.; Drewnowski, A. Replacing Solid Snacks with Almonds or Adding Almonds to the Diet Improves Diet Quality and Compliance with the 2020–25 Dietary Guidelines for Americans: Modeling Analyses of NHANES 2017–23 Data. Nutrients 2026, 18, 87. https://doi.org/10.3390/nu18010087
Maillot M, Poinsot R, Tahiri M, Drewnowski A. Replacing Solid Snacks with Almonds or Adding Almonds to the Diet Improves Diet Quality and Compliance with the 2020–25 Dietary Guidelines for Americans: Modeling Analyses of NHANES 2017–23 Data. Nutrients. 2026; 18(1):87. https://doi.org/10.3390/nu18010087
Chicago/Turabian StyleMaillot, Mattieu, Romane Poinsot, Maha Tahiri, and Adam Drewnowski. 2026. "Replacing Solid Snacks with Almonds or Adding Almonds to the Diet Improves Diet Quality and Compliance with the 2020–25 Dietary Guidelines for Americans: Modeling Analyses of NHANES 2017–23 Data" Nutrients 18, no. 1: 87. https://doi.org/10.3390/nu18010087
APA StyleMaillot, M., Poinsot, R., Tahiri, M., & Drewnowski, A. (2026). Replacing Solid Snacks with Almonds or Adding Almonds to the Diet Improves Diet Quality and Compliance with the 2020–25 Dietary Guidelines for Americans: Modeling Analyses of NHANES 2017–23 Data. Nutrients, 18(1), 87. https://doi.org/10.3390/nu18010087

