Lyapunov-Based Analysis of Partial Practical Stability in Tempered Fractional Calculus
Abstract
1. Introduction
- Stability Results: We establish results on practical Mittag–Leffler stability and practical exponential stability for TFOS.
- Controller Design: A feedback controller is proposed for a class of TFOS to enhance system performance.
- Conceptual Advancement: Unlike [27], which focuses on power systems and uses SOS optimization for polynomial controllers, our work develops a Lyapunov-based framework for partial practical stability in general nonlinear TFOS and introduces two new stability concepts (-PUGMLS and -PUES). Furthermore, we address triangular systems and provide constructive controller design without relying on SOS tools.
- Numerical Validation: Several numerical examples are provided to demonstrate the effectiveness of the proposed results.
2. Preliminaries
3. Main Results
- (i)
- -practically uniformly exponentially stable with respect to (-PUES-), if for every , there is , , and such that for everywith as and there is with , for all .
- (ii)
- -practically uniformly generalized Mittag–Leffler stable with respect to (-PUGMLS-), if for every , there is , , , and such that for everywith , as and there is with , , for all .
- 1.
- 2.
- , and , with λ, .
- The function is bounded.
- as wherewith , whereand
- 1.
- 2.
- for all for some .
- , , with .
- The function is bounded.
- and as .
4. Practical Stability for a Class of Triangular Systems
5. Conclusions
Funding
Data Availability Statement
Conflicts of Interest
References
- Dorgham, A.; Hammami, M.A. Practical tracking control of a class of uncertain nonlinear systems and unknown output function. Int. J. Adapt. Control Signal Process. 2023, 37, 2434–2450. [Google Scholar] [CrossRef]
- Damak, H.; Hammami, M.A.; Maaloul, K. Observers Based Control for Stabilization of Non-autonomous Evolution Equations in Banach Spaces. Complex Anal. Oper. Theory 2023, 17, 65. [Google Scholar] [CrossRef]
- Ben Makhlouf, A. On the Stability of Caputo Fractional-Order Systems: A Survey. In Fractional Order Systems-Control Theory and Applications: Fundamentals and Applications; Springer International Publishing: Cham, Switzerland, 2021; pp. 1–8. [Google Scholar]
- Sontag, E.D. Smooth stabilization implies coprime factorization. IEEE Trans. Autom. Control 1989, 34, 435–443. [Google Scholar] [CrossRef]
- El-Borai, M.M.; Moustafa, O.L.; Ahmed, H.M. Asymptotic stability of some stochastic evolution equations. Appl. Math. Comput. 2003, 144, 273–286. [Google Scholar] [CrossRef]
- Khandani, K.; Majd, M.J.; Tahmasebi, M. Integral sliding mode control for robust stabilisation of uncertain stochastic time-delay systems driven by fractional Brownian motion. Int. J. Syst. Sci. 2017, 48, 828–837. [Google Scholar] [CrossRef]
- Benabdallah, A.; Ellouze, I.; Hammami, M.A. Practical exponential stability of perturbed triangular systems and a separation principle. Asian J. Control 2011, 13, 445–448. [Google Scholar] [CrossRef]
- Ghanmi, B. On the Practical h-stability of Nonlinear Systems of Differential Equations. J. Dyn. Control Syst. 2019, 25, 691–713. [Google Scholar] [CrossRef]
- Hamzaoui, A.; Taieb, N.H.; Hammami, M.A. Practical partial stability of time-varying systems. Discret. Contin. Dyn.-Syst.-B 2022, 7, 3585–3603. [Google Scholar] [CrossRef]
- Ghanmi, B. Stability of impulsive systems depending on a parameter. Math. Methods Appl. Sci. 2016, 39, 2626–2646. [Google Scholar] [CrossRef]
- Alaia, E.B.; Dhahri, S.; Naifar, O. A Gradient-Based Optimization Algorithm for Optimal Control Problems with General Conformable Fractional Derivatives. IEEE Access 2025, 2025, 3595958. [Google Scholar] [CrossRef]
- Naifar, O. Practical Observer Design for Nonlinear Systems using Caputo Fractional Derivative with Respect to Another Function. In Proceedings of the IEEE 22nd International Multi-Conference on Systems, Signals and Devices (SSD), Monastir, Tunisia, 17–20 February 2025; pp. 411–418. [Google Scholar]
- Naifar, O.; Makhlouf, A.B.; Mchiri, L.; Rhaima, M. Finite Time Stability for Hadamard Fractional-Order Systems. Ain Shams Eng. J. 2025, 16, 103263. [Google Scholar] [CrossRef]
- Dhahri, S.; Naifar, O. Fault-Tolerant Tracking Control for Linear Parameter-Varying Systems under Actuator and Sensor Faults. Mathematics 2023, 11, 4738. [Google Scholar] [CrossRef]
- Dhahri, S.; Naifar, O. Robust Fault Estimation and Tolerant Control for Uncertain Takagi-Sugeno Fuzzy Systems. Symmetry 2023, 15, 1894. [Google Scholar] [CrossRef]
- Ben Makhlouf, A.; Naifar, O. On the Barbalat Lemma Extension for the Generalized Conformable Fractional Integrals: Application to Adaptive Observer Design. Asian J. Control 2023, 25, 563–569. [Google Scholar]
- Naifar, O.; Boukettaya, G. On Observer Design of Systems Based on Renewable Energy. In Advances in Observer Design and Observation for Nonlinear Systems: Fundamentals and Applications; Springer: Cham, Switzerland, 2022; pp. 135–176. [Google Scholar]
- Naifar, O.; Makhlouf, A.B. Synchronization of Mutual Coupled Fractional Order One-Sided Lipschitz Systems. Integration 2021, 80, 41–45. [Google Scholar] [CrossRef]
- Naifar, O.; Jmal, A.; Ben Makhlouf, A.; Derbel, N.; Hammami, M.A. Fault Estimation for Nonlinear One-Sided Lipschitz Systems. In Fractional Order Systems—Control Theory and Applications: Fundamentals and Applications; Springer: Cham, Switzerland, 2021; pp. 95–122. [Google Scholar]
- Naifar, O.; Jmal, A.; Ben Makhlouf, A.; Derbel, N.; Hammami, M.A. Observer-Based Control for Fractional-Order Systems. In Fractional Order Systems—Control Theory and Applications: Fundamentals and Applications; Springer: Cham, Switzerland, 2021; pp. 75–93. [Google Scholar]
- Engheta, N. On fractional calculus and fractional multipoles in electromagnetism. IEEE Trans. Antennas Propag. 1996, 44, 554–566. [Google Scholar] [CrossRef]
- Hilfer, R. Applications of Fractional Calculus in Physics; World Scientific: Singapore, 2000. [Google Scholar]
- Sadek, L.; Sadek, O.; Alaoui, H.T.; Abdo, M.S.; Shah, K.; Abdeljawad, T. Fractional order modeling of predicting covid-19 with isolation and vaccination strategies in Morocco. CMES-Comput. Model. Eng. Sci 2023, 136, 1931–1950. [Google Scholar] [CrossRef]
- Erturk, V.S.; Kumar, P. Solution of a COVID-19 model via new generalized Caputo-type fractional derivatives. Chaos Solitons Fractals 2020, 139, 110280. [Google Scholar] [CrossRef]
- Ben Makhlouf, A. Superstability of higher-order fractional differential equations. Ann. Univ. Craiova-Math. Comput. Sci. Ser. 2022, 49, 11–14. [Google Scholar]
- Rguigui, H.; Elghribi, M. Practical stabilization for a class of tempered fractional-order nonlinear fuzzy systems. Asian J. Control 2025. [Google Scholar] [CrossRef]
- Gassara, H.; Kharrat, D.; Ben Makhlouf, A.; Mchiri, L.; Rhaima, M. SOS Approach for Practical Stabilization of Tempered Fractional-Order Power System. Mathematics 2023, 11, 3024. [Google Scholar] [CrossRef]
- Ben Makhlouf, A. Stability with respect to part of the variables of nonlinear Caputo fractional differential equations. Math. Commun. 2018, 23, 119–126. [Google Scholar]
- Ben Makhlouf, A. Partial practical stability for fractional-order nonlinear systems. Math. Methods Appl. Sci. 2022, 45, 5135–5148. [Google Scholar] [CrossRef]
- Ben Makhlouf, A. A novel finite time stability analysis of nonlinear fractional-order time delay systems: A fixed point approach. Asian J. Control 2022, 24, 3580–3587. [Google Scholar] [CrossRef]
- Naifar, O. Tempered Fractional Gradient Descent: Theory, Algorithms, and Robust Learning Applications. Neural Netw. 2025, 193, 108005. [Google Scholar] [CrossRef] [PubMed]
- Abouelregal, A.E.; Alhassan, Y.; Alsaeed, S.S.; Elzayady, M.E. Tempered Fractional Thermal Conduction Model for Magnetoelastic Solids with Spherical Holes under Time-Dependent Laser Pulse Heating. Arch. Appl. Mech. 2025, 95, 27. [Google Scholar] [CrossRef]
- Abouelregal, A.E.; Civalek, Ö; Akgöz, B.; Foul, A.; Askar, S.S. Analysis of Thermoelastic Behavior of Porous Cylinders with Voids via a Nonlocal Space-Time Elastic Approach and Caputo-Tempered Fractional Heat Conduction. Mech. Time-Depend. Mater. 2025, 29, 1–32. [Google Scholar] [CrossRef]
- Alawad, M.A.; Louhichi, B. Innovative Observer Design for Nonlinear Tempered Fractional-Order Systems. Asian J. Control 2025. [Google Scholar] [CrossRef]
- Deng, J.; Ma, W.; Deng, K.; Li, Y. Tempered Mittag-Leffler Stability of Tempered Fractional Dynamical Systems. Math. Probl. Eng. 2020, 2020, 7962542. [Google Scholar] [CrossRef]
- Kilbas, A.A.; Srivastava, H.M.; Trujillo, J.J. Theory and Applications of Fractional Differential Equations; North-Holland Mathematics Studies; Elsevier: Amsterdam, The Netherlands, 2006; Volume 204. [Google Scholar]
- Erdelyi, A. Higher Transcendental Functions; McGraw-Hill: New-York, NY, USA, 1953; Volume III. [Google Scholar]
- Podlubny, I. Fractional Differential Equations; Academic Press: San Diego, CA, USA, 1999. [Google Scholar]
- Miller, K.; Samko, S. A Note on the Complete Monotonicity of the Generalized Mittag-Leffler Function. Real Anal. Exch. 1999, 23, 753–756. [Google Scholar] [CrossRef]
- Kuczma, M. An Introduction to the Theory of Functional Equations and Inequalities: Cauchy’s Equation and Jensen’s Inequality; Birkhauser: Basel, Switzerland, 2009. [Google Scholar]
- Li, C.; Deng, W.; Zhao, L. Well-posedness and numerical algorithm for the tempered fractional differential equations. Discret. Contin. Dyn. Syst. Ser. B 2019, 24, 1989–2015. [Google Scholar] [CrossRef]
- Miller, R.K.; Feldstein, A. Smoothness of solutions of Volterra integral equations with weakly singular kernels. SIAM J. Math. Anal. 1971, 2, 242–258. [Google Scholar] [CrossRef]






| Aspect | Ben Makhlouf (2022) [29] | Gassara et al. (2023) [27] | This Paper |
|---|---|---|---|
| Fractional operator | Caputo () | Tempered Caputo () | Tempered Caputo () |
| Problem setting | Partial practical stability of nonlinear FOS | Practical stabilization of power systems | Partial practical stability of general nonlinear TFOS |
| Main notions | Partial practical stability | Practical Mittag–Leffler stability (PMLS) | -PUGMLS and -PUES (new concepts) |
| Methodology | Lyapunov inequalities | SOS optimization for polynomial controller | Lyapunov-based framework with new comparison bounds for tempered kernels |
| Convergence rate | Mittag–Leffler decay | Mittag–Leffler decay with tempered factor | Exponential × ML decay (faster due to ) |
| Scope of systems | General Caputo FOS + triangular class | Power systems only | General TFOS + triangular class with feedback design |
| Controller design | Yes (triangular systems) | Polynomial controller via SOS | Constructive state feedback for triangular TFOS |
| Partial (substate) results | Yes | Not considered | Yes stability with respect to substate |
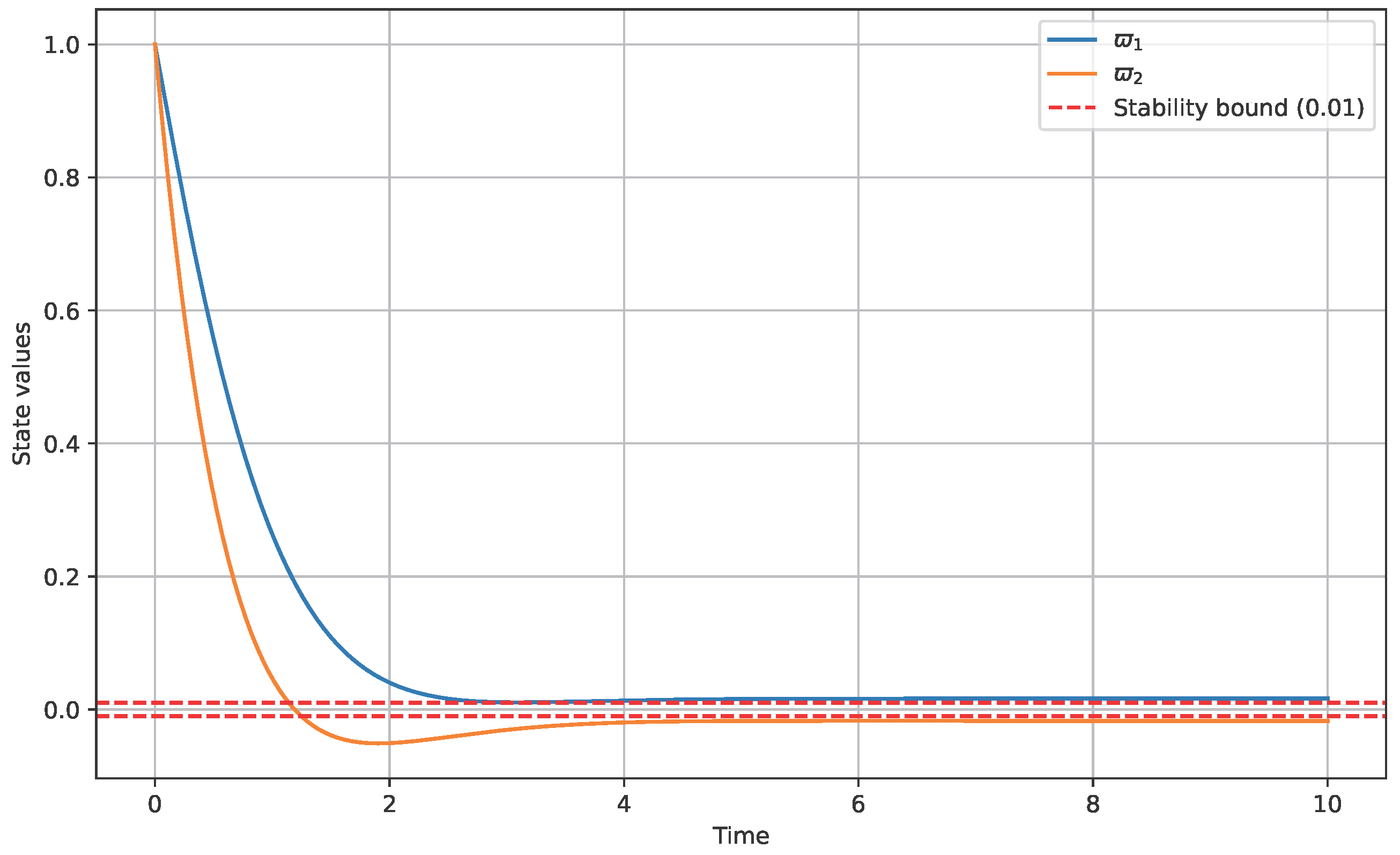
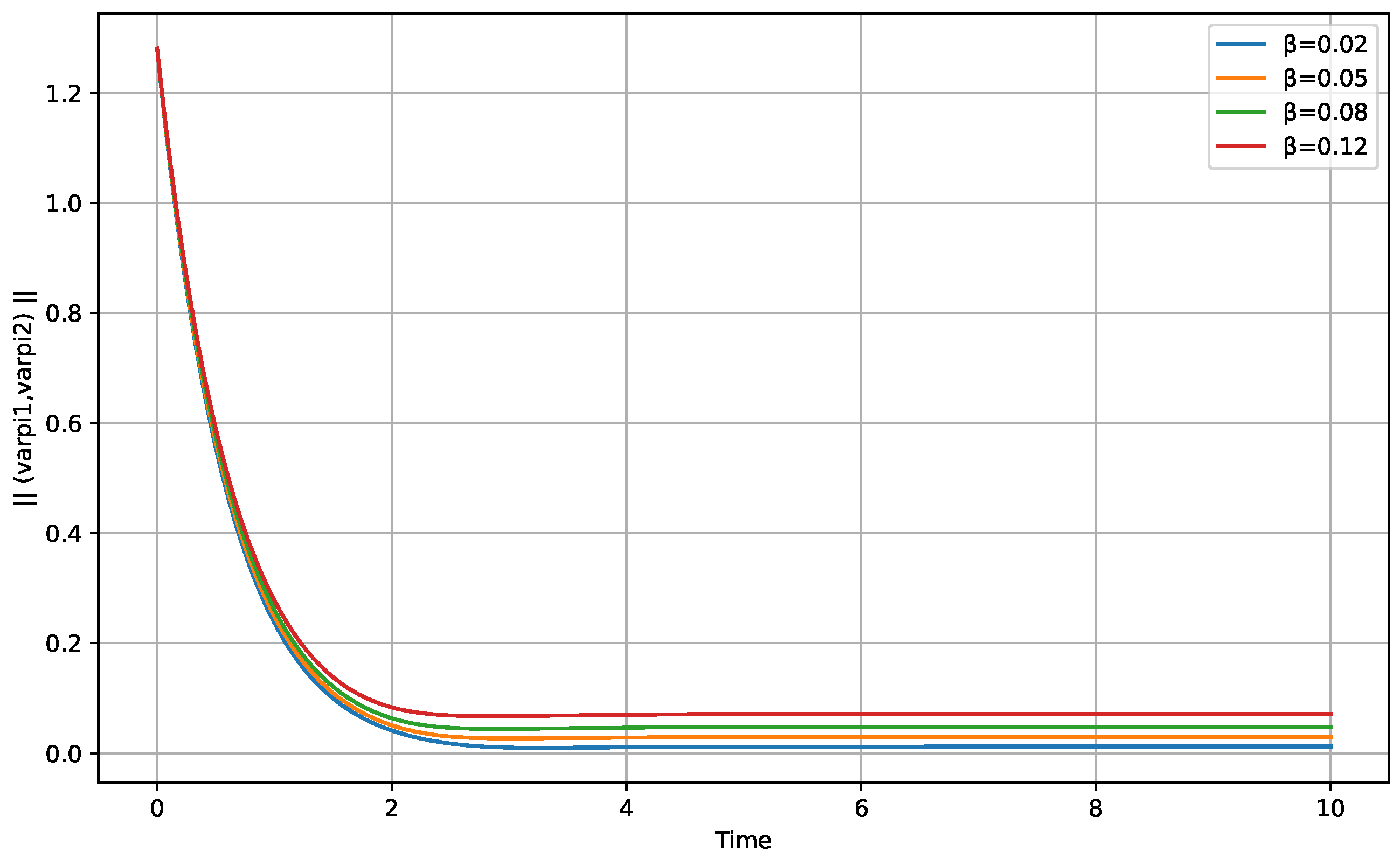
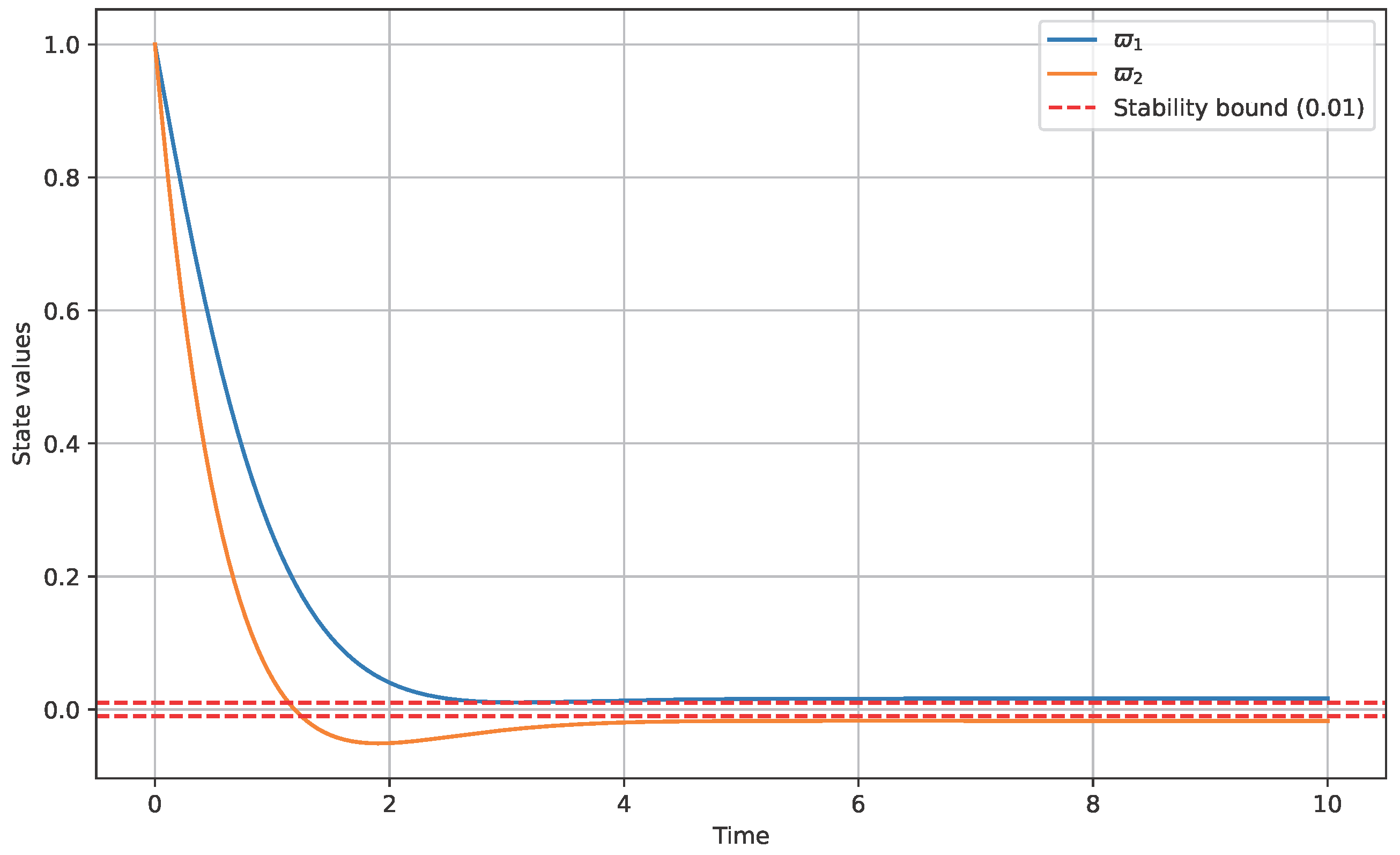
| Numerical evidence | Examples without | Power system simulations | Full-state trajectories, robustness vs. , semi-log plots |
| Relation to the tempered literature | Not applicable (Caputo only) | First SOS-based approach for tempered PS | First Lyapunov-based framework for partial practical stability in TFOS |
Disclaimer/Publisher’s Note: The statements, opinions and data contained in all publications are solely those of the individual author(s) and contributor(s) and not of MDPI and/or the editor(s). MDPI and/or the editor(s) disclaim responsibility for any injury to people or property resulting from any ideas, methods, instructions or products referred to in the content. |
© 2025 by the author. Licensee MDPI, Basel, Switzerland. This article is an open access article distributed under the terms and conditions of the Creative Commons Attribution (CC BY) license (https://creativecommons.org/licenses/by/4.0/).
Share and Cite
Alawad, M.A. Lyapunov-Based Analysis of Partial Practical Stability in Tempered Fractional Calculus. Fractal Fract. 2025, 9, 716. https://doi.org/10.3390/fractalfract9110716
Alawad MA. Lyapunov-Based Analysis of Partial Practical Stability in Tempered Fractional Calculus. Fractal and Fractional. 2025; 9(11):716. https://doi.org/10.3390/fractalfract9110716
Chicago/Turabian StyleAlawad, Mohamad A. 2025. "Lyapunov-Based Analysis of Partial Practical Stability in Tempered Fractional Calculus" Fractal and Fractional 9, no. 11: 716. https://doi.org/10.3390/fractalfract9110716
APA StyleAlawad, M. A. (2025). Lyapunov-Based Analysis of Partial Practical Stability in Tempered Fractional Calculus. Fractal and Fractional, 9(11), 716. https://doi.org/10.3390/fractalfract9110716

