Sign in to use this feature.

Years

Between: -

Subjects

remove_circle_outline
remove_circle_outline
remove_circle_outline
remove_circle_outline
remove_circle_outline
remove_circle_outline
remove_circle_outline
remove_circle_outline

Journals

Article Types

Countries / Regions

Search Results (54)

Search Parameters:
Keywords = Mobile Cognitive Radio Network

Order results
Result details
Results per page
Select all
Export citation of selected articles as:
21 pages, 2310 KB  
Article
Development of a Model for Detecting Spectrum Sensing Data Falsification Attack in Mobile Cognitive Radio Networks Integrating Artificial Intelligence Techniques
by Lina María Yara Cifuentes, Ernesto Cadena Muñoz and Rafael Cubillos Sánchez
Algorithms 2025, 18(10), 596; https://doi.org/10.3390/a18100596 - 24 Sep 2025
Viewed by 117
Abstract
Mobile Cognitive Radio Networks (MCRNs) have emerged as a promising solution to address spectrum scarcity by enabling dynamic access to underutilized frequency bands assigned to Primary or Licensed Users (PUs). These networks rely on Cooperative Spectrum Sensing (CSS) to identify available spectrum, but [...] Read more.
Mobile Cognitive Radio Networks (MCRNs) have emerged as a promising solution to address spectrum scarcity by enabling dynamic access to underutilized frequency bands assigned to Primary or Licensed Users (PUs). These networks rely on Cooperative Spectrum Sensing (CSS) to identify available spectrum, but this collaborative approach also introduces vulnerabilities to security threats—most notably, Spectrum Sensing Data Falsification (SSDF) attacks. In such attacks, malicious nodes deliberately report false sensing information, undermining the reliability and performance of the network. This paper investigates the application of machine learning techniques to detect and mitigate SSDF attacks in MCRNs, particularly considering the additional challenges introduced by node mobility. We propose a hybrid detection framework that integrates a reputation-based weighting mechanism with Support Vector Machine (SVM) and K-Nearest Neighbors (KNN) classifiers to improve detection accuracy and reduce the influence of falsified data. Experimental results on software defined radio (SDR) demonstrate that the proposed method significantly enhances the system’s ability to identify malicious behavior, achieving high detection accuracy, reduces the rate of data falsification by approximately 5–20%, increases the probability of attack detection, and supports the dynamic creation of a blacklist to isolate malicious nodes. These results underscore the potential of combining machine learning with trust-based mechanisms to strengthen the security and reliability of mobile cognitive radio networks. Full article
Show Figures

Figure 1

13 pages, 1883 KB  
Article
A GAN-Based Method for Cognitive Covert Communication UAV Jamming-Assistance Under Fully Labeled Sample Conditions
by Wenxuan Fu, Bo Li, Haipeng Wang, Haochen Gong and Xiang Lin
Technologies 2025, 13(7), 283; https://doi.org/10.3390/technologies13070283 - 3 Jul 2025
Viewed by 484
Abstract
This paper addresses the optimization problem for mobile jamming assistance schemes in cognitive covert communication (CR-CC), where cognitive users adopt the underlying mode for spectrum access, while an unmanned aerial vehicle (UAV) transmits the same-frequency noise signals to interfere with eavesdroppers. Leveraging the [...] Read more.
This paper addresses the optimization problem for mobile jamming assistance schemes in cognitive covert communication (CR-CC), where cognitive users adopt the underlying mode for spectrum access, while an unmanned aerial vehicle (UAV) transmits the same-frequency noise signals to interfere with eavesdroppers. Leveraging the inherent dynamic game-theoretic characteristics of covert communication (CC) systems, we propose a novel covert communication optimization algorithm based on generative adversarial networks (GAN-CCs) to achieve system-wide optimization under the constraint of maximum detection error probability. In GAN-CC, the generator simulates legitimate users to generate UAV interference assistance schemes, while the discriminator simulates the optimal signal detection of eavesdroppers. Through the alternating iterative optimization of these two components, the dynamic game process in CC is simulated, ultimately achieving the Nash equilibrium. The numerical results show that, compared with the commonly used multi-objective optimization algorithm or nonlinear programming algorithm at present, this algorithm exhibits faster and more stable convergence, enabling the derivation of optimal mobile interference assistance schemes for cognitive CC systems. Full article
(This article belongs to the Section Information and Communication Technologies)
Show Figures

Figure 1

35 pages, 2102 KB  
Article
Enhancing Spectrum Utilization in Cognitive Radio Networks Using Reinforcement Learning with Snake Optimizer: A Meta-Heuristic Approach
by Haider Farhi, Abderraouf Messai and Tarek Berghout
Electronics 2025, 14(13), 2525; https://doi.org/10.3390/electronics14132525 - 21 Jun 2025
Viewed by 773
Abstract
The rapid development of sixth-generation mobile communication systems has brought about significant advancements in both Quality of Service (QoS) and Quality of Experience (QoE) for users, largely due to the extremely high data rates and a diverse range of service offerings. However, these [...] Read more.
The rapid development of sixth-generation mobile communication systems has brought about significant advancements in both Quality of Service (QoS) and Quality of Experience (QoE) for users, largely due to the extremely high data rates and a diverse range of service offerings. However, these advancements have also introduced challenges, especially concerning the growing demand for a wireless spectrum and the limited availability of resources. Various efforts have been made and research has attempted to tackle this issue such as the use of Cognitive Radio Networks (CRNs), which allows opportunistic spectrum access and intelligent resource management. This work demonstrate a new method in the optimization of allocation resource in CRNs based on the Snake Optimizer (SO) along with reinforcement learning (RL), which is an effective meta-heuristic algorithm that simulates snake cloning behavior. SO is tested over three different scenarios with varying numbers of secondary users (SUs), primary users (PUs), and frequency bands available. The obtained results reveal that the proposed approach is able to largely satisfy the aforementioned requirements and ensures high spectrum utilization efficiency and low collision rates, which eventually lead to the maximum possible spectral capacity. The study also demonstrates that SO is versatile and resilient and thus indicates its capability of serving as an effective method for augmenting resource management in next-generation wireless communication systems. Full article
Show Figures

Figure 1

59 pages, 4517 KB  
Review
Artificial Intelligence Empowering Dynamic Spectrum Access in Advanced Wireless Communications: A Comprehensive Overview
by Abiodun Gbenga-Ilori, Agbotiname Lucky Imoize, Kinzah Noor and Paul Oluwadara Adebolu-Ololade
AI 2025, 6(6), 126; https://doi.org/10.3390/ai6060126 - 13 Jun 2025
Cited by 1 | Viewed by 3677
Abstract
This review paper examines the integration of artificial intelligence (AI) in wireless communication, focusing on cognitive radio (CR), spectrum sensing, and dynamic spectrum access (DSA). As the demand for spectrum continues to rise with the expansion of mobile users and connected devices, cognitive [...] Read more.
This review paper examines the integration of artificial intelligence (AI) in wireless communication, focusing on cognitive radio (CR), spectrum sensing, and dynamic spectrum access (DSA). As the demand for spectrum continues to rise with the expansion of mobile users and connected devices, cognitive radio networks (CRNs), leveraging AI-driven spectrum sensing and dynamic access, provide a promising solution to improve spectrum utilization. The paper reviews various deep learning (DL)-based spectrum-sensing methods, highlighting their advantages and challenges. It also explores the use of multi-agent reinforcement learning (MARL) for distributed DSA networks, where agents autonomously optimize power allocation (PA) to minimize interference and enhance quality of service. Additionally, the paper discusses the role of machine learning (ML) in predicting spectrum requirements, which is crucial for efficient frequency management in the fifth generation (5G) networks and beyond. Case studies show how ML can help self-optimize networks, reducing energy consumption while improving performance. The review also introduces the potential of generative AI (GenAI) for demand-planning and network optimization, enhancing spectrum efficiency and energy conservation in wireless networks (WNs). Finally, the paper highlights future research directions, including improving AI-driven network resilience, refining predictive models, and addressing ethical considerations. Overall, AI is poised to transform wireless communication, offering innovative solutions for spectrum management (SM), security, and network performance. Full article
(This article belongs to the Special Issue Artificial Intelligence for Network Management)
Show Figures

Figure 1

22 pages, 1566 KB  
Article
Opportunistic Allocation of Resources for Smart Metering Considering Fixed and Random Wireless Channels
by Christian Jara, Juan Inga and Esteban Inga
Sensors 2025, 25(8), 2570; https://doi.org/10.3390/s25082570 - 18 Apr 2025
Viewed by 657
Abstract
This paper presents an optimization model for wireless channel allocation in cellular networks, specifically designed for the transmission of smart meter (SM) data through a mobile virtual network operator (MVNO). The model efficiently allocates transmission channels, minimizing smart grid (SG) costs. The MVNO [...] Read more.
This paper presents an optimization model for wireless channel allocation in cellular networks, specifically designed for the transmission of smart meter (SM) data through a mobile virtual network operator (MVNO). The model efficiently allocates transmission channels, minimizing smart grid (SG) costs. The MVNO manages fixed and random channels through a shared access scheme, optimizing meter connectivity. Channel allocation is based on a Markovian approach and optimized through the Hungarian algorithm that minimizes the weight in a bipartite network between meters and channels. In addition, cumulative tokens are introduced that weight transmissions according to channel availability and network congestion. Simulations show that dynamic allocation in virtual networks improves transmission performance, contributing to sustainability and cost reduction in cellular networks. This study highlights the importance of inefficient resource management by cognitive mobile virtual network and cognitive radio virtual network operators (C-MVNOs), laying a solid foundation for future applications in intelligent networks. This work is motivated by the increasing demand for efficient and scalable data transmission in smart metering systems. The novelty lies in integrating cumulative tokens and a Markovian-based bipartite graph matching algorithm, which jointly optimize channel allocation and transmission reliability under heterogeneous wireless conditions. Full article
(This article belongs to the Special Issue AI and Smart Sensors for Intelligent Transportation Systems)
Show Figures

Graphical abstract

15 pages, 11135 KB  
Article
Resilient Communication for Software Defined Radio: Machine Reasoning and Electromagnetic Spectrum Evaluation
by Sergey Edward Lyshevski, Richard Buckley and Christopher Feuerstein
Sensors 2025, 25(6), 1826; https://doi.org/10.3390/s25061826 - 14 Mar 2025
Viewed by 2597
Abstract
This paper investigates evaluation methodologies and machine reasoning schemes to analyze dynamic electromagnetic spectrum. We research practical and scalable classification of radio frequency signals across high frequency, very high frequency, ultra high frequency and super high frequency bands. The multi-band software defined radio, [...] Read more.
This paper investigates evaluation methodologies and machine reasoning schemes to analyze dynamic electromagnetic spectrum. We research practical and scalable classification of radio frequency signals across high frequency, very high frequency, ultra high frequency and super high frequency bands. The multi-band software defined radio, software defined mobile networks, and global navigation system receivers accomplish reconfigurable communication. Resilient communication, as well as high-fidelity analysis of extreme and congested electromagnetic spectra, are open problems due to challenges in classification of interference, distortions and adaptive jamming from spatially distributed transmitters and jammers. This paper documents high-fidelity characterization and dynamically reconfigured machine reasoning schemes to ensure the cognitive capabilities of communication systems. Low-fidelity experimental studies substantiate the spectrum evaluation methodology and demonstrate results. Full article
(This article belongs to the Section Communications)
Show Figures

Figure 1

34 pages, 3129 KB  
Article
Social-Aware Link Reliability Prediction Model Based Minimum Delay Routing for CR-VANETs
by Jing Wang, Wenshi Dan, Hong Li, Lingyu Yan, Aoxue Mei and Xing Tang
Electronics 2025, 14(3), 627; https://doi.org/10.3390/electronics14030627 - 5 Feb 2025
Cited by 1 | Viewed by 889
Abstract
Cognitive radio vehicle ad hoc networks (CR-VANETs) can utilize spectrum resources flexibly and efficiently and mitigate the conflict between limited spectrum resources and the ever-increasing demand for vehicular communication services. However, in CR-VANETs, the mobility characteristics of vehicles as well as the dynamic [...] Read more.
Cognitive radio vehicle ad hoc networks (CR-VANETs) can utilize spectrum resources flexibly and efficiently and mitigate the conflict between limited spectrum resources and the ever-increasing demand for vehicular communication services. However, in CR-VANETs, the mobility characteristics of vehicles as well as the dynamic topology changes and frequent disruptions of links can lead to large end-to-end delays. To address this issue, we propose the social-based minimum end-to-end delay routing (SMED) algorithm, which leverages the social attributes of both primary and secondary users to reduce end-to-end delay and packet loss. We analyze the influencing factors of vehicle communication in urban road segments and at intersections, formulate the end-to-end delay minimization problem as a nonlinear integer programming problem, and utilize two sub-algorithms to solve this problem. Simulation results show that, compared to the intersection delay-aware routing algorithm (IDRA) and the expected path duration maximization routing algorithm (EPDMR), our method demonstrates significant improvements in both end-to-end delay and packet loss rate. Specifically, the SMED routing algorithm achieved an average reduction of 11.7% in end-to-end delay compared to EPDMR and 25.0% compared to IDRA. Additionally, it lowered the packet loss rate by 24.9% on average compared to EPDMR and 32.5% compared to IDRA. Full article
(This article belongs to the Special Issue AI in Signal and Image Processing)
Show Figures

Figure 1

22 pages, 7085 KB  
Article
Multiple PUE Attack Detection in Cooperative Mobile Cognitive Radio Networks
by Ernesto Cadena Muñoz, Gustavo Chica Pedraza and Alexander Aponte Moreno
Future Internet 2024, 16(12), 456; https://doi.org/10.3390/fi16120456 - 4 Dec 2024
Cited by 1 | Viewed by 1112
Abstract
The Mobile Cognitive Radio Network (MCRN) are an alternative to spectrum scarcity. However, like any network, it comes with security issues to analyze. One of the attacks to analyze is the Primary User Emulation (PUE) attack, which leads the system to give the [...] Read more.
The Mobile Cognitive Radio Network (MCRN) are an alternative to spectrum scarcity. However, like any network, it comes with security issues to analyze. One of the attacks to analyze is the Primary User Emulation (PUE) attack, which leads the system to give the attacker the service as a legitimate user and use the Primary Users’ (PUs) spectrum resources. This problem has been addressed from perspectives like arrival time, position detection, cooperative scenarios, and artificial intelligence techniques (AI). Nevertheless, it has been studied with one PUE attack at once. This paper implements a countermeasure that can be applied when several attacks simultaneously exist in a cooperative network. A deep neural network (DNN) is used with other techniques to determine the PUE’s existence and communicate it with other devices in the cooperative MCRN. An algorithm to detect and share detection information is applied, and the results show that the system can detect multiple PUE attacks with coordination between the secondary users (SUs). Scenarios are implemented on software-defined radio (SDR) with a cognitive protocol to protect the PU. The probability of detection (PD) is measured for some signal-to-noise ratio (SNR) values in the presence of one PUE or more in the network, which shows high detection values above 90% for an SNR of -7dB. A database is also created with the attackers’ data and shared with all the SUs. Full article
(This article belongs to the Special Issue AI and Security in 5G Cooperative Cognitive Radio Networks)
Show Figures

Figure 1

30 pages, 1625 KB  
Article
A Robust Routing Protocol in Cognitive Unmanned Aerial Vehicular Networks
by Anatte Rozario, Ehasan Ahmed and Nafees Mansoor
Sensors 2024, 24(19), 6334; https://doi.org/10.3390/s24196334 - 30 Sep 2024
Cited by 1 | Viewed by 1806
Abstract
The adoption of UAVs in defence and civilian sectors necessitates robust communication networks. This paper presents a routing protocol for Cognitive Radio Unmanned Aerial Vehicles (CR-UAVs) in Flying Ad-hoc Networks (FANETs). The protocol is engineered to optimize route selection by considering crucial parameters [...] Read more.
The adoption of UAVs in defence and civilian sectors necessitates robust communication networks. This paper presents a routing protocol for Cognitive Radio Unmanned Aerial Vehicles (CR-UAVs) in Flying Ad-hoc Networks (FANETs). The protocol is engineered to optimize route selection by considering crucial parameters such as distance, speed, link quality, and energy consumption. A standout feature is the introduction of the Central Node Resolution Factor (CNRF), which enhances routing decisions. Leveraging the Received Signal Strength Indicator (RSSI) enables accurate distance estimation, crucial for effective routing. Moreover, predictive algorithms are integrated to tackle the challenges posed by high mobility scenarios. Security measures include the identification of malicious nodes, while the protocol ensures resilience by managing multiple routes. Furthermore, it addresses route maintenance and handles link failures efficiently, cluster formation, and re-clustering with joining and leaving new nodes along with the predictive algorithm. Simulation results showcase the protocol’s self-comparison under different packet sizes, particularly in terms of end-to-end delay, throughput, packet delivery ratio, and normalized routing load. However, superior performance compared to existing methods, particularly in terms of throughput and packet transmission delay, underscoring its potential for widespread adoption in both defence and civilian UAV applications. Full article
(This article belongs to the Section Sensor Networks)
Show Figures

Figure 1

15 pages, 2322 KB  
Article
Decision-Making Algorithm with Geographic Mobility for Cognitive Radio
by Gabriel B. Cervantes-Junco, Enrique Rodriguez-Colina, Leonardo Palacios-Luengas, Michael Pascoe-Chalke, Pedro Lara-Velázquez and Ricardo Marcelín-Jiménez
Sensors 2024, 24(5), 1540; https://doi.org/10.3390/s24051540 - 28 Feb 2024
Cited by 3 | Viewed by 1457
Abstract
The proposed novel algorithm named decision-making algorithm with geographic mobility (DMAGM) includes detailed analysis of decision-making for cognitive radio (CR) that considers a multivariable algorithm with geographic mobility (GM). Scarce research work considers the analysis of GM in depth, even though it plays [...] Read more.
The proposed novel algorithm named decision-making algorithm with geographic mobility (DMAGM) includes detailed analysis of decision-making for cognitive radio (CR) that considers a multivariable algorithm with geographic mobility (GM). Scarce research work considers the analysis of GM in depth, even though it plays a crucial role to improve communication performance. The DMAGM considerably reduces latency in order to accurately determine the best communication channels and includes GM analysis, which is not addressed in other algorithms found in the literature. The DMAGM was evaluated and validated by simulating a cognitive radio network that comprises a base station (BS), primary users (PUs), and CRs considering random arrivals and disappearance of mobile devices. The proposed algorithm exhibits better performance, through the reduction in latency and computational complexity, than other algorithms used for comparison using 200 channel tests per simulation. The DMAGM significantly reduces the decision-making process from 12.77% to 94.27% compared with ATDDiM, FAHP, AHP, and Dijkstra algorithms in terms of latency reduction. An improved version of the DMAGM is also proposed where feedback of the output is incorporated. This version is named feedback-decision-making algorithm with geographic mobility (FDMAGM), and it shows that a feedback system has the advantage of being able to continually adjust and adapt based on the feedback received. In addition, the feedback version helps to identify and correct problems, which can be beneficial in situations where the quality of communication is critical. Despite the fact that the FDMAGM may take longer than the DMAGM to calculate the best communication channel, constant feedback improves efficiency and effectiveness over time. Both the DMAGM and the FDMAGM improve performance in practical scenarios, the former in terms of latency and the latter in terms of accuracy and stability. Full article
(This article belongs to the Special Issue Cognitive Radio Networks: Technologies, Challenges and Applications)
Show Figures

Figure 1

42 pages, 1421 KB  
Review
A Review of Research on Spectrum Sensing Based on Deep Learning
by Yixuan Zhang and Zhongqiang Luo
Electronics 2023, 12(21), 4514; https://doi.org/10.3390/electronics12214514 - 2 Nov 2023
Cited by 28 | Viewed by 7648
Abstract
In recent years, with the rapid development in wireless communication and 5G networks, the rapid growth in mobile users has been accompanied by an increasing demand for the electromagnetic spectrum. The birth of cognitive radio and its spectrum-sensing technology provides hope for solving [...] Read more.
In recent years, with the rapid development in wireless communication and 5G networks, the rapid growth in mobile users has been accompanied by an increasing demand for the electromagnetic spectrum. The birth of cognitive radio and its spectrum-sensing technology provides hope for solving the problem of low utilization of the wireless spectrum. Artificial intelligence (AI) has been widely discussed globally. Deep learning technology, known for its strong learning ability and adaptability, plays a significant role in this field. Moreover, integrating deep learning with wireless communication technology has become a prominent research direction in recent years. The research objective of this paper is to summarize the algorithm of cognitive radio spectrum-sensing technology combined with deep learning technology. To review the advantages of deep-learning-based spectrum-sensing algorithms, this paper first introduces the traditional spectrum-sensing methods. It summarizes and compares the advantages and disadvantages of each method. It then describes the application of deep learning algorithms in spectrum sensing and focuses on the typical deep-neural-network-based sensing methods. Then, the existing deep-learning-based cooperative spectrum-sensing methods are summarized. Finally, the deep learning spectrum-sensing methods are discussed, along with challenges in the field and future research directions. Full article
Show Figures

Figure 1

17 pages, 2630 KB  
Article
Computational-Intelligence-Based Spectrum-Sharing Scheme for NOMA-Based Cognitive Radio Networks
by Kiran Sultan
Appl. Sci. 2023, 13(12), 7144; https://doi.org/10.3390/app13127144 - 14 Jun 2023
Cited by 10 | Viewed by 1719
Abstract
The integration of non-orthogonal multiple access (NOMA) technology and cognitive radio networks (CRNs) promises to enhance the spectrum utilization efficiency of 5G and beyond-5G (B5G) mobile communication systems. In this article, a NOMA-based spectrum-sharing scheme is proposed for dual-hop CRNs in which a [...] Read more.
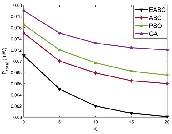
The integration of non-orthogonal multiple access (NOMA) technology and cognitive radio networks (CRNs) promises to enhance the spectrum utilization efficiency of 5G and beyond-5G (B5G) mobile communication systems. In this article, a NOMA-based spectrum-sharing scheme is proposed for dual-hop CRNs in which a primary transmitter separated by a long distance from the primary receiver communicates via NOMA-based CRN. In this scenario, we mathematically formulate a constrained optimization problem to maximize the sum rate of all secondary users (SUs) while maintaining the total transmit power of the system. Inspired by the effectiveness of computational intelligence (CI) tools in solving non-linear optimization problems, this article proposes three CI-based solutions to the given problem aiming to guarantee quality of service (QoS) for all users. In addition, an enhanced version of the classic artificial bee colony (ABC) algorithm, referred to here as the enhanced-artificial-bee-colony (EABC)-based power allocation scheme, is proposed to overcome the limitations of classic ABC. The comparison of different CI approaches illustrates that the minimum power required by the secondary NOMA relay to satisfy the primary rate threshold of 5 bit/s/Hz is 20 mW for EABC, while ABC, PSO and GA achieve the same target at 23 mW, 27 mW and 32 mW, respectively. Thus, EABC reduces power consumption by 13.95% compared to ABC, while 29.78% and 46.15% power-saving is achieved compared to PSO and GA, respectively. Full article
(This article belongs to the Section Computing and Artificial Intelligence)
Show Figures

Figure 1

18 pages, 4521 KB  
Article
PUE Attack Detection by Using DNN and Entropy in Cooperative Mobile Cognitive Radio Networks
by Ernesto Cadena Muñoz, Gustavo Chica Pedraza, Rafael Cubillos-Sánchez, Alexander Aponte-Moreno and Mónica Espinosa Buitrago
Future Internet 2023, 15(6), 202; https://doi.org/10.3390/fi15060202 - 31 May 2023
Cited by 5 | Viewed by 2329
Abstract
The primary user emulation (PUE) attack is one of the strongest attacks in mobile cognitive radio networks (MCRN) because the primary users (PU) and secondary users (SU) are unable to communicate if a malicious user (MU) is present. In the literature, some techniques [...] Read more.
The primary user emulation (PUE) attack is one of the strongest attacks in mobile cognitive radio networks (MCRN) because the primary users (PU) and secondary users (SU) are unable to communicate if a malicious user (MU) is present. In the literature, some techniques are used to detect the attack. However, those techniques do not explore the cooperative detection of PUE attacks using deep neural networks (DNN) in one MCRN network and with experimental results on software-defined radio (SDR). In this paper, we design and implement a PUE attack in an MCRN, including a countermeasure based on the entropy of the signals, DNN, and cooperative spectrum sensing (CSS) to detect the attacks. A blacklist is included in the fusion center (FC) to record the data of the MU. The scenarios are simulated and implemented on the SDR testbed. Results show that this solution increases the probability of detection (PD) by 20% for lower signal noise ratio (SNR) values, allowing the detection of the PUE attack and recording the data for future reference by the attacker, sharing the data for all the SU. Full article
Show Figures

Figure 1

24 pages, 5100 KB  
Article
Cognitive Radio with Machine Learning to Increase Spectral Efficiency in Indoor Applications on the 2.5 GHz Band
by Marilson Duarte Soares, Diego Passos and Pedro Vladimir Gonzalez Castellanos
Sensors 2023, 23(10), 4914; https://doi.org/10.3390/s23104914 - 19 May 2023
Cited by 7 | Viewed by 2672
Abstract
Due to the propagation characteristics in the 2.5 GHz band, the signal is significantly degraded by building entry loss (BEL), making coverage in indoor environments in some cases non-existent. Signal degradation inside buildings is a challenge for planning engineers, but it can be [...] Read more.
Due to the propagation characteristics in the 2.5 GHz band, the signal is significantly degraded by building entry loss (BEL), making coverage in indoor environments in some cases non-existent. Signal degradation inside buildings is a challenge for planning engineers, but it can be seen as a spectrum usage opportunity for a cognitive radio communication system. This work presents a methodology based on statistical modeling of data collected by a spectrum analyzer and the application of machine learning (ML) to leverage the use of those opportunities by autonomous and decentralized cognitive radios (CRs), independent of any mobile operator or external database. The proposed design targets using as few narrowband spectrum sensors as possible in order to reduce the cost of the CRs and sensing time, as well as improving energy efficiency. Those characteristics make our design especially interesting for internet of things (IoT) applications or low-cost sensor networks that may use idle mobile spectrum with high reliability and good recall. Full article
(This article belongs to the Special Issue Machine Learning for Wireless Sensor Networks and Systems)
Show Figures

Figure 1

27 pages, 6046 KB  
Article
Performance Analysis of Wirelessly Powered Cognitive Radio Network with Statistical CSI and Random Mobility
by Nadica Kozić, Vesna Blagojević, Aleksandra Cvetković and Predrag Ivaniš
Sensors 2023, 23(9), 4518; https://doi.org/10.3390/s23094518 - 6 May 2023
Cited by 6 | Viewed by 2497
Abstract
The relentless expansion of communications services and applications in 5G networks and their further projected growth bring the challenge of necessary spectrum scarcity, a challenge which might be overcome using the concept of cognitive radio. Furthermore, an extremely high number of low-power devices [...] Read more.
The relentless expansion of communications services and applications in 5G networks and their further projected growth bring the challenge of necessary spectrum scarcity, a challenge which might be overcome using the concept of cognitive radio. Furthermore, an extremely high number of low-power devices are introduced by the concept of the Internet of Things (IoT), which also requires efficient energy usage and practically applicable device powering. Motivated by these facts, in this paper, we analyze a wirelessly powered underlay cognitive system based on a realistic case in which statistical channel state information (CSI) is available. In the system considered, the primary and the cognitive networks share the same spectrum band under the constraint of an interference threshold and a maximal tolerable outage permitted by the primary user. To adopt the system model in realistic IoT application scenarios in which network nodes are mobile, we consider the randomly moving cognitive user receiver. For the analyzed system, we derive the closed-form expressions for the outage probability, the outage capacity, and the ergodic capacity. The obtained analytical results are corroborated by an independent simulation method. Full article
(This article belongs to the Special Issue RF Energy Harvesting and Wireless Power Transfer for IoT)
Show Figures

Figure 1

Back to TopTop