Sign in to use this feature.

Years

Between: -

Subjects

remove_circle_outline
remove_circle_outline
remove_circle_outline
remove_circle_outline
remove_circle_outline
remove_circle_outline
remove_circle_outline
remove_circle_outline
remove_circle_outline

Journals

Article Types

Countries / Regions

remove_circle_outline
remove_circle_outline
remove_circle_outline
remove_circle_outline

Search Results (418)

Search Parameters:
Keywords = NP fertilization

Order results
Result details
Results per page
Select all
Export citation of selected articles as:
21 pages, 1660 KB  
Review
Zinc Oxide Nanoparticles: Synthesis, Characterization and Applications in Agriculture
by Adriana Morfín-Gutiérrez, Josué I. García-López, Patricia A. de León-Martínez, Norma A. Ruiz-Torres, Agustín Hernández-Juárez, Perpetuo Álvarez-Vázquez and Antonio Flores-Naveda
Agrochemicals 2026, 5(1), 12; https://doi.org/10.3390/agrochemicals5010012 - 5 Mar 2026
Abstract
Zinc (Zn) is a mineral that plays a vital role in the growth and development processes of different plants. Although it is required in small quantities, its presence is essential in a crop. In recent years, zinc oxide nanoparticles (ZnO NPs) have garnered [...] Read more.
Zinc (Zn) is a mineral that plays a vital role in the growth and development processes of different plants. Although it is required in small quantities, its presence is essential in a crop. In recent years, zinc oxide nanoparticles (ZnO NPs) have garnered significant interest in agriculture due to their unique physical and chemical properties. As a result, they can be used as alternative fertilizers to help crops experiencing mineral deficiency, stress, or fungal problems. These nanomaterials can be obtained through various synthesis methods, including sol–gel, chemical precipitation, microemulsion, and green synthesis, among others. This enables managing their size, shape, and internal arrangement, establishing their ultimate characteristics and feasible uses. In this review, we will present some of the most commonly used synthesis methods for obtaining ZnO NPs, the frequently used characterization techniques, as well as some of the positive and toxic effects caused by their application in crops. Full article
(This article belongs to the Section Fertilizers and Soil Improvement Agents)
Show Figures

Figure 1

23 pages, 1518 KB  
Article
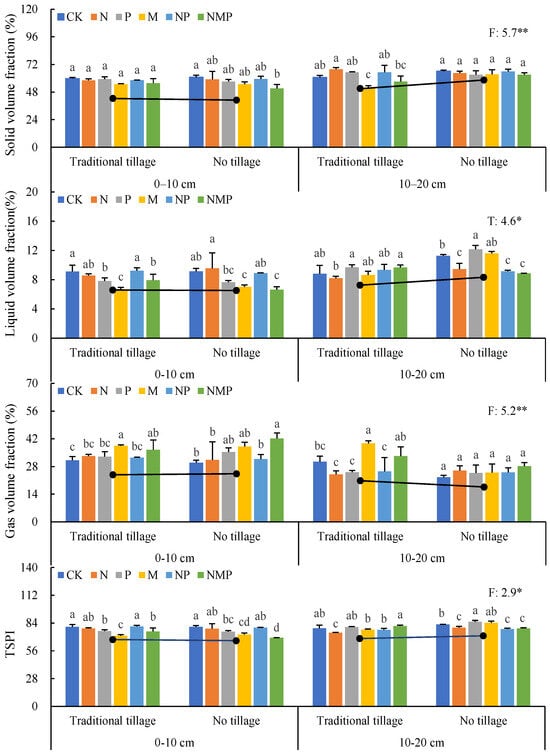
Effect of Tillage and Fertilization Practices on Soil Physical Properties and Grain Yield in the Tableland Region of China’s Loess Plateau
by Xujiao Zhou, Shuying Wang, Jianjun Zhang, Gang Zhao, Yi Dang, Lei Wang, Gang Zhou, Wenbo Mi, Jingyu Hu, Shangzhong Li, Tinglu Fan and Wanli Cheng
Agriculture 2026, 16(5), 591; https://doi.org/10.3390/agriculture16050591 - 4 Mar 2026
Abstract
Water scarcity, poor soil, and low water and fertilizer utilization are major challenges on agricultural production in the tableland region of China’s Loess Plateau. Optimizing tillage patterns and improving soil nutrient status can improve crop yield and water and fertilizer utilization efficiency. A [...] Read more.
Water scarcity, poor soil, and low water and fertilizer utilization are major challenges on agricultural production in the tableland region of China’s Loess Plateau. Optimizing tillage patterns and improving soil nutrient status can improve crop yield and water and fertilizer utilization efficiency. A field trial was initiated in 2005 to assess the impacts of various tillage and fertilization practices on dryland agricultural production. A split-plot design was used, with tillage practices (traditional tillage and no tillage) as the main plot treatment and fertilization management (no fertilization (CK), mineral nitrogen (N), mineral phosphorus (P), composted cow manure (M), a combination of mineral nitrogen and phosphorus (NP), and a combination of mineral nitrogen, phosphorus, and composted cow manure (NMP)) as the split-plot treatment. An experiment was conducted from 2022 to 2024. The NMP treatment resulted in lower bulk density, a lower three-soil-phase index, and higher mean weight diameter, geometric mean diameter, soil water storage, total nitrogen, and soil organic matter than the CK. In the no-tillage treatment, the crop roots were less effective at extracting water from the deep subsoil, leading to greater residual moisture at depth (especially in the 120–200 cm soil layer) and lower yield and water use efficiency than in traditional tillage. The grain yield and water use efficiency were 9.2% and 8.4% lower, respectively, under no tillage than under traditional tillage. The NMP under traditional tillage exhibited lower surface soil bulk density and a higher three-soil-phase index, mean weight diameter, geometric mean diameter, soil organic matter, total nitrogen, and water use efficiency than the unfertilized control, resulting in higher grain yields. The NMP under traditional tillage is recommended to increase grain yield and water use efficiency in wheat–maize rotation systems in the tableland region of China’s Loess Plateau. Future studies should analyze the deep root architecture and the effect of weed competition on soil water depletion. Full article
Show Figures

Figure 1

27 pages, 1529 KB  
Article
Water Regime Effects on Phosphorus Mobility and the Performance of Liquid Phosphorus Fertilizers in Contrasting Soils
by Lucian Raus and Diana Elena Bolohan
Agriculture 2026, 16(5), 568; https://doi.org/10.3390/agriculture16050568 - 2 Mar 2026
Viewed by 70
Abstract
The behavior of phosphorus (P) fertilizers in soil is governed not only by fertilizer solubility, but also by P mobility and vertical redistribution within the soil profile under contrasting water regime. This study aimed to investigate the combined effects of water regime, fertilizer [...] Read more.
The behavior of phosphorus (P) fertilizers in soil is governed not only by fertilizer solubility, but also by P mobility and vertical redistribution within the soil profile under contrasting water regime. This study aimed to investigate the combined effects of water regime, fertilizer type, and soil properties on the vertical redistribution of ammonium acetate–lactate extractable phosphorus (P-AL) in the surface soil layer under controlled pot conditions. Experiments were conducted using three soils with contrasting chemical properties: AC-LO (acidic loam, pH 5.9), NE-CL (neutral clay loam, pH 6.8), and AL-SL (alkaline sandy loam, pH 8.0). Four simulated rainfall regimes were applied at a constant rate of 25 mm day−1, corresponding to cumulative water inputs of 0 mm (W0), 50 mm (W50), 100 mm (W100), and 150 mm (W150). Fertilizer treatments included an unfertilized control (NF), a liquid NP 4–18 fertilizer applied at a low dose (L1), a liquid NP 4–18 fertilizer applied at a high dose (L2), and a solid NPK 15–15–15 fertilizer (S). Water regime exerted the strongest control on P mobility, with P-AL increasing by approximately 40–60% from W0 to W150, depending on soil type. In AC-LO, strong P fixation under low moisture minimized differences among fertilizer treatments, whereas under higher moisture (W100–W150), liquid fertilizers—particularly L2—resulted in P-AL levels approximately 10–30% higher than those of the solid fertilizer. In NE-CL, P mobility was moderate and, under W100–W150, L2 produced P-AL values approximately 10–15% higher than the solid fertilizer, promoting a more uniform P redistribution within the 2–8 cm layer. In AL-SL, the response under wet conditions depended on the water regime: at W100, L2 generated P-AL values comparable to the solid fertilizer, whereas at W150, L2 increased P-AL by approximately 11% relative to the solid form. Overall, the results indicate that soil chemical properties primarily regulate the extent of phosphorus redistribution, while water regime controls its intensity and fertilizer form influences the initial spatial configuration of P within the surface soil layer. The findings provide mechanistic insight into short-range phosphorus transport in soil, without allowing direct inferences regarding agronomic efficiency or crop response. Full article
Show Figures

Figure 1

48 pages, 4845 KB  
Review
Potential Applications of Chitosan and Chitosan-Based Materials in Farm Animal Reproductive Management: Direct and Indirect Implications
by Eman M. Hassanein and Ottó Szenci
Polymers 2026, 18(5), 616; https://doi.org/10.3390/polym18050616 - 28 Feb 2026
Viewed by 146
Abstract
Chitosan (CH) is a natural biopolymer obtained from the deacetylation process of chitin found in the exoskeleton of crustaceans. Recently, CH has been used as a multifunctional molecule in farm animal health, production, and reproduction. CH has an exceptional chemical structure and physicochemical [...] Read more.
Chitosan (CH) is a natural biopolymer obtained from the deacetylation process of chitin found in the exoskeleton of crustaceans. Recently, CH has been used as a multifunctional molecule in farm animal health, production, and reproduction. CH has an exceptional chemical structure and physicochemical properties that confer valuable properties, such as biocompatibility, biodegradability, antimicrobial and antioxidant activities, immune modulation, mucoadhesion, and controlled release capabilities. These properties enable CH to be formulated in various forms, including raw CH, chitosan oligosaccharides (COSs), microparticles, nanoparticles (NPs), solutions, gels, and films, thereby expanding its applicability for improving fertility and enhancing reproductive performance in farm animals. Several reports have described various applications of CH and CH-based materials in animal reproduction, including dietary supplementation, sperm preservation, in vitro embryo production (IVEP), treatment of uterine infections such as metritis/endometritis, and integration into synchronization protocols as a hormone delivery system. Therefore, this review outlines the potential applications of CH and CH-based materials to improve reproductive performance in farm animals through both direct and indirect mechanisms. Full article
(This article belongs to the Special Issue Multifunctional Applications of Chitosan-Based Materials)
Show Figures

Figure 1

16 pages, 14090 KB  
Article
Nitrogen-Driven Reorganization of Soil N:P Across an Erosion–Deposition Gradient in Black Soil Hillslopes
by Rui Qian, Lei Gao, Xinhua Peng, Shuai Liu and Junjie Liu
Agronomy 2026, 16(5), 497; https://doi.org/10.3390/agronomy16050497 - 24 Feb 2026
Viewed by 266
Abstract
Soil erosion intensifies the redistribution and loss of soil nutrients. However, how erosion–deposition processes shape the spatial patterns of soil total nitrogen to total phosphorus (TN:TP) ratio in long-term eroded landscapes remains poorly understood. In this study, we examined the spatial variability of [...] Read more.
Soil erosion intensifies the redistribution and loss of soil nutrients. However, how erosion–deposition processes shape the spatial patterns of soil total nitrogen to total phosphorus (TN:TP) ratio in long-term eroded landscapes remains poorly understood. In this study, we examined the spatial variability of TN, TP, and the N:P ratio and their driving factors across a 7-ha sloping black-soil cropland in northeast China. Results showed that mean topsoil concentrations of TN and TP were 1.7 and 0.7 g kg−1, respectively, and the corresponding N:P ratio averaged 5.2, which was 46.6% lower than the Chinese average. Erosion–deposition effects were strongly depth dependent. In the 20–40 cm soil layer, all three variables declined in strongly eroded zones but increased in depositional areas, whereas in the 0–20 cm layer they were lower in depositional zones than in weakly eroded zones, indicating a vertical decoupling of nutrient redistribution under prolonged erosion. Notably, variability in soil N:P was closely associated with TN, soil organic carbon, and silt content, with TN emerging as the dominant control, as reflected by its stronger correlation with N:P (p ≤ 0.001) and higher variability (CV = 21.7–35.8%) relative to TP. Although elevation and slope gradient both influenced N:P spatial variability, only elevation showed a significant negative correlation (p ≤ 0.05). These findings indicate that, compared with TP, TN is more sensitive to long-term soil erosion and deposition and dominates the spatial pattern of the N:P ratio. The enhanced role of TN may increase the risk of N limitation in eroded farmlands. This study provides insights into the mechanisms of nutrient imbalance in eroded black soil regions and offers a scientific basis for formulating targeted soil conservation and fertility enhancement measures. Full article
(This article belongs to the Section Soil and Plant Nutrition)
Show Figures

Figure 1

38 pages, 6332 KB  
Review
Harnessing Silicon and Nanosilicon Formulations with Rhizobium/Bradyrhizobium for the Sustainable Enhancement of Biological Nitrogen Fixation in Legumes and Climate Change Mitigation
by Mohamed Hemida Abd-Alla, Elhagag A. Hassan, David Mamdouh Khalaf, Esraa A. Mohammed and Shymaa R. Bashandy
Int. J. Mol. Sci. 2026, 27(4), 2031; https://doi.org/10.3390/ijms27042031 - 21 Feb 2026
Viewed by 230
Abstract
Silicon has long been recognized as a beneficial element in plant biology. Recent advances in nanosilicon technology have revealed its transformative potential in legume-rhizobia symbiosis. This review synthesizes current knowledge on how silicon and SiO2 nanoparticles (Si-NPs) influence nodulation, microbial metabolism, and [...] Read more.
Silicon has long been recognized as a beneficial element in plant biology. Recent advances in nanosilicon technology have revealed its transformative potential in legume-rhizobia symbiosis. This review synthesizes current knowledge on how silicon and SiO2 nanoparticles (Si-NPs) influence nodulation, microbial metabolism, and soil–plant interactions. We highlight emerging evidence that Si-NPs enhance symbiotic signaling, strengthen infection pathways, and mitigate oxidative stress, thereby supporting nitrogen fixation efficiency. Beyond the rhizosphere, nanosilicon improves soil structure, microbial diversity, and plant resilience under abiotic stress, offering a multifaceted approach to sustainable agriculture. The novelty of this review lies in its integrative perspective, connecting molecular mechanisms with ecological impacts and climate-smart applications. By examining Si-NPs across three domains—soils, rhizosphere metabolites, and plants—we provide a framework for understanding their role in enhancing productivity while reducing environmental costs. Importantly, we identify critical research gaps, including the need for standardized application protocols, large-scale field validation, sustainable nanosilicon production, and robust regulatory frameworks. These insights position nanosilicon as a promising tool for advancing legume productivity, reducing reliance on synthetic fertilizers, and contributing to global food security. This review underscores silicon’s potential not only as a plant nutrient but also as a strategic agent in climate-resilient agriculture. Full article
(This article belongs to the Section Molecular Plant Sciences)
Show Figures

Graphical abstract

17 pages, 9536 KB  
Article
Polysaccharide-Stabilized Selenium Nanoparticles Derived from Phellinus igniarius Regulate Growth and Metabolic Reprogramming in Rice
by Qingpan Bu, Ping Li, Haiyuyan Yang, Xiaodan Wang, Yinghui Gu, Lihui Zhang and Kai Song
Plants 2026, 15(4), 632; https://doi.org/10.3390/plants15040632 - 16 Feb 2026
Viewed by 339
Abstract
To address the instability of conventional selenium fertilizers, we developed Phellinus igniarius polysaccharide-stabilized selenium nanoparticles (SH-SeNPs). These ~90 nm nanoparticles exhibited excellent stability and enhanced antioxidant capacity compared with native polysaccharides. Foliar application significantly promoted the early growth and biomass of rice without [...] Read more.
To address the instability of conventional selenium fertilizers, we developed Phellinus igniarius polysaccharide-stabilized selenium nanoparticles (SH-SeNPs). These ~90 nm nanoparticles exhibited excellent stability and enhanced antioxidant capacity compared with native polysaccharides. Foliar application significantly promoted the early growth and biomass of rice without inducing oxidative stress. Specifically, treatment with 5 mg/L SH-SeNPs increased the root length from 5.22 ± 0.78 cm (control) to 5.91 ± 0.50 cm, while the 45 mg/L treatment increased the shoot length from 1.63 ± 0.27 to 1.89 ± 0.35 cm during germination. Mechanistically, SH-SeNPs maintained redox homeostasis through selective enzymatic regulation. Metabolomic analysis indicated a potential strategic metabolic reprogramming: SH-SeNPs appeared to induce the diversion of carbon–nitrogen flux from free amino acids toward the shikimate and phenylpropanoid pathways. This proposed “efficient defense–robust growth” balance suggests that SH-SeNPs may act not merely as a nutrient source but also as a metabolic regulator. These findings provide insights into the mechanisms through which polysaccharide-stabilized SeNPs regulate growth and metabolism in rice during early growth stages, highlighting their potential as nano-biostimulants for seedling establishment. Full article
Show Figures

Figure 1

17 pages, 951 KB  
Article
Wheat Yield Responses to NPK Fertilizers and Nutrient Omissions for QUEFTS Model Validation in Tigray, North Ethiopia
by Shimbahri Mesfin, Mitiku Haile, Girmay Gebresamuel, Amanuel Zenebe, Abera Gebre, Okubay Giday Adhanom, Lars Olav Eik and Bal Ram Singh
Soil Syst. 2026, 10(2), 27; https://doi.org/10.3390/soilsystems10020027 - 10 Feb 2026
Viewed by 333
Abstract
Improving crop productivity largely depends on understanding soil fertility constraints and the effects of nutrient management on yield performance. Accurate determination of existing soil nutrient status and targeted application of limiting nutrients are essential for enhancing wheat (Triticum spp.) productivity. However, the [...] Read more.
Improving crop productivity largely depends on understanding soil fertility constraints and the effects of nutrient management on yield performance. Accurate determination of existing soil nutrient status and targeted application of limiting nutrients are essential for enhancing wheat (Triticum spp.) productivity. However, the specific effects of omitting one of the macronutrients such as nitrogen (N), phosphorus (P), or potassium (K) on wheat yield have not been investigated in the target area. This study employed the Quantitative Evaluation of the Fertility of Tropical Soils (QUEFTS) model to estimate the N, P, and K fertilizer requirements needed to achieve a predefined wheat yield target. The objectives were to: (i) evaluate yield responses to complete versus nutrient omission (N, P, or K) fertilization treatments, and (ii) analyze corresponding nutrient uptake and use efficiency dynamics. The experimental treatments included: (1) full NPK fertilization, (2) NP only (K omitted), (3) NK only (P omitted), (4) PK only (N omitted), and (5) an unfertilized control. Topsoil samples were analyzed and used as inputs for the QUEFTS model. Yield and agronomic data, as well as nutrient uptake and use efficiency, were measured. Model performance was validated using standard statistical metrics. Results showed that full NPK application significantly (p < 0.05) improved yield, yield components, and nutrient uptake compared to omission treatments and the control. The strong agreement between QUEFTS-predicted and observed yields highlights the model’s potential as a reliable, cost-effective decision-support tool for optimizing site-specific fertilizer recommendations. These findings demonstrate that balanced NPK fertilization markedly boosts wheat yield and nutrient uptake, while the QUEFTS model provides a powerful, reliable tool for tailoring fertilizer management to local soil conditions. Full article
Show Figures

Figure 1

22 pages, 5372 KB  
Article
Influence of Preceding Crops and Fertilization Strategies on Wheat Performance and Disease Dynamics
by Alina Șimon, Ovidiu Adrian Ceclan, Felicia Chețan, Alin Popa, Marius Bărdaș, Laura Șopterean and Ana-Maria Vălean
Nitrogen 2026, 7(1), 21; https://doi.org/10.3390/nitrogen7010021 - 9 Feb 2026
Viewed by 291
Abstract
Mineral fertilization is crucial for maximizing wheat yield, ensuring optimal nitrogen and phosphorus supply according to plant development, pedoclimatic conditions, and previous crops, with a balanced N:P ratio being decisive for productivity. This study, conducted at ARDS Turda during 2020/2021–2024/2025, evaluated the long-term [...] Read more.
Mineral fertilization is crucial for maximizing wheat yield, ensuring optimal nitrogen and phosphorus supply according to plant development, pedoclimatic conditions, and previous crops, with a balanced N:P ratio being decisive for productivity. This study, conducted at ARDS Turda during 2020/2021–2024/2025, evaluated the long-term effects of nitrogen and phosphorus fertilization on the yield, grain protein content, and foliar disease incidence of winter wheat grown after maize and soybean. The experimental design was polyfactory, in randomized blocks, including 25 variants and 6 repetitions, according to the uninterrupted protocol used since 1967, winter wheat being cultivated after maize for grain and soybean. Phosphorus (0–160 kg P2O5 ha−1) was applied in autumn, while nitrogen (0–160 kg N ha−1 after maize and 0–120 kg N ha−1 after soybean) was split 50% in autumn and 50% in spring. Results indicate that wheat yield is strongly influenced by nitrogen–phosphorus interactions and climatic conditions, with nitrogen increasing yield by 450–2700 kg·ha−1 and maximum yields of 7600–7828 kg·ha−1 achieved at N120 with higher phosphorus rates. Grain protein content (14.96%) was high at N120 dose, while foliar disease incidence and severity were low at minimal fertilization and rose with intensified mineral nutrition. Full article
Show Figures

Figure 1

16 pages, 3868 KB  
Article
Protected Area Soils as Natural Laboratories: Topographic Controls on Soil Carbon Storage and Nutrient Stoichiometry for Sustainable Ecosystem Management
by Ahu Alev Abacı Bayar
Sustainability 2026, 18(3), 1560; https://doi.org/10.3390/su18031560 - 3 Feb 2026
Viewed by 225
Abstract
There are 266 nature parks in Türkiye, including Aşıkpaşa Nature Park, covering a total area of approximately 109,023 ha; however, information regarding soil organic carbon stocks (SOCS), soil nitrogen stocks (NS), and nutrient stoichiometry in these protected forests remains limited. This study evaluates [...] Read more.
There are 266 nature parks in Türkiye, including Aşıkpaşa Nature Park, covering a total area of approximately 109,023 ha; however, information regarding soil organic carbon stocks (SOCS), soil nitrogen stocks (NS), and nutrient stoichiometry in these protected forests remains limited. This study evaluates the influence of tree species, altitude, aspect, and soil depth on nutrient stocks and stoichiometry using a 3 × 2 × 3 × 3 factorial experimental design. The findings indicate that mixed stands (Black Pine + Cedar) significantly optimize nutrient storage, reaching peak N (3.531 ± 0.115 t ha−1) and P (0.948 ± 0.016 t ha−1) stocks. SOC and N stocks reached 66.34 ± 1.86 t ha−1 and 4.032 ± 0.123 t ha−1, respectively, along the altitudinal gradient. Soil pH exhibited a steady rise with altitude (from 7.86 to 8.15), contrary to typical leaching patterns, while bulk density varied depending on Altitude × Aspect × Depth interactions. Stoichiometric analyses revealed that Cedar stands maintain higher C:K ratios (3.457 ± 0.258), reflecting superior nutrient use efficiency. Furthermore, sunny aspects prioritized nitrogen mineralization (N:P ratio: 4.540), whereas shaded aspects facilitated phosphorus retention. These results prove that soil fertility and carbon sequestration are modulated by complex topographic–biotic interactions, suggesting that preserving mixed forest structures is of vital importance for ecological sustainability and forest resilience. Full article
Show Figures

Figure 1

16 pages, 25372 KB  
Article
Non-Invasive Diagnosis of Nitrogen and Phosphorus in Hydrangea macrophylla at Seedling Stage Using RGB Images
by Jun Yang, Qunlu Liu, Zhao Liu, Qiang Xing and Jun Qin
Agronomy 2026, 16(3), 373; https://doi.org/10.3390/agronomy16030373 - 3 Feb 2026
Viewed by 342
Abstract
Rapid and accurate diagnosis of nitrogen (N) and phosphorus (P) is crucial for Hydrangea macrophylla nursery management. Traditional methods are time-consuming, and existing non-destructive studies rarely target ornamental plants or support joint N-P diagnosis at the early growth stage. A total of 339 [...] Read more.
Rapid and accurate diagnosis of nitrogen (N) and phosphorus (P) is crucial for Hydrangea macrophylla nursery management. Traditional methods are time-consuming, and existing non-destructive studies rarely target ornamental plants or support joint N-P diagnosis at the early growth stage. A total of 339 RGB images were captured from potted hydrangeas grown under varying N and P levels at the seedling stage, with 65 phenotypic traits (color, texture, and morphology) extracted. Nutritional status (deficient, optimal, and surplus) was categorized with reference to plant nutrition indices. Discriminant models were then developed using four machine learning algorithms: convolutional neural network (CNN), support vector machine (SVM), random forest (RF), and probabilistic neural network (PNN). The model performances were evaluated using overall accuracy, precision, recall, F1-score, and Cohen’s Kappa coefficient (κ). As a result, CNN achieved 82.65% accuracy (κ = 0.7392) for N classification, and SVM reached 83.65% accuracy (κ = 0.7357) for P classification. Color-related traits dominated the top five contributing features, indicating a stronger correlation with N and P status. This work offers a practical solution for real-time, low-cost, and non-destructive nutrient diagnosis, supporting precision fertilization and enhancing environmental sustainability in nursery production. Full article
Show Figures

Figure 1

25 pages, 2590 KB  
Article
Three-Year Cereal: Field Bean Intercropping Greatly Reduced Weed Abundance with Small Changes in Functional Composition
by Iduna Arduini, Dayana Naimid Esnarriaga, Marco Mariotti, Sergio Saia, Francesco Giovanni Salvo Angeletti and Silvia Pampana
Biology 2026, 15(3), 239; https://doi.org/10.3390/biology15030239 - 28 Jan 2026
Viewed by 215
Abstract
Weeds reduce crop yield but may also support agroecosystem biodiversity. The biomass and functional composition of weed communities were evaluated in cereal–field bean intercrops and sole crops, with and without NP fertilization. Intercrops were repeatedly grown in the same plots using 1:1 and [...] Read more.
Weeds reduce crop yield but may also support agroecosystem biodiversity. The biomass and functional composition of weed communities were evaluated in cereal–field bean intercrops and sole crops, with and without NP fertilization. Intercrops were repeatedly grown in the same plots using 1:1 and 2:1 cereal:field bean row ratios, while sole crops were sown at low or high density and rotated. Weeds were sampled at cereal flowering and maturity stages. Fertilization had little effect on weed biomass but tended to reduce species richness and favor cosmopolitan species. Intercropping reduced weed biomass two- to sevenfold compared with high-density cereal and legume sole crops. Plot richness was 39% lower in intercrops than in field bean and low-density cereal crops. Over three years, weed functional composition was influenced more by year than by crop system or fertilization. However, the contribution of tall weeds increased in intercrops: 51% compared to 42% in high-density sole crops and approximately 31% in low-density ones. The average frequency of types indicated early shifts in weed community structure. In conclusion, continuous cereal–field bean intercropping controlled weeds more effectively than rotated sole crops, with a slight decline in species richness and minor shifts in functional composition. Full article
(This article belongs to the Section Plant Science)
Show Figures

Figure 1

26 pages, 2196 KB  
Article
Soil Quality Index as a Predictor of Maize–Wheat System Productivity Under Long-Term Nutrient Management
by Deepika Suri, Raj Paul Sharma, Sandeep Gawdiya, Narender Kumar Sankhyan, Sandeep Manuja, Janardan Singh, Tarun Sharma, Nadhir Al-Ansari, Mohamed A. Mattar and Ali Salem
Land 2026, 15(1), 183; https://doi.org/10.3390/land15010183 - 20 Jan 2026
Viewed by 313
Abstract
The long-term effects of integrated nutrient management (INM) on crop performance and soil health—particularly within sub-humid environments—remain insufficiently explored. This research aimed to quantify the relationship between the soil quality index (SQI) and overall system productivity. The SQI represents a numerical indicator of [...] Read more.
The long-term effects of integrated nutrient management (INM) on crop performance and soil health—particularly within sub-humid environments—remain insufficiently explored. This research aimed to quantify the relationship between the soil quality index (SQI) and overall system productivity. The SQI represents a numerical indicator of soil functioning and its biological and chemical integrity, while system productivity reflects the economic yield generated by the cropping system. A long-term experiment initiated in 1972 formed the foundation for this study, which was conducted from 2019 to 2021 and included eleven nutrient management treatments. These comprised the following treatments: inorganic fertilizers alone (100% NPK, 150% NPK, 100% NP, 100% N, and 100% NPK without sulfur); combinations of organic and inorganic inputs (50% NPK + FYM and 100% NPK + FYM); lime with inorganic fertilizers (100% NPK + lime); zinc with inorganics (100% NPK + Zn); hand weeding with inorganics (100% NPK + HW); an unfertilized control. The study was implemented in a maize–wheat rotation under the sub-humid climatic conditions of Palampur, Himachal Pradesh, India. System productivity was estimated using wheat grain equivalent yield, and SQI values were generated from selected soil properties. These indicators—along with the sustainable yield index (SYI)—were applied to assess the effectiveness of each treatment. The results showed that the 100% NPK + FYM combination produced the highest SQI, followed by 100% NPK + lime, whereas the 100% N treatment yielded the lowest value. Overall, the findings highlight the crucial role of adopting sustainable nutrient management practices to maintain soil quality and optimize productivity in sub-humid agricultural systems. Full article
(This article belongs to the Section Land, Soil and Water)
Show Figures

Figure 1

20 pages, 1584 KB  
Review
Plastic Particles and Female Fertility: Pathways, Toxicity, and Analytical Challenges
by Vanda Rísová, Lívia Gajdošová, Rami Saade, Olia El Hassoun Sečanská, Martin Kopáni and Štefan Polák
Microplastics 2026, 5(1), 3; https://doi.org/10.3390/microplastics5010003 - 1 Jan 2026
Viewed by 823
Abstract
Microplastics (MPs) and nanoplastics (NPs) are widespread environmental contaminants with documented impacts on human health, particularly on the female reproductive system. Defined as polymeric fragments smaller than 5 mm, MPs (typically ranging from 1 µm to 5 mm) and NPs (smaller than 1 [...] Read more.
Microplastics (MPs) and nanoplastics (NPs) are widespread environmental contaminants with documented impacts on human health, particularly on the female reproductive system. Defined as polymeric fragments smaller than 5 mm, MPs (typically ranging from 1 µm to 5 mm) and NPs (smaller than 1 µm, often <100 nm) originate either from primary sources—intentionally manufactured for specific industrial applications—or from secondary sources through physical, chemical, or biological degradation of macroplastics. Human exposure occurs via multiple routes, including ingestion, inhalation, dermal absorption, and iatrogenic introduction, with growing evidence that these particles can accumulate in the ovaries, oocytes, and placental tissue. Experimental studies in rodents demonstrate that MPs and NPs induce oxidative stress, trigger inflammatory responses, and promote granulosa cell apoptosis, ultimately diminishing ovarian reserve and impairing folliculogenesis. Clinical and pilot human studies have confirmed the presence of MPs in placentas, umbilical cord blood, and meconium, indicating exposure from the earliest stages of development. Moreover, MPs and NPs may disrupt the hypothalamic–pituitary–ovarian axis, contributing to endocrine dysregulation and hormonal imbalance. Analytical methods such as Fourier-transform infrared spectroscopy, Raman spectroscopy, and scanning electron microscopy enable detection of these particles in biological samples, although methodological standardization remains insufficient. This paper summarizes current evidence on the exposure pathways, toxicological effects, and reproductive consequences of MPs and NPs in women. It further highlights existing research gaps and evaluates available analytical approaches to support future studies and develop strategies aimed at mitigating their detrimental impact on women’s reproductive health and fertility. Full article
Show Figures

Figure 1

16 pages, 1624 KB  
Review
The Impact of Nanoplastics on the Quality of Fish Sperm: A Review
by Hayam Djafar, Saira Naz, Maria Montserrat Rivera Del Alamo, Juan Carlos Balasch and Mariana Teles
Animals 2026, 16(1), 94; https://doi.org/10.3390/ani16010094 - 29 Dec 2025
Viewed by 522
Abstract
Pollution in aquatic ecosystems is intensifying under the combined pressures of climate change and anthropogenic contaminants, with nanoplastics (NPs) emerging as a critical threat to fish reproduction. Although extensive research has demonstrated the physiological impacts of NPs, their direct effects on sperm quality [...] Read more.
Pollution in aquatic ecosystems is intensifying under the combined pressures of climate change and anthropogenic contaminants, with nanoplastics (NPs) emerging as a critical threat to fish reproduction. Although extensive research has demonstrated the physiological impacts of NPs, their direct effects on sperm quality and functionality remain poorly characterized. This review synthesizes evidence from original research articles that specifically examined NPs’ impacts on fish sperm quality and related reproductive endpoints. The findings reveal that NPs consistently impair sperm motility, viability, and fertilization capacity, while inducing oxidative stress, DNA damage, mitochondrial dysfunction, and endocrine disruption. Particle size, surface chemistry, and exposure route were identified as key determinants of toxicity, with direct sperm exposure causing immediate impairments and chronic or maternal transfer exposures leading to systemic and transgenerational effects. Notably, several studies reported reduced offspring survival, altered development, and disrupted gene expression, highlighting the intergenerational risks of NPs contamination. Despite these advances, significant knowledge gaps remain, including limited research on marine wild and cultured fish species, the effects of diverse life histories on NPs toxicity, environmentally relevant exposure levels, and the combined effects of NPs with other stressors. Overall, this review underscores that fish sperm are highly sensitive to NPs pollution, with consequences that extend across generations and threaten population stability, calling for urgent mechanistic and ecologically realistic investigations. Full article
Show Figures

Figure 1

Back to TopTop