Sign in to use this feature.

Years

Between: -

Subjects

remove_circle_outline
remove_circle_outline
remove_circle_outline
remove_circle_outline
remove_circle_outline
remove_circle_outline
remove_circle_outline
remove_circle_outline
remove_circle_outline

Journals

remove_circle_outline
remove_circle_outline
remove_circle_outline
remove_circle_outline
remove_circle_outline
remove_circle_outline
remove_circle_outline

Article Types

Countries / Regions

remove_circle_outline
remove_circle_outline
remove_circle_outline
remove_circle_outline
remove_circle_outline

Search Results (656)

Search Parameters:
Keywords = NDM

Order results
Result details
Results per page
Select all
Export citation of selected articles as:
19 pages, 2727 KB  
Article
Plasmid-Driven Resistome Diversity in 9700 Escherichia coli Genomes Across Phylogroups and Sequence Types
by Adel Azour, Ghassan M. Matar and Melhem Bilen
Antibiotics 2026, 15(3), 287; https://doi.org/10.3390/antibiotics15030287 - 12 Mar 2026
Viewed by 112
Abstract
Background/Objectives: Plasmids are key vehicles for the dissemination of antimicrobial resistance (AMR), yet their contribution to the global resistome architecture of Escherichia coli remains poorly resolved. This study aimed to quantify how plasmid backbones shape the distribution, mobility, and stabilization of resistance [...] Read more.
Background/Objectives: Plasmids are key vehicles for the dissemination of antimicrobial resistance (AMR), yet their contribution to the global resistome architecture of Escherichia coli remains poorly resolved. This study aimed to quantify how plasmid backbones shape the distribution, mobility, and stabilization of resistance genes across diverse phylogenetic backgrounds. Methods: We analyze 9700 high-quality genomes spanning major phylogroups and sequence types. Plasmidome reconstruction was integrated with lineage-resolved antimicrobial resistance gene (ARG) mapping to characterize plasmid–ARG associations and evolutionary patterns. Results: Although most antimicrobial resistance genes (ARGs) are chromosomal, plasmids disproportionately encode clinically important determinants including blaNDM-5, mcr-1.1, and multiple blaCTX-M alleles that show strong, recurrent associations with a restricted set of backbone families, most notably IncX3, IncX4, IncI, and IncF. These conserved plasmid–gene modules recur across phylogenetic backgrounds and continental scales. We identify a marked divergence in evolutionary strategies: generalist phylogroups (A, B1, D) maintain plasmid-rich and highly diverse resistomes, whereas globally dominant Extraintestinal Pathogenic E. coli (ExPEC) clones such as ST131 and ST410 exhibit reduced plasmid dependency and frequent chromosomal integration of extended-spectrum β-lactamase (ESBL) genes, particularly blaCTX-M-15, consistent with a shift toward vertically stabilized resistomes. By integrating plasmidome reconstruction with lineage-resolved ARG mapping, this study delivers the most extensive plasmid-focused resistome analysis to date, revealing highly modular plasmid–ARG networks structured around a small number of high-risk backbone types. These backbones account for the majority of globally relevant ARGs, including 64.6% of blaNDM-5 and 76.4% of mcr-1.1 detections. Conclusions: Together, our findings establish plasmid lineages rather than individual genes or clones as central units of AMR dissemination and critical targets for future genomic surveillance and intervention strategies. Full article
Show Figures

Figure 1

22 pages, 509 KB  
Review
The Molecular Basis of Neonatal Diabetes Mellitus and Transient Hyperglycemia in the Neonate
by Niki Dermitzaki, Anastasios Serbis, Maria Baltogianni, Chrysoula Kosmeri, Foteini Balomenou, Chrysanthi Maria Tsiogka and Vasileios Giapros
Appl. Sci. 2026, 16(6), 2649; https://doi.org/10.3390/app16062649 - 10 Mar 2026
Viewed by 141
Abstract
Neonatal diabetes mellitus (NDM) is a rare monogenic disorder characterized by persistent hyperglycemia requiring insulin therapy, typically diagnosed within the first six months of life, and may be transient οr permanent. However, hyperglycemia in the neonatal population may be observed outside the NDM [...] Read more.
Neonatal diabetes mellitus (NDM) is a rare monogenic disorder characterized by persistent hyperglycemia requiring insulin therapy, typically diagnosed within the first six months of life, and may be transient οr permanent. However, hyperglycemia in the neonatal population may be observed outside the NDM range. This narrative review aims to provide an overview of the genetic and molecular mechanisms underlying NDM, including both transient and permanent forms on the one hand and the developmental and regulatory pathways contributing to transient hyperglycemic states in neonates on the other. A comprehensive literature search of PubMed, Scopus, and Google Scholar was conducted, focusing on genetic and molecular mechanisms associated with NDM and transient neonatal hyperglycemia. Mutations in more than 40 genes or chromosomal loci have been implicated in the pathogenesis of NDM, affecting the development and function of pancreatic beta-cells, as well as insulin synthesis and secretion. Abnormalities of the 6q24 locus have been recognized as the most common cause of transient NDM, whereas mutations in genes encoding ATP-sensitive potassium (KATP) channels, particularly KCNJ11, are more commonly identified in permanent NDΜ cases. Transient hyperglycemia may occur in preterm and/or critically ill neonates due to immaturity and transient beta-cell dysregulation, insulin resistance, epigenetic modifications, or drug administration. In NDM cases, the clinical course, the presence of extra-pancreatic manifestations, and the optimal treatment depend on the causative gene. Therefore, genetic diagnosis is imperative, as it can facilitate individualized management strategies, long-term follow-up, and genetic counselling. Full article
(This article belongs to the Special Issue Advanced Studies in Molecular and Metabolic Mechanisms of Diabetes)
Show Figures

Figure 1

17 pages, 2418 KB  
Article
Characterization of an Escherichia coli ST156 Isolate Harboring an IncHI2-Type Plasmid Co-Carrying blaNDM-5 and mcr-1.1 Genes from Urban Wastewater Treatment Plants in Fengxian, Shanghai
by Qingyuan Zhang, Xiaohong Xie, Lixin Tao, Jian Wang, Yuan Shi, Huangfei Sheng, Chuanlong Liu, Hongwei Zhao, Meihua Liu and Jun Feng
Antibiotics 2026, 15(3), 275; https://doi.org/10.3390/antibiotics15030275 - 6 Mar 2026
Viewed by 300
Abstract
Background: The emergence of carbapenem-resistant enterobacteriaceae (CRE) co-harboring the mcr-1.1 gene and carbapenemase-encoding genes poses a severe threat to public health. Urban wastewater treatment plants (WWTPs) act as natural reservoirs and hotspots for the dissemination of antimicrobial resistance genes (ARGs). This study [...] Read more.
Background: The emergence of carbapenem-resistant enterobacteriaceae (CRE) co-harboring the mcr-1.1 gene and carbapenemase-encoding genes poses a severe threat to public health. Urban wastewater treatment plants (WWTPs) act as natural reservoirs and hotspots for the dissemination of antimicrobial resistance genes (ARGs). This study aimed to elucidate the molecular characteristics of CRE carrying mcr-1.1 in urban WWTPs. Methods: Samples were collected from the influent of urban WWTPs in Fengxian, Shanghai, from April 2024 to March 2025. mcr-1.1-positive Escherichia coli (E. coli) isolates were screened using real-time PCR, and their antimicrobial susceptibility was determined via the broth microdilution method. Plasmid conjugation assays were performed with E. coli C600 as the recipient strain. Whole-genome sequencing (WGS) was carried out to analyze the molecular characteristics of mcr-1.1-positive E. coli isolates. Results: A total of 312 samples were collected, and 5 (1.6%) mcr-1.1-positive E. coli isolates were identified. All isolates were multidrug-resistant (MDR) but susceptible to tigecycline (TIG). WGS of strain EC0176 (sequence type 156 [ST156], enteroaggregative E. coli [EAEC]) detected the presence of blaNDM-5, blaTEM-1, blaCTX-M-55, and mcr-1.1 as well as related virulence genes. Further analysis revealed that pEC0176 was an IncHI2-type plasmid co-harboring mcr-1.1, blaNDM-5, arr-3, aph(4)-Ia, aph(3′)-Ia, aac(3)-IVa, and mph(A). The plasmid pEC0176 harbored similar backbones as p20014-MCR, p2017.03.02CC_1, pSC2017167-mcr-256k, pEC17CM13_MCR and pGDE043-mcr1, including the type IV secretion system (T4SS) and IncHI-type conjugal transfer genes. Conjugation experiments confirmed that pEC0176 could be horizontally transferred into E. coli C600, with an average transfer efficiency of 3.3 × 10−2. Phylogenetic analysis showed that the MCR-1 protein of EC0176 is closely related to that of two human-derived E. coli strains from China (GenBank accession: AVR64822.1 and WP_076611062.1). Conclusions: To our knowledge, this is the first report of E. coli ST156 carrying an IncHI2-type plasmid co-harboring mcr-1.1 and blaNDM-5 from urban WWTPs in Fengxian, Shanghai. Our findings underscore the severe status of bacterial antimicrobial resistance and emphasize the necessity of enhancing antimicrobial resistance surveillance in urban WWTPs. Full article
Show Figures

Figure 1

15 pages, 1247 KB  
Article
Epidemiological Insights into Carbapenem-Resistant Enterobacterales Throughout the COVID-19 Pandemic in Buenos Aires, Argentina
by Francisco González-Espinosa, Francisco Magariños, Sofía Ciminello, Roque Figueroa-Espinosa, María Sol Haim, Tomas Poklepovich, Nicolas Potente, Cecilia Ormazabal, Gabriel Gutkind, Daniela Cejas and Marcela Radice
Antibiotics 2026, 15(3), 273; https://doi.org/10.3390/antibiotics15030273 - 6 Mar 2026
Viewed by 265
Abstract
Background: Carbapenem-resistant Enterobacterales (CRE) are a global public health concern, with carbapenem-resistant Klebsiella pneumoniae (CR-Kp) recognised as the highest-priority pathogen. This study aimed to investigate the epidemiological features of CRE isolates throughout the COVID-19 pandemic in Buenos Aires, Argentina. Methods: A [...] Read more.
Background: Carbapenem-resistant Enterobacterales (CRE) are a global public health concern, with carbapenem-resistant Klebsiella pneumoniae (CR-Kp) recognised as the highest-priority pathogen. This study aimed to investigate the epidemiological features of CRE isolates throughout the COVID-19 pandemic in Buenos Aires, Argentina. Methods: A prospective study was conducted in two hospitals from 2019 to 2022, recovering all CRE from inpatients. Antimicrobial susceptibility was performed by automated and/or manual tests, according to CLSI. β-lactamases detection was performed using Multiplex PCR and MALDI-TOF MS. Kp typing was assessed by multiplex PCR and/or MLST based on WGS. Results: 22% (359/1594) were CRE, predominantly CR-Kp. Overall, high non-susceptibility (NS) rates were observed in both centres. NS remained largely stable in HA, except for a significant increase in colistin NS, whereas HB showed a rise in NS to multiple antimicrobials over time. A significant shift from multidrug-resistant to extensively drug-resistant and difficult-to-treat phenotypes was observed across the study periods. Out of 359 CRE, blaKPC was confirmed in 141, blaNDM in 170, and blaKPC + blaNDM in 20 isolates. Before the COVID-19 pandemic, KPC was the main carbapenemase in HB, while NDM was already the prevalent one in HA. In 2022, both enzymes showed similar prevalence. blaKPC-2 and blaNDM-5 were the prevalent alleles in K. pneumoniae. Before the COVID-19 pandemic, K. pneumoniae epidemiology varied by hospital, characterised by clonal diversity; however, in 2022, CG258-tonB79 drove the epidemiology in both hospitals. Conclusions: A more extensive resistance phenotype among CRE was evidenced throughout the COVID-19 pandemic, driven by carbapenemase-producing K. pneumoniae. NDM-5 and KPC-2 were the main carbapenemases identified. A temporal shift in carbapenemase prevalence was observed in each hospital, converging in similar frequencies of KPC and NDM by 2022 across both centres. This scenario was driven by the active dissemination of K. pneumoniae ST258. Full article
Show Figures

Figure 1

14 pages, 797 KB  
Review
A New Challenge of Antibiotic-Resistant Bacteria: Carbapenem-Resistant Enterobacter cloacae Complex in a One Health Perspective
by Huina Wang, Jingyi Han, Yuhui Li, Dong Ding and Xuewen Li
Microorganisms 2026, 14(3), 594; https://doi.org/10.3390/microorganisms14030594 - 6 Mar 2026
Viewed by 259
Abstract
Carbapenem-resistant Enterobacter cloacae Complex (CRECC) has emerged as an important multidrug-resistant pathogen in healthcare settings, although it has historically received less attention than carbapenem-resistant Klebsiella pneumoniae and other major carbapenem-resistant Enterobacterales (CRE). Recent epidemiological reports from several regions indicate increasing detection rates of [...] Read more.
Carbapenem-resistant Enterobacter cloacae Complex (CRECC) has emerged as an important multidrug-resistant pathogen in healthcare settings, although it has historically received less attention than carbapenem-resistant Klebsiella pneumoniae and other major carbapenem-resistant Enterobacterales (CRE). Recent epidemiological reports from several regions indicate increasing detection rates of CRECC in tertiary hospitals, where it is associated with bloodstream infections, pneumonia, urinary tract infections, and prolonged hospitalization. The dissemination of carbapenemase genes, particularly blaNDM, blaKPC, and blaOXA-48-like, carried predominantly on conjugative plasmids (e.g., IncFII, IncX3, IncL), represents the primary resistance mechanism, often accompanied by porin loss and efflux pump overexpression. High-risk clones such as ST171 and ST78 contribute to nosocomial persistence and outbreak potential. Beyond clinical settings, CRECC and related resistance determinants have been reported in companion animals, livestock, food products, wastewater systems, and natural aquatic environments. Although most available studies examine these sectors separately, the recurring detection of genetically related resistance genes and plasmid types suggests potential epidemiological links that warrant integrated surveillance. Environmental reservoirs, particularly hospital effluents and wastewater treatment systems, may facilitate the maintenance and dissemination of resistance genes. This review synthesizes current evidence on the epidemiology, resistance mechanisms, and evolutionary dynamics of CRECC in human, animal, and environmental contexts under a One Health framework. A better understanding of its ecological distribution and genetic plasticity is essential to inform coordinated surveillance strategies and mitigate the public health risks associated with the continued spread of carbapenem resistance. Full article
(This article belongs to the Section Antimicrobial Agents and Resistance)
Show Figures

Figure 1

31 pages, 487 KB  
Review
Cefepime Combined with Late-Generation β-Lactamase Inhibitors: Mechanisms of Action, In Vitro Activity, PK/PD Characteristics, Clinical Evidence and Resistance Mechanisms
by Sara Comini, Matteo Boattini, Paolo Gaibani and Gabriele Bianco
Antibiotics 2026, 15(3), 263; https://doi.org/10.3390/antibiotics15030263 - 3 Mar 2026
Viewed by 378
Abstract
Cefepime combined with late-generation β-lactamase inhibitors—enmetazobactam, zidebactam, and taniborbactam—represents a promising strategy to treat multidrug-resistant Gram-negative infections. These combinations expand the therapeutic armamentarium beyond established β-lactam/β-lactamase inhibitor regimens, offering targeted activity against ESBL-, AmpC-, and carbapenemase-producing Enterobacterales, as well as multidrug-resistant Pseudomonas aeruginosa [...] Read more.
Cefepime combined with late-generation β-lactamase inhibitors—enmetazobactam, zidebactam, and taniborbactam—represents a promising strategy to treat multidrug-resistant Gram-negative infections. These combinations expand the therapeutic armamentarium beyond established β-lactam/β-lactamase inhibitor regimens, offering targeted activity against ESBL-, AmpC-, and carbapenemase-producing Enterobacterales, as well as multidrug-resistant Pseudomonas aeruginosa. In vitro studies highlight potent and broad activity, with mechanisms including β-lactamase inhibition and, in the case of zidebactam, dual β-lactam enhancement through PBP2 binding. Clinical evidence demonstrates efficacy in complicated urinary tract infections and suggests potential for treating extensively drug-resistant infections, including those unresponsive to conventional β-lactam/β-lactamase inhibitors. Emerging resistance mechanisms—such as PBP alterations, porin loss, efflux pump overexpression, and evolving KPC or NDM variants—underscore the need for ongoing surveillance and robust susceptibility testing. This review provides a comprehensive overview of the mechanisms of action, in vitro activity, pharmacokinetic/pharmacodynamic properties, clinical outcomes, and resistance patterns of these cefepime-based combinations. It also highlights future directions, including the establishment of clinical breakpoints, evaluation in severe infections, and exploration of combination strategies to counteract complex resistance. Overall, these agents exemplify a strategic evolution in β-lactam therapy, offering versatile options to reduce carbapenem reliance while maintaining high efficacy against multidrug-resistant Gram-negative pathogens. Full article
Show Figures

Figure 1

17 pages, 810 KB  
Article
Phenotypic and Molecular Characterization of ESBL/pAmpC-Associated Resistance in Poultry- and Hatchery-Derived Escherichia coli in Bosnia and Herzegovina
by Amira Koro-Spahić, Adis Softić, Emina Rešidbegović, Šejla Goletić Imamović, Naida Kapo, Aida Kavazović, Ilma Terzić, Dinaida Tahirović, Aida Kustura and Teufik Goletić
Microorganisms 2026, 14(2), 507; https://doi.org/10.3390/microorganisms14020507 - 21 Feb 2026
Viewed by 263
Abstract
Antimicrobial resistance (AMR) in poultry-associated Escherichia coli (E. coli) is a persistent One Health concern, particularly when ESBL/pAmpC determinants co-occur with resistance to multiple antimicrobial classes. Between March and October 2024, we investigated commensal E. coli from three interconnected compartments of [...] Read more.
Antimicrobial resistance (AMR) in poultry-associated Escherichia coli (E. coli) is a persistent One Health concern, particularly when ESBL/pAmpC determinants co-occur with resistance to multiple antimicrobial classes. Between March and October 2024, we investigated commensal E. coli from three interconnected compartments of the poultry production chain in Bosnia and Herzegovina (parent-breeder flocks, commercial broiler farms, hatchery-associated material). A total of 333 samples were examined, and 99 E. coli isolates were recovered (29.7%). Phenotypic characterization included ESBL confirmation, disk diffusion susceptibility testing, and EUVSEC broth microdilution. Targeted real-time PCR assays were used to screen key ESBL/pAmpC-associated genes and selected carbapenemase and plasmid-mediated colistin resistance targets within the targeted panel. ESBL phenotypes were detected in 52/99 isolates (52.5%), and multidrug resistance was highly prevalent across compartments (93/99; 93.9%). ESBL/pAmpC-associated genes were detected in 91/99 isolates (91.9%), with blaTEM predominating. Gene pattern analysis indicated that blaTEM occurred most frequently as a single determinant and as part of the predominant multi-gene combinations, most notably blaTEM + blaCMY and blaTEM + blaCTX-M, while blaSHV was sporadic. Carbapenemase genes (blaKPC, blaNDM, blaGES, blaOXA-48) and mcr-1 to mcr-9 were not detected. Overall, our findings indicate a substantial ESBL/MDR burden throughout the poultry production chain, supporting the need for strengthening antimicrobial stewardship and biosecurity measures across both farms and hatcheries. Full article
(This article belongs to the Special Issue Avian Pathogens: Importance in Animal Health and Zoonotic Risks)
Show Figures

Figure 1

20 pages, 2038 KB  
Article
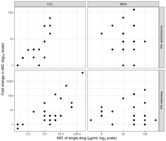
In Vitro Evaluation of Colistin–Meropenem Activity Against XDR and PDR Carbapenemase-Producing Klebsiella pneumoniae and Acinetobacter baumannii
by Shahinda Rezk, Nada Younis Elwakeel, Abeer Ghazal, Amel Elsheredy, Daniel Baecker and Ahmed Noby Amer
Pathogens 2026, 15(2), 214; https://doi.org/10.3390/pathogens15020214 - 13 Feb 2026
Viewed by 369
Abstract
Carbapenem-resistant Klebsiella pneumoniae (CRKP) and Acinetobacter baumannii (CRAB) pose significant therapeutic challenges due to their high resistance and global spread. Combination therapy with colistin (COL) and meropenem (MEM) was used to enhance antimicrobial activity. This study evaluated the COL-MEM combination against CRKP and [...] Read more.
Carbapenem-resistant Klebsiella pneumoniae (CRKP) and Acinetobacter baumannii (CRAB) pose significant therapeutic challenges due to their high resistance and global spread. Combination therapy with colistin (COL) and meropenem (MEM) was used to enhance antimicrobial activity. This study evaluated the COL-MEM combination against CRKP and CRAB isolates with a high resistance profile. A total of 58 carbapenem-resistant clinical isolates (31 CRKP and 27 CRAB), including extensively resistant and pandrug-resistant strains, were collected over a period of 12 months. Synergy between COL and MEM was assessed by microdilution checkerboard (MCB) and time-kill (TKA) assays. Carbapenemase genes were detected using molecular methods. The results showed that the COL-MEM combination yielded synergy (35.5% and 40.7%, respectively) and additive effects (35.5% and 37.0%, respectively), while no antagonism was observed. TKA confirmed bactericidal activity, especially at doubled MCB-detected concentrations, indicating dose-dependent activity. The significant reduction in the minimum inhibitory concentration in the combination indicated its potential for dose optimization, minimizing COL-associated toxicities. Genotypic profiling showed that the expression of blaNDM and blaOxa-48 can reduce synergy. These findings, obtained with isolates of high resistance, support the efficacy of this combination therapy and could reduce the dose-related side effects of COL. However, they also highlight genotype-specific variations and COL resistance mechanisms as limiting variables. Full article
(This article belongs to the Special Issue Bacterial Resistance and Novel Therapeutic Approaches)
Show Figures

Graphical abstract

16 pages, 497 KB  
Article
Phenotypic and Molecular Characterization of Carbapenem-Resistant Escherichia coli Isolated from Retail Meats in Hat Yai, Thailand
by Arnon Chukamnerd, Woralop Modleahman, Pattamarat Rattanachuay, Rattanaruji Pomwised and Pharanai Sukhumungoon
Bacteria 2026, 5(1), 10; https://doi.org/10.3390/bacteria5010010 - 9 Feb 2026
Viewed by 266
Abstract
(1) Background: Carbapenem-resistant Escherichia coli (CREC) is widespread and resistant to almost all available antimicrobial agents. In this study, we aimed to assess the phenotypic and molecular characteristics of CREC isolated from retail meats in Hat Yai, Songkhla, Thailand. (2) Methods: A total [...] Read more.
(1) Background: Carbapenem-resistant Escherichia coli (CREC) is widespread and resistant to almost all available antimicrobial agents. In this study, we aimed to assess the phenotypic and molecular characteristics of CREC isolated from retail meats in Hat Yai, Songkhla, Thailand. (2) Methods: A total of 155 retail meat samples were randomly collected, and 412 presumptive carbapenem-non-susceptible isolates were screened via culturing on imipenem-containing eosin methylene blue (EMB) agar. Susceptibility to imipenem and meropenem was tested using the disk diffusion method, and carbapenemase and virulence genes in CREC isolates were detected using PCR. Phylogenetic groups and genetic relatedness of carbapenemase-positive CREC isolates were analyzed using gene markers and BOX-PCR, respectively. (3) Results: The results revealed a high prevalence of presumptive carbapenem-non-susceptible E. coli (CNSEC) isolates in beef samples. Over 89% of the CNSEC isolates from all meat types were identified as CREC. Of these, only 4.8% of the isolates from beef samples were positive for the blaNDM gene, and one was also positive for the blaVIM gene. These isolates carried only the fimH gene as a virulence factor. The blaNDM-positive CREC isolates were classified in phylogenetic Group D. (4) Conclusions: Identifying antimicrobial-resistant pathogens, particularly CREC, in food-producing animals is critical due to potential risks to public health. Full article
Show Figures

Figure 1

17 pages, 470 KB  
Article
Genomic Characterization of Carbapenemases in Providencia Species from Croatia: The Results of the Multicenter Study
by Jasmina Vraneš, Branka Bedenić, Gernot Zarfel, Josefa Luxner, Andrea Grisold, Rocio Arazo del Pino, Tessa Burgwinkel, Haris Car, Maja Anušić, Vladimira Tičić, Marina Bubonja-Šonje, Sanda Sardelić and Paul G. Higgins
Genes 2026, 17(2), 203; https://doi.org/10.3390/genes17020203 - 8 Feb 2026
Viewed by 345
Abstract
Background/objectives: A rise in infections associated with carbapenem-resistant Providencia species (CRPS) has been observed worldwide. This study presents a genomic analysis of CRPS isolates from four hospitals in Croatia and the outpatient setting, in order to determine the extent of the spread of [...] Read more.
Background/objectives: A rise in infections associated with carbapenem-resistant Providencia species (CRPS) has been observed worldwide. This study presents a genomic analysis of CRPS isolates from four hospitals in Croatia and the outpatient setting, in order to determine the extent of the spread of CRPS in Croatia. In the present study, we applied a combination of phenotypic characterization and molecular analysis of resistance traits to determine the mechanisms and the routes of spread of CRPS. Material and methods: The antibiotic susceptibility testing was performed using disk-diffusion and broth dilution methods. The nature of extended-spectrum β-lactamases (ESBLs), carbapenemases, and fluoroquinolone resistance determinants was investigated by polymerase chain reaction (PCR). In order to obtain an insight into the whole resistome, selected isolates were subjected to the Interarray Genotyping Kit CarbaResist and whole genome sequencing (WGS). Results: In total, 30 isolates were collected from four centers, located in different geographic regions of Croatia. There was uniform resistance to piperacillin-tazobactam, cefuroxime, expanded-spectrum cephalosporins (ESCs), imipenem, ertapenem, meropenem, and ciprofloxacin. Immunochromatographic testing and PCR revealed OXA-48 and NDM carbapenemase in 15 isolates, respectively. Phenotypic tests for ESBLs were positive in all OXA-48 and one NDM-positive organism (16 isolates). The isolates were categorized as extensively drug-resistant (XDR). OXA-48-producing isolates were susceptible only to ceftazidime-avibactam, whereas NDM producers were susceptible to cefiderocol and, in the majority of cases, also to amikacin. WGS identified a plethora of genes encoding resistance to aminoglycosides, such as aadA1 and aadA2, (aph(3″)-Ib and aph(6)-Id, sulfonamides sul1 and sul2, trimethoprim dfrA1, dfrA10, and dfrA12, tetracyclines tet(A) and tet(B), and chloramphenicol catA3 and catA5. Conclusions: Providencia spp., in spite of being a rare pathogen, should be included in the surveillance studies across the medical centers in Croatia. Full article
(This article belongs to the Section Microbial Genetics and Genomics)
Show Figures

Figure 1

17 pages, 584 KB  
Article
Integrating Syndromic Molecular Assays into Routine Diagnostic Microbiology: Benefits and Challenges
by Sara Comini, Anna Maria Priori, Francesco Coppari, Matteo Sabbatini, Concetta Bruno, Matteo Boattini, Gabriele Bianco and Francesca Brecciaroli
Antibiotics 2026, 15(2), 182; https://doi.org/10.3390/antibiotics15020182 - 7 Feb 2026
Viewed by 546
Abstract
Background/Objectives: Rapid pathogen identification is essential to optimize antimicrobial therapy and improve patient outcomes, particularly in severe infections. Syndromic molecular diagnostics have been introduced to overcome the limitations of conventional culture-based methods. This study evaluated the diagnostic performance and real-life implementation of [...] Read more.
Background/Objectives: Rapid pathogen identification is essential to optimize antimicrobial therapy and improve patient outcomes, particularly in severe infections. Syndromic molecular diagnostics have been introduced to overcome the limitations of conventional culture-based methods. This study evaluated the diagnostic performance and real-life implementation of BioFire® FilmArray® syndromic panels compared with routine microbiological diagnostics. Methods: A total of 955 clinical specimens collected between 2022 and June 2025 were retrospectively analyzed, including positive blood cultures (n = 400), lower respiratory tract samples (n = 309), cerebrospinal fluid (n = 158) and stool specimens (n = 88). FilmArray® BCID2, Pneumonia Plus, Meningitis/Encephalitis and Gastrointestinal panels were performed on the Biofire Fimarray® instrument according to clinical indication and compared with conventional culture-based identification and phenotypic antimicrobial susceptibility testing. Results: Overall diagnostic concordance between BioFire® FilmArray® syndromic panels and conventional methods was high across all specimen types, with the highest positive percent agreement (PPA) observed for bloodstream infections (97.7%) and gastrointestinal pathogens (100%). In respiratory samples, the Pneumonia Plus panel detected a considerable number of microorganisms that could not be identified by culture, including viral pathogens and fastidious bacteria. Molecular detection of antimicrobial resistance markers showed excellent concordance with phenotypic profiles, with 100% agreement for CTX-M, carbapenemases (KPC, NDM, OXA-48-like, IMP), and vanA/B, while lower concordance was observed for mecA/C in staphylococci. In parallel, semi-quantitative bacterial loads provided by the Pneumonia Plus panel showed a strong essential agreement with culture-based quantification (97.4%, ±1 log10). Across all panels, syndromic testing significantly reduced diagnostic turnaround time. Conclusions: Syndromic molecular panels provide rapid and reliable simultaneous detection of pathogens, as well as early resistance marker detection, thereby supporting timely antimicrobial optimization and stewardship when integrated with conventional microbiological diagnostics. Full article
Show Figures

Figure 1

19 pages, 1405 KB  
Review
Bloodstream Infections Due to Carbapenemase-Producing Escherichia coli: A Comprehensive Review
by Maria Scrascia, Adriana Antonina Tempesta, Viviana Cafiso, Carlo Pazzani and Maria Lina Mezzatesta
Antibiotics 2026, 15(2), 176; https://doi.org/10.3390/antibiotics15020176 - 5 Feb 2026
Viewed by 630
Abstract
Background/Objectives: Carbapenemase-producing Escherichia coli (CP-Ec) has emerged as an important contributor to the global crisis of antimicrobial resistance. Although less prevalent than carbapenemase-producing Klebsiella pneumoniae, CP-Ec exhibits marked genomic plasticity, efficient plasmid-mediated dissemination, and increasing involvement in bloodstream infections. This comprehensive review [...] Read more.
Background/Objectives: Carbapenemase-producing Escherichia coli (CP-Ec) has emerged as an important contributor to the global crisis of antimicrobial resistance. Although less prevalent than carbapenemase-producing Klebsiella pneumoniae, CP-Ec exhibits marked genomic plasticity, efficient plasmid-mediated dissemination, and increasing involvement in bloodstream infections. This comprehensive review summarizes the global epidemiology, molecular features, treatment options, clonal structure and transmission dynamics of CP-Ec. Particular attention is given to the expanding repertoire of NDM, OXA-48-like, and KPC carbapenemases and their associated plasmid backbones. Key high-risk clones, including ST410, ST167 and ST131, are highlighted as drivers of international spread. Conclusions and Future Directions: CP-Ec bloodstream infections represent a growing clinical challenge, often associated with severe outcomes and limited therapeutic options, particularly for NDM producers. The emergence of treatment failures with last-resort agents further underscores the need for improved management strategies. Strengthened global surveillance, integration of genomic epidemiology, optimized antimicrobial stewardship, and targeted infection control measures are essential to limit the dissemination of CP-Ec and mitigate its impact on human health. Full article
Show Figures

Figure 1

21 pages, 680 KB  
Article
Resistance, Virulence, and Molecular Epidemiology of Carbapenem-Resistant Klebsiella pneumoniae Causing Bloodstream Infections in Saudi Arabia
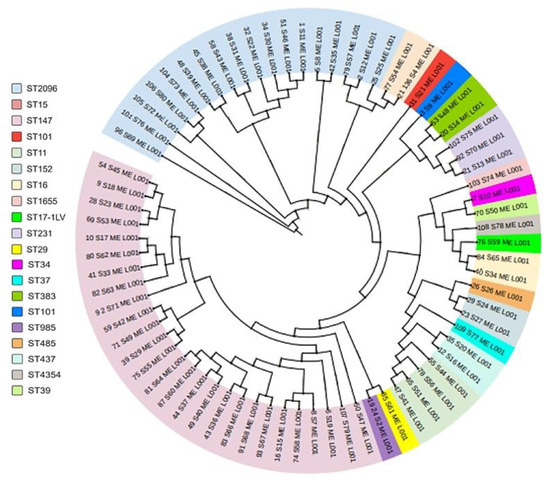
by Fetoon M. Alkhelaiwi, Ali M. Somily, Reham M. Alahmadi, Maaweya Awadalla, Ahmed M. Albarrag, Bandar Alosaimi, Eman Marzouk and Ihab M. Moussa
Microorganisms 2026, 14(2), 333; https://doi.org/10.3390/microorganisms14020333 - 30 Jan 2026
Viewed by 574
Abstract
Carbapenem-resistant Klebsiella pneumoniae (CRKP) has become a major cause of bloodstream infections and poses serious challenges to clinical management because treatment options are limited. This study aimed to characterize antimicrobial resistance, virulence-associated features, and molecular epidemiology of CRKP bloodstream isolates using integrated phenotypic [...] Read more.
Carbapenem-resistant Klebsiella pneumoniae (CRKP) has become a major cause of bloodstream infections and poses serious challenges to clinical management because treatment options are limited. This study aimed to characterize antimicrobial resistance, virulence-associated features, and molecular epidemiology of CRKP bloodstream isolates using integrated phenotypic and genomic approaches. A total of 74 non-duplicate CRKP isolates were collected from bloodstream infections at three tertiary-care hospitals in Riyadh, Saudi Arabia, between 2022 and 2024. All isolates showed classical Klebsiella pneumoniae phenotypic characteristics, including intrinsic resistance to natural and aminopenicillins, and were classified as either multidrug-resistant (MDR) or extensively drug-resistant (XDR). Resistance to imipenem was universal, and resistance to other β-lactams and fluoroquinolones was high. Carbapenemase genes were detected in 96.0% of isolates using the GeneXpert® Carba-R assay, with blaOXA-48-like and blaNDM being most common. Whole-genome sequencing demonstrated predominance of Ambler class D carbapenemases, particularly blaOXA-232, with additional contributions from blaNDM-1 and blaNDM-5. Co-occurrence of carbapenemase genes was observed in a subset of isolates. Virulence analysis showed that 37.8% of isolates exhibited a hypermucoviscous phenotype, and more than half carried at least one virulence-associated determinant linked to capsule regulation or iron acquisition. In contrast, most isolates showed weak or no biofilm-forming capacity. Multilocus sequence typing revealed substantial genetic diversity but clear dominance of high-risk lineages, particularly ST147 and the emerging ST2096, both closely associated with blaOXA-232 and blaOXA-48-like genes. Capsular and O-antigen analysis showed a non-random distribution dominated by KL64 and O1/O2. Phylogenetic analysis was consistent with clonal expansion and suggested intra-hospital spread, with the intensive care unit serving as a key reservoir and dissemination to other wards. In conclusion, CRKP bloodstream infections in this setting are largely associated with a limited number of epidemic clones that combine extensive antimicrobial resistance with virulence-associated traits. These findings support the need for ongoing genome-based surveillance, strengthened infection control measures, and antimicrobial stewardship to limit the spread of high-risk K. pneumoniae lineages in healthcare settings. Full article
Show Figures

Figure 1

31 pages, 2114 KB  
Review
Molecular Insights into Carbapenem Resistance in Klebsiella pneumoniae: From Mobile Genetic Elements to Precision Diagnostics and Infection Control
by Ayman Elbehiry, Eman Marzouk and Adil Abalkhail
Int. J. Mol. Sci. 2026, 27(3), 1229; https://doi.org/10.3390/ijms27031229 - 26 Jan 2026
Viewed by 835
Abstract
Carbapenem-resistant Klebsiella pneumoniae (CRKP) has become one of the most serious problems confronting modern healthcare, particularly in intensive care units where patients are highly susceptible, procedures are frequent, and antibiotic exposure is often prolonged. In this review, carbapenem resistance in K. pneumoniae is [...] Read more.
Carbapenem-resistant Klebsiella pneumoniae (CRKP) has become one of the most serious problems confronting modern healthcare, particularly in intensive care units where patients are highly susceptible, procedures are frequent, and antibiotic exposure is often prolonged. In this review, carbapenem resistance in K. pneumoniae is presented not as a fixed feature of individual bacteria, but as a process that is constantly changing and closely interconnected. We bring together evidence showing how the spread of successful bacterial lineages, the exchange of resistance genes, and gradual genetic adjustment combine to drive both the rapid spread and the long-lasting presence of resistance. A major focus is placed on mobile genetic elements, including commonly encountered plasmid backbones, transposons, and insertion sequences that carry carbapenemase genes such as blaKPC, blaNDM, and blaOXA-48-like. These elements allow resistance genes to move easily between bacteria and across different biological environments. The human gut plays a particularly important role in this process. Its microbial community serves as a largely unseen reservoir where resistance genes can circulate and accumulate well before infection becomes clinically apparent, making prevention and control more difficult. This review also discusses the key biological factors that shape resistance levels, including carbapenemase production, changes in the bacterial cell membrane, and systems that expel antibiotics from the cell, and explains how these features work together. Advances in molecular testing have made it possible to identify resistance more quickly, supporting earlier clinical decisions and infection control measures. Even so, current tests remain limited by narrow targets and may miss low-level carriage, hidden genetic reservoirs, or newly emerging resistance patterns. Finally, we look ahead to approaches that move beyond detection alone, emphasizing the need for integrated surveillance, thoughtful antibiotic use, and coordinated system-wide strategies to lessen the impact of CRKP. Full article
(This article belongs to the Special Issue Molecular Insights in Antimicrobial Resistance)
Show Figures

Figure 1

15 pages, 1328 KB  
Article
Molecular Docking and Structure–Activity Relationship Study of Polyphenols with Antibacterial and Antibiotic-Modulating Properties
by Hayat Trabsa, Imane Krache, Naouel Boussoualim, Anfal Kara, Nadhir Saouli, Mohammad Raish, Byong-Hun Jeon, Hyun-Jo Ahn and Yacine Benguerba
Microorganisms 2026, 14(2), 281; https://doi.org/10.3390/microorganisms14020281 - 25 Jan 2026
Viewed by 665
Abstract
The antibacterial activity of 18 phenolic compounds, including flavonoids and phenolic acids, against organisms of Escherichia coli, Klebsiella pneumoniae, and Proteus vulgaris that are resistant to several drugs was assessed in this study using the agar diffusion method. The strain’s strong [...] Read more.
The antibacterial activity of 18 phenolic compounds, including flavonoids and phenolic acids, against organisms of Escherichia coli, Klebsiella pneumoniae, and Proteus vulgaris that are resistant to several drugs was assessed in this study using the agar diffusion method. The strain’s strong resistance was confirmed by antibiotic susceptibility testing, which used fourteen drugs and only found inhibition zones for five of them. Out of the polyphenols, four compounds were effective against P. vulgaris, five against K. pneumoniae, and twelve against E. coli bacteria. The greatest inhibitory zone (18.75 ± 0.25 mm) against E. coli was shown by propyl gallate, an ester of gallic acid. Activity was significantly impacted by structural changes. Propyl substitution increased antibacterial activities across all strains, while methoxy substitution decreased them. The antibacterial effectiveness was reduced by the hydroxylation of flavonoids and the C3–C4 dihydroxylation of cinnamic acid. Propyl gallate primarily had antagonistic effects, while combination experiments demonstrated additive, synergistic, and antagonistic interactions. Propyl gallate (ΔG = −7.5 kcal/mol) exhibited substantial binding affinities with TEM-1 and NDM-1 β-lactamases via hydrogen and hydrophobic interactions, according to molecular docking. These results demonstrate propyl gallate as a viable antibacterial adjuvant option and validate the structure–activity relationship of phenolic compounds. Full article
(This article belongs to the Section Antimicrobial Agents and Resistance)
Show Figures

Graphical abstract

Back to TopTop