Sign in to use this feature.

Years

Between: -

Subjects

remove_circle_outline
remove_circle_outline
remove_circle_outline
remove_circle_outline
remove_circle_outline
remove_circle_outline
remove_circle_outline
remove_circle_outline

Journals

Article Types

Countries / Regions

remove_circle_outline
remove_circle_outline
remove_circle_outline
remove_circle_outline
remove_circle_outline
remove_circle_outline

Search Results (463)

Search Parameters:
Keywords = Mittag-Leffler functions

Order results
Result details
Results per page
Select all
Export citation of selected articles as:
13 pages, 280 KB  
Article
A Note on Controllability of Time Invariant Linear Fractional h-Difference Equations
by Ferhan M. Atıcı, Jagan Mohan Jonnalagadda and Amber Wu
Fractal Fract. 2025, 9(12), 784; https://doi.org/10.3390/fractalfract9120784 - 1 Dec 2025
Viewed by 208
Abstract
In this paper, we establish and prove two main results: (i) a Kalman-like controllability criterion, and (ii) a rank condition on the controllability matrix, defined via the discrete Mittag–Leffler function, for time-invariant linear fractional-order h-discrete systems. Using some properties of the Mittag–Leffler-type [...] Read more.
In this paper, we establish and prove two main results: (i) a Kalman-like controllability criterion, and (ii) a rank condition on the controllability matrix, defined via the discrete Mittag–Leffler function, for time-invariant linear fractional-order h-discrete systems. Using some properties of the Mittag–Leffler-type function within the framework of fractional h-discrete calculus, we state and prove the variation of constants formula for an initial value problem. Then we use this formula to prove the equivalence between two notions of controllability: complete controllability and controllability to the origin. Full article
(This article belongs to the Special Issue Advances in Dynamics and Control of Fractional-Order Systems)
17 pages, 314 KB  
Article
Existence and Approximate Controllability for Higher-Order Hilfer Fractional Evolution Equations via Fixed-Point and Sequence Approaches
by Marimuthu Mohan Raja, Chan-Ho Han and Kalyana Chakravarthy Veluvolu
Mathematics 2025, 13(23), 3810; https://doi.org/10.3390/math13233810 - 27 Nov 2025
Viewed by 189
Abstract
This study addresses the existence and approximate controllability of a type of higher-order Hilfer fractional evolution differential (HOHFED) system with time delays in Banach spaces. Using the properties of the Mittag–Leffler function, cosine families, and Hilfer-type fractional differential operators, we first demonstrate the [...] Read more.
This study addresses the existence and approximate controllability of a type of higher-order Hilfer fractional evolution differential (HOHFED) system with time delays in Banach spaces. Using the properties of the Mittag–Leffler function, cosine families, and Hilfer-type fractional differential operators, we first demonstrate the existence and uniqueness of mild solutions using a fixed-point method. Furthermore, a sequential technique is proposed to establish adequate conditions for approximate controllability. A detailed example is provided to illustrate the applicability and effectiveness of the theoretical results. Full article
(This article belongs to the Special Issue Mathematical Inequalities and Fractional Calculus)
23 pages, 1750 KB  
Article
On the Stability and Synchronization of Distributed-Order Coupled Delayed Neural Networks: A Novel Halanay Inequality Technique
by Fengxian Wang, Xiaoyu Liang, Ruidong Chen and Xinge Liu
Fractal Fract. 2025, 9(12), 769; https://doi.org/10.3390/fractalfract9120769 - 25 Nov 2025
Viewed by 335
Abstract
This paper investigates the stability and synchronization of distributed-order coupled delayed neural networks (DOCDNNs). First, an analytical solution to the distributed-order linear system is proved, thus resulting in an asymptotic stability criterion for distributed-order linear systems. This solution function is an extension of [...] Read more.
This paper investigates the stability and synchronization of distributed-order coupled delayed neural networks (DOCDNNs). First, an analytical solution to the distributed-order linear system is proved, thus resulting in an asymptotic stability criterion for distributed-order linear systems. This solution function is an extension of the Mittag–Leffler function. Then, a series of pivotal mathematical properties of the solution function are established, encompassing differential formula, monotonicity, weak additivity, and asymptotic property. It is further demonstrated that a novel distributed-order non-autonomous Halanay inequality can be derived from the unique properties of the solution function. Based on the proposed Halanay inequality technique, an asymptotic stability determination theorem for distributed-order nonlinear systems is derived. Moreover, the stability and synchronization of DOCNNs are analyzed using this theorem. The efficacy of the proposed method is substantiated by two numerical examples. Full article
Show Figures

Figure 1

38 pages, 601 KB  
Article
A New Laplace-Type Transform on Weighted Spaces with Applications to Hybrid Fractional Cauchy Problems
by Samten Choden, Jakgrit Sompong, Ekkarath Thailert and Sotiris K. Ntouyas
Fractal Fract. 2025, 9(11), 751; https://doi.org/10.3390/fractalfract9110751 - 20 Nov 2025
Viewed by 454
Abstract
This paper develops a generalized Laplace transform theory within weighted function spaces tailored for the analysis of fractional differential equations involving the ψ-Hilfer derivative. We redefine the transform in a weighted setting, establish its fundamental properties—including linearity, convolution theorems, and action on [...] Read more.
This paper develops a generalized Laplace transform theory within weighted function spaces tailored for the analysis of fractional differential equations involving the ψ-Hilfer derivative. We redefine the transform in a weighted setting, establish its fundamental properties—including linearity, convolution theorems, and action on δψ derivatives—and derive explicit formulas for the transforms of ψ-Riemann–Liouville, ψ-Caputo, and ψ-Hilfer fractional operators. The results provide a rigorous analytical foundation for solving hybrid fractional Cauchy problems that combine classical and fractional derivatives. As an application, we solve a hybrid model incorporating both δψ derivatives and ψ-Hilfer fractional derivatives, obtaining explicit solutions in terms of multivariate Mittag-Leffler functions. The effectiveness of the method is illustrated through a capacitor charging model and a hydraulic door closer system based on a mass-damper model, demonstrating how fractional-order terms capture memory effects and non-ideal behaviors not described by classical integer-order models. Full article
Show Figures

Figure 1

22 pages, 348 KB  
Article
Mittag–Leffler Stability of a Switched Fractional Gene Regulatory Network Model with a Short Memory
by Ravi P. Agarwal, Snezhana Hristova and Donal O’Regan
Mathematics 2025, 13(22), 3704; https://doi.org/10.3390/math13223704 - 18 Nov 2025
Viewed by 231
Abstract
A model of gene regulatory networks with generalized Caputo fractional derivatives with respect to another function is set up in this paper. The main characteristic of the model is the presence of a switching rule, which changes at certain times at both the [...] Read more.
A model of gene regulatory networks with generalized Caputo fractional derivatives with respect to another function is set up in this paper. The main characteristic of the model is the presence of a switching rule, which changes at certain times at both the lower limit of the applied fractional derivative and the right-side part of the equations. This gives the opportunity for better and more adequate modeling of the problem. Mittag–Leffler-type stability is defined for the model and studied with two types of Lyapunov functions. Initially, some properties of absolute value Lyapunov functions and quadratic Lyapunov functions are given, and two types of sufficient conditions are obtained. An example is provided to illustrate our theoretical results and the influences of the type of fractional derivative as well the switching rule on the stability behavior of the equilibrium. Full article
20 pages, 366 KB  
Article
Novel Error Bounds of Milne Formula Type Inequalities via Quantum Calculus with Computational Analysis and Applications
by Amjad E. Hazma, Abdul Mateen, Talha Anwar and Ghada AlNemer
Mathematics 2025, 13(22), 3698; https://doi.org/10.3390/math13223698 - 18 Nov 2025
Viewed by 244
Abstract
Quantum calculus is a powerful extension of classical calculus, providing novel tools for deriving sharper and more efficient analytical results without relying on limits. This study investigates error estimations for Milne formula-type inequalities within the framework of quantum calculus, offering a fresh perspective [...] Read more.
Quantum calculus is a powerful extension of classical calculus, providing novel tools for deriving sharper and more efficient analytical results without relying on limits. This study investigates error estimations for Milne formula-type inequalities within the framework of quantum calculus, offering a fresh perspective on numerical integration theory. New variants of Milne’s formula-type inequalities are established for q-differentiable convex functions by first deriving a key quantum integral identity. The primary aim of this work is to obtain sharper and more accurate bounds for Milne’s formula compared to existing results in the literature. The validity of the proposed results is demonstrated through illustrative examples and graphical analysis. Furthermore, applications to special means of real numbers, the Mittag–Leffler function, and numerical integration formulas are presented to emphasize the practical significance of the findings. This study contributes to advancing the theoretical foundations of both classical and quantum calculus and enhances the understanding of integral inequality theory. Full article
(This article belongs to the Section C: Mathematical Analysis)
Show Figures

Figure 1

16 pages, 417 KB  
Article
Analysis of Finite Integrals with Incomplete Aleph Functions, Mittag-Leffler Generalizations, and the Error Function
by Dinesh Kumar, Frédéric Ayant, Meena Kumari Gurjar, Anil Kumar Vishnoi and Saroj Solanki
Fractal Fract. 2025, 9(11), 734; https://doi.org/10.3390/fractalfract9110734 - 13 Nov 2025
Viewed by 448
Abstract
In this paper, we evaluate a general class of finite integrals involving the error function, generalized Mittag-Leffler functions, and incomplete Aleph functions. The main result provides a unified framework that extends several known formulas related to the incomplete Gamma, I-, and H [...] Read more.
In this paper, we evaluate a general class of finite integrals involving the error function, generalized Mittag-Leffler functions, and incomplete Aleph functions. The main result provides a unified framework that extends several known formulas related to the incomplete Gamma, I-, and H-functions. Under suitable conditions, these results reduce to many classical special cases. We discuss convergence conditions that justify the validity of the obtained formulas and include explicit corollaries that highlight connections with earlier results in the literature. To illustrate applicability, we present numerical examples and graphs, demonstrating the behavior of the error function integral and Mittag-Leffler functions for specific parameter values. These integrals arise naturally in fractional calculus, probability theory, viscoelasticity, and anomalous diffusion, underscoring the importance of the present work in both mathematical analysis and applications. Full article
Show Figures

Figure 1

17 pages, 1025 KB  
Article
A Vectorization Approach to Solving and Controlling Fractional Delay Differential Sylvester Systems
by Fatemah Mofarreh and Ahmed M. Elshenhab
Mathematics 2025, 13(22), 3631; https://doi.org/10.3390/math13223631 - 12 Nov 2025
Viewed by 213
Abstract
This paper addresses the solvability and controllability of fractional delay differential Sylvester matrix equations with non-permutable coefficient matrices. By applying a vectorization approach and Kronecker product algebra, we transform the matrix-valued problem into an equivalent vector system, enabling the derivation of explicit solution [...] Read more.
This paper addresses the solvability and controllability of fractional delay differential Sylvester matrix equations with non-permutable coefficient matrices. By applying a vectorization approach and Kronecker product algebra, we transform the matrix-valued problem into an equivalent vector system, enabling the derivation of explicit solution representations using a delayed perturbation of two-parameter Mittag-Leffler-type matrix functions. We establish necessary and sufficient conditions for controllability via a fractional delay Gramian matrix, providing a computationally verifiable criterion that requires no commutativity assumptions. The theoretical results are validated through numerical examples, demonstrating effectiveness in noncommutative scenarios where classical methods fail. Full article
(This article belongs to the Special Issue New Trends in Fractional Differential Equations with Applications)
Show Figures

Figure 1

17 pages, 421 KB  
Article
Lyapunov-Based Analysis of Partial Practical Stability in Tempered Fractional Calculus
by Mohamad A. Alawad
Fractal Fract. 2025, 9(11), 716; https://doi.org/10.3390/fractalfract9110716 - 6 Nov 2025
Cited by 1 | Viewed by 492
Abstract
This study presents a comprehensive Lyapunov-based framework for analyzing partial practical stability in nonlinear tempered fractional-order systems (TFOS). We develop novel stability concepts including β*-practical uniform generalized Mittag–Leffler stability (β*-PUGMLS) and β*-practical uniform exponential stability ( [...] Read more.
This study presents a comprehensive Lyapunov-based framework for analyzing partial practical stability in nonlinear tempered fractional-order systems (TFOS). We develop novel stability concepts including β*-practical uniform generalized Mittag–Leffler stability (β*-PUGMLS) and β*-practical uniform exponential stability (β*-PUES) with respect to system substates. Through carefully constructed Lyapunov functions, we establish sufficient conditions under which the system’s states converge to a predefined neighborhood of the origin. The theoretical framework provides Mittag–Leffler and exponential stability criteria for tempered fractional-order systems, extending classical stability theory to this important class of systems. Furthermore, we apply these stability results to design stabilizing feedback controllers for a specific class of triangular TFOS, demonstrating the practical utility of our theoretical developments. The efficacy of the proposed stability criteria and control strategy is validated through several illustrative examples, showing that system states converge appropriately under the derived conditions. This work contributes significantly to the stability theory of fractional-order systems and provides practical tools for controlling complex nonlinear systems in the tempered fractional calculus framework. Full article
Show Figures

Figure 1

23 pages, 545 KB  
Article
Reconstruction of an Unknown Input Function in a Multi-Term Time-Fractional Diffusion Model Governed by the Fractional Laplacian
by Eman Alruwaili, Mustapha Benoudi, Abdeldjalil Chattouh and Hamed Ould Sidi
Fractal Fract. 2025, 9(11), 713; https://doi.org/10.3390/fractalfract9110713 - 5 Nov 2025
Viewed by 437
Abstract
In the present work, we aim to study the inverse problem of recovering an unknown spatial source term in a multi-term time-fractional diffusion equation involving the fractional Laplacian. The forward problem is first analyzed in appropriate fractional Sobolev spaces, establishing the existence, uniqueness, [...] Read more.
In the present work, we aim to study the inverse problem of recovering an unknown spatial source term in a multi-term time-fractional diffusion equation involving the fractional Laplacian. The forward problem is first analyzed in appropriate fractional Sobolev spaces, establishing the existence, uniqueness, and regularity of solutions. Exploiting the spectral representation of the solution and properties of multinomial Mittag–Leffler functions, we prove uniqueness and derive a stability estimate for the spatial source term from finaltime observations. The inverse problem is then formulated as a Tikhonov regularized optimization problem, for which existence, uniqueness, and strong convergence of the regularized minimizer are rigorously established. On the computational side, we propose an efficient reconstruction algorithm based on the conjugate gradient method, with temporal discretization via an L1-type scheme for Caputo derivatives and spatial discretization using a Galerkin approach adapted to the nonlocal fractional Laplacian. Numerical experiments confirm the accuracy and robustness of the proposed method in reconstructing the unknown source term. Full article
Show Figures

Figure 1

19 pages, 10756 KB  
Article
Solution of Fraction Navier–Stokes Equation Using Homotopy Analysis Method
by Hamza Mihoubi and Awatif Muflih Alqahtani
AppliedMath 2025, 5(4), 148; https://doi.org/10.3390/appliedmath5040148 - 2 Nov 2025
Viewed by 401
Abstract
In the present study, we aimed to derive analytical solutions of the homotopy analysis method (HAM) for the time-fractional Navier–Stokes equations in cylindrical coordinates in the form of a rapidly convergent series. In this work, we explore the time-fractional Navier–Stokes equations by replacing [...] Read more.
In the present study, we aimed to derive analytical solutions of the homotopy analysis method (HAM) for the time-fractional Navier–Stokes equations in cylindrical coordinates in the form of a rapidly convergent series. In this work, we explore the time-fractional Navier–Stokes equations by replacing the standard time derivative with the Katugampola fractional derivative, expressed in the Caputo form. The homotopy analysis method is then employed to obtain an analytical solution for this time-fractional problem. The convergence of the proposed method to the solution is demonstrated. To validate the method’s accuracy and effectiveness, two examples of time-fractional Navier–Stokes equations modeling fluid flow in a pipe are presented. A comparison with existing results from previous studies is also provided. This method can be used as an alternative to obtain analytic and approximate solutions of different types of fractional differential equations applied in engineering mathematics. Full article
Show Figures

Figure 1

15 pages, 549 KB  
Article
Perfect Projective Synchronization of a Class of Fractional-Order Chaotic Systems Through Stabilization near the Origin via Fractional-Order Backstepping Control
by Abdelhamid Djari, Riadh Djabri, Abdelaziz Aouiche, Noureddine Bouarroudj, Yehya Houam, Maamar Bettayeb, Mohamad A. Alawad and Yazeed Alkhrijah
Fractal Fract. 2025, 9(11), 687; https://doi.org/10.3390/fractalfract9110687 - 25 Oct 2025
Viewed by 631
Abstract
This study introduces a novel control strategy aimed at achieving projective synchronization in incommensurate fractional-order chaotic systems (IFOCS). The approach integrates the mathematical framework of fractional calculus with the recursive structure of the backstepping control technique. A key feature of the proposed method [...] Read more.
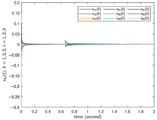
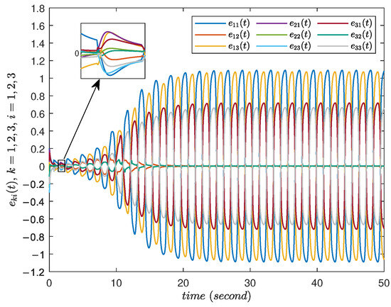
This study introduces a novel control strategy aimed at achieving projective synchronization in incommensurate fractional-order chaotic systems (IFOCS). The approach integrates the mathematical framework of fractional calculus with the recursive structure of the backstepping control technique. A key feature of the proposed method is the systematic use of the Mittag–Leffler function to verify stability at every step of the control design. By carefully constructing the error dynamics and proving their asymptotic convergence, the method guarantees the overall stability of the coupled system. In particular, stabilization of the error signals around the origin ensures perfect projective synchronization between the master and slave systems, even when these systems exhibit fundamentally different fractional-order chaotic behaviors. To illustrate the applicability of the method, the proposed fractional order backstepping control (FOBC) is implemented for the synchronization of two representative systems: the fractional-order Van der Pol oscillator and the fractional-order Rayleigh oscillator. These examples were deliberately chosen due to their structural differences, highlighting the robustness and versatility of the proposed approach. Extensive simulations are carried out under diverse initial conditions, confirming that the synchronization errors converge rapidly and remain stable in the presence of parameter variations and external disturbances. The results clearly demonstrate that the proposed FOBC strategy not only ensures precise synchronization but also provides resilience against uncertainties that typically challenge nonlinear chaotic systems. Overall, the work validates the effectiveness of FOBC as a powerful tool for managing complex dynamical behaviors in chaotic systems, opening the way for broader applications in engineering and science. Full article
Show Figures

Figure 1

25 pages, 393 KB  
Article
Geometric Attributes of Analytic Functions Generated by Mittag-Leffler Function
by Ekram E. Ali, Rabha M. El-Ashwah, Wafaa Y. Kota and Abeer M. Albalahi
Mathematics 2025, 13(20), 3284; https://doi.org/10.3390/math13203284 - 14 Oct 2025
Cited by 2 | Viewed by 296
Abstract
This study examines the necessary requirements for some analytic function subclasses, especially those associated with the generalized Mittag-Leffler function, to be classified as univalent function subclasses that are determined by particular geometric constraints. The core methodology revolves around the application of the Hadamard [...] Read more.
This study examines the necessary requirements for some analytic function subclasses, especially those associated with the generalized Mittag-Leffler function, to be classified as univalent function subclasses that are determined by particular geometric constraints. The core methodology revolves around the application of the Hadamard (or convolution) product involving a normalized Mittag-Leffler function Mκ,χ(ζ), leading to the definition of a new linear operator Sχ,ϑκ(ζ). We investigate inclusion results in the recently defined subclasses Ξ˜(ϖ,ϱ),L^(ϖ,ϱ),K^(ϖ,ϱ) and F^(ϖ,ϱ), which generalize the classical classes of starlike, convex, and close-to-convex functions. This is achieved by utilizing recent developments in the theory of univalent functions. In addition, we examine the behavior of functions from the class Rθ(E,V) under the action of the convolution operator Wχ,ϑκh(ζ), establishing sufficient criteria for the resulting images to lie within the subclasses of analytic function. Also, certain mapping properties related to these subclasses are analyzed. In addition, the geometric features of an integral operator connected to the Mittag-Leffler function are examined. A few particular cases of our main findings are also mentioned and examined and the paper ends with the conclusions regarding the obtained results. Full article
24 pages, 757 KB  
Article
A One-Phase Fractional Spatial Stefan Problem with Convective Specification at the Fixed Boundary
by Diego E. Guevara, Sabrina D. Roscani, Domingo A. Tarzia and Lucas D. Venturato
Axioms 2025, 14(10), 757; https://doi.org/10.3390/axioms14100757 - 8 Oct 2025
Viewed by 558
Abstract
We address a fractional spatial Stefan problem derived from a non-Fourier heat flux model with a convective boundary condition at the fixed boundary. An explicit solution is obtained in terms of a three-parameter Mittag–Leffler function. A dimensionless formulation is used to derive a [...] Read more.
We address a fractional spatial Stefan problem derived from a non-Fourier heat flux model with a convective boundary condition at the fixed boundary. An explicit solution is obtained in terms of a three-parameter Mittag–Leffler function. A dimensionless formulation is used to derive a family of fractional spatial Stefan problems that depend on the Biot and Stefan numbers. Finally, a straightforward numerical method for approximating the solutions is presented, along with numerical experiments analyzing the influence of the physical parameters and the order of fractional differentiation. Full article
Show Figures

Figure 1

22 pages, 1259 KB  
Article
Finite-Time Adaptive Cluster Synchronization of Heterogeneous Fractional-Order Dynamic Networks with Community Structure and Co-Competition Interactions
by Peipei Zhou and Shuiming Cai
Fractal Fract. 2025, 9(10), 641; https://doi.org/10.3390/fractalfract9100641 - 30 Sep 2025
Viewed by 499
Abstract
This paper is devoted to investigating the problem of finite-time (FnT) adaptive cluster synchronization for heterogeneous fractional-order dynamic networks (FODNs) with community structure and co-competition interactions. By designing a suitable adaptive controller and using reduction to absurdity, some sufficient conditions are derived to [...] Read more.
This paper is devoted to investigating the problem of finite-time (FnT) adaptive cluster synchronization for heterogeneous fractional-order dynamic networks (FODNs) with community structure and co-competition interactions. By designing a suitable adaptive controller and using reduction to absurdity, some sufficient conditions are derived to ensure the considered heterogeneous FODNs can achieve cluster synchronization over a FnT interval. Meanwhile, the cluster-synchronized setting times (CSSTs) are evaluated effectively by means of the monotonicity of the Mittag-Leffler function. It is indicated that the estimated CSSTs are associated with the order of the derivation and the control parameters. Finally, numerical simulations are carried out to validate the effectiveness of our theoretical results. Full article
Show Figures

Figure 1

Back to TopTop