Sign in to use this feature.

Years

Between: -

Subjects

remove_circle_outline
remove_circle_outline
remove_circle_outline
remove_circle_outline
remove_circle_outline
remove_circle_outline

Journals

Article Types

Countries / Regions

Search Results (15)

Search Parameters:
Keywords = Nelder–Mead method (NM)

Order results
Result details
Results per page
Select all
Export citation of selected articles as:
32 pages, 12099 KB  
Article
Hardware–Software System for Biomass Slow Pyrolysis: Characterization of Solid Yield via Optimization Algorithms
by Ismael Urbina-Salas, David Granados-Lieberman, Juan Pablo Amezquita-Sanchez, Martin Valtierra-Rodriguez and David Aaron Rodriguez-Alejandro
Computers 2025, 14(10), 426; https://doi.org/10.3390/computers14100426 - 5 Oct 2025
Viewed by 179
Abstract
Biofuels represent a sustainable alternative that supports global energy development without compromising environmental balance. This work introduces a novel hardware–software platform for the experimental characterization of biomass solid yield during the slow pyrolysis process, integrating physical experimentation with advanced computational modeling. The hardware [...] Read more.
Biofuels represent a sustainable alternative that supports global energy development without compromising environmental balance. This work introduces a novel hardware–software platform for the experimental characterization of biomass solid yield during the slow pyrolysis process, integrating physical experimentation with advanced computational modeling. The hardware consists of a custom-designed pyrolizer equipped with temperature and weight sensors, a dedicated control unit, and a user-friendly interface. On the software side, a two-step kinetic model was implemented and coupled with three optimization algorithms, i.e., Particle Swarm Optimization (PSO), Genetic Algorithm (GA), and Nelder–Mead (N-M), to estimate the Arrhenius kinetic parameters governing biomass degradation. Slow pyrolysis experiments were performed on wheat straw (WS), pruning waste (PW), and biosolids (BS) at a heating rate of 20 °C/min within 250–500 °C, with a 120 min residence time favoring biochar production. The comparative analysis shows that the N-M method achieved the highest accuracy (100% fit in estimating solid yield), with a convergence time of 4.282 min, while GA converged faster (1.675 min), with a fit of 99.972%, and PSO had the slowest convergence time at 6.409 min and a fit of 99.943%. These results highlight both the versatility of the system and the potential of optimization techniques to provide accurate predictive models of biomass decomposition as a function of time and temperature. Overall, the main contributions of this work are the development of a low-cost, custom MATLAB-based experimental platform and the tailored implementation of optimization algorithms for kinetic parameter estimation across different biomasses, together providing a robust framework for biomass pyrolysis characterization. Full article
Show Figures

Figure 1

33 pages, 2224 KB  
Article
Enhanced Hybrid Algorithms for Inverse Problem Solutions in Computed Tomography
by Rafał Brociek, Mariusz Pleszczyński, Jakub Miarka and Mateusz Goik
Appl. Syst. Innov. 2025, 8(2), 31; https://doi.org/10.3390/asi8020031 - 28 Feb 2025
Viewed by 2387
Abstract
This article presents a method for solving the inverse problem of computed tomography using an incomplete dataset. The problem focuses on reconstructing spatial objects based on the data collected from transmitters and receivers (referred to as projection vectors). The novelty of the proposed [...] Read more.
This article presents a method for solving the inverse problem of computed tomography using an incomplete dataset. The problem focuses on reconstructing spatial objects based on the data collected from transmitters and receivers (referred to as projection vectors). The novelty of the proposed approach lies in combining two types of algorithms, namely heuristic and deterministic. Specifically, Artificial Bee Colony (ABC) and Jellyfish Search (JS) algorithms were utilized and compared as heuristic methods, while the deterministic methods were based on the Hooke–Jeeves (HJ) and Nelder–Mead (NM) approaches. By merging these techniques, a hybrid algorithm was developed, integrating the strengths of both heuristic and deterministic algorithms. The proposed hybrid algorithm proved to be approximately five to six times faster than an approach relying solely on metaheuristics while also providing more accurate results. In the worst-case test, the fitness function value for the hybrid algorithm was approximately 22% lower than that of the purely metaheuristic-based approach. Experimental tests further demonstrated that the hybrid algorithm, whether based on Hooke–Jeeves or Nelder–Mead, was stable and well suited for solving the considered problem. The article includes experimental results that confirm the effectiveness, accuracy, and efficiency of the proposed method. Full article
Show Figures

Figure 1

14 pages, 3475 KB  
Article
Deep Eutectic Solvent-Assisted Synthesis of Ni–Graphene Composite Supported on Screen-Printed Electrodes for Biogenic Amine Detection
by Aleksandra Levshakova, Maria Kaneva, Ruzanna Ninayan, Evgenii Borisov, Evgenii Satymov, Alexander Shmalko, Lev Logunov, Aleksandr Kuchmizhak, Yuri N. Kulchin, Alina Manshina and Evgeniia Khairullina
Materials 2025, 18(2), 425; https://doi.org/10.3390/ma18020425 - 17 Jan 2025
Viewed by 1698
Abstract
Deep eutectic solvents (DES) have emerged as versatile, sustainable media for the synthesis of nanomaterials due to their low toxicity, tunability, and biocompatibility. This study develops a one-step method to modify commercially available screen-printed electrodes (SPE) using laser-induced pyrolysis of DES, consisting of [...] Read more.
Deep eutectic solvents (DES) have emerged as versatile, sustainable media for the synthesis of nanomaterials due to their low toxicity, tunability, and biocompatibility. This study develops a one-step method to modify commercially available screen-printed electrodes (SPE) using laser-induced pyrolysis of DES, consisting of choline chloride and tartaric acid with dissolved nickel acetate and dispersed graphene. The electrodes were patterned using a 532 nm continuous-wave laser for the in situ formation of Ni nanoparticles decorated on graphene sheets directly on the SPE surface (Ni-G/SPE). The synthesis parameters, specifically laser power and graphene concentration, were optimized using the Nelder–Mead method to produce modified Ni-G/SPEs with maximized electrochemical response to dopamine. Electrochemical characterization of the developed sensor by differential pulse voltammetry revealed its broad linear detection range from 0.25 to 100 μM and high sensitivity with a low detection limit of 0.095 μM. These results highlight the potential of laser-assisted DES synthesis to advance electrochemical sensing technologies, particularly for the detection of biogenic amines. Full article
Show Figures

Graphical abstract

20 pages, 3256 KB  
Article
Application of Real-Time Palm Imaging with Nelder–Mead Particle Swarm Optimization/Regression Algorithms for Non-Contact Blood Pressure Detection
by Te-Jen Su, Ya-Chung Hung, Wei-Hong Lin, Wen-Rong Yang, Qian-Yi Zhuang, Yan-Xiang Fei and Shih-Ming Wang
Biomimetics 2024, 9(11), 713; https://doi.org/10.3390/biomimetics9110713 - 20 Nov 2024
Viewed by 1310
Abstract
In response to the rising prevalence of hypertension due to lifestyle changes, this study introduces a novel approach for non-contact blood pressure (BP) monitoring. Recognizing the “silent killer” nature of hypertension, this research focuses on developing accessible, non-invasive BP measurement methods. This study [...] Read more.
In response to the rising prevalence of hypertension due to lifestyle changes, this study introduces a novel approach for non-contact blood pressure (BP) monitoring. Recognizing the “silent killer” nature of hypertension, this research focuses on developing accessible, non-invasive BP measurement methods. This study compares two distinct non-contact BP measurement approaches: one combining the Nelder–Mead simplex method with particle swarm optimization (NM-PSO) and the other using machine learning regression analysis. In the NM-PSO method, a standard webcam captures continuous images of the palm, extracting physiological data through light wave reflection and employing independent component analysis (ICA) to remove noise artifacts. The NM-PSO achieves a verified root mean square error (RMSE) of 2.71 mmHg for systolic blood pressure (SBP) and 3.42 mmHg for diastolic blood pressure (DBP). Alternatively, the regression method derives BP values through machine learning-based regression formulas, resulting in an RMSE of 2.88 mmHg for SBP and 2.60 mmHg for DBP. Both methods enable fast, accurate, and convenient BP measurement within 10 s, suitable for home use. This study demonstrates a cost-effective solution for non-contact BP monitoring and highlights each method’s advantages. The NM-PSO approach emphasizes optimization in noise handling, while the regression method leverages formulaic efficiency in BP estimation. These results offer a biomimetic approach that could replace traditional contact-based BP measurement devices, contributing to enhanced accessibility in hypertension management. Full article
Show Figures

Figure 1

17 pages, 3079 KB  
Article
Application of Independent Component Analysis and Nelder–Mead Particle Swarm Optimization Algorithm in Non-Contact Blood Pressure Estimation
by Te-Jen Su, Wei-Hong Lin, Qian-Yi Zhuang, Ya-Chung Hung, Wen-Rong Yang, Bo-Jun He and Shih-Ming Wang
Sensors 2024, 24(11), 3544; https://doi.org/10.3390/s24113544 - 30 May 2024
Cited by 1 | Viewed by 1342
Abstract
In recent years, hypertension has become one of the leading causes of illness and death worldwide. Changes in lifestyle among the population have led to an increasing prevalence of hypertension. This study proposes a non-contact blood pressure estimation method that allows patients to [...] Read more.
In recent years, hypertension has become one of the leading causes of illness and death worldwide. Changes in lifestyle among the population have led to an increasing prevalence of hypertension. This study proposes a non-contact blood pressure estimation method that allows patients to conveniently monitor their blood pressure values. By utilizing a webcam to track facial features and the region of interest (ROI) for obtaining forehead images, independent component analysis (ICA) is employed to eliminate artifact signals. Subsequently, physiological parameters are calculated using the principle of optical wave reflection. The Nelder–Mead (NM) simplex method is combined with the particle swarm optimization (PSO) algorithm to optimize the empirical parameters, thus enhancing computational efficiency and accurately determining the optimal solution for blood pressure estimation. The influences of light intensity and camera distance on the experimental results are also discussed. Furthermore, the measurement time is only 10 s. The superior accuracy and efficiency of the proposed methodology are demonstrated by comparing them with those in other published literature. Full article
(This article belongs to the Special Issue Intelligent Medical Sensors and Applications)
Show Figures

Figure 1

19 pages, 3036 KB  
Article
Optimized Design and Simulation of Optical Section in Electro-Reflective Modulators Based on Photonic Crystals Integrated with Multi-Quantum-Well Structures
by Mohammad Mahdi Khakbaz Heshmati and Farzin Emami
Optics 2023, 4(1), 227-245; https://doi.org/10.3390/opt4010016 - 1 Mar 2023
Cited by 4 | Viewed by 10634
Abstract
In the design of photonic integrated circuits (PICs), the optical connections of the PIC surface, along with the electronic components of the chips, are significant issues. One of the optoelectronics components that utilizes these surface connections are electro-reflective modulators, consisting of an optical [...] Read more.
In the design of photonic integrated circuits (PICs), the optical connections of the PIC surface, along with the electronic components of the chips, are significant issues. One of the optoelectronics components that utilizes these surface connections are electro-reflective modulators, consisting of an optical section and an electronic section. In this paper, a novel scheme of two-dimensional photonic crystals (PhCs) is presented for the optical and reflective sections of this device. This design is two-dimensional; thus, it has less volume than the current bulky structures. The finite element method is utilized to simulate and optimize the scheme of PhCs and gold layer parameters. Furthermore, optimization of design parameters is accomplished through the Nelder–Mead method. Moreover, the modeling and simulation of the proposed hybrid PhCs has been investigated according to the structural parameters with tolerance. These tolerances, related to the nanorods’ radius and lattice constants, are considered to justify and vindicate the fabrication technology limitations and conditions. In the “on” state of the modulator, the light transmission ratio is 98% for a 903 nm wavelength with a 45° angle of deflection and incident light, nd the bandwidth is 20 nm. For an 897 nm wavelength with a 41° angle, the transmission ratio is 95%, and the bandwidth is 7 nm. Full article
(This article belongs to the Special Issue Novel Optical Materials and Device)
Show Figures

Figure 1

17 pages, 11765 KB  
Article
Data-Driven-Model-Based Full-Region Optimal Mapping Method of Permanent Magnet Synchronous Motors in Wide Temperature Range
by Yuanjun Bian, Xuhui Wen, Tao Fan, Hongyang Li and Zhongyong Liu
Machines 2023, 11(3), 324; https://doi.org/10.3390/machines11030324 - 24 Feb 2023
Cited by 3 | Viewed by 2483
Abstract
To improve the motor efficiency and expand the actual external characteristic region of electric vehicle permanent magnet synchronous motor (PMSM) drive systems, the optimal operation of mapping torque to d-q axis current is usually applied. Nevertheless, it is difficult to deal with the [...] Read more.
To improve the motor efficiency and expand the actual external characteristic region of electric vehicle permanent magnet synchronous motor (PMSM) drive systems, the optimal operation of mapping torque to d-q axis current is usually applied. Nevertheless, it is difficult to deal with the complex mechanism factors such as parameter saturation and temperature change for the traditional optimization method based on the basic voltage equation of PMSM. In this paper, a black-box-model-based torque–current optimization method is proposed, which does not rely on any information of the inner mechanism model, and the derivative-free, optimal, improved Nelder–Mead Simplex(NMS) method is used to minimize the copper loss and maximize the electromagnetic torque in the flux-weakening region. Moreover, a synchronous online compensation of the electromagnetic torque and optimal current angle is implemented, in view of the time variation of permanent magnet flux with temperature. Finally, through a comparison experiment with the nominal-parameters-based formula maximum torque per ampere (MTPA) method, the proposed method achieves higher torque accuracy and better efficiency performance in a wide temperature range with regard to a reasonable response speed. Full article
Show Figures

Figure 1

26 pages, 1739 KB  
Article
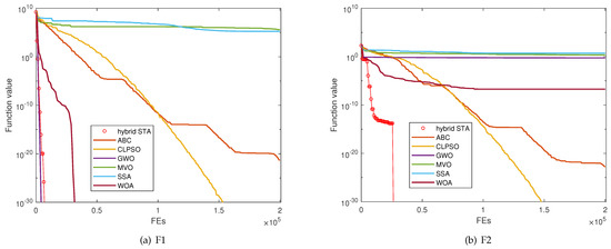
A Hybrid STA Based on Nelder–Mead Simplex Search and Quadratic Interpolation
by Liwei Zhou, Xiaojun Zhou and Chenhao Yi
Electronics 2023, 12(4), 994; https://doi.org/10.3390/electronics12040994 - 16 Feb 2023
Cited by 4 | Viewed by 1986
Abstract
State transition algorithm (STA) is a metaheuristic method for global optimization. However, due to the insufficient utilization of historical information, it still suffers from slow convergence speed and low solution accuracy on specific problems in the later stages. This paper proposes a hybrid [...] Read more.
State transition algorithm (STA) is a metaheuristic method for global optimization. However, due to the insufficient utilization of historical information, it still suffers from slow convergence speed and low solution accuracy on specific problems in the later stages. This paper proposes a hybrid STA based on Nelder–Mead (NM) simplex search and quadratic interpolation (QI). In the exploration stage, NM simplex search utilizes the historical information of STA to generate promising solutions. In the exploitation stage, QI utilizes the historical information to enhance the local search capacity. The proposed method uses an eagle strategy to maximize the efficiency and stability. The proposed method successfully combines the merits of the three distinct approaches: the powerful exploration capacity of STA, the fast convergence speed of NM simplex search and the strong exploitation capacity of QI. The hybrid STA is evaluated using 15 benchmark functions with dimensions of 20, 30, 50 and 100. Moreover, the results are statistically analyzed using the Wilcoxon signed-rank sum test. In addition, the applicability of the hybrid STA to solve real-world problems is assessed using the wireless sensor network localization problem. Compared with six state-of-the-art metaheuristic methods, the experimental results demonstrate the superiority and effectiveness of the proposed method. Full article
Show Figures

Graphical abstract

15 pages, 2012 KB  
Article
Microseismic Source Location Method and Application Based on NM-PSO Algorithm
by Ze Liao, Tao Feng, Weijian Yu, Dongge Cui and Genshui Wu
Appl. Sci. 2022, 12(17), 8796; https://doi.org/10.3390/app12178796 - 1 Sep 2022
Cited by 10 | Viewed by 2777
Abstract
Microseismic source location is the core of microseismic monitoring technology in coal mining; it is also the advantage of microseismic monitoring technology compared with other monitoring methods. The source location method directly determines the accuracy and stability of the source location results. Based [...] Read more.
Microseismic source location is the core of microseismic monitoring technology in coal mining; it is also the advantage of microseismic monitoring technology compared with other monitoring methods. The source location method directly determines the accuracy and stability of the source location results. Based on the problem of non-benign arrays of microseismic monitoring sensors in the coal mining process, a fast location method of microseismic source in coal mining based on the NM-PSO algorithm is proposed. The core idea of the NM-PSO algorithm is to use the particle swarm optimization (PSO) algorithm for global optimization, reduce the size of the solution space and provide the optimized initial value for the Nelder Mead simplex algorithm (NM), and then use the fast iteration characteristics of the NM algorithm to accelerate the convergence of the model. The NM-PSO algorithm is analyzed by an example and verified by the microseismic source location engineering. The NM-PSO algorithm has a significant improvement in the source location accuracy. The average location errors in all directions are (5.65 m, 5.01 m, and 7.21 m), all Within the acceptable range, and they showed good universality and stability. The proposed NM-PSO algorithm can provide a general fast seismic source localization method for different sensor array deployment methods, which significantly improves the stability and result in the accuracy of the seismic source localization algorithm and has good application value; this method can provide new ideas for research in microseismic localization in coal mining. Full article
Show Figures

Figure 1

24 pages, 2539 KB  
Article
Artificial Bee Colony Algorithm with Nelder–Mead Method to Solve Nurse Scheduling Problem
by Rajeswari Muniyan, Rajakumar Ramalingam, Sultan S. Alshamrani, Durgaprasad Gangodkar, Ankur Dumka, Rajesh Singh, Anita Gehlot and Mamoon Rashid
Mathematics 2022, 10(15), 2576; https://doi.org/10.3390/math10152576 - 25 Jul 2022
Cited by 6 | Viewed by 2888
Abstract
The nurse scheduling problem (NSP) is an NP-Hard combinatorial optimization scheduling problem that allocates a set of shifts to the group of nurses concerning the schedule period subject to the constraints. The objective of the NSP is to create a schedule that satisfies [...] Read more.
The nurse scheduling problem (NSP) is an NP-Hard combinatorial optimization scheduling problem that allocates a set of shifts to the group of nurses concerning the schedule period subject to the constraints. The objective of the NSP is to create a schedule that satisfies both hard and soft constraints suggested by the healthcare management. This work explores the meta-heuristic approach to an artificial bee colony algorithm with the Nelder–Mead method (NM-ABC) to perform efficient nurse scheduling. Nelder–Mead (NM) method is used as a local search in the onlooker bee phase of ABC to enhance the intensification process of ABC. Thus, the author proposed an improvised solution strategy at the onlooker bee phase with the benefits of the NM method. The proposed algorithm NM-ABC is evaluated using the standard dataset NSPLib, and the experiments are performed on various-sized NSP instances. The performance of the NM-ABC is measured using eight performance metrics: best time, standard deviation, least error rate, success percentage, cost reduction, gap, and feasibility analysis. The results of our experiment reveal that the proposed NM-ABC algorithm attains highly significant achievements compared to other existing algorithms. The cost of our algorithm is reduced by 0.66%, and the gap percentage to move towards the optimum value is 94.30%. Instances have been successfully solved to obtain the best deal with the known optimal value recorded in NSPLib. Full article
(This article belongs to the Special Issue Combinatorial Optimization Problems in Planning and Decision Making)
Show Figures

Figure 1

15 pages, 5731 KB  
Article
A Hybrid Rao-NM Algorithm for Image Template Matching
by Xinran Liu, Zhongju Wang, Long Wang, Chao Huang and Xiong Luo
Entropy 2021, 23(6), 678; https://doi.org/10.3390/e23060678 - 27 May 2021
Cited by 8 | Viewed by 3847
Abstract
This paper proposes a hybrid Rao-Nelder–Mead (Rao-NM) algorithm for image template matching is proposed. The developed algorithm incorporates the Rao-1 algorithm and NM algorithm serially. Thus, the powerful global search capability of the Rao-1 algorithm and local search capability of NM algorithm is [...] Read more.
This paper proposes a hybrid Rao-Nelder–Mead (Rao-NM) algorithm for image template matching is proposed. The developed algorithm incorporates the Rao-1 algorithm and NM algorithm serially. Thus, the powerful global search capability of the Rao-1 algorithm and local search capability of NM algorithm is fully exploited. It can quickly and accurately search for the high-quality optimal solution on the basis of ensuring global convergence. The computing time is highly reduced, while the matching accuracy is significantly improved. Four commonly applied optimization problems and three image datasets are employed to assess the performance of the proposed method. Meanwhile, three commonly used algorithms, including generic Rao-1 algorithm, particle swarm optimization (PSO), genetic algorithm (GA), are considered as benchmarking algorithms. The experiment results demonstrate that the proposed method is effective and efficient in solving image matching problems. Full article
(This article belongs to the Special Issue Unconventional Methods for Particle Swarm Optimization II)
Show Figures

Figure 1

16 pages, 2270 KB  
Article
Comparison of Flux-Switching and Interior Permanent Magnet Synchronous Generators for Direct-Driven Wind Applications Based on Nelder–Mead Optimal Designing
by Vladimir Prakht, Vladimir Dmitrievskii, Vadim Kazakbaev and Ekaterina Andriushchenko
Mathematics 2021, 9(7), 732; https://doi.org/10.3390/math9070732 - 29 Mar 2021
Cited by 5 | Viewed by 3271
Abstract
The permanent magnet flux-switching machine (PMFSM) is one of the most promising machines with magnets inserted into the stator. To determine in which applications the use of PMFSM is promising, it is essential to compare the PMFSM with machines of other types. This [...] Read more.
The permanent magnet flux-switching machine (PMFSM) is one of the most promising machines with magnets inserted into the stator. To determine in which applications the use of PMFSM is promising, it is essential to compare the PMFSM with machines of other types. This study provides a theoretical comparison of the PMFSM with a conventional interior permanent magnet synchronous machine (IPMSM) in the gearless generator of a low-power wind turbine (332 rpm, 51.4 Nm). To provide a fair comparison, both machines are optimized using the Nelder–Mead algorithm. The minimized optimization objectives are the required power of frequency converter, cost of active materials, torque ripple and losses of a generator averaged over the working profile of the wind turbine. In order to reduce the computational time, the substituting profile method is applied. Based on the results of the calculations, the advantages and disadvantages of the considered machines were revealed: the IPMSM has significantly lower losses and higher efficiency than the PMFSM, and the PMFSM requires much less rare-earth magnets and copper and is, therefore, cheaper in mass production. Full article
Show Figures

Figure 1

18 pages, 5988 KB  
Article
Compact Wideband MIMO Diversity Antenna for Mobile Applications Using Multi-Layered Structure
by Omer Arabi, Chan Hwang See, Atta Ullah, Nazar Ali, Bo Liu, Raed Abd-Alhameed, Neil J. McEwan and Peter S. Excell
Electronics 2020, 9(8), 1307; https://doi.org/10.3390/electronics9081307 - 14 Aug 2020
Cited by 15 | Viewed by 5915
Abstract
A closely packed wideband multiple-input multiple-output (MIMO)/diversity antenna (of two ports) with a small size of less than 18.5 mm by 18.5 mm is proposed for mobile communication applications. The antenna can be orthogonally configured for corner installation or by placing it on [...] Read more.
A closely packed wideband multiple-input multiple-output (MIMO)/diversity antenna (of two ports) with a small size of less than 18.5 mm by 18.5 mm is proposed for mobile communication applications. The antenna can be orthogonally configured for corner installation or by placing it on a back-to-back structure for compact modules. To enhance the isolation and widen the bandwidth, the antenna is structured with multiple layers having differing dielectric constants. The feeding through a via significantly reduces the ground waves. A multi-fidelity surrogate model-assisted design exploration method is employed to obtain the optimized antenna geometric parameters efficiently. The antenna design was investigated using electromagnetic simulation and a physical realization of the optimal design was then created and subjected to a range of tests. The specific parameters investigated included reflection coefficients, mutual coupling between the input ports, radiation patterns, efficiency and parameters specific to MIMO behavior: envelope correlation coefficient and pattern diversity multiplexing coefficient. It was found that the antenna has an impedance bandwidth of approximately 4 GHz, mutual coupling between input ports of better than −18 dB and an envelope correlation coefficient of less than 0.002 across the operating band. This makes it a good candidate design for many mobile MIMO applications. Full article
(This article belongs to the Special Issue Design and Theoretical Study of New Antennas)
Show Figures

Figure 1

14 pages, 9565 KB  
Article
Fractional-Order Modeling and Parameter Identification for Ultracapacitors with a New Hybrid SOA Method
by Jianhua Guo, Weilun Liu, Liang Chu and Jingyuan Zhao
Energies 2019, 12(22), 4251; https://doi.org/10.3390/en12224251 - 8 Nov 2019
Cited by 4 | Viewed by 2345
Abstract
This paper deals with an ultracapacitor (UC) model and its identification procedure. To take UC’s fractional characteristic into account, two constant phase elements (CPEs) are used to construct a model structure according to impedance spectrum analysis. The different behaviors of UC such as [...] Read more.
This paper deals with an ultracapacitor (UC) model and its identification procedure. To take UC’s fractional characteristic into account, two constant phase elements (CPEs) are used to construct a model structure according to impedance spectrum analysis. The different behaviors of UC such as capacitance, resistance, and charge distribution dynamics are simulated by the corresponding part in the model. The resistance under different voltages is calculated through the voltage rebound method to explore its non-linear characteristics and create a look-up table. A nonlinear fractional model around an operation voltage is then deduced by applying the resistance table. This time identification is carried by a proposed hybrid optimization algorithm: Nelder-Mead seeker algorithm (NMSA), which embeds the Nelder–Mead Simplex (NMS) method into the seeker optimization algorithm (SOA). Its time behavior has been compared with the linear fractional model for charging and discharging current profiles at different levels. Full article
(This article belongs to the Special Issue Advances in Supercapacitor Technology and Applications)
Show Figures

Graphical abstract

18 pages, 4624 KB  
Article
Derivative-Free Direct Search Optimization Method for Enhancing Performance of Analytical Design Approach-Based Digital Controller for Switching Regulator
by Ghulam Abbas, Muhammad Qumar Nazeer, Valentina E. Balas, Tsung-Chih Lin, Marius M. Balas, Muhammad Usman Asad, Ali Raza, Muhammad Naeem Shehzad, Umar Farooq and Jason Gu
Energies 2019, 12(11), 2183; https://doi.org/10.3390/en12112183 - 7 Jun 2019
Cited by 5 | Viewed by 3684
Abstract
Although an analytical design approach-based digital controller—which is essentially a deadbeat controller—shows zero steady-state error and no intersampling oscillations, it takes a finite number of sampling periods to settle down to a steady-state value. This paper describes the application of a derivative-free Nelder–Mead [...] Read more.
Although an analytical design approach-based digital controller—which is essentially a deadbeat controller—shows zero steady-state error and no intersampling oscillations, it takes a finite number of sampling periods to settle down to a steady-state value. This paper describes the application of a derivative-free Nelder–Mead (N–M) simplex method to the digital controller for retuning of its coefficients intelligently to ensure improved settling and rise times without disturbing the deadbeat controller characteristics (i.e., no ripples between the sampling periods and no steady-state error). A switching-mode buck regulator working at 1 MHz in continuous conduction mode (CCM) is considered as a plant. Numerical simulation results depict that the N–M algorithm-based optimized digital controller not only shows improved steady-state and transient performance but also guarantees rigorous robustness against model uncertainty and disturbance as compared to its traditional counterpart, as well as the other optimized digital controller fine-tuned through other derivative-free metaheuristic optimization techniques, such as the genetic algorithm (GA). A system generator-based hardware software co-simulation is also performed to validate the simulation results. Full article
(This article belongs to the Special Issue Adaptive Fuzzy Control)
Show Figures

Figure 1

Back to TopTop