Computational-Intelligence-Based Spectrum-Sharing Scheme for NOMA-Based Cognitive Radio Networks
Abstract
1. Introduction
1.1. Related Work
1.2. Contributions
- For a dual-hop downlink CRN operating in half-duplex mode, a novel NOMA-assisted spectrum-sharing scheme is proposed in which a secondary NOMA relay (SR) first transmits the information for the PU and multiple SUs to the corresponding destinations. Then, a single best SU retransmits the primary signal in order to enhance QoS using maximal ratio combining (MRC), while the primary base station (PBS) transmits the next frame for the PU to the SR at the same time. The SU selection is based on the best channel condition for the PU.
- For the implementation of the proposed scheme, an enhanced version of ABC, referred to here as the enhanced-artificial-bee-colony (EABC)-based power allocation scheme, is proposed to overcome the limitations of classic ABC.
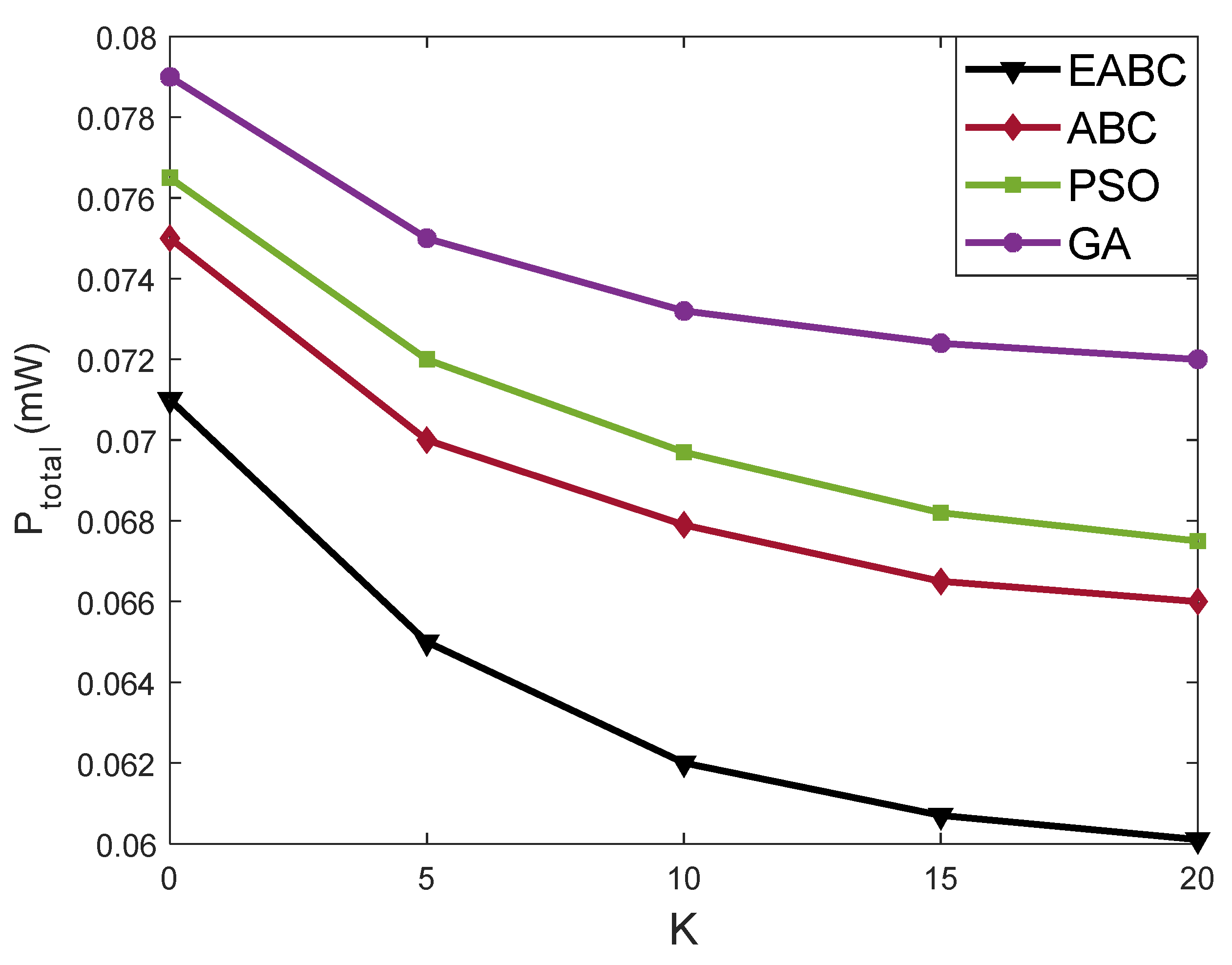
- To validate the effectiveness of the proposed EABC-based scheme, its performance is compared with the classic ABC and with the existing competent EA-based techniques in the literature, i.e., GA and PSO. It is clearly observed through simulations that EABC outsmarts the traditional version and other global optimizers in terms of convergence time and in achieving a higher sum rate while consuming minimum transmit power.
- The performance of the proposed scheme is validated by varying the transmit power at the NOMA relay, the rate threshold of the PU, and the number of SUs.
1.3. Organization and Notations
2. System Model and Problem Formulation
- Each node is equipped with a single antenna and thus operates in a half-duplex mode.
- Distance between SR and Q is greater than the distance between SR and any kth SU, hence the channel gains are arranged in the order of || ≤ || ≤ … ≤ ||.
- The whole communication process is controlled by NOMA relay SR with necessary control signals.
- Background noise is modeled as Additive White Gaussian Noise (AWGN) with zero mean and variance σ2.
2.1. NOMA-Assisted Power Allocation Scheme
2.1.1. Time Slot 1
2.1.2. Time Slot 2
3. CI-Based Power Allocation Schemes
3.1. Proposed EABC-Based Power Allocation Scheme
- OBs in the classic ABC algorithm perform selective updating of solutions by comparing the probability of fitness of each potential solution with a randomly generated number between 0 and 1. However, in EABC, we introduced a probability threshold δ to make an intelligent decision about selection of solutions by not updating any solution with a low fitness probability. This not only ensures the quality of each candidate solution but also saves the unnecessary hardware burden of updating weak solutions.
- SBs in the classic ABC algorithm randomly regenerate exhausted solutions. However, in EABC, the abandoned solutions are replaced with new ones that are randomly generated around the global best achieved so far to offer the regenerated solutions a good initial start.
| Algorithm 1: Proposed EABC-based power allocation scheme |
![]() |
3.2. PSO-Based Power Allocation Scheme
3.3. GA-Based Power Allocation Scheme
| Algorithm 2: GA-based Optimization |
| for i = 1:MGN 1. Tournament selection to choose the fittest individual 2. Crossovers to enrich the population with better chromosomes 3. Mutations to gain diversity and to avoid being trapped in local optima 4. Evaluate fitness function 5. Update local best solution end for Output: Global best with associated parameters |
4. Simulation Results and Discussion
5. Conclusions
Funding
Conflicts of Interest
References
- Dosti, E.; Shehab, M.; Alves, H.; Latva-Aho, M. On the performance of non-orthogonal multiple access in the finite block length regime. Ad Hoc Netw. 2019, 84, 148–157. [Google Scholar] [CrossRef]
- Chin, W.H.; Fan, Z.; Haines, R. Emerging technologies and research challenges for 5G wireless networks. IEEE Wirel. Commun. 2014, 21, 106–112. [Google Scholar] [CrossRef]
- Sultan, K. Best relay selection schemes for NOMA based cognitive relay networks in underlay Spectrum Sharing. IEEE Access 2020, 8, 190160–190172. [Google Scholar] [CrossRef]
- Latif, S.; Akraam, S.; Malik, A.J.; Abbasi, A.A.; Habib, M.; Lim, S. Improved channel allocation scheme for cognitive radio networks. Intell. Autom. Soft Comput. 2021, 27, 103–114. [Google Scholar] [CrossRef]
- Ding, F.; Wang, H.; Dai, M.; Zhang, S. An opportunistic source selection spectrum sharing protocol for overlay cognitive two-way relaying system. Wirel. Pers. Commun. 2017, 96, 4427–4450. [Google Scholar] [CrossRef]
- Jacob, P.; Sirigina, R.P.; Madhukumar, A.S.; Prasad, V.A. Cognitive radio for aeronautical communications: A survey. IEEE Access 2016, 4, 3417–3443. [Google Scholar] [CrossRef]
- Khan, A.; Khan, S.; Baig, S.; Asif, H.M.; Shin, S.Y. Wavelet OFDM with overlap FDE for non-Gaussian channels in precoded NOMA based systems. Future Gener. Comput. Syst. 2019, 97, 165–179. [Google Scholar] [CrossRef]
- Alkama, D.; Zenadji, S.; Ouamri, M.A.; Khireddine, A.; Azni, M. Performance of Resource Allocation for Downlink Non-Orthogonal Multiple Access Systems in Tri-Sectorial Cell. In Proceedings of the IEEE International Conference on Electrical Sciences and Technologies in Maghreb (CISTEM), Tunisia, Tunis, 26–28 October 2022; pp. 1–6. [Google Scholar]
- Luo, Q.; Gao, P.; Liu, Z.; Mheich, Z.; Xiao, P.; Maaref, A. An error rate comparison of power domain non-orthogonal multiple access and sparse code multiple access. IEEE Open J. Commun. Soc. 2021, 2, 500–511. [Google Scholar] [CrossRef]
- Kader, M.F.; Shahab, M.B.; Shin, S.Y. Exploiting non-orthogonal multiple access in cooperative relay sharing. IEEE Commun. Lett. 2017, 21, 1159–1162. [Google Scholar] [CrossRef]
- Cepowski, T. An estimation of motor yacht light displacement based on design parameters using computational intelligence techniques. Ocean Eng. 2021, 231, 109086. [Google Scholar] [CrossRef]
- Zaman, F.; Qureshi, I.M.; Rahman, A.U.; Tanoli, S.A.K. Multiple target localization with bistatic radar using heuristic computational intelligence techniques. Int. J. Antennas Propag. 2015, 2015, 982967. [Google Scholar] [CrossRef]
- Holland, J.H. Adaptation in Natural and Artificial Systems: An Introductory Analysis with Applications to Biology, Control, and Artificial Intelligence; MIT Press: London, UK, 1975. [Google Scholar]
- Kennedy, J.; Eberhart, R. Particle swarm optimization. In Proceedings of the IEEE Neural Networks, Perth, WA, Australia, 27 November–1 December 1995; pp. 1942–1948. [Google Scholar]
- Karaboga, D. An Idea Based on Honey Bee Swarm for Numerical Optimization; Technical Report TR06; Erciyes University: Kayseri, Turkey, 2005. [Google Scholar]
- Zhuang, J.; Wang, Y.; Zhang, S.; Wan, P.; Sun, C. A multi-antenna spectrum sensing scheme based on main information extraction and genetic algorithm clustering. IEEE Access 2019, 7, 119620–119630. [Google Scholar] [CrossRef]
- Hassan, H.E.; Hafez, A.E.; Saied, A.A. Optimum cognitive radio networks performance in AWGN using genetic algorithm. In Proceedings of the International Telecommunications Conference (ITC), Alexandria, Egypt, 13–15 July 2021. [Google Scholar]
- Cao, Y.; Pan, H. Energy-efficient cooperative spectrum sensing strategy for cognitive wireless sensor networks based on particle swarm optimization. IEEE Access 2020, 8, 214707–214715. [Google Scholar] [CrossRef]
- Prathima, A.; Gurjar, D.S.; Nguyen, H.H.; Bhardwaj, A. Performance analysis and optimization of bidirectional overlay cognitive radio networks with hybrid-SWIPT. IEEE Trans. Veh. Technol. 2020, 69, 13467–13481. [Google Scholar] [CrossRef]
- Bayrakdar, M.E.; Calhan, A. Optimization of spectrum handoff with artificial bee colony algorithm. In Proceedings of the 25th Signal Processing and Communications Applications Conference (SIU), Antalya, Turkey, 15–18 May 2017. [Google Scholar]
- Tian, M.; Deng, H.; Xu, M. Immune Parallel Artificial Bee Colony Algorithm for Spectrum Allocation in Cognitive Radio Sensor Networks. In Proceedings of the International Conference Computer, Information and Telecommunication Systems (CITS), Hangzhou, China, 5–7 October 2020. [Google Scholar]
- Kader, M.F.; Shin, S.Y. Performance analysis of cooperative spectrum sharing using non-orthogonal multiple access. Int. J. Commun. Syst. 2018, 31, e3481. [Google Scholar] [CrossRef]
- Lv, L.; Chen, J.; Ni, Q. Cooperative non-orthogonal multiple access in cognitive radio. IEEE Commun. Lett. 2016, 20, 2059–2062. [Google Scholar] [CrossRef]
- Kader, M.F. A power-domain NOMA based overlay spectrum sharing scheme. Future Gener. Comput. Syst. 2020, 105, 222–229. [Google Scholar] [CrossRef]
- Huang, H.; Shi, Y.; Liang, L.; He, J.; Zhang, X. Performance analysis of overlay cognitive NOMA network with imperfect SIC and imperfect CSI. Phys. Commun. 2022, 53, 101711. [Google Scholar] [CrossRef]
- Chen, B.; Chen, Y.; Chen, Y.; Cao, Y.; Zhao, N.; Ding, Z. A novel spectrum sharing scheme assisted by secondary NOMA relay. IEEE Wirel. Commun. Lett. 2018, 7, 732–735. [Google Scholar] [CrossRef]
- Emam, S.; Celebi, M.E. Non-orthogonal multiple access protocol for overlay cognitive radio networks using spatial modulation and antenna selection. Int. J. Electron. Commun. 2018, 86, 171–176. [Google Scholar] [CrossRef]
- Bhattacharjee, S.; Acharya, T.; Battacharya, U. NOMA inspired multicasting in cognitive radio networks. IET Commun. 2018, 12, 1845–1853. [Google Scholar] [CrossRef]
- Kim, N.-S. Overlay cognitive radio NOMA networks with selected relay and direct Link. Int. J. Eng. Sys. 2020, 13, 181–190. [Google Scholar] [CrossRef]
- Zhang, X.; Zhang, B.; An, K.; Chen, Z.; Xie, X.; Wang, H.; Wang, L.; Guo, D. Outage performance of NOMA-based cognitive hybrid satellite terrestrial overlay networks by Amplify-and-Forward protocols. IEEE Access 2019, 7, 85372–85381. [Google Scholar] [CrossRef]
- Luo, L.; Li, Q.; Cheng, J. Performance analysis of overlay cognitive NOMA systems with imperfect successive interference cancellation. IEEE Trans. Commun. 2020, 68, 4709–4722. [Google Scholar] [CrossRef]
- Sultan, K.; Alharbey, R.A. ULA-based near-field source localization in cognitive femtocell network: A comparative study of genetic algorithm hybridized with pattern search and swarm intelligence. IET Commun. 2019, 13, 1753–1761. [Google Scholar] [CrossRef]
- Ibrahim, A.-W.; Shafik, M.B.; Ding, M.; Sarhan, M.A.; Fang, Z.; Alareqi, A.G.; Al’Moqri, T.; Ayman, M.A. PV Maximum Power-Point tracking using modified particle swarm optimization under partial shading conditions. Chin. J. Elect. Eng. 2020, 6, 106–121. [Google Scholar] [CrossRef]
- Sultan, K.; Qureshi, I.M.; Atta-u-Rahman, M.; Zafar, B.A.; Zaheer, M. CSI Based Multiple Relay Selection and Transmit Power Saving Scheme for Underlay CRNs Using FRBS and Swarm Intelligence. Int. J. Appl. Metaheuristic Comput. 2019, 10, 1–18. [Google Scholar] [CrossRef]
- Huang, Q.; Tang, J.; Li, H.; Nie, J. Reactive power optimization for distribution network based on improved bacterial chemotaxis particle swarm optimization. In Proceedings of the 12th International Symposium on Computational Intelligence and Design, Hangzhou, China, 14–15 December 2019; pp. 189–191. [Google Scholar]
- Sengupta, S.; Basak, S.; Peters, R.A., II. Particle Swarm Optimization: A Survey of historical and recent developments with hybridization perspectives. Mach. Learn. Knowl. Extr. 2019, 1, 157–191. [Google Scholar] [CrossRef]
- Abo-Alsabeh, R.R.; Salhi, A. The genetic algorithm, a study survey. Iraqi J. Sci. 2022, 63, 1215–1231. [Google Scholar]
- Ouamri, M.A.; Sylia, Z.; Selia, K. Optimal base station location in LTE heterogeneous network using non-dominated sorting genetic algorithm II. Int. J. Wirel. Mob. Comput. 2018, 14, 328–334. [Google Scholar]
- Cao, Y.; Feng, W.; Quan, Y.; Bao, W.; Dauphin, G.; Ren, A.; Yuan, X.; Xing, M. Forest disaster detection method based on ensemble spatial-spectral genetic algorithm. IEEE J. Sel. Top. Appl. Earth Obs. Remote Sens. 2022, 15, 7375–7390. [Google Scholar] [CrossRef]
- Pham, D.T.; Huynh, T.T.B. An effective combination of genetic algorithms and the variable neighborhood search for solving travelling salesman problem. In Proceedings of the Conference on Technologies and Applications of Artificial Intelligence (TAAI), Tainan, Taiwan, 20–22 November 2015. [Google Scholar]








| Ref. | Year | Major Focus | Primary DL | Performance Analysis |
|---|---|---|---|---|
| [22] | 2018 | Single cooperative relay to assist distant PU | Yes | OP and ergodic sum capacity showed improved performance compared to conventional NOMA networks |
| [23] | 2016 | Select the single best relay to forward the primary signal | Yes | Improved OP, but not suitable for long physical separation between primary transmit-receive pair |
| [24] | 2020 | Coordinate direct and secondary relay transmission to assist weak PU | Yes | OP and ergodic sum capacity analysis through Monte Carlo simulations showed improved performance compared to conventional NOMA networks |
| [25] | 2022 | Direct and relay transmission to assist cell-edge users | Yes | Better SIC and more accurate CSI required to enhance OP and system capacity |
| [26] | 2018 | Enable primary communication through relay selection and power control | No | Improved secondary transmission rate and total transmit power of the system, but fairness among SRs is ignored |
| [27] | 2018 | Utilize NOMA with spatial modulation and antenna selection | Yes | Symbol error probability analysis through Monte Carlo simulations showed improved spectrum utilization efficiency, but more multifaceted |
| [28] | 2018 | Exploit spatial diversity to overcome fading impairments | Yes | Improved OP and ergodic capacity provided appropriate allocation of time slots for cooperation |
| [29] | 2020 | Exploit spatial diversity through relay selection and combining technologies | Yes | Improved OP and reduced transmit power with increase in the number of SUs as compared to conventional CR NOMA networks, but performance depends on location of the relay |
| - | This Article | Enable primary communication under deep shadowing through secondary NOMA relay and single best SU from secondary network to exploit spatial diversity | No | Optimize the sum rate of SUs and total transmit power of the system using different state-of-the-art CI tools (EABC, ABC, GA, and PSO) while guaranteeing QoS at the primary network |
| Notation | Definition |
|---|---|
| SUk | kth secondary user |
| SUsel | Selected SU for retransmission of xQ |
| Γ | Set of potential SUs |
| K | Number of potential SUs |
| Q | Primary Receiver |
| x0 | Signal required by Q |
| xk | Signal required by SUk |
| xSR | Signal received by SR |
| xI | Composite signal transmitted by SR |
| g0 | Link gain between SR and Q |
| gk | Link gain between SR and SUk |
| h0 | Link gain between PBS and SR |
| hk | Link gain between SUk and Q |
| hsel | Link gain between SUsel and Q |
| P0 | Transmit power of PBS allocated to Q |
| PS | Transmit power of SR |
| pk | Power allocated to SUk |
| Psel | Transmit power of SUsel |
| γ0 | Rate threshold required by Q |
| γk | Rate threshold required by SUk |
| λ0 | Power allocation coefficient of Q |
| λk | Power allocation coefficient of SUk |
| Rp | Achievable rate at SR |
| Rk | Achievable rate at SUk |
| RQ | Achievable rate at Q |
| σ2 | Noise variance |
| Probability of fitness |
| Parameters | Values |
|---|---|
| Selection | Stochastic uniform |
| Mutation | Adaptive feasible |
| Crossover | Heuristic |
| Crossover fraction | 0.2 |
| Function tolerance | |
| Migration direction | Both ways |
| Scaling function | Rank |
Disclaimer/Publisher’s Note: The statements, opinions and data contained in all publications are solely those of the individual author(s) and contributor(s) and not of MDPI and/or the editor(s). MDPI and/or the editor(s) disclaim responsibility for any injury to people or property resulting from any ideas, methods, instructions or products referred to in the content. |
© 2023 by the author. Licensee MDPI, Basel, Switzerland. This article is an open access article distributed under the terms and conditions of the Creative Commons Attribution (CC BY) license (https://creativecommons.org/licenses/by/4.0/).
Share and Cite
Sultan, K. Computational-Intelligence-Based Spectrum-Sharing Scheme for NOMA-Based Cognitive Radio Networks. Appl. Sci. 2023, 13, 7144. https://doi.org/10.3390/app13127144
Sultan K. Computational-Intelligence-Based Spectrum-Sharing Scheme for NOMA-Based Cognitive Radio Networks. Applied Sciences. 2023; 13(12):7144. https://doi.org/10.3390/app13127144
Chicago/Turabian StyleSultan, Kiran. 2023. "Computational-Intelligence-Based Spectrum-Sharing Scheme for NOMA-Based Cognitive Radio Networks" Applied Sciences 13, no. 12: 7144. https://doi.org/10.3390/app13127144
APA StyleSultan, K. (2023). Computational-Intelligence-Based Spectrum-Sharing Scheme for NOMA-Based Cognitive Radio Networks. Applied Sciences, 13(12), 7144. https://doi.org/10.3390/app13127144


