Workpiece Coordinate System Measurement for a Robotic Timber Joinery Workflow
Abstract
1. Introduction
2. Materials and Methods
2.1. Robotic and Vision System Setup
2.2. Software
2.3. Camera-to-Robot Calibration
2.4. Point Cloud Capture
2.5. Workpiece Coordinate System Computation
- The world-to-camera matrix, stored in the pose_capture_info.yaml file, is loaded along with the original point cloud (original_pointcloud.zdf).
- From this original point cloud (referenced to the camera coordinate frame), the point closest to the camera is located—specifically, the point with the minimum Z-value. In the capture configuration used, this point corresponds approximately to the top-front-right vertex of the timber piece. It is then transformed into the world coordinate system and stored as cropping_origin_world_xyz, which serves as the reference for a subsequent cropping operation.
- Invalid points (Not a Number, NaN) are filtered out from the original point cloud, and all valid points are transformed from the camera frame to the world frame using the transformation matrix. A cropping operation is then applied based on the world X-coordinate: points whose X-value exceeds that of cropping_origin_world_xyz plus a 200 mm threshold are removed, effectively isolating the exposed end of the timber workpiece. The resulting cropped point cloud is retained for subsequent operations.
- This step defines the origin and orientation. Three planes are sequentially fitted, excluding points (inliers) used for one plane from subsequent fittings. The Random Sample Consensus (RANSAC) algorithm —specifically, a customized fit_plane_ransac function—is used to identify planes that best fit subsets of the point cloud. RANSAC helps find the dominant plane within a set of candidate points by discarding points that deviate significantly (Figure 7).
- a.
- YZ’ Plane (red points): Points from the cropped cloud whose X-coordinates are close to the median X-value are selected. A plane (plane_yz_model) is fitted to these points using RANSAC, and the inliers are stored.
- b.
- XZ’ Plane (green points): From the remaining points (excluding the YZ’ plane inliers), points whose Y-coordinates are close to the median Y-value (of this subset) are selected. A second plane (plane_xz_model) is fitted to these points, and the inliers are stored.
- c.
- XY’ Plane (blue points): From the remaining points (excluding the inliers from the YZ’ and XZ’ planes), points whose Z-coordinates are close to the median Z-value (of this subset) are selected. A third plane (plane_xy_model) is fitted to these points, and the inliers are stored.
- The intersection point of the three fitted planes (plane_yz_model, plane_xz_model, and plane_xy_model) is computed. This point (x, y, z) is defined as the origin of the WCS (wcs_xyz).
- Using the normal vectors of the three fitted planes, the x, y, and z axes of a new orthonormal coordinate system are computed:
- a.
- The WCS x-axis is derived from the cross product of the normal vectors of the XZ’ and XY’ planes.
- b.
- The WCS y-axis is derived from the cross product of the normal vectors of the XY’ and YZ’ planes.
- c.
- The WCS z-axis is computed to be orthogonal to the WCS x and y axes.
- 7.
- The inlier points from the first fitted plane (YZ’ plane, red) are used. These points are transformed into the newly computed WCS (origin and orientation):
- a.
- Width is calculated by taking the mode of the Y-coordinates (in the WCS frame) from a subset of these transformed points—specifically, those with the highest Y-values.
- b.
- Height is calculated by taking the mode of the Z-coordinates (in the WCS frame) from a subset of these transformed points—specifically, those with the lowest Z-values.
- 8.
- A dictionary is created containing the WCS (X, Y, Z, A, B, C) parameters defining the KUKA BASE origin and orientation. The calculated Width and Height values are added to this dictionary, which is saved as an output_parameters.yaml file for use in the next step of the workflow.
- 9.
- The cropped point cloud in world coordinates, including its color information, is saved as cropped_cloud.ply using Open3D.
- 10.
- A visualization of the cropped point cloud is prepared. The KUKA BASE coordinate system axes are rendered at the computed origin and orientation (WCS). The 3D scene is displayed for user validation.
2.6. Toolpath Generation for Milling
2.7. Experimental Validation Procedure
- I.
- Fixed WCS measured once: A single BASE coordinate system was defined using the conventional manual 3-point method, relying on operator input and physical referencing of the timber workpiece. The same coordinate system and milling program were applied to all specimens.
- II.
- Individual WCS per piece: A separate BASE coordinate system was manually defined for each specimen using the 3-point method. A single milling program was used for all specimens, but in this case, the BASE data was updated automatically on the KRC.
- III.
- Individual WCS and cross-section per piece: For each specimen, both the BASE coordinate system (using the 3-point method) and the cross-sectional dimensions were measured and updated. These values were then used to regenerate and adjust the milling program accordingly.
- IV.
- Vision-based workflow: The algorithm described in Section 2.3, Section 2.4, Section 2.5, and Section 2.6 was implemented, utilizing the Zivid 2 M70 camera, along with automated calibration and point cloud acquisition, to dynamically compute the BASE coordinate system for each specimen.
- Recording the time required to define the WCS using each of the four approaches;
- Measuring the X, Y, and Z positional accuracy of the milled tenon joints by comparing the programmed toolpaths with the actual cuts on the specimens;
- Performing all measurements using a caliper, following a consistent measurement protocol to ensure repeatability and reliability across all specimens;
- Calculating the total 3D deviation of the milled joints relative to the intended toolpath geometry.
3. Results
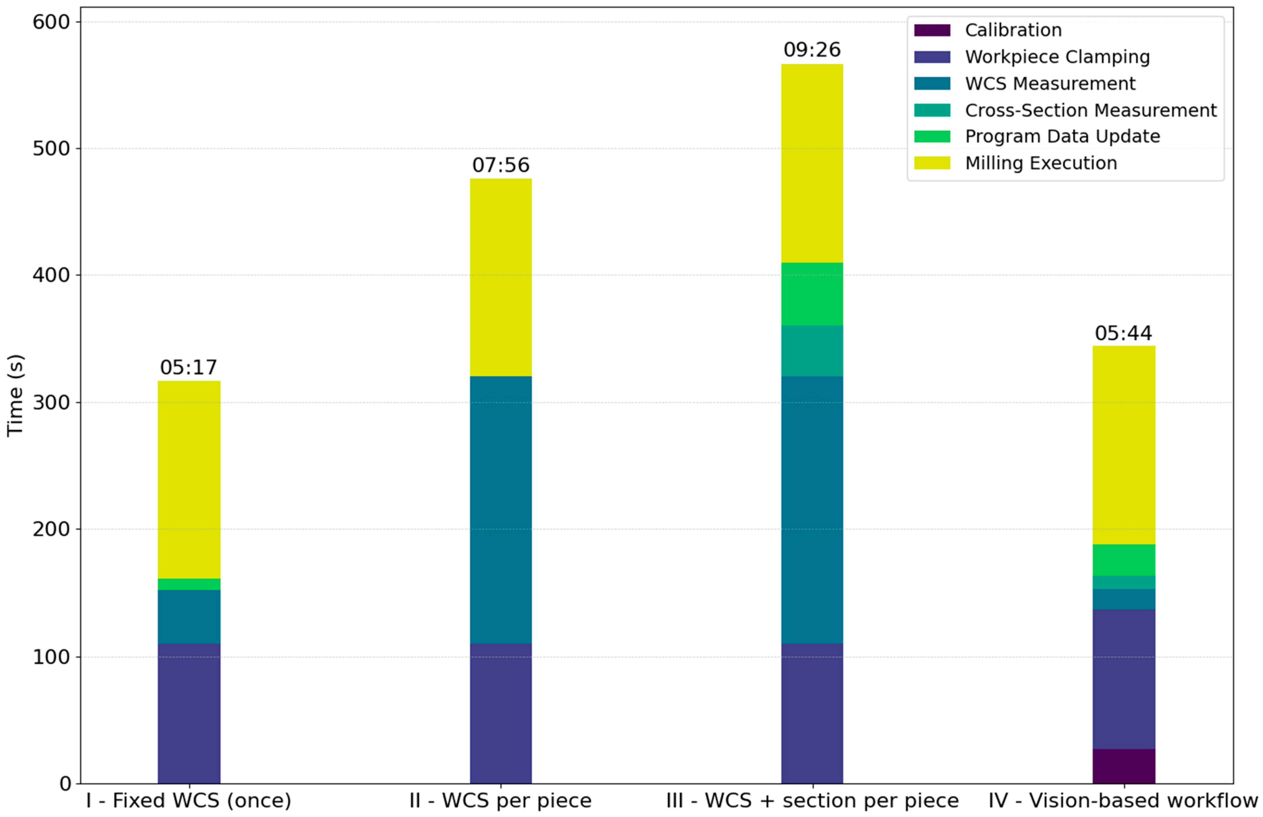
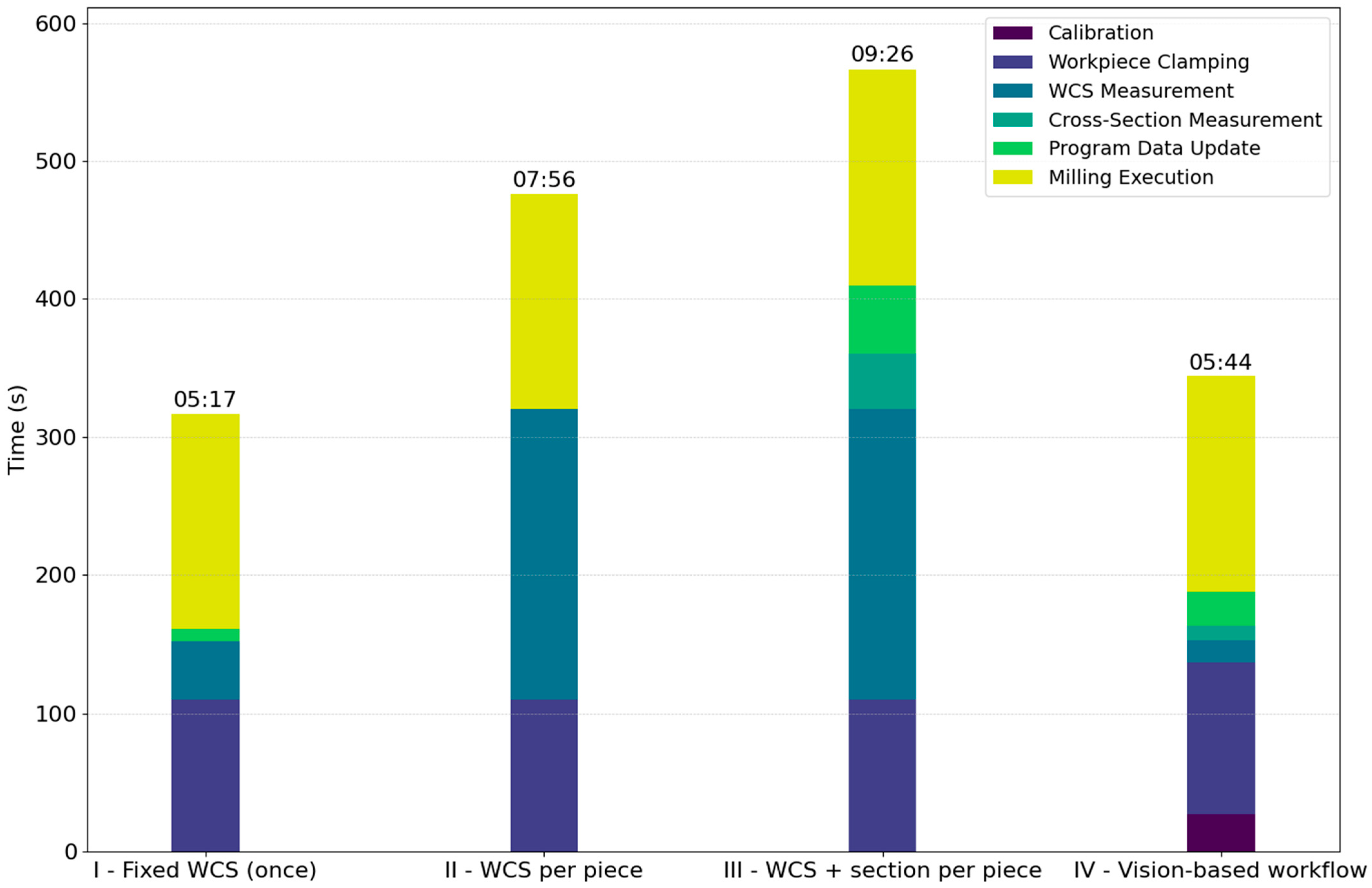
3.1. Workflow Times
- Calibration: This step was only included in IV—Vision-based workflow. The camera-to-robot calibration routine required approximately 135 s to complete. This time was prorated across the five pieces, resulting in 27 s per piece. The routine involved the robot moving through 20 predefined poses, capturing images of a calibration board, and computing the corresponding transformation matrix.
- Workpiece Clamping: For practical purposes, a uniform average clamping time was assumed across all workflows, as no significant variation was observed between approaches.
- WCS Measurement: In I—Fixed WCS (once), the manual WCS measurement was performed only once, and its total duration was prorated across the five pieces.In II and III, an individual WCS measurement was carried out for each piece.In IV—Vision-based workflow, the time required to run both pointcloud_capture.py and compute_wcs_pointcloud.py was recorded and included in this step.
- Cross-Section Measurement: In III—WCS + section per piece, this step involved manual measurement of the workpiece cross-section using a caliper.In IV—Vision-based workflow, equivalent operations were performed by specific functions within the compute_wcs_pointcloud.py script.
- Program Data Update: This step accounts for the time required to enter or modify milling parameters based on the measured data.In I, it was performed only once, and the total duration was prorated across the five pieces.In II, this step was not recorded, as WCS updates were applied automatically via the robot’s BASE data.In III, individual WCS and cross-section values were manually updated in the program for each piece.In IV, the recorded time corresponds to the average duration the operator spent reviewing toolpaths offline to ensure safe execution of the generated code.
- Milling Execution: Observed variations in milling time across workflows were minimal and considered negligible. Accordingly, a consistent average milling duration was used to standardize the comparison across all cases.
- II—WCS per piece required approximately 50% more time per piece;
- III—WCS + section per piece required approximately 79% more time due to the addition of manual cross-section measurement;
- IV—Vision-based workflow showed only a 9% increase in time, making it the most efficient alternative after the baseline.
3.2. Positional Accuracy of the Milled Tenon Joints
- x-axis error represents a discrepancy in the length of the tenon;
- y-axis error reflects a lateral misalignment of the tenon, typically manifested as dimensional differences between the left and right shoulders;
- z-axis error corresponds to a vertical offset, which is often visually noticeable, as it directly cuts into the nominal geometry of the tenon, reducing its effective height.
4. Discussion
4.1. Comparison Between Traditional Mechanical Processing and Timber Processing
4.2. Adaptive Robotic Workflow for Timber Joinery
- WCS X (red axis; Figure 13): A post tenon shorter than its nominal length may reduce the moment capacity of the joint [48,49]. Conversely, a longer post tenon may prevent the shoulders from properly transferring vertical loads onto the sill or may even lift the plate (the primary longitudinal timber in a frame that ties the bents at the top, stiffens the wall and roof planes, and supports the rafters) during assembly.
- WCS Y (green axis; Figure 13): Lateral misalignment of the tenon, typically manifested as dimensional differences between the left and right shoulders, can lead to misalignment of the double-shouldered posts and may result in surface deformation when installing cladding or finishing elements over the frame.
- WCS Z (blue axis; Figure 13): A vertical displacement directly cuts into the nominal geometry of the tenon, creating a mismatch with the mortise. This may allow the tenon to shift within the joint, reducing the tightness of the fit.
5. Conclusions
Author Contributions
Funding
Data Availability Statement
Acknowledgments
Conflicts of Interest
Abbreviations
| WCS | Workpiece Coordinate System |
| RANSAC | Random Sample Consensus |
| KRC | KUKA Robot Controller |
| KSS | KUKA System Software |
| KRL | KUKA Robot Language |
| RCML | Robotic Construction and Manufacturing Laboratory at Universidad Técnica Federico Santa María, Santiago, Chile. |
References
- González Böhme, L.F.; Quitral Zapata, F.; Maino Ansaldo, S. Roboticus tignarius: Robotic reproduction of traditional timber joints for the reconstruction of the architectural heritage of Valparaíso. Constr. Robot. 2017, 1, 61–68. [Google Scholar] [CrossRef]
- González-Böhme, L.F.; Maino-Ansaldo, S. Uniones Carpinteras de Valparaíso: La Geometría de Ensambles y Empalmes; RIL Editores: Valparaíso, Chile, 2019; p. 156. [Google Scholar]
- Beemer, W. Learn to Timber Frame: Craftmanship, Simplicity, Timeless Beauty; Storey Publishing: North Adams, MA, USA, 2016. [Google Scholar]
- Beemer, W. Timber framing for beginners: VI. A glossary of terms. J. Timber Fram. Guild 2003, 68, 12–17. [Google Scholar]
- Eversmann, P.; Gramazio, F.; Kohler, M. Robotic prefabrication of timber structures: Towards automated large-scale spatial assembly. Constr. Robot. 2017, 1, 49–60. [Google Scholar] [CrossRef]
- Heesterman, M.; Sweet, K. Robotic Connections: Customisable Joints for Timber Construction. In Proceedings of the XXII SIGraDi International Conference of the Iberoamerican Society of Digital Graphics, São Carlos, Brazil, 7–9 November 2018. [Google Scholar]
- Quitral-Zapata, F.J.; González-Böhme, L.F.; García-Alvarado, R.; Martínez-Rocamora, A. Workflow for a Timber Joinery Robotics. In Proceedings of the XXIV SIGraDi International Conference of the Iberoamerican Society of Digital Graphics, Online, 18–20 November 2020; pp. 291–296. [Google Scholar]
- Koerner-Al-Rawi, J.; Park, K.E.; Phillips, T.K.; Pickoff, M.; Tortorici, N. Robotic timber assembly. Constr. Robot. 2020, 4, 175–185. [Google Scholar] [CrossRef]
- Geno, J.; Goosse, J.; Van Nimwegen, S.; Latteur, P. Parametric design and robotic fabrication of whole timber reciprocal structures. Autom. Constr. 2022, 138, 104198. [Google Scholar] [CrossRef]
- Hua, H.; Hovestadt, L.; Tang, P. Optimization and prefabrication of timber Voronoi shells. Struct. Multidiscip. Optim. 2020, 61, 1897–1911. [Google Scholar] [CrossRef]
- ISO 9787:2013; Robots and Robotic Devices—Coordinate Systems and Motion Nomenclatures. ISO: Geneva, Switzerland, 2013.
- Willmann, J.; Knauss, M.; Bonwetsch, T.; Apolinarska, A.A.; Gramazio, F.; Kohler, M. Robotic timber construction—Expanding additive fabrication to new dimensions. Autom. Constr. 2016, 61, 16–23. [Google Scholar] [CrossRef]
- KUKA Deutschland GmbH. KUKA System Software 8.6: Operating and Programming Instructions for End Users. 2022. Available online: https://xpert.kuka.com/ID/PB11700 (accessed on 28 July 2025).
- Meng, Y.; Sun, Y.; Chang, W.-S. Optimal trajectory planning of complicated robotic timber joints based on particle swarm optimization and an adaptive genetic algorithm. Constr. Robot. 2021, 5, 131–146. [Google Scholar] [CrossRef]
- de Araujo, P.R.M.; Lins, R.G. Cloud-based approach for automatic CNC workpiece origin localization based on image analysis. Robot. Comput.-Integr. Manuf. 2021, 68, 102090. [Google Scholar] [CrossRef]
- Gao, Y.; Gao, H.; Bai, K.; Li, M.; Dong, W. A Robotic Milling System Based on 3D Point Cloud. Machines 2021, 9, 355. [Google Scholar] [CrossRef]
- Guo, Q.; Yang, Z.; Xu, J.; Jiang, Y.; Wang, W.; Liu, Z.; Zhao, W.; Sun, Y. Progress, challenges and trends on vision sensing technologies in automatic/intelligent robotic welding: State-of-the-art review. Robot. Comput.-Integr. Manuf. 2024, 89, 102767. [Google Scholar] [CrossRef]
- Geng, Y.; Lai, M.; Tian, X.; Xu, X.; Jiang, Y.; Zhang, Y. A novel seam extraction and path planning method for robotic welding of medium-thickness plate structural parts based on 3D vision. Robot. Comput.-Integr. Manuf. 2023, 79, 102433. [Google Scholar] [CrossRef]
- Sobon, J.A. Hand Hewn The Traditions, Tools, and Enduring Beauty of Timber Framing; Storey Publishing: North Adams, MA, USA, 2019. [Google Scholar]
- Settimi, A.; Gamerro, J.; Weinand, Y. Augmented-reality-assisted timber drilling with smart retrofitted tools. Autom. Constr. 2022, 139, 104272. [Google Scholar] [CrossRef]
- Yang, X.; Amtsberg, F.; Sedlmair, M.; Menges, A. Challenges and potential for human–robot collaboration in timber prefabrication. Autom. Constr. 2024, 160, 105333. [Google Scholar] [CrossRef]
- Aguilera-Carrasco, C.A.; González-Böhme, L.F.; Valdes, F.; Quitral-Zapata, F.J.; Raducanu, B. A Hand-Drawn Language for Human–Robot Collaboration in Wood Stereotomy. IEEE Access 2023, 11, 100975–100985. [Google Scholar] [CrossRef]
- Lai, Z.; Xiao, Y.; Chen, Z.; Li, H.; Huang, L. Preserving Woodcraft in the Digital Age: A Meta-Model-Based Robotic Approach for Sustainable Timber Construction. Buildings 2024, 14, 2900. [Google Scholar] [CrossRef]
- Wagner, H.J.; Alvarez, M.; Groenewolt, A.; Menges, A. Towards digital automation flexibility in large-scale timber construction: Integrative robotic prefabrication and co-design of the BUGA Wood Pavilion. Constr. Robot. 2020, 4, 187–204. [Google Scholar] [CrossRef]
- Chai, H.; So, C.; Yuan, P.F. Manufacturing double-curved glulam with robotic band saw cutting technique. Autom. Constr. 2021, 124, 103571. [Google Scholar] [CrossRef]
- Cisneros-Gonzalez, J.J.; Rasool, A.; Ahmad, R. Digital technologies and robotics in mass-timber manufacturing: A systematic literature review on construction 4.0/5.0. Constr. Robot. 2024, 8, 29. [Google Scholar] [CrossRef]
- Gandia, A.; Gramazio, F.; Kohler, M. Tolerance-aware design of robotically assembled spatial structures. In Proceedings of the 42nd Annual Conference of the Association for Computer Aided Design in Architecture (ACADIA), Philadelphia, PA, USA, 27–29 October 2022. [Google Scholar]
- Naboni, R.; Kunic, A.; Kramberger, A.; Schlette, C. Design, simulation and robotic assembly of reversible timber structures. Constr. Robot. 2021, 5, 13–22. [Google Scholar] [CrossRef]
- Vestartas, P.; Weinand, Y. Laser Scanning with Industrial Robot Arm for Raw-wood Fabrication. In Proceedings of the 37th International Symposium on Automation and Robotics in Construction (ISARC), Online, 27–28 October 2020. [Google Scholar]
- Bruun, E.P.G.; Besler, E.; Adriaenssens, S.; Parascho, S. Scaffold-free cooperative robotic disassembly and reuse of a timber structure in the ZeroWaste project. Constr. Robot. 2024, 8, 20. [Google Scholar] [CrossRef]
- Svilans, T.; Tamke, M.; Thomsen, M.R.; Runberger, J.; Strehlke, K.; Antemann, M. New Workflows for Digital Timber. In Digital Wood Design; Lecture Notes in Civil Engineering; Springer International Publishing: Cham, Switzerland, 2019; pp. 93–134. [Google Scholar]
- Adel, A.; Ruan, D.; McGee, W.; Mozaffari, S. Feedback-driven adaptive multi-robot timber construction. Autom. Constr. 2024, 164, 105444. [Google Scholar] [CrossRef]
- Chai, H.; Zhou, X.; Gao, X.; Yang, Q.; Zhou, Y.; Yuan, P.F. Integrated workflow for cooperative robotic fabrication of natural tree fork structures. Autom. Constr. 2024, 165, 105524. [Google Scholar] [CrossRef]
- Pantscharowitsch, M.; Moser, L.; Kromoser, B. A study of the accuracy of industrial robots and laser-tracking for timber machining across the workspace. Wood Mater. Sci. Eng. 2024, 20, 75–93. [Google Scholar] [CrossRef]
- McNeel, R. Rhinoceros®, Version 8 SR18; Robert McNeel & Associates. 2025. Available online: https://www.rhino3d.com/ (accessed on 28 July 2025).
- Rutten, D. Grasshopper®, Build 1.0.0008; Robert McNeel & Associates. 2025. Available online: https://www.grasshopper3d.com/ (accessed on 28 July 2025).
- Brell-Cokcan, S.; Braumann, J. KUKA|prc, Version 2025-02-24; Association for Robots in Architecture. 2025. Available online: https://robotsinarchitecture.org/ (accessed on 28 July 2025).
- RoboDK API for Python, Version 5.9. 2025. Available online: https://robodk.com/ (accessed on 28 July 2025).
- Lavygin, D. C3 Bridge Interface Server, Version 1.7.1. 2025. Available online: https://c3.ulsu.tech/ (accessed on 28 July 2025).
- Zivid SDK & Zivid Python, v2.15.0; Zivid AS. 2025. Available online: https://www.zivid.com/ (accessed on 28 July 2025).
- Harris, C.R.; Millman, K.J.; van der Walt, S.J.; Gommers, R.; Virtanen, P.; Cournapeau, D.; Wieser, E.; Taylor, J.; Berg, S.; Smith, N.J.; et al. Array programming with NumPy. Nature 2020, 585, 357–362. [Google Scholar] [CrossRef]
- Zhou, Q.-Y.; Park, J.; Koltun, V. Open3D: A Modern Library for 3D Data Processing. arXiv 2018, arXiv:1801.09847. [Google Scholar]
- Virtanen, P.; Gommers, R.; Oliphant, T.E.; Haberland, M.; Reddy, T.; Cournapeau, D.; Burovski, E.; Peterson, P.; Weckesser, W.; Bright, J.; et al. SciPy 1.0: Fundamental algorithms for scientific computing in Python. Nat. Methods 2020, 17, 261–272. [Google Scholar] [CrossRef]
- Simonov, K. YAML, PyYAML 6.0.2. 2024. Available online: https://github.com/yaml/pyyaml (accessed on 28 July 2025).
- Arriaga, F.; Wang, X.; Íñiguez-González, G.; Llana, D.F.; Esteban, M.; Niemz, P. Mechanical Properties of Wood: A Review. Forests 2023, 14, 1202. [Google Scholar] [CrossRef]
- Vásquez, L.; Hernández, G.; Campos, R.; Elgueta, P.; González, M. Grados Estructurales de la Madera Aserrada de Pino Oregón Clasificada Visualmente. Informe Técnico N° 196; Instituto Forestal: Concepción, Chile, 2013.
- Shanks, J.; Walker, P. Strength and stiffness of all-timber pegged connection. J. Mater. Civ. Eng. 2009, 21, 10–18. [Google Scholar] [CrossRef]
- Ogawa, K.; Sasaki, Y.; Yamasaki, M. Theoretical estimation of the mechanical performance of traditional mortise–tenon joint involving a gap. J. Wood Sci. 2016, 62, 242–250. [Google Scholar] [CrossRef]
- Liu, K.; Du, Y.; Hu, X.; Zhang, H.; Wang, L.; Gou, W.; Li, L.; Liu, H.; Luo, B. Investigating the Influence of Tenon Dimensions on White Oak (Quercus alba) Mortise and Tenon Joint Strength. Forests 2024, 15, 1612. [Google Scholar] [CrossRef]
- Poblete, C.; Hempel, R. Sistemas Estructurales en Madera; Universidad del Bío-Bío: Concepción, Chile, 1991. [Google Scholar]
- David, M.-N.; Miguel, R.-S.; Ignacio, P.-Z. Timber structures designed for disassembly: A cornerstone for sustainability in 21st century construction. J. Build. Eng. 2024, 96, 110619. [Google Scholar] [CrossRef]













| Workflow | Mean Time Per Piece (min:s) | Total Procedure Time (min:s) |
|---|---|---|
| I—Fixed WCS (once) | 05:17 | 26:25 |
| II—WCS per piece | 07:56 | 39:40 |
| III—WCS + section per piece | 09:26 | 47:10 |
| IV—Vision-based workflow | 05:44 | 28:40 |
| Workflow | Calibration | Workpiece Clamping | WCS Measurement | Cross-Section Measurement | Program Data Update | Milling Execution |
|---|---|---|---|---|---|---|
| I—Fixed WCS (once) | - | 110 | 42 | - | 9 | 156 |
| II—WCS per piece | - | 110 | 210 | - | - | 156 |
| III—WCS + section per piece | - | 110 | 210 | 40 | 50 | 156 |
| IV—Vision-based workflow | 27 | 110 | 16 | 10 | 25 1 | 156 |
| Specimen ID | Milling Error x mm | Milling Error y mm | Milling Error z mm |
|---|---|---|---|
| I—01 | 2.78 | −1.84 | 2.08 |
| I—02 | 3.10 | −0.36 | 2.18 |
| I—03 | 3.62 | 2.50 | −1.14 |
| I—04 | 1.56 | 4.48 | 0.00 |
| I—05 | 1.54 | 4.02 | −0.46 |
| II—01 | 1.38 | 2.20 | −0.72 |
| II—02 | 2.80 | 3.06 | 0.68 |
| II—03 | 3.84 | −1.34 | 0.40 |
| II—04 | 1.32 | 0.08 | 1.24 |
| II—05 | 3.26 | −1.62 | 1.06 |
| III—01 | −1.30 | −0.56 | 1.18 |
| III—02 | 1.08 | −1.80 | 1.82 |
| III—03 | 1.74 | −0.94 | 0.60 |
| III—04 | 0.66 | 0.22 | 0.76 |
| III—05 | 1.32 | −2.48 | 1.74 |
| IV—01 | 0.10 | 0.46 | 0.58 |
| IV—02 | 0.46 | −0.50 | 0.60 |
| IV—03 | 0.58 | 0.32 | 0.02 |
| IV—04 | −0.22 | −0.24 | 0.16 |
| IV—05 | 0.24 | −0.18 | 0.44 |
| Workflow | Mean Error in x mm | Mean Error in y mm | Mean Error in z mm | Mean 3D Error mm |
|---|---|---|---|---|
| I—Fixed WCS (once) | 2.52 ± 0.93 | 1.76 ± 2.76 | 0.53 ± 1.51 | 4.27 ± 0.40 |
| II—WCS per piece | 2.50 ± 1.11 | 0.48 ± 2.09 | 0.54 ± 0.78 | 3.30 ± 1.02 |
| III—WCS + section per piece | 0.70 ± 1.18 | −1.11 ± 1.06 | 1.22 ± 0.55 | 2.20 ± 0.88 |
| IV—Vision-based workflow | 0.23 ± 0.31 | −0.03 ± 0.40 | 0.36 ± 0.26 | 0.64 ± 0.21 |
Disclaimer/Publisher’s Note: The statements, opinions and data contained in all publications are solely those of the individual author(s) and contributor(s) and not of MDPI and/or the editor(s). MDPI and/or the editor(s) disclaim responsibility for any injury to people or property resulting from any ideas, methods, instructions or products referred to in the content. |
© 2025 by the authors. Licensee MDPI, Basel, Switzerland. This article is an open access article distributed under the terms and conditions of the Creative Commons Attribution (CC BY) license (https://creativecommons.org/licenses/by/4.0/).
Share and Cite
Quitral-Zapata, F.; García-Alvarado, R.; Martínez-Rocamora, A.; González-Böhme, L.F. Workpiece Coordinate System Measurement for a Robotic Timber Joinery Workflow. Buildings 2025, 15, 2712. https://doi.org/10.3390/buildings15152712
Quitral-Zapata F, García-Alvarado R, Martínez-Rocamora A, González-Böhme LF. Workpiece Coordinate System Measurement for a Robotic Timber Joinery Workflow. Buildings. 2025; 15(15):2712. https://doi.org/10.3390/buildings15152712
Chicago/Turabian StyleQuitral-Zapata, Francisco, Rodrigo García-Alvarado, Alejandro Martínez-Rocamora, and Luis Felipe González-Böhme. 2025. "Workpiece Coordinate System Measurement for a Robotic Timber Joinery Workflow" Buildings 15, no. 15: 2712. https://doi.org/10.3390/buildings15152712
APA StyleQuitral-Zapata, F., García-Alvarado, R., Martínez-Rocamora, A., & González-Böhme, L. F. (2025). Workpiece Coordinate System Measurement for a Robotic Timber Joinery Workflow. Buildings, 15(15), 2712. https://doi.org/10.3390/buildings15152712

