Sign in to use this feature.

Years

Between: -

Subjects

remove_circle_outline
remove_circle_outline
remove_circle_outline
remove_circle_outline
remove_circle_outline
remove_circle_outline
remove_circle_outline

Journals

Article Types

Countries / Regions

Search Results (13)

Search Parameters:
Keywords = Modified locust bean gum

Order results
Result details
Results per page
Select all
Export citation of selected articles as:
20 pages, 8469 KB  
Article
Enhancing the Catalytic Performance of β-Mannanase via Polyvinyl Alcohol Immobilization and Genipin Modification
by Nazli Ece Varan Faki, Ali Toprak, Guzide Yucebilgic, Dilek Alagöz, Deniz Yildirim and Roberto Fernandez-Lafuente
Molecules 2025, 30(23), 4567; https://doi.org/10.3390/molecules30234567 - 27 Nov 2025
Viewed by 500
Abstract
This study reports the immobilization of β-mannanase from Aspergillus niger—either unmodified or genipin-modified—within polyvinyl alcohol hydrogels (PVA@mannanase and PVA@mannanase-Gen) for the enhanced production of mannooligosaccharides (MOSs). All enzyme preparations showed an optimal pH of 5.0, while immobilization shifted the optimal temperature from [...] Read more.
This study reports the immobilization of β-mannanase from Aspergillus niger—either unmodified or genipin-modified—within polyvinyl alcohol hydrogels (PVA@mannanase and PVA@mannanase-Gen) for the enhanced production of mannooligosaccharides (MOSs). All enzyme preparations showed an optimal pH of 5.0, while immobilization shifted the optimal temperature from 40 °C for the free enzyme to 55 °C for the immobilized forms. Genipin modification notably improved stability, increasing the half-life from 25.3 h (free enzyme) to 429.2 h in PVA@mannanase-Gen, and raised catalytic efficiency by approximately 2.3-fold. Both immobilized preparations retained over 75% of their activity after five reuse cycles at pH 5 and 55 °C. Using PVA@mannanase-Gen under these optimized conditions, MOSs were effectively produced, with mannotetraose as the predominant product. To explore their potential applications, the MOSs generated from locust bean gum were evaluated for effects on MCF-7 and HCT-116 cancer cell lines, resulting in moderate growth inhibition (~24–25% at 0.4 mM after 24 h). Together, these findings demonstrate that the immobilization of the genipin-modified enzyme not only enhances β-mannanase stability and performance but also supports the efficient production of MOSs with promising antitumoral activity. Full article
Show Figures

Graphical abstract

14 pages, 4524 KB  
Article
Experimental Study on Engineering Properties of Guilin Red Clay Improved by PASS Composite LBG
by Yanshuo Cui, Kuiliang Han, Zhigao Xie, Haofeng Zhou and Bai Yang
Buildings 2025, 15(18), 3291; https://doi.org/10.3390/buildings15183291 - 11 Sep 2025
Viewed by 600
Abstract
To improve the engineering properties of red clay, sodium polyacrylate (PAAS) and locust bean gum (LBG) were used as modifiers, either singly or in combination. The modified soils were subjected to variable head permeability tests, triaxial compression tests, and scanning electron microscopy (SEM) [...] Read more.
To improve the engineering properties of red clay, sodium polyacrylate (PAAS) and locust bean gum (LBG) were used as modifiers, either singly or in combination. The modified soils were subjected to variable head permeability tests, triaxial compression tests, and scanning electron microscopy (SEM) tests to analyze the effects of different modifiers on the permeability and shear strength of the red clay and systematically explore the modification mechanism. The results showed that both PAAS and LBG significantly reduced the permeability of the red clay, with PAAS having a more pronounced effect. This mechanism is attributed to PAAS swelling upon water absorption, forming a hydrogel network that fills micropores and forms ionic bonds with clay particles. LBG, on the other hand, encapsulates the particles in a highly viscous colloid, enhancing their aggregation. Regarding shear strength, both PAAS and LBG improved soil cohesion, with PAAS exhibiting a superior combined improvement in cohesion and internal friction angle compared to LBG. The PAAS-LBG composite modification exhibits a significant synergistic effect: PAAS forms a continuous hydrogel network as the primary skeletal structure of the soil, while LBG supplements the pores and increases bonding, resulting in a denser soil structure. Microscopic analysis further confirms that the PAAS-LBG composite modification significantly reduces porosity and enhances interparticle interlocking, thereby simultaneously improving both the impermeability and shear strength of the red clay. This research can provide a reference for sustainable development and red clay modification in red clay regions. Full article
(This article belongs to the Special Issue Advances in Soil–Geosynthetic Composite Materials)
Show Figures

Figure 1

21 pages, 2283 KB  
Article
Thermoreversible Hydrocolloid Blends for Structurally Stable Reheated Carrot Purée in Dysphagia Management
by Narmatha Maran, Jorry Dharmawan and Kelvin K. T. Goh
Foods 2025, 14(13), 2248; https://doi.org/10.3390/foods14132248 - 25 Jun 2025
Cited by 4 | Viewed by 1393
Abstract
Oropharyngeal dysphagia is a common condition among older adults and individuals with neurological disorders, necessitating the use of texture-modified foods (TMFs) to ensure safe swallowing; however, reheating often leads to syneresis and structural breakdown, compromising both functionality and patient acceptability. This study aimed [...] Read more.
Oropharyngeal dysphagia is a common condition among older adults and individuals with neurological disorders, necessitating the use of texture-modified foods (TMFs) to ensure safe swallowing; however, reheating often leads to syneresis and structural breakdown, compromising both functionality and patient acceptability. This study aimed to evaluate the efficacy of single and binary hydrocolloid systems for improving the thermal and structural stability of moulded carrot purée formulated to meet International Dysphagia Diet Standardisation Initiative (IDDSI) Level 4 standards. The main methods involved preparing purées with various hydrocolloid combinations, assessing gel strength, shape retention, and syneresis following steaming, and validating results using commercial moulds. Thermoreversible methylcellulose (Benecel™ A4M) was the most effective single-component system, while binary blends of A4M with locust bean gum (LBG)—specifically B2 (1.5% A4M + 0.5% LBG) and B3 (1.5% A4M + 1% LBG)—demonstrated superior structural integrity, with height retention of 80 ± 2% (B2) and 85 ± 2% (B3), and reduced syneresis (~22 ± 1% and ~19 ± 3%, respectively; p < 0.05), both meeting IDDSI requirements. In contrast, formulations containing agar, xanthan, or carboxymethylcellulose exhibited poorer shape fidelity, likely due to matrix-disrupting interactions. These findings indicate that A4M-LBG blends offer a practical solution for producing reheatable, visually recognisable meals for individuals with moderate-to-severe dysphagia. Full article
Show Figures

Graphical abstract

26 pages, 19558 KB  
Article
Mechanical Properties and Microscopic Mechanism of Granite Residual Soil Stabilized with Biopolymers
by Yiming Liu, Luqiang Yu and Juan Wan
Appl. Sci. 2025, 15(10), 5223; https://doi.org/10.3390/app15105223 - 8 May 2025
Cited by 1 | Viewed by 1153
Abstract
Granite residual soil exhibits a tendency to collapse and disintegrate upon exposure to water, displaying highly unstable mechanical properties. This makes it susceptible to landslides, mudslides, and other geological hazards. In this study, three common biopolymers, i.e., xanthan gum (XG), locust bean gum [...] Read more.
Granite residual soil exhibits a tendency to collapse and disintegrate upon exposure to water, displaying highly unstable mechanical properties. This makes it susceptible to landslides, mudslides, and other geological hazards. In this study, three common biopolymers, i.e., xanthan gum (XG), locust bean gum (LBG), and guar gum (GG), are employed to improve the strength and stability of granite residual soil. A series of experiments were conducted on biopolymer-modified granite residual soil, varying the types of biopolymers, their concentrations, and curing times, to examine their effects on the soil’s strength properties and failure characteristics. The microscopic structure and interaction mechanisms between the soil and biopolymers were analyzed using scanning electron microscopy and X-ray diffraction. The results indicate that guar gum-treated granite residual soil exhibited the highest unconfined compressive strength and shear strength. After adding 2.0% guar gum, the unconfined compressive strength and shear strength of the modified soil are 1.6 times and 1.58 times that of the untreated granite residual soil, respectively. Optimal strength improvements were observed when the biopolymer concentration ranged from 1.5% to 2%, with a curing time of 14 days. After treatment with xanthan gum, locust bean gum, and guar gum, the cohesion of the soil is 1.36 times, 1.34 times, and 1.55 times that of the untreated soil, respectively. The biopolymers enhanced soil bonding through cross-linking, thereby improving the soil’s mechanical properties. The gel-like substances formed by the reaction of biopolymers with water adhered to encapsulated soil particles, significantly altering the soil’s deformation behavior, toughness, and failure modes. Furthermore, interactions between soil minerals and functional groups of the biopolymers contributed to further enhancement of the soil’s mechanical properties. This study demonstrates the feasibility of using biopolymers to improve granite residual soil, offering theoretical insights into the underlying microscopic mechanisms that govern this improvement. Full article
Show Figures

Figure 1

16 pages, 2697 KB  
Article
Effects of Different Non-Ionic Polysaccharides on the Heat-Induced Gelling Properties of Curdlan
by Guoyan Zhong, Zhaojun Wang, Qiuming Chen, Zhiyong He, Maomao Zeng, Fang Qin and Jie Chen
Polymers 2024, 16(23), 3345; https://doi.org/10.3390/polym16233345 - 29 Nov 2024
Cited by 2 | Viewed by 1941
Abstract
Curdlan’s application is constrained by high gelation concentration, poor water solubility, and incompatibility with other polysaccharides. To address these limitations, this study investigated the effects of different concentrations (0.05–0.3%) of non-ionic polysaccharides (pullulan (PL), locust bean gum (LBG), guar gum (GG), and konjac [...] Read more.
Curdlan’s application is constrained by high gelation concentration, poor water solubility, and incompatibility with other polysaccharides. To address these limitations, this study investigated the effects of different concentrations (0.05–0.3%) of non-ionic polysaccharides (pullulan (PL), locust bean gum (LBG), guar gum (GG), and konjac gum (KGM)) on the heat-induced gelling properties of curdlan. PL with no branch showed 0.3% enhanced gel hardness. LBG with a small amount of galactose residue and KGM with an acetyl group had similar effects on hardness, while GG with a large amount of galactose residue slightly weakened the mixed gel. The rheological results showed that PL had little effect on curdlan, and LBG and KGM had a positive effect on curdlan unfolding, but 0.3% GG was significantly antagonistic to curdlan. The above results implied that non-ionic polysaccharides without side chains interacted weakly with the curdlan and hardly changed the properties of curdlan. Curdlan unfolding and stable suspension were favored if the structure contained galactose or acetyl side chains that interacted with curdlan through hydrogen bonding. These results suggested an effective way to modify curdlan by strengthening the interaction of curdlan with others and weakening the hydrogen bonding of curdlan to broaden its application in food colloids. Full article
(This article belongs to the Special Issue Biopolymers: Structure-Function Relationship and Application III)
Show Figures

Figure 1

17 pages, 11015 KB  
Article
Purification and Characterization of β-Mannanase Derived from Rhizopus microsporus var. rhizopodiformis Expressed in Komagataella phaffii
by Jinghua Qu, Jie Long, Xingfei Li, Xing Zhou, Long Chen, Chao Qiu and Zhengyu Jin
Foods 2024, 13(20), 3324; https://doi.org/10.3390/foods13203324 - 19 Oct 2024
Cited by 1 | Viewed by 2326
Abstract
The demand for food-grade β-mannanases, ideal for high-temperature baking, is increasing. Using the Komagataella phaffii (P. pastoris) expression system for β-mannanase production, this study aimed to enhance purification methods. We evaluated better conditions for production and purification of β-mannanase (PpRm [...] Read more.
The demand for food-grade β-mannanases, ideal for high-temperature baking, is increasing. Using the Komagataella phaffii (P. pastoris) expression system for β-mannanase production, this study aimed to enhance purification methods. We evaluated better conditions for production and purification of β-mannanase (PpRmMan134A) from recombinant P. pastoris X-33, focusing on a higher purity and reducing the production of endogenous secretory proteins in fermentation. By adjusting carbon and nitrogen sources, culture time, and temperature, we controlled cell growth to reduce the production of endogenous secretory proteins. The better-evaluated conditions involved culturing recombinant P. pastoris in 70 mL buffered glycerol complex medium for 24 h at 30 °C, then in modified buffered methanol-complex medium with 0.91% (w/v) methanol, 0.56% (w/v) sorbitol, and 0.48% (w/v) mannitol for another 24 h, which improved the PpRmMan134A yield and reduced endogenous secretory proteins, shortening the fermentation time by 72 h. An affordable purification method using ultrafiltration and salt-out precipitation was utilized. PpRmMan134A showed thermostability up to 100 °C and effectively degraded locust bean gum into smaller fragments, mainly producing mannotriose. In conclusion, with its enhanced purity due to reduced levels of endogenous secretory proteins, purified PpRmMan134A emerges as a promising enzyme for high-temperature baking applications. Full article
Show Figures

Figure 1

12 pages, 3106 KB  
Article
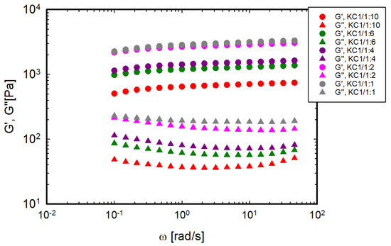
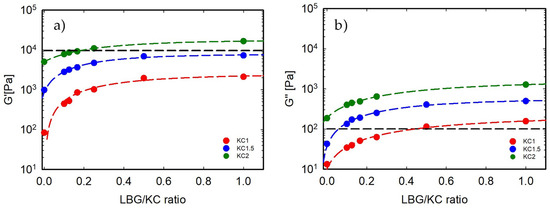
K-Carrageenan/Locust Bean Gum Gels for Food Applications—A Critical Study on Potential Alternatives to Animal-Based Gelatin
by Simona Russo Spena, Rossana Pasquino and Nino Grizzuti
Foods 2024, 13(16), 2575; https://doi.org/10.3390/foods13162575 - 17 Aug 2024
Cited by 8 | Viewed by 4213
Abstract
Among hydrocolloids used in the food industry, gelatin (an animal protein) is remarkably known for its unique gel forming ability. Creating a perfect, green substitute for animal gelatin is extremely difficult if not impossible, because this versatile hydrocolloid offers many special properties that [...] Read more.
Among hydrocolloids used in the food industry, gelatin (an animal protein) is remarkably known for its unique gel forming ability. Creating a perfect, green substitute for animal gelatin is extremely difficult if not impossible, because this versatile hydrocolloid offers many special properties that are not easily imitated by other vegetable-based systems. The combination of more than one type of hydrocolloid is commonly used in food either to bridge the above-mentioned gap or to impart novel organoleptic characteristics (such as mouthfeel) to food products, to modify rheological characteristics, and to satisfy processing requirements in the industry. In this work, we study the rheology and the texture of water mixtures of κ-Carrageenan (κ-C) and Locust Bean Gum (LBG). By fixing different κ-C concentrations and varying the LBG/κ-C ratio, we explore a wide range of potentially useful textures. The results obtained for the green systems are also compared to those exhibited by animal gelatin formulations. Full article
(This article belongs to the Section Food Physics and (Bio)Chemistry)
Show Figures

Figure 1

17 pages, 2776 KB  
Review
Locust Bean Gum, a Vegetable Hydrocolloid with Industrial and Biopharmaceutical Applications
by Max Petitjean and José Ramón Isasi
Molecules 2022, 27(23), 8265; https://doi.org/10.3390/molecules27238265 - 26 Nov 2022
Cited by 52 | Viewed by 11397
Abstract
Locust bean gum (LBG), a vegetable galactomannan extracted from carob tree seeds, is extensively used in the food industry as a thickening agent (E410). Its molecular conformation in aqueous solutions determines its solubility and rheological performance. LBG is an interesting polysaccharide also because [...] Read more.
Locust bean gum (LBG), a vegetable galactomannan extracted from carob tree seeds, is extensively used in the food industry as a thickening agent (E410). Its molecular conformation in aqueous solutions determines its solubility and rheological performance. LBG is an interesting polysaccharide also because of its synergistic behavior with other biopolymers (xanthan gum, carrageenan, etc.). In addition, this hydrocolloid is easily modified by derivatization or crosslinking. These LBG-related products, besides their applications in the food industry, can be used as encapsulation and drug delivery devices, packaging materials, batteries, and catalyst supports, among other biopharmaceutical and industrial uses. As the new derivatized or crosslinked polymers based on LBG are mainly biodegradable and non-toxic, the use of this polysaccharide (by itself or combined with other biopolymers) will contribute to generating greener products, considering the origin of raw materials used, the modification procedures selected and the final destination of the products. Full article
(This article belongs to the Special Issue Natural Polymers and Biopolymers III)
Show Figures

Figure 1

14 pages, 1556 KB  
Article
Impact of Guar Gum and Locust Bean Gum Addition on the Pasting, Rheological Properties, and Freeze–Thaw Stability of Rice Starch Gel
by Xuejiao Xu, Shuhui Ye, Xiaobo Zuo and Sheng Fang
Foods 2022, 11(16), 2508; https://doi.org/10.3390/foods11162508 - 19 Aug 2022
Cited by 30 | Viewed by 6270
Abstract
Improving the gel texture and stability of rice starch (RS) by natural hydrocolloids is important for the development of gluten-free starch-based products. In this paper, the effects of guar gum and locust bean gum on the pasting, rheological properties, and freeze–thaw stability of [...] Read more.
Improving the gel texture and stability of rice starch (RS) by natural hydrocolloids is important for the development of gluten-free starch-based products. In this paper, the effects of guar gum and locust bean gum on the pasting, rheological properties, and freeze–thaw stability of rice starch were investigated by using a rapid visco analyzer, rheometer, and texture analyzer. Both gums can modify the pasting properties, revealed by an increment in the peak, trough, and final viscosities, and prevent the short-term retrogradation tendency of RS. Dynamic viscoelasticity measurements also indicated that the starch–gum system exhibits superior viscoelastic properties compared with starch alone, as revealed by its higher storage modulus (G′). Compared with the control, the hysteresis loop area of the guar gum-containing system and locust bean gum-containing system was reduced by 37.7% and 24.2%, respectively, indicating that the addition of gums could enhance shear resistance and structure recovery properties. The thermodynamic properties indicated that both gums retard short-term retrogradation as well as long-term retrogradation of the RS gels. Interestingly, the textural properties and freeze–thaw stability of the RS gel were significantly improved by the addition of galactomannans (p < 0.05), and guar gum was more effective than locust bean gum, which may be due to the different mannose to galactose ratio. The results provide alternatives for gluten-free recipes with improved texture properties and freeze–thaw stability. Full article
Show Figures

Figure 1

12 pages, 3184 KB  
Article
Effect of Locust Bean Gum-Sodium Alginate Coatings Combined with High CO2 Modified Atmosphere Packaging on the Quality of Turbot (Scophthalmus maximus) during Refrigerated Storage
by Jie Cao, Wenru Liu, Jun Mei and Jing Xie
Polymers 2021, 13(24), 4376; https://doi.org/10.3390/polym13244376 - 14 Dec 2021
Cited by 12 | Viewed by 3326
Abstract
This research was conducted to investigate the effect of active coatings composed of locust bean gum (LBG) and sodium alginate (SA) containing daphnetin emulsions (DEs) combined with modified atmosphere packaging (MAP) on the microbiological and physicochemical properties of turbot during 4 °C refrigerated [...] Read more.
This research was conducted to investigate the effect of active coatings composed of locust bean gum (LBG) and sodium alginate (SA) containing daphnetin emulsions (DEs) combined with modified atmosphere packaging (MAP) on the microbiological and physicochemical properties of turbot during 4 °C refrigerated storage for 32 days. The results revealed that LBG-SA-DE coatings together with high CO2 MAP (60% CO2/35% N2/5% O2) maintained the total viable count (TVC) of H2S-producing bacteria in 4–6 lg CFU/g, which is lower than the limit (7 lg CFU/g). In addition, LBG-SA-DE coatings together with high CO2 MAP (60% CO2/35% N2/5% O2) inhibited the production of odor compounds, including thiobarbituric acid (TBA), trimethylamine-nitrogen (TMA-N), K value, and total volatile basic nitrogen (TVB-N). The low-field NMR analysis (LF-NMR) and magnetic resonance imaging (MRI) indicated that LBG-SA-DE coatings together with high CO2 MAP (60% CO2/35% N2/5% O2) treatments could delay the release of water located in muscle fiber macromolecules or convert it into free water based on muscle fiber destruction, thus maintaining the water content and migration. The results of the sensory evaluation showed that turbot treated with LBG-SA-DE coatings together with MAP could maintain its freshness during refrigerated storage. Full article
(This article belongs to the Special Issue Polymeric Materials for Food Packaging II)
Show Figures

Figure 1

17 pages, 2195 KB  
Article
Dapivirine Bioadhesive Vaginal Tablets Based on Natural Polymers for the Prevention of Sexual Transmission of HIV
by Raúl Cazorla-Luna, Araceli Martín-Illana, Fernando Notario-Pérez, Luis-Miguel Bedoya, Paulina Bermejo, Roberto Ruiz-Caro and María-Dolores Veiga
Polymers 2019, 11(3), 483; https://doi.org/10.3390/polym11030483 - 13 Mar 2019
Cited by 17 | Viewed by 6109
Abstract
Young sub-Saharan women are a group that is vulnerable to the sexual transmission of HIV. Pre-exposure prophylaxis through vaginal microbicides could provide them an option for self-protection. Dapivirine has been demonstrated to have topical inhibitory effects in HIV, and to provide protection against [...] Read more.
Young sub-Saharan women are a group that is vulnerable to the sexual transmission of HIV. Pre-exposure prophylaxis through vaginal microbicides could provide them an option for self-protection. Dapivirine has been demonstrated to have topical inhibitory effects in HIV, and to provide protection against the sexual transmission of this virus. This paper reports on the studies into swelling behaviour, bioadhesion and release carried out on dapivirine tablets based on chitosan, locust bean gum and pectin, to select the most suitable formulation. The modified simulated vaginal fluid led to a high solubility of dapivirine and allowed the dapivirine release profiles to be characterized in sink conditions; this aqueous medium is an alternative to organic solvents, which are not a realistic option when evaluating systems whose behaviour varies in aqueous and organic media. Of the formulations evaluated, dapivirine/pectin tablets containing 290 mg of polymer and 30 mg of dapivirine present the most moderate swelling, making them the most comfortable dosage forms. Their high bioadhesive capacity would also allow the formulation to remain in the action zone and release the drug in a sustained manner, pointing to this formulation as the most promising candidate for future evaluations of vaginal microbicides for the prevention of HIV. Full article
(This article belongs to the Special Issue Biomedical Polymer Materials)
Show Figures

Graphical abstract

15 pages, 673 KB  
Article
Dissolution Improvement of Atorvastatin Calcium using Modified Locust Bean Gum by the Solid Dispersion Technique
by Dharmila PANGHAL, Manju NAGPAL, Gurjeet Singh THAKUR and Sandeep ARORA
Sci. Pharm. 2014, 82(1), 177-192; https://doi.org/10.3797/scipharm.1301-23 - 9 Dec 2013
Cited by 33 | Viewed by 2281
Abstract
The present research was aimed at the enhancement of the dissolution rate of atorvastatin calcium by the solid dispersion technique using modified locust bean gum. Solid dispersions (SD) using modified locust bean gum were prepared by the modified solvent evaporation method. Other mixtures [...] Read more.
The present research was aimed at the enhancement of the dissolution rate of atorvastatin calcium by the solid dispersion technique using modified locust bean gum. Solid dispersions (SD) using modified locust bean gum were prepared by the modified solvent evaporation method. Other mixtures were also prepared by physical mixing, co-grinding, and the kneading method. The locust bean gum was subjected to heat for modification. The prepared solid dispersions and other mixtures were evaluated for equilibrium solubility studies, content uniformity, FTIR, DSC, XRD, in vitro drug release, and in vivo pharmacodynamic studies. The equilibrium solubility was enhanced in the solid dispersions (in a drug:polymer ratio of 1:6) and other mixtures such as the co-grinding mixture (CGM) and kneading mixture (KM). Maximum dissolution rate was observed in the solid dispersion batch SD3 (i.e. 50% within 15 min) with maximum drug release after 2 h (80%) out of all solid dispersions. The co-grinding mixture also exhibited a significant enhancement in the dissolution rate among the other mixtures. FTIR studies revealed the absence of drug-polymer interaction in the solid dispersions. Minor shifts in the endothermic peaks of the DSC thermograms of SD3 and CGM indicated slight changes in drug crystallinity. XRD studies further confirmed the results of DSC and FTIR. Topological changes were observed in SEM images of SD3 and CGM. In vivo pharmacodynamic studies indicated an improved efficacy of the optimized batch SD3 as compared to the pure drug at a dose of 3 mg/kg/day. Modified locust bean gum can be a promising carrier for solubility enhancement of poorly water-soluble drugs. The lower viscosity and wetting ability of MLBG, reduction in particle size, and decreased crystallinity of the drug are responsible for the dissolution enhancement of atorvastatin. The co-grinding mixture can be a good alternative to solid dispersions prepared by modified solvent evaporation due to its ease of preparation and significant improvement in dissolution characteristics. Full article
13 pages, 529 KB  
Article
Dairy-Based Emulsions: Viscosity Affects Fat Difference Thresholds and Sweetness Perception
by Susann Zahn, Karin Hoppert, Franziska Ullrich and Harald Rohm
Foods 2013, 2(4), 521-533; https://doi.org/10.3390/foods2040521 - 27 Nov 2013
Cited by 13 | Viewed by 10645
Abstract
In complex emulsions, viscosity or viscosity-associated sensory attributes such as creaminess are important for quality assessment and product differentiation. Two sets of emulsions with fat or locust bean gum content being varied at seven levels were developed; the two emulsions at each level [...] Read more.
In complex emulsions, viscosity or viscosity-associated sensory attributes such as creaminess are important for quality assessment and product differentiation. Two sets of emulsions with fat or locust bean gum content being varied at seven levels were developed; the two emulsions at each level had similar apparent viscosity. Additionally, sugar concentration was kept constant either with respect to total emulsion, or with respect to the aqueous phase. Series of two-alternative forced choice tests were performed with one constant stimulus, and just noticeable differences were calculated using probability regression. The results show that, when viscosity was not compensated, it was easy for the subjects to (a) distinguish emulsions with different fat content when the fat content was addressed in the question, and to (b) distinguish emulsions with different fat or locust bean gum content when creaminess was addressed. For the latter descriptor, it is of minor importance whether viscosity is altered by fat content or a thickener. Weber fractions that were calculated for viscosity were approximately 0.20. The quantitative effects of viscosity on sweetness, however, depend on how product rheology was modified. Full article
(This article belongs to the Special Issue Structure and Flavour of Dairy Products)
Show Figures

Figure 1

Back to TopTop