Air Quality Assessment along China-Pakistan Economic Corridor at the Confluence of Himalaya-Karakoram-Hindukush
Abstract
1. Introduction
2. Area Description
3. Data and Methods
3.1. Temporal Concentrations of Air Pollutants
3.2. Meteorological Data
3.3. Statistical Analysis
3.4. Trajectory Analysis
4. Results and Discussion
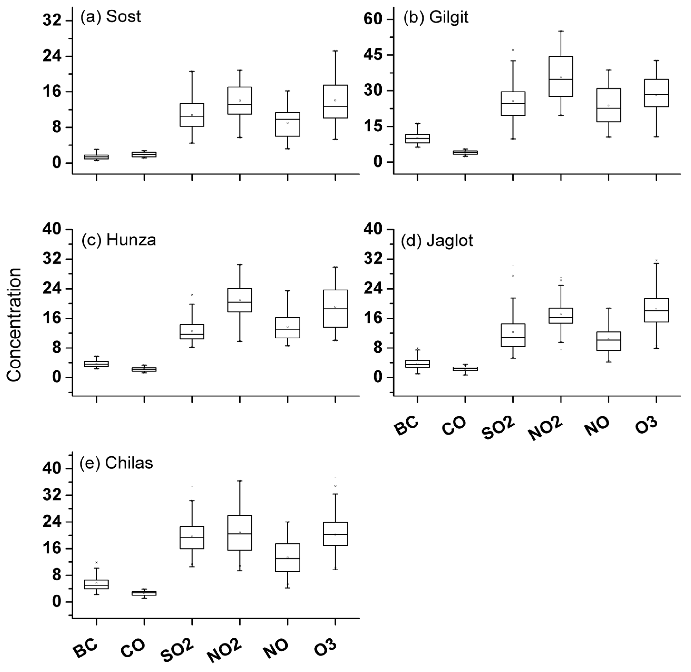
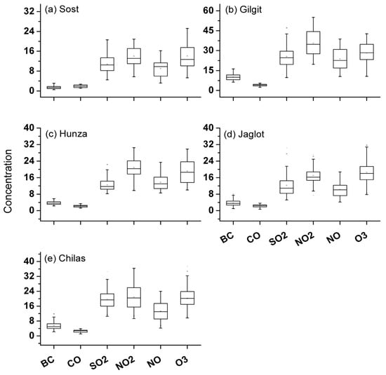
4.1. Spatiotemporal Variation of Air Pollutants
4.1.1. Variations in PM2.5 Concentrations
4.1.2. Variations in BC Concentrations
4.1.3. Variations in CO Concentrations
4.1.4. Variations in SO2 Concentrations
4.1.5. Variation in NO and NO2 Concentrations
4.1.6. Variation in O3 Concentrations
4.2. Air Quality Assessment
4.3. Influence of Air Masses on Air Pollutants
5. Conclusions
- Permanent air quality monitoring stations should be established at critical locations along the CPEC in GB for year-round monitoring of gaseous and aerosol pollutants. The collected data should be disseminated to an atmosphere knowledge hub that may be established at GB-EPA to develop the air pollution database.
- A GIS-based emission inventory of air pollutants from mobile and stationary sources should be developed and integrated with computer modeling and satellite data to identify pollutant sources and forecast future emission loads in GB.
- The GB government should adopt its own air emission standards, keeping in view the local situation and ecosystem.
- District-wise studies should be initiated in collaboration with research organizations and universities on the sources of pollutants and their impacts on health, the ecosystem and the economy.
Supplementary Materials
Author Contributions
Funding
Institutional Review Board Statement
Informed Consent Statement
Data Availability Statement
Conflicts of Interest
References
- Maleki, H.; Sorooshian, A.; Alam, K.; Fathi, A.; Weckwerth, T.; Moazed, H.; Jamshidi, A.; Babaei, A.A.; Hamid, V.; Soltani, F.; et al. The impact of meteorological parameters on PM10 and visibility during the Middle Eastern dust storms. J. Environ. Health Sci. Eng. 2022, 20, 495–507. [Google Scholar] [CrossRef] [PubMed]
- WHO. 9 out of 10 People Worldwide Breathe Polluted Air, but More Countries Are Taking Action; WHO: Geneva, Switzerland, 2018. [Google Scholar]
- Farsani, M.H.; Shirmardi, M.; Alavi, N.; Maleki, H.; Sorooshian, A.; Babaei, A.; Asgharnia, H.; Marzouni, M.B.; Goudarzi, G. Evaluation of the relationship between PM10 concentrations and heavy metals during normal and dusty days in Ahvaz, Iran. Aeolian Res. 2018, 33, 12–22. [Google Scholar] [CrossRef]
- Mannucci, P.M.; Franchini, M. Health effects of ambient air pollution in developing countries. Int. J. Environ. Res. Public Health 2017, 14, 1048. [Google Scholar] [CrossRef]
- Bari, M.A.; Kindzierski, W.B. Concentrations, sources and human health risk of inhalation exposure to air toxics in Edmonton, Canada. Chemosphere 2017, 173, 160–171. [Google Scholar] [CrossRef] [PubMed]
- Wang, Y.; Zhao, M.; Han, Y.; Zhou, J. A fuzzy expression way for air quality index with more comprehensive information. Sustainability 2017, 9, 83. [Google Scholar] [CrossRef]
- Monks, P.S.; Granier, C.; Fuzzi, S. Atmospheric composition change-global and regional air quality. Atmos. Environ. 2009, 43, 5268–5350. [Google Scholar]
- Isaksen, I.S.A.; Granier, C.; Myhre, G.; Berntsen, T.; Dalsøren, S.B.; Gauss, M.; Klimont, Z.; Benestad, R.; Bousquet, P.; Collins, T. Chapter 12-Atmospheric Composition Change: Climate–Chemistry Interactions. In The Future of the World’s Climate, 2nd ed.; Ann, H.-S., Kendal, M., Eds.; Elsevier: Boston, MA, USA, 2012; pp. 309–365. [Google Scholar]
- He, H.D.; Lu, W.Z. Urban aerosol particulates on Hong Kong roadsides: Size distribution and concentration levels with time. Stoch. Environ. Res. Risk Assess. 2012, 26, 177–187. [Google Scholar]
- Tiwary, A.; Robins, A.; Namdeo, A.; Bell, M. Air flow and concentration fields at urban road intersections for improved understanding of personal exposure. Environ. Int. 2011, 37, 1005–1018. [Google Scholar] [CrossRef] [PubMed]
- Galatioto, F.; Zito, P. Traffic parameters estimation to predict road side pollutant concentrations using neural networks. Environ. Model. Assess. 2009, 14, 365–374. [Google Scholar] [CrossRef]
- Lurie, K.; Nayebare, S.R.; Fatmi, Z.; Carpenter, D.O.; Siddique, A.; Malashock, D.; Khan, K.; Zeb, J.; Hussain, M.M.; Khatib, F.; et al. PM2.5 in a Megacity of Asia (Karachi): Source Apportionment and Health Effects. Atmos. Environ. 2019, 202, 223–233. [Google Scholar] [CrossRef]
- Landrigan, P.J. Air pollution and health. Lancet Pub. Health 2016, 2, e4–e5. [Google Scholar] [CrossRef] [PubMed]
- Forouzanfar, M.H.; Afshin, A.; Alexander, L.T.; Anderson, H.R.; Bhutta, Z.A. Global, regional, and national comparative risk assessment of 79 behavioral, environmental and occupational, and metabolic risks or clusters of risks, 1990–2015: A systematic analysis for the Global Burden of Disease Study 2015. Lancet 2016, 388, 1659–1724. [Google Scholar] [CrossRef]
- Wang, P.; Mihaylova, L.; Chakraborty, R.; Munir, S.; Mayfield, M.; Alam, K.; Khokhar, M.F.; Zheng, Z.; Jiang, C.; Fang, H. A Gaussian Process Method with Uncertainty Quantification for Air Quality Monitoring. Atmosphere 2021, 12, 1344. [Google Scholar] [CrossRef]
- Ahmad, M.; Alam, K.; Tariq, S.; Blaschke, T. Contrasting changes in snow cover and its sensitivity to aerosol optical properties in Hindukush-Karakoram-Himalaya region. Sci. Total Environ. 2020, 699, 134356. [Google Scholar] [CrossRef] [PubMed]
- Zeb, B.; Alam, K.; Sorooshian, A.; Chishtie, F.; Ahmad, I.; Bibi, H. Temporal characteristics of aerosol optical properties over the glacier region of northern Pakistan. J. Atmos. Sol. Terr. Phys. 2019, 186, 35–46. [Google Scholar] [CrossRef] [PubMed]
- Ahmad, M.; Alam, K.; Tariq, S.; Anwar, S.; Nasir, J.; Mansha, M. Estimating fine particulate concentration using a combined approach of linear regression and artificial neural network. Atmos. Environ. 2019, 219, 117050. [Google Scholar] [CrossRef]
- WHO. WHO Global Ambient Air Quality Database (Update 2018); WHO: Geneva, Switzerland, 2018. [Google Scholar]
- Link, M.F.; Kim, J.; Park, G.; Lee, T.; Park, T.; Babar, Z.B.; Sung, K.; Kim, P.; Kang, S.; Kim, J.S.; et al. Elevated production of NH4NO3 from the photochemical processing of vehicle exhaust: Implications for air quality in the Seoul Metropolitan Region. Atmos. Environ. 2017, 156, 95–101. [Google Scholar] [CrossRef]
- Health Effects Institute. State of Global Air 2019: A Special Report on Global Exposure to Air Pollution and Its Disease Burden; Health Effects Institute: Boston, MA, USA, 2019. [Google Scholar]
- Babar, Z.B.; Park, J.H.; Kang, J.; Lim, H.J. Characterization of a smog chamber for studying formation and physicochemical properties of secondary organic aerosol. Aerosol Air Qual. Res. 2016, 16, 3102–3113. [Google Scholar] [CrossRef]
- Amnesty International. Pakistan: Hazardous Air Puts Lives at Risk. Available online: https://www.amnesty.org/en/latest/news/2019/10/pakistan-hazardous-air/ (accessed on 1 June 2019).
- UNDP. Sustainable Urbanization. Dev. Advocate Pak. 2019, 5, 4. [Google Scholar]
- Babar, Z.B.; Park, J.H.; Lim, H.J. Influence of NH3 on secondary organic aerosols from the ozonolysis and photooxidation of α-pinene in a flow reactor. Atmos. Environ. 2017, 164, 71–84. [Google Scholar] [CrossRef]
- EPA. List of Designated Reference and Equivalent Methods; EPA: Washington, DC, USA, 2016; Volume 17, p. 202016-2.
- Yazdani, M.; Baboli, Z.; Maleki, H.; Birgani, Y.T.; Zahiri, M.; Chaharmahal, S.S.H.; Goudarzi, M.; Mohammadi, M.J.; Alam, K.; Sorooshian, A.; et al. Contrasting Iran’s air quality improvement during COVID-19 with other global cities. J. Environ. Health Sci. Eng. 2021, 19, 1801–1806. [Google Scholar] [CrossRef]
- Kassomenos, P.A.; Kelessis, A.; Petrakakis, M.; Zoumakis, N.; Christidis, T.; Paschalidou, A.K. Air quality assessment in a heavily polluted urban Mediterranean environment through air quality indices. Ecol. Indic. 2012, 18, 259–268. [Google Scholar] [CrossRef]
- Wang, Y.; Zhang, X.; Draxler, R.R. TrajStat: GIS-based software that uses various trajectory statistical analysis methods to identify potential sources from long-term air pollution measurement data. Environ. Model. Softw. 2009, 24, 938–939. [Google Scholar] [CrossRef]
- Chen, P.; Kang, S.; Yang, J.; Pu, T.; Li, C.; Guo, J.; Tripathee, L. Spatial and temporal variations of gaseous and particulate pollutants in six sites in Tibet, China, during 2016–2017. Aerosol Air Qual. Res. 2019, 19, 516–527. [Google Scholar] [CrossRef]
- Li, L.; Lin, G.Z.; Liu, H.Z.; Guo, Y.; Ou, C.Q.; Chen, P.Y. Can the Air Pollution Index be used to communicate the health risks of air pollution? Environ. Pollut. 2015, 205, 153–160. [Google Scholar] [CrossRef] [PubMed]
- Khan, R.; Kumar, K.R.; Zhao, T. The impact of lockdown on air quality in Pakistan during the COVID-19 pandemic inferred from the multi-sensor remote sensed data. Aerosol Air Qual. Res. 2021, 21, 200597. [Google Scholar] [CrossRef]
- Butterfield, D.; Beccaceci, S.; Quincey, P.; Sweeney, B.; Lilley, A.; Bradshaw, C.; Fuller, G.; Green, D.; Font, A. 2015 Annual Report for the UK Black Carbon Network; (NPL Report ENV7. 17 August 2020); National Physical Laboratory: Teddington, UK, 2016. [Google Scholar]
- Ur Rehman, S.A.; Cai, Y.; Siyal, Z.A.; Mirjat, N.H.; Fazal, R.; Kashif, S.U.R. Cleaner and sustainable energy production in Pakistan: Lessons learnt from the Pak-TIMES model. Energies 2019, 13, 108. [Google Scholar] [CrossRef]
- Popescu, F.; Ionel, I. Anthropogenic Air Pollution Sources; Air Quality; Kumar, A., Ed.; Intech: London, UK, 2010; pp. 1–22. [Google Scholar]
- Theophanides, M.; Anastassopoulou, J.; Theophanides, T. Air Polluted Environment and Health Effects. Indoor and Outdoor Air Pollution. Air Pollut. Environ. Health Eff. 2011, 3–28. [Google Scholar]
- Liu, H.; Liu, S.; Xue, B.; Lv, Z.; Meng, Z.; Yang, X.; Xue, T.; Yu, Q.; He, K. Ground-level ozone pollution and its health impacts in China. Atmos. Environ. 2018, 173, 223–230. [Google Scholar] [CrossRef]
- Kumar, G.; Kumar, S. Air quality index. A comparative study for assessing the status of air quality before and after lockdown for Meerut. Mater. Today Proc. 2002, 1, 3497–3500. [Google Scholar] [CrossRef]
- Kaushik, C.P.; Ravindra, K.; Yadav, K.; Mehta, S.; Haritash, A.K. Assessment of ambient air quality in urban centres of Haryana (India) in relation to different anthropogenic activities and health risks. Environ. Monit. Assess. 2006, 122, 27–40. [Google Scholar] [CrossRef] [PubMed]
- Kumar, K.R.; Sivakumar, V.; Reddy, R.R.; Gopal, K.R. Ship-borne measurements of columnar and surface aerosol loading over the bay of Bengal during W-ICARB campaign: Role of air mass transport, latitudinal and longitudinal gradients. Aerosol Air Qual. Res. 2013, 13, 818–837. [Google Scholar] [CrossRef]
- Zhou, T.; Jian, S.; Huan, Y. Temporal and Spatial Patterns of China’s Main Air Pollutants: Years 2014 and 2015. Atmosphere 2017, 8, 137. [Google Scholar] [CrossRef]
- Fleming, Z.L.; Monks, P.S.; Manning, A.J. Review: Untangling the influence of air-mass history in interpreting observed atmospheric composition. Atmos. Res. 2012, 104, 1–39. [Google Scholar] [CrossRef]













| Pollutants | Method | Instruments/Analyzers |
|---|---|---|
| Nitrogen Oxides | Reference Method RFNA-0809–186 by US EPA (40 CFR, Part 53) | NOx Analyzer, Ecotech, Australia |
| Sulfur Dioxide | Equivalent Method EQSA-0509–188 by US EPA (40 CFR, Part 53) | SO2 Analyzer, Ecotech, Australia |
| Carbon Monoxide | Reference Method RFCA-0509–174 by US EPA (40 CFR, Part 53) | CO Analyzer, Ecotech, Australia |
| Ozone | Equivalent Method EQOA-0809–187 by US EPA (40 CFR, Part 53) | Ozone Analyzer, Ecotech, Australia |
| Particulate Matter | Reference Method RFPS-0498–116 by US EPA (40 CFR Part 50) | PQ 200 BGI, USA |
| Black Carbon | Dual Spot Measurement Method | Aethalometer AE33, Magee Scientific, USA |
| Parameters | Sost | Hunza | Gilgit | Jaglot | Chilas | ||||||||||||
|---|---|---|---|---|---|---|---|---|---|---|---|---|---|---|---|---|---|
| WHO | NEQS | Min | Max | Avg | Min | Max | Avg | Min | Max | Avg | Min | Max | Avg | Min | Max | Avg | |
| * PM2.5 (µg/m3) | 15 | 35 | - | - | 25.4 | - | - | 34.2 | - | - | 60.1 | - | - | 29.3 | - | - | 48.8 |
| BC (µg/m3) | 1.7 | 3.7 | 2.6 | 2.3 | 5.8 | 3.7 | 6.3 | 16.2 | 10.1 | 1.0 | 8.1 | 3.7 | 2.2 | 11.8 | 5.5 | ||
| CO (mg/m3) | 4 | 5 | 0.7 | 2.9 | 1.9 | 1.3 | 3.5 | 2.4 | 1.8 | 5.5 | 3.7 | 0.6 | 3.5 | 2.2 | 1.0 | 3.8 | 2.5 |
| SO2 (µg/m3) | 40 | 120 | 4.5 | 20.6 | 11.1 | 8.1 | 24.7 | 13.4 | 9.8 | 47.0 | 25.2 | 5.1 | 30.4 | 12.2 | 10.5 | 34.4 | 19.6 |
| NO (µg/m3) | 40 | 3.2 | 16.2 | 9.2 | 7.7 | 23.4 | 12.6 | 10.1 | 38.7 | 21.0 | 4.1 | 18.8 | 10.2 | 4.2 | 23.9 | 13.3 | |
| NO2 (µg/m3) | 80 | 5.6 | 20.9 | 14.5 | 9.8 | 30.4 | 19.4 | 15.6 | 55.0 | 32.8 | 7.5 | 27.0 | 17.0 | 9.3 | 36.3 | 20.8 | |
| O3 (µg/m3) | 100 | 130 | 5.2 | 30.6 | 15.8 | 8.8 | 36.9 | 19.4 | 10.1 | 42.7 | 27.0 | 7.7 | 31.7 | 18.6 | 9.6 | 37.3 | 20.1 |
| Parameters | Sost | Hunza | Gilgit | Jaglot | Chilas | ||||||||||||
|---|---|---|---|---|---|---|---|---|---|---|---|---|---|---|---|---|---|
| WHO | NEQS | Min | Max | Avg | Min | Max | Avg | Min | Max | Avg | Min | Max | Avg | Min | Max | Avg | |
| PM2.5 (µg/m3) | 15 | 35 | 31.4 | 39.0 | 35.0 | 45.0 | 52.4 | 48.7 | 41.9 | 51.8 | 46.8 | 41.9 | 55.9 | 48.9 | 54.6 | 63.9 | 52.9 |
| BC (µg/m3) | 0.6 | 16.2 | 4.1 | 1.84 | 11.9 | 4.8 | 0.6 | 19.8 | 7.8 | 1.1 | 11.3 | 4.2 | 0.8 | 13.4 | 5.21 | ||
| CO (mg/m3) | 4 | 5 | 0.8 | 3.2 | 2.3 | 1.5 | 3.6 | 2.7 | 0.5 | 5.1 | 3.2 | 1.2 | 3.9 | 2.6 | 1.0 | 4.6 | 2.9 |
| SO2 (µg/m3) | 40 | 120 | 4.8 | 21.4 | 13.5 | 6.7 | 27.7 | 16.3 | 2.3 | 43.7 | 22.8 | 7.6 | 27.8 | 14.6 | 9.0 | 30.9 | 17.6 |
| NO (µg/m3) | 40 | 5.8 | 19.0 | 12.0 | 9.8 | 24.1 | 14.2 | 3.1 | 29.8 | 17.6 | 7.6 | 21.5 | 14.0 | 8.3 | 27.9 | 15.5 | |
| NO2 (µg/m3) | 80 | 8.8 | 25.4 | 17.9 | 10.9 | 38.4 | 22.2 | 6.5 | 50.5 | 28.1 | 11.7 | 34.8 | 20.1 | 10.9 | 45.2 | 24.8 | |
| O3 (µg/m3) | 100 | 130 | 13.9 | 45.2 | 26.9 | 19.3 | 50.4 | 30.0 | 4.3 | 59.1 | 31.4 | 17.1 | 48.0 | 28.7 | 20.8 | 54.5 | 33.1 |
| Winter Season 2019 | Summer Season 2020 | |||||||
|---|---|---|---|---|---|---|---|---|
| City | T (°C) | H (%) | WS (m/s) | Wind Direction | T (°C) | H (%) | WS (m/s) | Wind Direction |
| Sost | −0.8 | 80.2 | Calm-5.7 | NW & NE | 21.9 | 33.9 | 0.5 to 4.5 | NW & SE |
| Hunza | 0.4 | 78.3 | Calm-4.5 | NW & SE | 22.2 | 36.5 | 0.5 to 2.0 | SW & NW |
| Gilgit | 2.0 | 74.8 | Calm-2.4 | NW & S | 22.8 | 59.3 | 0.4 to 4.0 | NW & SW |
| Jaglot | 4.8 | 70.3 | Calm-2.1 | NW & S | 21.4 | 57.8 | 0.4 to 4.0 | NW & SE |
| Chilas | 6.4 | 69.8 | Calm-1.9 | NW & SE | 23.7 | 52.6 | 0.4 to 2.0 | NW & SW |
| No. | Station | PM2.5 | O3 | NOX | SO2 | CO |
|---|---|---|---|---|---|---|
| 1 | Sost | 79.0 | 64.9 | 7.1 | 6.3 | 19.2 |
| 2 | Hunza | 97.5 | 68.6 | 9.6 | 7.2 | 24.2 |
| 3 | Gilgit | 153.4 * | 76.0 | 16.2 | 13.6 | 36.6 |
| 4 | Jaglot | 87.2 | 67.7 | 8.4 | 6.6 | 22.3 |
| 5 | Chilas | 83.7 | 69.5 | 10.3 | 10.4 | 25.2 |
| S. No. | Station | PM2.5 | O3 | NOX | SO2 | CO |
|---|---|---|---|---|---|---|
| 1 | Sost | 99.2 | 75.1 | 8.8 | 7.5 | 22.7 |
| 2 | Hunza | 133.5 * | 53.8 | 11.0 | 8.8 | 26.8 |
| 3 | Gilgit | 128.8 * | 79.7 | 13.9 | 12.3 | 31.3 |
| 4 | Jaglot | 134.0 * | 76.9 | 10.0 | 7.9 | 25.3 |
| 5 | Chilas | 143.8 * | 81.6 | 12.2 | 9.4 | 28.4 |
Publisher’s Note: MDPI stays neutral with regard to jurisdictional claims in published maps and institutional affiliations. |
© 2022 by the authors. Licensee MDPI, Basel, Switzerland. This article is an open access article distributed under the terms and conditions of the Creative Commons Attribution (CC BY) license (https://creativecommons.org/licenses/by/4.0/).
Share and Cite
Ahmad, M.; Hussain, K.; Nasir, J.; Huang, Z.; Alam, K.; Liaquat, S.; Wang, P.; Hussain, W.; Mihaylova, L.; Ali, A.; et al. Air Quality Assessment along China-Pakistan Economic Corridor at the Confluence of Himalaya-Karakoram-Hindukush. Atmosphere 2022, 13, 1994. https://doi.org/10.3390/atmos13121994
Ahmad M, Hussain K, Nasir J, Huang Z, Alam K, Liaquat S, Wang P, Hussain W, Mihaylova L, Ali A, et al. Air Quality Assessment along China-Pakistan Economic Corridor at the Confluence of Himalaya-Karakoram-Hindukush. Atmosphere. 2022; 13(12):1994. https://doi.org/10.3390/atmos13121994
Chicago/Turabian StyleAhmad, Maqbool, Khadim Hussain, Jawad Nasir, Zhongwei Huang, Khan Alam, Samreen Liaquat, Peng Wang, Waqar Hussain, Lyudmila Mihaylova, Ajaz Ali, and et al. 2022. "Air Quality Assessment along China-Pakistan Economic Corridor at the Confluence of Himalaya-Karakoram-Hindukush" Atmosphere 13, no. 12: 1994. https://doi.org/10.3390/atmos13121994
APA StyleAhmad, M., Hussain, K., Nasir, J., Huang, Z., Alam, K., Liaquat, S., Wang, P., Hussain, W., Mihaylova, L., Ali, A., & Farhan, S. B. (2022). Air Quality Assessment along China-Pakistan Economic Corridor at the Confluence of Himalaya-Karakoram-Hindukush. Atmosphere, 13(12), 1994. https://doi.org/10.3390/atmos13121994

