Sign in to use this feature.

Years

Between: -

Subjects

remove_circle_outline
remove_circle_outline
remove_circle_outline
remove_circle_outline
remove_circle_outline

Journals

Article Types

Countries / Regions

Search Results (7)

Search Parameters:
Keywords = Mills cross configuration

Order results
Result details
Results per page
Select all
Export citation of selected articles as:
24 pages, 11545 KB  
Article
Workpiece Coordinate System Measurement for a Robotic Timber Joinery Workflow
by Francisco Quitral-Zapata, Rodrigo García-Alvarado, Alejandro Martínez-Rocamora and Luis Felipe González-Böhme
Buildings 2025, 15(15), 2712; https://doi.org/10.3390/buildings15152712 - 31 Jul 2025
Viewed by 502
Abstract
Robotic timber joinery demands integrated, adaptive methods to compensate for the inherent dimensional variability of wood. We introduce a seamless robotic workflow to enhance the measurement accuracy of the Workpiece Coordinate System (WCS). The approach leverages a Zivid 3D camera mounted in an [...] Read more.
Robotic timber joinery demands integrated, adaptive methods to compensate for the inherent dimensional variability of wood. We introduce a seamless robotic workflow to enhance the measurement accuracy of the Workpiece Coordinate System (WCS). The approach leverages a Zivid 3D camera mounted in an eye-in-hand configuration on a KUKA industrial robot. The proposed algorithm applies a geometric method that strategically crops the point cloud and fits planes to the workpiece surfaces to define a reference frame, calculate the corresponding transformation between coordinate systems, and measure the cross-section of the workpiece. This enables reliable toolpath generation by dynamically updating WCS and effectively accommodating real-world geometric deviations in timber components. The workflow includes camera-to-robot calibration, point cloud acquisition, robust detection of workpiece features, and precise alignment of the WCS. Experimental validation confirms that the proposed method is efficient and improves milling accuracy. By dynamically identifying the workpiece geometry, the system successfully addresses challenges posed by irregular timber shapes, resulting in higher accuracy for timber joints. This method contributes to advanced manufacturing strategies in robotic timber construction and supports the processing of diverse workpiece geometries, with potential applications in civil engineering for building construction through the precise fabrication of structural timber components. Full article
(This article belongs to the Special Issue Architectural Design Supported by Information Technology: 2nd Edition)
Show Figures

Figure 1

15 pages, 7605 KB  
Article
Choosing the Design of a Radial-Shear Rolling Mill for Obtaining a Screw Profile
by Sergey Lezhnev, Abdrakhman Naizabekov, Andrey Tolkushkin, Evgeniy Panin, Dmitry Kuis, Alexandr Arbuz, Pavel Tsyba and Elena Shyraeva
Modelling 2024, 5(3), 1101-1115; https://doi.org/10.3390/modelling5030057 - 27 Aug 2024
Cited by 3 | Viewed by 1505
Abstract
The purpose of this work is a comparative analysis of the workpiece shape, and parameters of the stress-strain state during deformation on two radial-shear rolling mills with different roll configurations to determine the most suitable scheme for obtaining a screw reinforcement profile. During [...] Read more.
The purpose of this work is a comparative analysis of the workpiece shape, and parameters of the stress-strain state during deformation on two radial-shear rolling mills with different roll configurations to determine the most suitable scheme for obtaining a screw reinforcement profile. During the FEM simulation of the radial-shear rolling process in the DEFORM program, a comparison of the workpiece shape change after rolling, equivalent strain, damage index, and Lode–Nadai index was carried out. Steel 10 (analogue of AISI 1010) was chosen as material workpiece. The analysis of the obtained data revealed that the most rational choice for the implementation of the reinforcement profile production process is the radial-shear rolling mill RSR 10-30. Subsequent modeling of the combined process of radial-shear rolling and twisting in a screw matrix showed that when using rolls of RSR 10-30 mill, the screw profile of the workpiece is formed successfully, whereas using rolls of the SVP-08 mill, the formation of a screw profile is impossible due to jamming due to an irregular cross-section shape. A laboratory experiment confirmed the possibility of forming a screw reinforcement profile at RSR 10-30 mill, and an assessment of the geometric parameters of the final workpiece showed full compliance with the dimensions of the profiles obtained during modeling and experiment. Full article
(This article belongs to the Special Issue Finite Element Simulation and Analysis)
Show Figures

Graphical abstract

14 pages, 2555 KB  
Article
A Consistent One-Dimensional Multigroup Diffusion Model for Molten Salt Reactor Neutronics Calculations
by Mohamed Elhareef, Zeyun Wu and Massimiliano Fratoni
J. Nucl. Eng. 2023, 4(4), 654-667; https://doi.org/10.3390/jne4040041 - 6 Oct 2023
Cited by 4 | Viewed by 2592
Abstract
Molten Salt Reactors (MSRs) have recently gained resurged research and development interest in the advanced reactor community. Several computational tools are being developed to capture the strong neutronics/thermal-hydraulics coupling effect in this special reactor configuration. This paper presents a consistent one-dimensional (1D) multigroup [...] Read more.
Molten Salt Reactors (MSRs) have recently gained resurged research and development interest in the advanced reactor community. Several computational tools are being developed to capture the strong neutronics/thermal-hydraulics coupling effect in this special reactor configuration. This paper presents a consistent one-dimensional (1D) multigroup neutron diffusion model for MSR analysis, with the primary aim for fast and accurate calculations for long transients, as well as sensitivity and uncertainty analysis of the reactor. A fictitious radial leakage cross section is introduced in the model to properly account for the radial leakage effects of the reactor. The leakage cross section and other consistent neutronics parameters are generated with the Monte Carlo code Serpent using high-fidelity three-dimensional (3D) models. The accuracy of the 1D consistent model is verified by the reference solution from the Monte Carlo model on the Molten Salt Reactor Experiment (MSRE) configuration. The 1D consistent model successfully reproduced the integrated flux from the 3D model and the reactor multiplication factor keff with the error in the range of 95 to 397 pcm (per cent mille), depending on discretized energy group structures. The developed model is also extended to estimate the reactivity loss due to fuel circulation in MSRE. The estimate of reactivity loss in dynamics analysis is in great agreement with the experimental data. This model functions as the first step in the development of a 1D fully neutronics/thermal-hydraulics coupled model for short- and long-term MSRE transient analysis. Full article
Show Figures

Figure 1

15 pages, 2922 KB  
Article
Plasmonic Biosensor on the End-Facet of a Dual-Core Single-Mode Optical Fiber
by Fatemeh Fouladi Mahani, Arash Mokhtari and Pierre Berini
Biosensors 2023, 13(5), 558; https://doi.org/10.3390/bios13050558 - 19 May 2023
Cited by 5 | Viewed by 2215
Abstract
Optical biosensors target widespread applications, such as drug discovery, medical diagnostics, food quality control, and environmental monitoring. Here, we propose a novel plasmonic biosensor on the end-facet of a dual-core single-mode optical fiber. The concept uses slanted metal gratings on each core, interconnected [...] Read more.
Optical biosensors target widespread applications, such as drug discovery, medical diagnostics, food quality control, and environmental monitoring. Here, we propose a novel plasmonic biosensor on the end-facet of a dual-core single-mode optical fiber. The concept uses slanted metal gratings on each core, interconnected by a metal stripe biosensing waveguide to couple the cores via the propagation of surface plasmons along the end facet. The scheme enables operation in transmission (core-to-core), thereby eliminating the need to separate the reflected light from the incident light. Importantly, this simplifies and reduces the cost of the interrogation setup because a broadband polarization-maintaining optical fiber coupler or circulator is not required. The proposed biosensor enables remote sensing because the interrogation optoelectronics can be located remotely. In vivo biosensing and brain studies are also enabled because the end-facet can be inserted into a living body, once properly packaged. It can also be dipped into a vial, precluding the need for microfluidic channels or pumps. Bulk sensitivities of 880 nm/RIU and surface sensitivities of 1 nm/nm are predicted under spectral interrogation using cross-correlation analysis. The configuration is embodied by robust and experimentally realizable designs that can be fabricated, e.g., using metal evaporation and focused ion beam milling. Full article
(This article belongs to the Special Issue Optical Biosensors for Health, Food and Environment (Bio)markers)
Show Figures

Figure 1

5 pages, 2790 KB  
Proceeding Paper
Imaging with Diffractive Axicons Rapidly Milled on Sapphire by Femtosecond Laser Ablation
by Daniel Smith, Soon Hock Ng, Molong Han, Tomas Katkus, Vijayakumar Anand and Saulius Juodkazis
Eng. Proc. 2023, 34(1), 26; https://doi.org/10.3390/HMAM2-14147 - 13 Mar 2023
Cited by 1 | Viewed by 1029
Abstract
We show that single-pulse burst fabrication will produce a flatter and smoother profile of axicons milled on sapphire compared to pulse overlapped fabrication which results in a damaged and much rougher surface. The fabrication of large-area (sub-1 cm cross-section) micro-optical components in a [...] Read more.
We show that single-pulse burst fabrication will produce a flatter and smoother profile of axicons milled on sapphire compared to pulse overlapped fabrication which results in a damaged and much rougher surface. The fabrication of large-area (sub-1 cm cross-section) micro-optical components in a short period of time (∼10 min) and with less processing steps is highly desirable and would be cost-effective. Our results were achieved with femtosecond laser fabrication technology which has revolutionized the field of advanced manufacturing. This study compares three configurations of axicons such as the conventional axicon, a photon sieve axicon (PSA) and a sparse PSA directly milled onto a sapphire substrate. Debris of redeposited amorphous sapphire were removed using isopropyl alcohol and potassium hydroxide. A spatially incoherent illumination was used to test the components for imaging applications. Non-linear reconstruction was used for cleaning noisy images generated by the axicons. Full article
Show Figures

Figure 1

16 pages, 2519 KB  
Article
The Performance Prediction Model of W-Shaped Hydrocyclone Based on Experimental Research
by Lanyue Jiang, Peikun Liu, Yuekan Zhang, Xinghua Yang, Xiaoyu Li, Yulong Zhang and Hui Wang
Minerals 2021, 11(2), 118; https://doi.org/10.3390/min11020118 - 25 Jan 2021
Cited by 7 | Viewed by 2862
Abstract
Fine particles misclassification in the underflow (UF) of grinding-classification hydrocyclones might result in ore over-grinding, leading to both reduced ball mill throughput and metal recovery. In the current research, a W-shaped hydrocyclone is proposed, to efficiently decrease the misclassification of fine particles in [...] Read more.
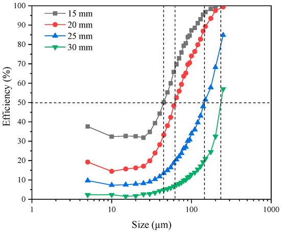
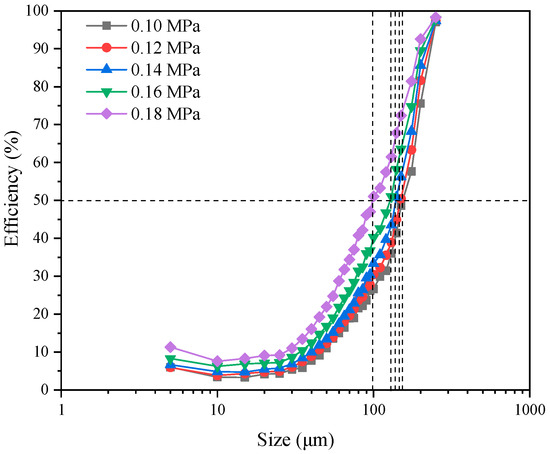
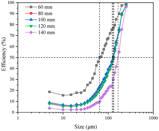
Fine particles misclassification in the underflow (UF) of grinding-classification hydrocyclones might result in ore over-grinding, leading to both reduced ball mill throughput and metal recovery. In the current research, a W-shaped hydrocyclone is proposed, to efficiently decrease the misclassification of fine particles in UF. The effects of the following parameters (including cross-effects) on W-shaped hydrocyclone classification performance were studied experimentally—inlet pressure, apex diameter, and vortex finder insertion depth and diameter. A mathematical model on the basis of the response surface method was established for the prediction of W-shaped hydrocyclone separation performance. The significance of the effects of the factors on the fine particle content in UF decreased in the following order—vortex finder diameter > inlet pressure > vortex finder insertion depth > apex diameter. The significance of influences of different factors on quality effectively decreased in the following order—inlet pressure > vortex finder insertion depth > vortex finder diameter > apex diameter. The significance of factor effects on the quantity efficiency decreased in the following order—inlet pressure > vortex finder insertion depth > apex diameter > vortex finder diameter. All influence factors were considered to obtain the optimal parameter configuration—an apex diameter of 0.14 D, a vortex finder diameter of 0.31 D, an insertion depth of 1.87 D, and an inlet pressure of 0.18 MPa. The corresponding optimal result was a −25 μm particle content (C−25) in UF of 11.92%, a quality efficiency of 42.48%, and a quantity efficiency of 98.99%. Full article
Show Figures

Figure 1

27 pages, 8915 KB  
Article
A Novel Sub-Bottom Profiler and Signal Processor
by Cheng Tan, Xuebo Zhang, Peixuan Yang and Miao Sun
Sensors 2019, 19(22), 5052; https://doi.org/10.3390/s19225052 - 19 Nov 2019
Cited by 33 | Viewed by 4331
Abstract
In this paper, we introduce a novel sub-bottom profiler, making good use of the Mills cross configuration of multibeam sonar and synthetic aperture techniques of the synthetic aperture sonar system. The receiver array is mounted along the ship keel, while the transmitter array [...] Read more.
In this paper, we introduce a novel sub-bottom profiler, making good use of the Mills cross configuration of multibeam sonar and synthetic aperture techniques of the synthetic aperture sonar system. The receiver array is mounted along the ship keel, while the transmitter array is mounted perpendicular to the receiver array. With the synthetic aperture technique, the along-track resolution can be greatly improved. The system often suffers from motion error, which severely degrades the imaging performance. To solve this problem, the imaging algorithm with motion compensation (MC) is proposed. With the presented method, the motion error is first estimated based on overlapped elements between successive pulses. Then, the echo data is processed by using the range migration algorithm based on the phase center approximation (PCA) method, which simultaneously performs the MC with the estimated motion error. In order to validate the proposed sub-bottom profiler and data processing method, some simulations and lake trial results are discussed. The processing results of the real data further indicate that the presented configuration has great potential to find buried objects in seabed sediments. Full article
(This article belongs to the Special Issue Ultrasonic Sensors 2019–2020)
Show Figures

Figure 1

Back to TopTop