Sign in to use this feature.

Years

Between: -

Subjects

remove_circle_outline
remove_circle_outline
remove_circle_outline
remove_circle_outline
remove_circle_outline
remove_circle_outline
remove_circle_outline
remove_circle_outline
remove_circle_outline

Journals

Article Types

Countries / Regions

Search Results (18)

Search Parameters:
Keywords = NOx and ozone detection

Order results
Result details
Results per page
Select all
Export citation of selected articles as:
15 pages, 3578 KB  
Article
Investigation of the Earliest Ozone Pollution Events in Hangzhou Bay, China Based on Observations and ERA5 Reanalysis Data
by Tianen Yao, Xinhao Li, Zhi Li, Xinyu Yang, Jinjia Zhang, Yaqi Wang, Jianhui Guo and Jing Li
Toxics 2025, 13(2), 99; https://doi.org/10.3390/toxics13020099 - 27 Jan 2025
Cited by 2 | Viewed by 1141
Abstract
Ozone pollution in Hangzhou Bay, one of the seven petrochemical clusters in China, is severe. Early ozone pollution has been detected recently, such as the maximum daily 8 h average (MDA8) ozone concentration in Jiaxing achieving 171.0 μg/m3 on 7 March 2023. [...] Read more.
Ozone pollution in Hangzhou Bay, one of the seven petrochemical clusters in China, is severe. Early ozone pollution has been detected recently, such as the maximum daily 8 h average (MDA8) ozone concentration in Jiaxing achieving 171.0 μg/m3 on 7 March 2023. Satellites have observed tropospheric column concentrations of ozone precursors formaldehyde (HCHO) and nitrogen dioxide (NOx), and quantitative models are proposed to reveal the causes of the early onset of ozone pollution. VOC-limited and transitional regimes dominate most areas in Hangzhou Bay, and NOx-limited regimes dominate the region around Hangzhou Bay, such as northeastern Jiangsu Province. Results show that HCHO column concentrations are increasing in VOC-limited regions, and NOx column concentrations are increasing more rapidly than HCHO in NOx-limited regions. According to multivariate linear regression (MLR), early spring ozone pollution in Hangzhou Bay is mainly caused by meteorological drivers. Hangzhou Bay has formed an atmospheric meteorological environment with high temperature and low humidity. The richer solar radiation intensifies the photochemical reactions associated with tropospheric ozone formation, producing more tropospheric ozone. Based on the Shapley Additive Explanation (SHAP) algorithm, ozone pollution increases when solar radiation exceeds 12 million J/m2 and is accompanied by high temperatures. Overall, reducing VOC emissions helps to mitigate ozone growth in Shanghai and northern Hangzhou Bay, while reducing NOx emissions is more effective in northeastern Jiangsu Province. Full article
Show Figures

Figure 1

16 pages, 1884 KB  
Article
Indoor Air Quality in a Museum Storage Room: Conservation Issues Induced in Plastic Objects
by Maria Catrambone, Marianna Cappellina, Francesca Olivini, Elena Possenti, Ilaria Saccani and Antonio Sansonetti
Atmosphere 2024, 15(12), 1409; https://doi.org/10.3390/atmos15121409 - 23 Nov 2024
Cited by 1 | Viewed by 1588
Abstract
This study focuses on assessing the indoor air quality in a storage room (SR) belonging to Museo Nazionale Scienza e Tecnologia Leonardo da Vinci in Milan (MUST), covering pollutants originating from outdoor sources and emissions from historical plastic objects made from cellulose acetate [...] Read more.
This study focuses on assessing the indoor air quality in a storage room (SR) belonging to Museo Nazionale Scienza e Tecnologia Leonardo da Vinci in Milan (MUST), covering pollutants originating from outdoor sources and emissions from historical plastic objects made from cellulose acetate (CA), cellulose nitrate (CN), and urea–formaldehyde (UF) stored in metal cabinets. The concentrations of SO2 (sulphur dioxide), NO2 (nitrogen dioxide), NOx (nitrogen oxides), HONO (nitrous acid), HNO3 (nitric acid), O3 (ozone), NH3 (ammonia), CH3COOH (acetic acid), and HCOOH (formic acid) were determined. The concentrations of SO2, O3, and NOx measured inside the metal cabinets were consistently lower compared to the other sampling sites. This result was expected due to their reactivity and the lack of internal sources. The SR and metal cabinets showed similar concentrations of NO and NO2, except for CA, where a high NO concentration was detected. The interaction between the CA surfaces and NO2 altered the distribution of NO and NO2, leading to a significant increase in NO. The presence of HNO3 potentially led to the formation of ammonium nitrate, as confirmed by ER-FTIR measurements. High levels of HONO and HNO3 in CN and NH3 in the UF indicate object deterioration, while elevated concentrations of CH3COOH in CA and HCOOH in the SR suggest specific degradation pathways for cellulose acetate and other organic materials, respectively. These results could direct conservators towards the most appropriate practical actions. Full article
(This article belongs to the Section Air Quality)
Show Figures

Figure 1

11 pages, 1980 KB  
Article
Efficiency and Interference Verification of a HONO Collection System Using an Ultrasonic Nozzle Coupled with a Recirculating Spray Chamber for Ambient Air Monitoring
by Sea-Ho Oh, James J. Schauer, Hajeong Jeon, Dong-Hoon Ko, Seoyeong Choe and Min-Suk Bae
Appl. Sci. 2024, 14(19), 8930; https://doi.org/10.3390/app14198930 - 3 Oct 2024
Viewed by 1755
Abstract
This study explores the efficiency and applicability of a HONO collection system that incorporates an ultrasonic nozzle and spray chamber for the measurement of ambient air. The system demonstrates (1) a remarkable efficiency of 97.7% across two serial stages, (2) lower detection limits [...] Read more.
This study explores the efficiency and applicability of a HONO collection system that incorporates an ultrasonic nozzle and spray chamber for the measurement of ambient air. The system demonstrates (1) a remarkable efficiency of 97.7% across two serial stages, (2) lower detection limits of 0.15 ppbv for HONO, and (3) an absence of interference from NO2 or OH radicals. Practical ambient monitoring with the HONO collection system revealed typical diurnal variations in HONO, O3, and HNO3 concentrations, aligning with photolysis dynamics. Notably, HONO concentrations peaked at 0.37 ppb during nighttime and decreased to 0.27 ppb by midday. O3 demonstrated an inverse relationship with HONO, especially during ozone depletion phases, with r2 values of 0.94, 0.81, and 0.52 across various intervals. The HONO/NOx ratio during periods of enhanced HONO suggested the presence of additional formation mechanisms beyond heterogeneous NOx reactions. Moreover, ozone levels often fell below 20 ppb, indicating a consistent inverse correlation with HONO, thereby reaffirming further mechanisms of HONO formation beyond heterogeneous NOx reactions. The real-time atmospheric chemical reactions involving HONO, monitored concurrently with O3 and NOx, were effectively validated by the HONO collection system employed in this investigation. Full article
(This article belongs to the Section Environmental Sciences)
Show Figures

Figure 1

22 pages, 1964 KB  
Article
Spatiotemporal Distribution Characteristics and Inventory Analysis of Near-Road Traffic Pollution in Urban Areas
by Bingbing Li, Jiaren Li, Jiang Lu and Zhenyi Xu
Atmosphere 2024, 15(4), 417; https://doi.org/10.3390/atmos15040417 - 27 Mar 2024
Cited by 4 | Viewed by 2233
Abstract
Vehicle emissions belong to the category of near-surface sources, occur close to human activity areas, and pose a greater threat to human health than other anthropogenic pollution sources. Furthermore, the study of the spatiotemporal characteristics of near-road traffic pollution is of great significance [...] Read more.
Vehicle emissions belong to the category of near-surface sources, occur close to human activity areas, and pose a greater threat to human health than other anthropogenic pollution sources. Furthermore, the study of the spatiotemporal characteristics of near-road traffic pollution is of great significance to urban and regional ambient air quality management, and is also an important basis for vehicle emission inventories, as well as the assessment of ambient air impact. Most previous studies have analyzed the spatiotemporal characteristics of hydrocarbons (HCs), carbon monoxide (CO), nitrogen oxides (NOx), and carbon dioxide (CO2) in urban vehicle emissions over a certain time, without considering the synergistic effect of mobile source particulate matter, NOx, and volatile organic compounds (VOCs). In this study, we analyze the composition of vehicles with different emission standards from road mobile sources in Anqing City, China. National category III and IV vehicles are the main contribution sources of various pollutants, accounting for more than 60% of emissions. Although national category I and II vehicles accounted for less than 1% of the total number of vehicles, their contribution to emissions cannot be ignored, especially for CO and HCs, the contribution of which from such vehicles can reach about 7%. This is mainly due to the low level of pollution control arising from the larger emission factor and greater age of these vehicles. Furthermore, eliminating old cars and increasing the proportion of national category VI vehicles can effectively reduce vehicle pollutant emissions. In terms of the spatiotemporal distribution characteristics, highways around urban areas are also the main sources of heavy vehicles, and the emission intensity of these pollutants is also higher on national roads and highways surrounding urban areas. In addition, the presence of m/p-xylene and toluene solvent-using species is detected, which indicates that petrol vehicle emissions, LPG and petrol volatilization, and solvent-using sources contribute significantly to ozone formation in the ozone pollution process. Comparing weekdays and non-weekdays, the PM2.5 peaks on non-weekdays are significantly higher than those on weekdays, and there is no “weekend effect”, which indicates that traffic emissions have little influence on PM2.5 emissions, and may be related to energy use and industrial pollution. Overall, this study strengthens the understanding of the relationship between emissions, traffic volumes, and vehicle types on spatial and temporal scales, and emphasizes the need for further investigation and comprehensive measures to mitigate pollution from these emissions. Full article
(This article belongs to the Special Issue Urban Air Quality Modelling)
Show Figures

Figure 1

17 pages, 6795 KB  
Article
Observational Evidence of the Vertical Exchange of Ozone within the Urban Planetary Boundary Layer in Shanghai, China
by Yixuan Gu, Fengxia Yan, Jianming Xu, Liang Pan, Changqin Yin, Wei Gao and Hong Liao
Atmosphere 2024, 15(3), 248; https://doi.org/10.3390/atmos15030248 - 20 Feb 2024
Cited by 3 | Viewed by 2530
Abstract
The vertical mass exchange of ozone (O3) plays an important role in determining surface O3 air quality, the understanding of which, however, is greatly limited by the lack of continuous measurements in the vertical direction. Here, we characterize O3 [...] Read more.
The vertical mass exchange of ozone (O3) plays an important role in determining surface O3 air quality, the understanding of which, however, is greatly limited by the lack of continuous measurements in the vertical direction. Here, we characterize O3 variations at a high-altitude monitoring site at the top of Shanghai Tower (SHT) and discuss the potential impacts of the vertical exchange of air pollutants on O3 air quality within the urban planetary boundary layer (PBL) based on continuous measurements during 2017–2018. During the daytime, two distinct patterns of vertical O3 gradient are detected. In summer, the daytime O3 formation at SHT is observed to be more limited by nitrogen oxides (NOx) than the surface, which, together with the efficient vertical mixings, results in higher O3 levels in the upper mixing layer. In cold months, the opposite vertical gradient is observed, which is associated with weak vertical exchange and NOx-saturated O3 formation. A nighttime O3 reservoir layer and consistent morning O3 entrainments are detected all year round. These results provide direct evidence of the vertical mixings within the urban PBL, underscoring the pressing need for improving vertical resolution in near-surface layers of air quality models. Full article
(This article belongs to the Special Issue Advances in Urban Air Pollution Observation and Simulation)
Show Figures

Figure 1

13 pages, 4373 KB  
Article
An Outlier Detection Study of Ozone in Kolkata India by the Classical Statistics, Statistical Process Control and Functional Data Analysis
by Mohammad Ahmad, Weihu Cheng and Xu Zhao
Sustainability 2023, 15(17), 12790; https://doi.org/10.3390/su151712790 - 24 Aug 2023
Cited by 2 | Viewed by 1953
Abstract
Air pollution is prevalent throughout the entire world due to the release of various gases such as NOx, PM, SO2, tropospheric ozone (O3), etc. Ground-stage ozone is the predominant issue in smog and is the product of [...] Read more.
Air pollution is prevalent throughout the entire world due to the release of various gases such as NOx, PM, SO2, tropospheric ozone (O3), etc. Ground-stage ozone is the predominant issue in smog and is the product of the interplay between sunlight and emissions. The destructive impact on the health of the populace might also still occur in cities with noticeably clean air and where ozone levels hardly ever exceed safe limits. Therefore, the findings of small variations in air quality and the technique of regulating air contamination are thought-provoking. The study employs various techniques to effectively observe and assess strategies for detecting and eliminating outliers in ozone emissions from pollution episodes. This technique helps to describe the sources and exceedance values and enhance the value of monitoring the data. In this study, the data have some missing observations. The method of imputation, the classical statistical technique, the statistical process control (SPC) technique, functional data analysis (FDA), and functional process control help to fill in the data and detect outliers, trend deviations, and changes in ozone concentration at ground level. A comparison study is carried out using these three techniques: classical analysis, SPC, and FDA, and the results show how the statistical process control and functional data methods performed better than the classical technique for the detection of outliers and also in what way this methodology can enable an additional, comprehensive method of defining air pollution control measures and water pollution control measures. Full article
Show Figures

Figure 1

10 pages, 2054 KB  
Communication
Problems with and Improvement of HCHO/NO2 for Diagnosing Ozone Sensitivity—A Case in Beijing
by Yanyu Kang, Guiqian Tang, Qihua Li, Baoxian Liu, Dan Yao, Yiming Wang, Yinghong Wang, Yuesi Wang and Wenqing Liu
Remote Sens. 2023, 15(8), 1982; https://doi.org/10.3390/rs15081982 - 9 Apr 2023
Cited by 7 | Viewed by 3359
Abstract
Rfn (formaldehyde/nitrogen dioxide) is a common indicator based on satellite observations used to classify ozone formation sensitivity. However, it may underestimate anthropogenic volatile organic compounds (VOCs) in heavily polluted cities when only formaldehyde (HCHO) is used in Rfn to measure VOCs, since it [...] Read more.
Rfn (formaldehyde/nitrogen dioxide) is a common indicator based on satellite observations used to classify ozone formation sensitivity. However, it may underestimate anthropogenic volatile organic compounds (VOCs) in heavily polluted cities when only formaldehyde (HCHO) is used in Rfn to measure VOCs, since it is mainly derived from natural sources worldwide. In this study, we used multiaxis differential optical absorption spectroscopy to acquire tropospheric observations of nitrogen dioxide (NO2), HCHO and glyoxal (CHOCHO) in Beijing from 1 April 2019 to 31 March 2020. Combined with VOCs detected simultaneously by gas chromatography—mass spectrometry and proton transfer reaction–time-of-flight/mass spectrometry near the ground, we evaluated the representativeness of HCHO column densities on total VOCs (TVOC) in equivalent propylene concentrations, which is called reactivity. The results showed that there were significant seasonal differences in the response of HCHO to TVOC reactivity, with fitting slopes of 2.3 (spring), 2.6 (summer), 2.9 (autumn) and 1.0 (winter) in the four seasons, respectively. Since CHOCHO can be used to partly characterize the contribution of anthropogenic VOC emissions and demonstrated a better response to TVOC reactivity in winter, with fitting slopes of 0.2 (spring), 0.2 (summer), 0.2 (autumn) and 0.5 (winter) in the four seasons, respectively, we introduced CHOCHO to construct a new indicator (HCHO + 6 × CHOCHO). The fitting slopes of the four seasons were more similar, being 3.2 (spring), 3.6 (summer), 4.0 (autumn) and 4.0 (winter). The ratio of the new indicator to NO2, Rmn ((HCHO + 6 × CHOCHO)/NO2), was used to reclassify the ozone formation sensitivity of urban areas in North China, revealing that it is a transition regime before 1300 LST (LST = UST + 8) and an NOx-limited regime afterwards. Rmn improved the sensitivity from the VOC-limited regime to the NOx-limited regime, enhancing the sensitivity of NOx and providing new robust support for ozone pollution prevention and control. Full article
(This article belongs to the Section Atmospheric Remote Sensing)
Show Figures

Graphical abstract

15 pages, 4697 KB  
Article
A Study of Real-Time and Satellite Data of Atmospheric Pollutants during Agricultural Crop Residue Burning at a Downwind Site in the Indo-Gangetic Plain
by Neelam Baghel, Kirti Singh, Anita Lakhani, K. Maharaj Kumari and Aparna Satsangi
Pollutants 2023, 3(1), 166-180; https://doi.org/10.3390/pollutants3010013 - 7 Mar 2023
Cited by 13 | Viewed by 4155
Abstract
Crop residue burning emits a variety of air pollutants that drastically affect air quality, both locally and regionally. To study the impact of crop residue burning, in the present study, concentrations of particulate matter (PM2.5), trace gases (tropospheric ozone (O3 [...] Read more.
Crop residue burning emits a variety of air pollutants that drastically affect air quality, both locally and regionally. To study the impact of crop residue burning, in the present study, concentrations of particulate matter (PM2.5), trace gases (tropospheric ozone (O3), nitrogen oxides (NOx), carbon monoxide (CO), and volatile organic compounds (VOCs)) were recorded in Agra, a suburban downwind site. The study was conducted during the pre-harvest (15 September to 5 October 2021) and post-harvest periods (6 October to 10 November 2021). During the post-harvest period, PM2.5 concentrations were recorded to be three to four times higher than the NAAQ Standards (35 µg/m3), while O3 and VOC concentrations showed an increment of 16% and 30.4%, respectively. NOx and CO concentrations also showed higher levels (19.7 ± 7.5 ppb and 1498.5 ± 1077.5 ppb) during this period. Moderate resolution imaging spectroradiometer (MODIS), along with air mass backward trajectory analysis (HYSPLIT Model), were used to detect fire hotspots that suggested that the enhanced pollutant levels may be due to the burning of crop residue in agricultural fields over the northwest Indo-Gangetic Plain (NW-IGP). Field emission scanning electron microscopy with energy dispersive X-ray spectroscopy (FESEM-EDX) analysis showed high K concentrations during the post-harvest period, which may be attributed to crop residue burning or biomass combustion. Full article
Show Figures

Figure 1

19 pages, 3457 KB  
Article
Air Quality Assessment along China-Pakistan Economic Corridor at the Confluence of Himalaya-Karakoram-Hindukush
by Maqbool Ahmad, Khadim Hussain, Jawad Nasir, Zhongwei Huang, Khan Alam, Samreen Liaquat, Peng Wang, Waqar Hussain, Lyudmila Mihaylova, Ajaz Ali and Suhaib Bin Farhan
Atmosphere 2022, 13(12), 1994; https://doi.org/10.3390/atmos13121994 - 28 Nov 2022
Cited by 2 | Viewed by 3968
Abstract
Recently, analyses of the air quality in Pakistan have received significant interest, especially regarding the impact of air pollutant concentrations on human health. The Atlas of Baseline Environmental Profiling along the China-Pakistan Economic Corridor (CPEC) at five locations in Gilgit-Baltistan (GB) is a [...] Read more.
Recently, analyses of the air quality in Pakistan have received significant interest, especially regarding the impact of air pollutant concentrations on human health. The Atlas of Baseline Environmental Profiling along the China-Pakistan Economic Corridor (CPEC) at five locations in Gilgit-Baltistan (GB) is a major landmark in this regard due to the presence of massive glaciers in the region, which are considered as water reserves for the country. Using various statistical measurements, the air quality was analyzed at the studied geographic locations. Further, air quality was evaluated based on air pollutant data acquired from ambient air monitoring laboratories. For example, 24 h concentrations of particulate matter (PM2.5) were found to range from 25.4 to 60.1 µg/m3, with peaks in the winter season at Gilgit. It was found that PM2.5 values were 1.7 and 1.3 times greater than National Environmental Quality Standards (NEQS) standards only at Gilgit and Chilas, respectively, and 1.5 to 4 times greater than the World Health Organization (WHO) standards at all locations. Similarly, PM2.5 concentrations were found to range from 31.4 to 63.9 µg/m3, peaking at Chilas in summer 2020. The observed values were 1.1 to 1.8 times and 2 to 4.2 times greater than the NEQS and WHO standards, respectively, at all locations. In addition, the average peaks of black carbon (BC) were measured at Gilgit, both in winter (16.21 µg/m3) and summer (7.83 µg/m3). These elevated levels could be attributed to the use of heavy diesel vehicles, various road activities and different meteorological conditions. Pollutants such as carbon monoxide (CO), sulfur dioxide (SO2), nitrogen oxides (NOX) and ozone (O3) were found to be within NEQS and WHO limits. Based on air quality metrics, the effect of PM2.5 on air quality was found to be moderate in Sost, Hunza and Jaglot, while it was at unhealthy levels at Gilgit and Chilas in the winter of 2019; moderate levels were observed at Sost while unhealthy levels were detected at the remaining locations in the summer of 2020. There are no specific guidelines for BC. However, it is associated with PM2.5, which was found to be a major pollutant at all locations. The concentrations of CO, SO2 and O3 were found to be at safe levels at all locations. The major fraction of air masses is received either locally or from transboundary emissions. This study demonstrates that PM2.5 and BC are the major and prevailing air pollutants within the study region, while other air pollutants were found to be within the permissible limits of the WHO and NEQS. Full article
(This article belongs to the Special Issue Advances in Air Quality Monitoring)
Show Figures

Figure 1

16 pages, 3082 KB  
Article
Ozone Catalytic Oxidation for Gaseous Dimethyl Sulfide Removal by Using Vacuum-Ultra-Violet Lamp and Impregnated Activated Carbon
by Yoshinori Mizuno, Ahmad Guji Yahaya, Jaroslav Kristof, Marius Gabriel Blajan, Eizo Murakami and Kazuo Shimizu
Energies 2022, 15(9), 3314; https://doi.org/10.3390/en15093314 - 2 May 2022
Cited by 5 | Viewed by 2959
Abstract
Gaseous sulfur compounds are emitted from many facilities, such as wastewater facilities or biomass power plants, due to the decay of organic compounds. Gaseous dimethyl sulfide removal by ozone catalytic oxidation was investigated in this study. A Vacuum-Ultra-Violet (VUV) xenon excimer lamp of [...] Read more.
Gaseous sulfur compounds are emitted from many facilities, such as wastewater facilities or biomass power plants, due to the decay of organic compounds. Gaseous dimethyl sulfide removal by ozone catalytic oxidation was investigated in this study. A Vacuum-Ultra-Violet (VUV) xenon excimer lamp of 172 nm was used for ozone generation without NOx generation, and activated carbon impregnated with iodic acid and H2SO4 was utilized as a catalyst. Performance assessment of dimethyl sulfide removal ability was carried out by a dynamic adsorption experiment. Empty-Bed-Contact-Time (EBCT), superficial velocity, concentration of dimethyl sulfide, temperature and humidity were set at 0.48 s, 0.15 m/s, 3.0 ppm, 25 °C and 45%, respectively. Without ozone addition, the adsorption capacity of impregnated activated carbon was 0.01 kg/kg. When ozone of 7.5 ppm was added, the adsorption capacity of impregnated activated carbon was increased to 0.15 kg/kg. Methane sulfonic acid, a reaction product of dimethyl sulfide and ozone, was detected from the activated carbon. The results suggest that the VUV and activated carbon impregnated with iodic acid and H2SO4 are workable for ozone catalytic oxidation for gas treatments. Full article
Show Figures

Figure 1

17 pages, 4760 KB  
Article
Surface Ozone Pollution: Trends, Meteorological Influences, and Chemical Precursors in Portugal
by Rafaela C. V. Silva and José C. M. Pires
Sustainability 2022, 14(4), 2383; https://doi.org/10.3390/su14042383 - 19 Feb 2022
Cited by 7 | Viewed by 2808
Abstract
Surface ozone (O3) is a secondary air pollutant, harmful to human health and vegetation. To provide a long-term study of O3 concentrations in Portugal (study period: 2009–2019), a statistical analysis of ozone trends in rural stations (where the highest concentrations [...] Read more.
Surface ozone (O3) is a secondary air pollutant, harmful to human health and vegetation. To provide a long-term study of O3 concentrations in Portugal (study period: 2009–2019), a statistical analysis of ozone trends in rural stations (where the highest concentrations can be found) was first performed. Additionally, the effect of nitrogen oxides (NOx) and meteorological variables on O3 concentrations were evaluated in different environments in northern Portugal. A decreasing trend of O3 concentrations was observed in almost all monitoring stations. However, several exceedances to the standard values legislated for human health and vegetation protection were recorded. Daily and seasonal O3 profiles showed high concentrations in the afternoon and summer (for all inland rural stations) or spring (for Portuguese islands). The high number of groups obtained from the cluster analysis showed the difference of ozone behaviour amongst the existent rural stations, highlighting the effectiveness of the current geographical distribution of monitoring stations. Stronger correlations between O3, NO, and NO2 were detected at the urban site, indicating that the O3 concentration was more NOx-sensitive in urban environments. Solar radiation showed a higher correlation with O3 concentration regarding the meteorological influence. The wind and pollutants transport must also be considered in air quality studies. The presented results enable the definition of air quality policies to prevent and/or mitigate unfavourable outcomes from O3 pollution. Full article
(This article belongs to the Special Issue Air Quality Characterisation and Modelling)
Show Figures

Figure 1

19 pages, 22835 KB  
Article
The Impact of the COVID-19 Pandemic on Ambient Air Quality in China: A Quasi-Difference-in-Difference Approach
by Tuo Zhang and Maogang Tang
Int. J. Environ. Res. Public Health 2021, 18(7), 3404; https://doi.org/10.3390/ijerph18073404 - 25 Mar 2021
Cited by 14 | Viewed by 4528
Abstract
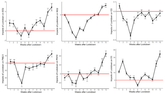
The novel coronavirus (COVID-19) pandemic has provided a distinct opportunity to explore the mechanisms by which human activities affect air quality and pollution emissions. We conduct a quasi-difference-in-differences (DID) analysis of the impacts of lockdown measures on air pollution during the first wave [...] Read more.
The novel coronavirus (COVID-19) pandemic has provided a distinct opportunity to explore the mechanisms by which human activities affect air quality and pollution emissions. We conduct a quasi-difference-in-differences (DID) analysis of the impacts of lockdown measures on air pollution during the first wave of the COVID-19 pandemic in China. Our study covers 367 cities from the beginning of the lockdown on 23 January 2020 until April 22, two weeks after the lockdown in the epicenter was lifted. Static and dynamic analysis of the average treatment effects on the treated is conducted for the air quality index (AQI) and six criteria pollutants. The results indicate that, first, on average, the AQI decreased by about 7%. However, it was still over the threshold set by the World Health Organization. Second, we detect heterogeneous changes in the level of different pollutants, which suggests heterogeneous impacts of the lockdown on human activities: carbon monoxide (CO) had the biggest drop, about 30%, and nitrogen dioxide (NO2) had the second-biggest drop, 20%. In contrast, ozone (O3) increased by 3.74% due to the changes in the NOx/VOCs caused by the decrease in NOx, the decrease of O3 titration, and particulate matter concentration. Third, air pollution levels rebounded immediately after the number of infections dropped, which indicates a swift recovery of human activities. This study provides insights into the implementation of environmental policies in China and other developing countries. Full article
Show Figures

Figure 1

28 pages, 2523 KB  
Article
Spatio-Temporal Variation of Ozone Concentrations and Ozone Uptake Conditions in Forests in Western Germany
by Hanieh Eghdami, Willy Werner and Patrick Büker
Atmosphere 2020, 11(11), 1261; https://doi.org/10.3390/atmos11111261 - 23 Nov 2020
Cited by 5 | Viewed by 3333
Abstract
The study analyzes the long-term trends (1998–2019) of concentrations of the air pollutants ozone (O3) and nitrogen oxides (NOx) as well as meteorological conditions at forest sites in German midrange mountains to evaluate changes in O3 uptake conditions [...] Read more.
The study analyzes the long-term trends (1998–2019) of concentrations of the air pollutants ozone (O3) and nitrogen oxides (NOx) as well as meteorological conditions at forest sites in German midrange mountains to evaluate changes in O3 uptake conditions for trees over time at a plot scale. O3 concentrations did not show significant trends over the course of 22 years, unlike NO2 and NO, whose concentrations decreased significantly since the end of the 1990s. Temporal analyses of meteorological parameters found increasing global radiation at all sites and decreasing precipitation, vapor pressure deficit (VPD), and wind speed at most sites (temperature did not show any trend). A principal component analysis revealed strong correlations between O3 concentrations and global radiation, VPD, and temperature. Examination of the atmospheric water balance, a key parameter for O3 uptake, identified some unusually hot and dry years (2003, 2011, 2018, and 2019). With the help of a soil water model, periods of plant water stress were detected. These periods were often in synchrony with periods of elevated daytime O3 concentrations and usually occurred in mid and late summer, but occasionally also in spring and early summer. This suggests that drought protects forests against O3 uptake and that, in humid years with moderate O3 concentrations, the O3 flux was higher than in dry years with higher O3 concentrations. Full article
Show Figures

Figure 1

20 pages, 7830 KB  
Article
Modeling Ozone Source Apportionment and Performing Sensitivity Analysis in Summer on the North China Plain
by Yujing Zhang, Yuncheng Zhao, Jie Li, Qizhong Wu, Hui Wang, Huiyun Du, Wenyi Yang, Zifa Wang and Lili Zhu
Atmosphere 2020, 11(9), 992; https://doi.org/10.3390/atmos11090992 - 17 Sep 2020
Cited by 22 | Viewed by 4368
Abstract
In recent years, air quality issues due to fine particulate matter have been sufficiently treated. However, ozone (O3) has now become the primary pollutant in summer on the North China Plain (NCP). In this study, a three-dimensional chemical transport model (the [...] Read more.
In recent years, air quality issues due to fine particulate matter have been sufficiently treated. However, ozone (O3) has now become the primary pollutant in summer on the North China Plain (NCP). In this study, a three-dimensional chemical transport model (the Nested Air Quality Prediction Model System, NAQPMS) coupled with an online source apportionment module was applied to investigate the sources of O3 pollution over the NCP. Generally, the NAQPMS adequately captured the observed spatiotemporal features of O3 during the period of July 1st to August 31st in 2017 on the NCP. The results of the source apportionment indicated that the contributions of local emissions and transport from the NCP accounted for the largest proportion of O3, with magnitudes of 25% and 39%, respectively. Compared with those in the average monthly results, the local contribution and regional transport during O3 episodes on the NCP increased by 7% and 10%, respectively. Based on sensitivity tests, two thresholds of the sensitivity indicator P(H2O2)/P(HNO3) were detected, at 0.08 and 0.2. Ozone formation in the urban sites of Beijing, Tianjin, and the southern part of Hebei Province was controlled by VOCs, while the other sites were mainly controlled by NOX. Biogenic emissions contributed approximately 18% to O3 formation in July in the southwestern part of Hebei Province. Full article
(This article belongs to the Section Air Quality)
Show Figures

Figure 1

16 pages, 2689 KB  
Article
Characteristics of Polycyclic Aromatic Hydrocarbons (PAHs) and Common Air Pollutants at Wajima, a Remote Background Site in Japan
by Xuan Zhang, Lulu Zhang, Lu Yang, Quanyu Zhou, Wanli Xing, Akira Toriba, Kazuichi Hayakawa, Yongjie Wei and Ning Tang
Int. J. Environ. Res. Public Health 2020, 17(3), 957; https://doi.org/10.3390/ijerph17030957 - 4 Feb 2020
Cited by 38 | Viewed by 5218
Abstract
Background: Background sites are mainly affected by long-range-transported air pollutants, resulting in potential adverse effects on local atmospheric environments. A 4–5 year observational study was conducted to illustrate the air pollution profile at the Kanazawa University Wajima air monitoring station (KUWAMS), an [...] Read more.
Background: Background sites are mainly affected by long-range-transported air pollutants, resulting in potential adverse effects on local atmospheric environments. A 4–5 year observational study was conducted to illustrate the air pollution profile at the Kanazawa University Wajima air monitoring station (KUWAMS), an ideal remote background site in Japan. Methods: Nine polycyclic aromatic hydrocarbons (PAHs) in the particulate phase and various air pollutants were continuously monitored for 4–5 years. Diagnostic ratios of PAHs and back-trajectory analysis were applied to trace the possible sources of the air pollutants collected at the sampling site. Results: The atmospheric concentration of PAHs in the atmosphere at the site decreased from 2014 to 2019, benefit from the predominant air pollution control policy in China and Japan. Common air pollutants including sulfur dioxide (SO2), nitrogen oxides (NOx), ozone, methane (CH4), and non-methane hydrocarbon (NMHC) were detected in low concentrations from 2016 to 2019, while ozone (O3) and particulate matter (PM2.5, PM with a diameter less than 2.5 μm) were present in high levels that exceeded the Japanese standards. Most air pollutants peaked in spring and showed evident diurnal variations in spring and summer. Conclusions: This is the first study to clarify the atmospheric behaviors of multiple air pollutants at a background site in Japan. Significant external air pollutant impact and unneglectable air pollution were demonstrated at KUWAMS, indicating the importance of studying atmospheric pollution at remote sites. Full article
Show Figures

Figure 1

Back to TopTop