Sign in to use this feature.

Years

Between: -

Subjects

remove_circle_outline
remove_circle_outline
remove_circle_outline
remove_circle_outline
remove_circle_outline
remove_circle_outline
remove_circle_outline

Journals

Article Types

Countries / Regions

Search Results (15)

Search Parameters:
Keywords = MCHC 2

Order results
Result details
Results per page
Select all
Export citation of selected articles as:
14 pages, 1259 KB  
Article
Short-Term Laboratory Outcomes of SGLT2 Inhibitor Use in Type 2 Diabetic Patients: A Retrospective Analysis
by Hamood AlSudais, Turky AlSulaiman, Badi A. Alotaibi, Abdulrahman Alshalani, Abdulaziz M. Almuqrin, Rehab B. Albakr and Jehad A. Aldali
J. Clin. Med. 2025, 14(22), 7985; https://doi.org/10.3390/jcm14227985 - 11 Nov 2025
Viewed by 214
Abstract
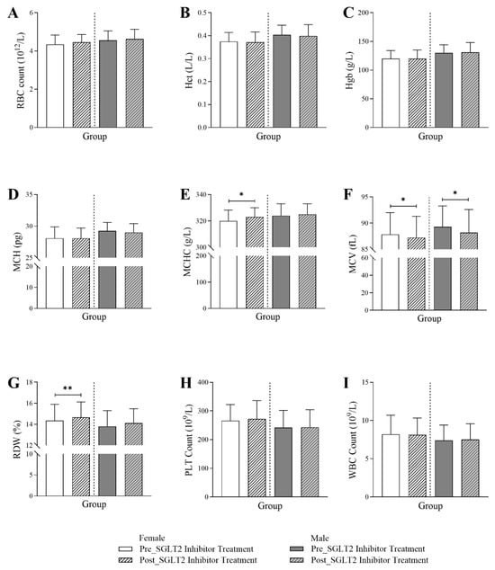
Background: This retrospective study evaluated the short-term effects of the SGLT2 inhibitor Dapagliflozin on laboratory markers in patients with type 2 diabetes mellitus (T2DM) over six months. Methods: Data were obtained from electronic health records at the King Abdullah International Medical [...] Read more.
Background: This retrospective study evaluated the short-term effects of the SGLT2 inhibitor Dapagliflozin on laboratory markers in patients with type 2 diabetes mellitus (T2DM) over six months. Methods: Data were obtained from electronic health records at the King Abdullah International Medical Research Centre in Riyadh, Saudi Arabia. The study focused on adult T2DM patients who began Dapagliflozin treatment in 2023 or 2024 and underwent laboratory tests before, and six months after, starting treatment, resulting in 783 patients meeting the inclusion criteria. Results: Analysis revealed significant reductions in glycemic markers (p-value < 0.01). Hematological responses revealed divergent trends by sex: females showed increases in mean corpuscular hemoglobin concentration (MCHC) and red cell distribution width (RDW) (p-value < 0.01), while males showed a marginal decrease in mean corpuscular hemoglobin (MCH) (p-value < 0.05). Mean corpuscular volume (MCV) significantly decreased for both sexes (p-value < 0.01). Renal assessments indicated a significant increase in sodium levels and a marginal decrease in eGFR in males (p-values < 0.001 and <0.05, respectively), and elevated blood urea nitrogen (BUN) in both sexes (p-value < 0.01). Hepatic markers showed a marginal increase in alkaline phosphatase (ALP) in both sexes, with a trend toward a reduction in aspartate aminotransferase (AST) in males (p-value < 0.05). No significant changes were noted in lipid profiles or other hepatic markers. Conclusions: Dapagliflozin treatment in T2DM patients results in significant improvements in glycemic control and alterations in certain laboratory markers, indicating its potential impact on metabolic outcomes. Further research is needed to explore the underlying mechanisms and long-term effects. Full article
(This article belongs to the Section Clinical Laboratory Medicine)
Show Figures

Figure 1

12 pages, 242 KB  
Article
Knowledge of Homosexuality and Attitudes Toward Lesbian and Gay Parenting Among Israeli Nurses in Mother-Child Health Clinics
by Eitan Gur, Oren Wacht, Dorit Segal-Engelchin and Orli Grinstein-Cohen
Societies 2025, 15(7), 189; https://doi.org/10.3390/soc15070189 - 6 Jul 2025
Viewed by 1117
Abstract
The growing number of lesbian and gay (LG) parent families in Israel, along with the increasing involvement of nurses in Mother-Child Health Clinics (MCHCs) in supporting them, served as the impetus for this study. The study aimed to examine (1) MCHC nurses’ knowledge [...] Read more.
The growing number of lesbian and gay (LG) parent families in Israel, along with the increasing involvement of nurses in Mother-Child Health Clinics (MCHCs) in supporting them, served as the impetus for this study. The study aimed to examine (1) MCHC nurses’ knowledge of homosexuality and attitudes toward LG parenting; (2) the association between their knowledge and attitudes; and (3) their association with socio-demographic, professional, and LG-related characteristics. Findings from 65 MCHC nurses revealed moderate levels of knowledge about homosexuality, low levels of negative attitudes, and moderate levels of positive attitudes toward LG parenting. Nurses who were Jewish, secular, or living in a city had greater knowledge about homosexuality and fewer negative beliefs about LG parenting. Acquaintance with LG individuals was associated with fewer negative beliefs about LG parenting. Greater knowledge about homosexuality correlated with fewer negative beliefs and more positive perceptions of LG parenting, suggesting that enhanced knowledge fosters more positive attitudes toward LG parenting. The findings emphasize the need for tailored, knowledge-based training in nursing education for MCHC settings, considering nurses’ diverse cultural backgrounds, level of religiosity, and familiarity with LG individuals. Incorporating content on homosexuality and LG parenting may promote more inclusive and supportive care practices. Full article
(This article belongs to the Special Issue Queer Care: Addressing LGBTQ+ Needs in Healthcare and Social Services)
22 pages, 13410 KB  
Article
Use of Transcriptomics to Identify Candidate Genes for Hematopoietic Differences Between Wujin and Duroc Pigs
by Peng Ji, Ping Wang, Qihua Li, Lin Gao, Yan Xu, Hongbin Pan, Chunyong Zhang, Jintao Li, Jun Yao and Qingcong An
Animals 2024, 14(23), 3507; https://doi.org/10.3390/ani14233507 - 4 Dec 2024
Viewed by 1098
Abstract
Hematopoiesis is a complex physiological process that ensures renewal of blood cells to maintain normal blood circulation and immune function. Wujin pigs exhibit distinct characteristics such as tender meat, high fat storage, strong resistance to roughage, robust disease resistance, and oxidation resistance. Therefore, [...] Read more.
Hematopoiesis is a complex physiological process that ensures renewal of blood cells to maintain normal blood circulation and immune function. Wujin pigs exhibit distinct characteristics such as tender meat, high fat storage, strong resistance to roughage, robust disease resistance, and oxidation resistance. Therefore, using Wujin pigs as models may offer valuable insights for hematopoietic-related studies. In this study, twelve healthy 35-day-old piglets, including six Wujin and six Duroc piglets of similar weight, were selected from each of the Wujin and Duroc pig groups and housed in single cages. After 30 days of feeding, blood and bone marrow samples were collected. Routine blood indices and hematopoietic-related serum biochemical indexes of Wujin and Duroc pigs were determined, and bone marrow gene expression levels were analyzed using transcriptomics. (1) Hemoglobin (Hb) and Mean Corpuscular Hemoglobin Concentration (MCHC) levels in Wujin pigs were significantly higher than in Duroc pigs (p < 0.05), and platelet counts and serum Hb levels in Wujin pigs were significantly lower than in Duroc pigs (p < 0.05). (2) A total of 312 significantly differentially expressed genes were identified between the pigs. Their functions were mainly related to blood systems, inflammation, and oxidation. Six differentially expressed genes may be related to hematopoietic function. (3) By combining the differential genes screened through sequencing with Weighted Gene Co-expression Network Analysis results, 16 hematopoietic function differential genes were obtained, mainly focusing on immunity, inflammation, and induction of apoptosis functions. Differences were present in the immune and inflammatory responses between Wujin pigs and Duroc pigs, suggesting that differences in hematopoietic function between the two breeds were related to antioxidant capacity and disease resistance. Full article
Show Figures

Figure 1

16 pages, 1443 KB  
Article
The Early Hematological Profile and Its Variations: A Useful Tool in the Prediction of Intraventricular Hemorrhage in Extremely Preterm Infants
by Manuela Cucerea, Mihaela Moscalu, Marta Simon, Maria Livia Ognean, Melinda-Ildiko Mitranovici, Diana Maria Chiorean and Raluca Marian
Medicina 2024, 60(3), 410; https://doi.org/10.3390/medicina60030410 - 28 Feb 2024
Cited by 2 | Viewed by 2091
Abstract
Background and Objectives: The purpose of this study to investigate if the early variations in the hematological profile could be a useful tool in the prediction and evaluation of intraventricular hemorrhage. Materials and Methods: It is a retrospective study conducted between [...] Read more.
Background and Objectives: The purpose of this study to investigate if the early variations in the hematological profile could be a useful tool in the prediction and evaluation of intraventricular hemorrhage. Materials and Methods: It is a retrospective study conducted between 1 January 2017 and 31 December 2022, in a tertiary academic center. In-born infants ≤ 28 weeks of gestation (n = 134) were enrolled. The study group of infants with all grades of IVH was further divided into mild IVH subgroups (grades 1 and 2) and severe IVH subgroups (grades 3 and 4); the control group included infants without IVH. Results: The prevalence of IVH was 35.8% (n = 48 of 134 infants—study group). We identified significantly lower median values of HGB (p = 0.0312) and HCT (p = 0.0172) in all grades of the IVH group at birth as compared with control, followed by a significantly higher drop in MCV (p = 0.0146) and MCH (p = 0.0002) in the fourth day of life. Conclusions: Extremely preterm infants with IVH may have lower HTC and HGB values at birth, together with a decrease in MCH and MCHC and increase in MPV. The predictive model based on logistic regression analysis could predict the probability of the occurrence of IVH according to their values. Full article
(This article belongs to the Section Obstetrics and Gynecology)
Show Figures

Figure 1

14 pages, 257 KB  
Article
Effect of a Dietary Essential Oil Blend in Dairy Cows during the Dry and Transition Period on Blood and Metabolic Parameters of Dams and Their Calves
by Cangir Uyarlar, Abdur Rahman, Eyup Eren Gultepe, Ibrahim Sadi Cetingul and Ismail Bayram
Animals 2024, 14(1), 150; https://doi.org/10.3390/ani14010150 - 2 Jan 2024
Cited by 5 | Viewed by 4607
Abstract
Cows face severe challenges of immunosuppression and negative energy balance during transition periods. The current study was designed to investigate the effects of essential oil blend supplementation in dairy cow’s ration during dry periods on the health of the cow and calf. In [...] Read more.
Cows face severe challenges of immunosuppression and negative energy balance during transition periods. The current study was designed to investigate the effects of essential oil blend supplementation in dairy cow’s ration during dry periods on the health of the cow and calf. In the current study, 45 dry Holstein dairy cows were divided into three groups, each consisting of 15 animals. The control group was without any supplementation; the positive control group was only injected with 0.2 mg/kg levamisole (intramuscular) at 2 months before parturition and 1 month before parturition; and the treatment group was supplemented with 3 g/day for each cow essential oil blend mixed in total mixed ration (TMR). A mixed vaccine against E. coli, Rotavirus, and Coronavirus was administered to all cows before 42 days and after 21 days of calving. The day of the calving of the animal was accepted as day 0. Blood samples were collected from the coccygeal vein of all cows at −60, −45, −30, −15, −7, 0, 1 and 2 days, and the colostrum samples were taken on days 0, 1, and 2. Blood samples were also collected from the jugular vein (V. Jugularis) of the newborn calves on days 0, 1, and 2. The results of the hematological parameters revealed no difference in the total red blood cell count, hemoglobin amount, hematocrit, MCV, MCH, MCHC, RDW, PLT, MPV, and PCT values in both prenatal and postnatal blood of the cows (p > 0.05). In terms of immunological parameters, the total IgG level was significantly higher in the experimental group on the 7th day before birth compared to the other two groups, while the total leukocyte count, lymphocyte count, monocyte count and granulocyte counts were found to be lower after birth (p < 0005). Blood NEFA and BHBA levels were also lower in the experimental group compared to the other two groups (p < 0.005), and the blood glucose level was not different (p > 0.05). In calves, no difference was found between the groups in any of the parameters examined (p > 0.05). It is concluded that the dietary addition of an essential oil blend during the transition period enhanced the immune status and energy metabolism of cows without any effect on the health status of newborn calves. Full article
(This article belongs to the Section Animal Physiology)
17 pages, 5220 KB  
Article
Prediction of Changes in Blood Parameters Induced by Low-Frequency Ultrasound
by Vytautas Ostasevicius, Agnė Paulauskaite-Taraseviciene, Vaiva Lesauskaite, Vytautas Jurenas, Vacis Tatarunas, Edgaras Stankevicius, Agilė Tunaityte, Mantas Venslauskas and Laura Kizauskiene
Appl. Syst. Innov. 2023, 6(6), 99; https://doi.org/10.3390/asi6060099 - 26 Oct 2023
Cited by 3 | Viewed by 4819
Abstract
In this study, we reveal the influence of low-frequency ultrasound on erythrocyte and platelet aggregation. Furthermore, we show that the consequences of sonication of blood samples can be predicted using machine learning techniques based on a set of explicit parameters. A total of [...] Read more.
In this study, we reveal the influence of low-frequency ultrasound on erythrocyte and platelet aggregation. Furthermore, we show that the consequences of sonication of blood samples can be predicted using machine learning techniques based on a set of explicit parameters. A total of 300 blood samples were exposed to low-frequency ultrasound of varying intensities for different durations. The blood samples were sonicated with low-frequency ultrasound in a water bath, which operated at a frequency of 46 ± 2 kHz. Statistical analyses, an ANOVA, and the non-parametric Kruskal–Wallis method were used to evaluate the effect of ultrasound on various blood parameters. The obtained results suggest that there are statistically significant variations in blood parameters attributed to ultrasound exposure, particularly when exposed to a high-intensity signal lasting 180 or 90 s. Furthermore, among the five machine learning algorithms employed to predict ultrasound’s impact on platelet counts, support vector regression (SVR) exhibited the highest prediction accuracy, yielding an average MAPE of 10.34%. Notably, it was found that the effect of ultrasound on the hemoglobin (with a p-value of < 0.001 for MCH and MCHC and 0.584 for HGB parameters) in red blood cells was higher than its impact on platelet aggregation (with a p-value of 0.885), highlighting the significance of hemoglobin in facilitating the transfer of oxygen from the lungs to bodily tissues. Full article
Show Figures

Figure 1

16 pages, 1916 KB  
Article
Virulence Factor Genes in Invasive Escherichia coli Are Associated with Clinical Outcomes and Disease Severity in Patients with Sepsis: A Prospective Observational Cohort Study
by Valentino D’Onofrio, Reinoud Cartuyvels, Peter E. A. Messiaen, Ivan Barišić and Inge C. Gyssens
Microorganisms 2023, 11(7), 1827; https://doi.org/10.3390/microorganisms11071827 - 17 Jul 2023
Cited by 13 | Viewed by 3190
Abstract
Background: Escherichia coli harbours virulence factors that facilitate the development of bloodstream infections. Studies determining virulence factors in clinical isolates often have limited access to clinical data and lack associations with patient outcome. The goal of this study was to correlate sepsis outcome [...] Read more.
Background: Escherichia coli harbours virulence factors that facilitate the development of bloodstream infections. Studies determining virulence factors in clinical isolates often have limited access to clinical data and lack associations with patient outcome. The goal of this study was to correlate sepsis outcome and virulence factors of clinical E. coli isolates in a large cohort. Methods: Patients presenting at the emergency department whose blood cultures were positive for E. coli were prospectively included. Clinical and laboratory parameters were collected at admission. SOFA-score was calculated to determine disease severity. Patient outcomes were in-hospital mortality and ICU admission. Whole genome sequencing was performed for E. coli isolates and virulence genes were detected using the VirulenceFinder database. Results: In total, 103 E. coli blood isolates were sequenced. Isolates had six to 41 virulence genes present. One virulence gene, kpsMII_K23, a K1 capsule group 2 of E. coli type K23, was significantly more present in isolates of patients who died. kpsMII_K23 and cvaC (Microcin C) were significantly more frequent in isolates of patients who were admitted to the ICU. Fourteen virulence genes (mchB, mchC, papA_fsiA_F16, sat, senB, iucC, iutA, iha, sfaD, cnf1, focG, vat, cldB, and mcmA) significantly differed between patients with and without sepsis. Conclusions: Microcins, toxins, and fimbriae were associated with disease severity. Adhesins and iron uptake proteins seemed to be protective. Two genes were associated with worse clinical outcome. These findings contribute to a better understanding of host-pathogen interactions and could help identifying patients most at risk for a worse outcome. Full article
(This article belongs to the Special Issue Sepsis and Septic Shock)
Show Figures

Figure 1

11 pages, 722 KB  
Article
Biological Variation and Reference Change Value of Routine Hematology Measurands in a Population of Managed Bottlenose Dolphins (Tursiops truncatus)
by Federico Bonsembiante, Carlo Guglielmini, Michele Berlanda, Pietro Fiocco, Barbara Biancani, Carla Genovese, Silvia Bedin and Maria Elena Gelain
Animals 2023, 13(8), 1313; https://doi.org/10.3390/ani13081313 - 11 Apr 2023
Viewed by 2674
Abstract
Hematological analyses are particularly useful in assessing a dolphin’s health status. However, the creation of appropriate reference intervals for this species is difficult due to the low number of reference individuals. The implementation of individual reference intervals (iRIs) allows researchers to overcome this [...] Read more.
Hematological analyses are particularly useful in assessing a dolphin’s health status. However, the creation of appropriate reference intervals for this species is difficult due to the low number of reference individuals. The implementation of individual reference intervals (iRIs) allows researchers to overcome this limitation and, moreover, also consider the within-individual variability. The aims of this study were (1) to evaluate the biological variations in some hematological measurands, including erythrocytes (RBC), hematocrit (Hct), mean cellular volume and hemoglobin content (MCV and MCHC, respectively), RBC distribution width (RDW), leukocytes (WBC), and platelets (PLT); and (2) to calculate the index of individuality (IoI) and reference change value (RCV), which enable the production of iRIs, in healthy managed bottlenose dolphins. Seven dolphins were included, and the results of six hematological exams were analyzed for each animal. Analytical imprecision (CVa), within-dolphin variation (CVi), and between-dolphins variations (CVg) were calculated, and the IoI and RCV were derived for each measurand. All the hematological measurands had intermediate IoI except WBC, for which Iol was low. The calculated RCV ranged from 10.33% (MCV) to 186.51% (WBC). The results reveal that the majority of hematological measurands have an intermediate level of individuality in dolphins, and thus the application of iRIs is appropriate. The calculated RCV can also be applied to other managed dolphins and could be useful in interpreting serial CBC exams. Full article
(This article belongs to the Special Issue Recent Progress in Anatomy and Pathology of Marine Mammals)
Show Figures

Figure 1

11 pages, 1065 KB  
Article
Influence of Elective Cesarean Calving (with and without Dexamethasone Induction) on the Erythrogram and Iron Serum Profiles in Nellore Calves
by Luan Ricci Silva, Renan Braga Paiano, Mariana Guimarães de Oliveira Diogo, Melina Marie Yasuoka, Ana Claúdia Birali, Mayara Berto Massuda, Maria Luiza Kuhne Celestino, Daniela Becker Birgel, Flávio José Minieri Marchese, Paulo Fantinato Neto, Vanessa Martins Storillo and Eduardo Harry Birgel Junior
Animals 2022, 12(12), 1561; https://doi.org/10.3390/ani12121561 - 17 Jun 2022
Viewed by 3568
Abstract
The aim of the present study is to evaluate the erythrogram and iron serum profiles of neonatal calves born spontaneously or born by elective cesarean section with or without dexamethasone induction. The research was performed on 38 newborn Nellore calves. Three groups of [...] Read more.
The aim of the present study is to evaluate the erythrogram and iron serum profiles of neonatal calves born spontaneously or born by elective cesarean section with or without dexamethasone induction. The research was performed on 38 newborn Nellore calves. Three groups of calves were assigned according to the type of birth: calves born by spontaneous vaginal calving (n = 10), calves born by elective cesarean section without inducing labor (n = 14), and calves born by elective cesarean section with labor induction with dexamethasone (n = 14). Blood samples to assess red blood cell count (RBC), hemoglobin, hematocrit, mean corpuscular volume (MCV), mean corpuscular hemoglobin (MCH), concentration of mean corpuscular hemoglobin (MCHC), serum iron (SFe), total capacity to bind iron to transferrin (TIBIC), and transferrin saturation index (TSI) were performed at calving (0, 3, 6, and 12 h of life) and on 1, 2, 3, 5, 7, 10, 15, and 30 days of life. Regardless of the experimental group (calves born spontaneously, or born by elective cesarean section with or without dexamethasone induction), in the first day of life there was a decrease in the number of red blood cells, hemoglobin rates, and values of the globular volume. In the period of the first 10 days of life, animals from spontaneous vaginal delivery quickly recovered values of erythrocytes, hemoglobin, and packed cell volume, whereas animals born by elective C-section (induced and uninduced) did not recover as quickly in their rates of hemoglobin and packed cell volume values. In calves born by elective C-section (induced and uninduced), it was observed in their period between 10 and 30 days of life that the MCV and MCH were reduced by passing the presenting microcytic hypochromic when compared with calves obtained by spontaneous vaginal delivery. In the period between 10 and 30 days of life, the levels of SFe and TSI in animals born by elective C-section (induced and uninduced) are significantly lower. The differences in the erythrogram values between Nellore calves born spontaneously and those by elective C-section with or without induction must be considered consequent to the process of neonatal adaptation to extrauterine life. Iron supplementation in the first month of life in calves from cesarean could be recommended to prevent anemia of this iron deficiency. Full article
(This article belongs to the Topic Animal Diseases in Agricultural Production Systems)
Show Figures

Figure 1

12 pages, 801 KB  
Article
Efficacy and Safety of Ferrous Bisglycinate and Folinic Acid in the Control of Iron Deficiency in Pregnant Women: A Randomized, Controlled Trial
by Akkarach Bumrungpert, Patcharanee Pavadhgul, Theera Piromsawasdi and M. R. Mozafari
Nutrients 2022, 14(3), 452; https://doi.org/10.3390/nu14030452 - 20 Jan 2022
Cited by 17 | Viewed by 22520
Abstract
Iron deficiency in pregnancy is a major public health problem that causes maternal complications. The objective of this randomized, controlled trial was to examine the bioavailability, efficacy, and safety of oral ferrous bisglycinate plus folinic acid supplementation in pregnant women with iron deficiency. [...] Read more.
Iron deficiency in pregnancy is a major public health problem that causes maternal complications. The objective of this randomized, controlled trial was to examine the bioavailability, efficacy, and safety of oral ferrous bisglycinate plus folinic acid supplementation in pregnant women with iron deficiency. Subjects (12–16 weeks of gestation, n = 120) were randomly allocated to receive oral iron as ferrous bisglycinate (equiv. iron 24 mg) in supplement form with folinic acid and multivitamins (test group, n = 60) or as ferrous fumarate (equiv. iron 66 mg iron, control group, n = 60) after breakfast daily. Iron absorption was assessed by measuring fasted serum iron levels at 1 and 2 h immediately after supplementation. Hematological biomarkers and iron status were assessed before intervention, and at 3 and 6 months. Side effects were monitored throughout the intervention. A significant increase in serum iron was seen in both groups (p < 0.001) during the bioavailability assessment; however, the test group increases were comparatively higher than the control values at each timepoint (p < 0.001). Similarly, both test and control groups demonstrated a statistically significant increases in hemoglobin (Hb) (p < 0.001), erythrocytes (p < 0.001), reticulocytes (p < 0.001), mean corpuscular volume (MCV) (p < 0.001), mean corpuscular hemoglobin (MCH) (p < 0.001), mean corpuscular hemoglobin concentration (MCHC) (p < 0.001), % transferrin saturation (p < 0.001), and ferritin (p < 0.001) at 3 and 6 months after supplementation. However, in all cases, the test group increases were numerically larger than the control group increases at each timepoint. The test intervention was also associated with significantly fewer reports of nausea, abdominal pain, bloating, constipation, or metallic taste (p < 0.001). In conclusion, ferrous bisglycinate with folinic acid as a multivitamin nutraceutical format is comparable to standard ferrous fumarate for the clinical management of iron deficiency during pregnancy, with comparatively better absorption, tolerability, and efficacy and with a lower elemental iron dosage. Full article
(This article belongs to the Special Issue Nutrition in Pregnancy and Child)
Show Figures

Figure 1

8 pages, 901 KB  
Article
Monocyte/Lymphocyte Ratio and MCHC as Predictors of Collateral Carotid Artery Disease—Preliminary Report
by Tomasz Urbanowicz, Michał Michalak, Anna Olasińska-Wiśniewska, Michał Rodzki, Aleksandra Krasińska, Bartłomiej Perek, Zbigniew Krasiński and Marek Jemielity
J. Pers. Med. 2021, 11(12), 1266; https://doi.org/10.3390/jpm11121266 - 1 Dec 2021
Cited by 13 | Viewed by 2659
Abstract
Background: Carotid artery disease accounts for 30% of ischemic strokes in the general population. Numerous biomarkers have been investigated for predicting either the progression or the severity of the disease. The aim of this retrospective study was to compare hematologic indices among patients [...] Read more.
Background: Carotid artery disease accounts for 30% of ischemic strokes in the general population. Numerous biomarkers have been investigated for predicting either the progression or the severity of the disease. The aim of this retrospective study was to compare hematologic indices among patients referred for surgical interventions due to severe carotid disease. Methods: In total, 135 patients (87 (64.4%) men and 48 (35.6%) women) with a mean age of 70 ± 8 years who underwent surgical carotid intervention were enrolled into the study. Results: A Mann–Whitney test for independent samples revealed significant differences in monocyte to lymphocyte ratio (MLR) and mean corpuscular hemoglobin concentration (MCHC) between patients with one and two (collateral) carotid diseases. The cut-off value for MLR was 0.3 (AUC = 0.654, p = 0.048, 70.0% sensitivity and 74.6% specificity) and for MHCH was 21.6. (AUC = 0.730, p < 0.001, 70.0% sensitivity and 77.2% specificity). A multivariable model of logistic regression revealed two significant parameters for collateral carotid stenosis disease including MLR > 0.3 (OR 6.19 with 95% CI 2.02–19.01, p = 0.001) and MCHC > 21.6 (OR 7.76, 95% CI 2.54–23.72, p < 0.001). Conclusions: MLR above 0.3 and MCHC above 21.6 have predictive values for colleterial carotid stenosis and may be used as easily accessible indicators for atherosclerosis severity. Full article
(This article belongs to the Special Issue Personalized Cardiovascular Medicine)
Show Figures

Figure 1

9 pages, 268 KB  
Proceeding Paper
Correlation of Inflammation, Lipidogram, and Hematological Readings in Chronic Heart Failure Patients
by Greta Gujytė, Aušra Mongirdienė and Jolanta Laukaitienė
Med. Sci. Forum 2021, 6(1), 7; https://doi.org/10.3390/IECMD2021-10316 - 21 Jun 2021
Viewed by 1998
Abstract
Background and Objectives: Inflammation is a recognized factor in disease progression in both heart failure (HF) patients with reduced ejection fraction (HFrEF) and HF with preserved ejection fraction (HFpEF). Neutrophils take part in maintaining the pro-inflammatory state in HF. Hypercholesterolemia is stated [...] Read more.
Background and Objectives: Inflammation is a recognized factor in disease progression in both heart failure (HF) patients with reduced ejection fraction (HFrEF) and HF with preserved ejection fraction (HFpEF). Neutrophils take part in maintaining the pro-inflammatory state in HF. Hypercholesterolemia is stated to heighten neutrophil production, which contributes to accelerated cardiovascular inflammation. HF pathogenesis differences in the different HF phenotypes are yet to be investigated. Aim: To determine differences in complete blood count, C-reactive protein (CRP) concentration and lipidogram between chronic HF patients with an absence/presence of myocardial infarction (MI) history and preserved/reduced EF. Materials and Methods: We separated the patients (n = 266) according to chronic HF phenotype: (1) HFrEF patients (n = 149) into groups according to presence of MI: those who had had no MI (n = 91) and those with MI (n = 58); (2) chronic HF without MI according to left ventricular ejection fraction (LVEF): LVEF ≥ 50%, n = 117; LVEF < 50%, n = 91. Laboratory and clinical readings (age, weight, pulse, blood pressure, and body mass index (BMI)) were taken from the patients’ medical histories. Results: Mean corpuscular hemoglobin concentration (MCHC) was lower and red cell distribution width—coefficient of variation (RDW-CV) was higher in the lower EF group without a history of MI (337.32 (10.60) and 331.46 (13.13), p = 0.004; 13.6 (11.5–16.9), and 14.7 (12.6–19.1), p = 0.001). Lymphocyte percentage and lymphocyte-to-monocyte ratio (LYM/MON) were lower in the lower EF group without a history of MI (30.48 (10.87), 26.98 (9.08), p = 0.045; 3.33 (1.22–9.33), 3 (0.44–6.5), p = 0.011). In the group according to LVEF without MI neutrophil count positively correlated with weight (rp = 0.196, p = 0.024); lymphocyte count correlated with RDW-CV (rs = −0.223; p = 0.032) and body mass index (rp = 0.186, p = 0.032). RDW-CV and monocyte count correlated with NT-proBNP and serum creatinine (rs = 0.358, p = 0.034; rs = 0.424, p < 0.001 and rs = 0.354, p = 0.012; rs= 0.205, p = 0.018 respectively). CRP concentration (6.9 (1.46–62.97), 7 (1–33.99), p = 0.012) was higher and HDL concentration was lower (0.96 (0.44–2.2), 0.92 (0.56–1.97), p = 0.010) in HFrEF with MI in comparison with the group without MI. LVEF correlated with MCHC and RDW-CV (rs = 0.273, p = 0.001; rs = −0.404, p < 0.001). HDL cholesterol concentration was lower (0.96 (0.44–2.2); 0.92 (0.56–1.97, p = 0.010) and CRP concentration (6.9 (1.46–62.97), 7 (1–33.99), p = 0.012) was higher in the HFrEF with MI group. Uric acid concentration correlated with platelet-to-lymphocyte ratio and LYM/MON (rs = 0.321, p = 0.032; rs = −0.341, p = 0.023). Creatinine concentration correlated with monocyte percentage and count (rp = 0.312, p = 0.001; rp = 0.287, p = 0.003). A correlation between CRP and MCHC (rs = 0.262, p = 0.008) was observed. Conclusions: Our findings revealed the higher pro-inflammatory condition in HFrEF group without MI in comparison with HFpEF without MI. LYM/MON can be appropriate as additional reading for evaluation of functional condition in HFrEF group without MI. It seems inflammation environment could be higher in HFrEF with MI in disease history in comparison with those without MI. HDL concentration inversely correlated with monocyte count and the percentages could show the relationship between the low-grade inflammation and lipid metabolism in HFrEF. Both MCHC and RDW-CV may be relevant in assessing the chronic HF patients’ condition. Full article
(This article belongs to the Proceedings of The 1st International Electronic Conference on Medicine)
13 pages, 768 KB  
Article
Immune Response in Young Thoroughbred Racehorses under Training
by Katia Cappelli, Massimo Amadori, Samanta Mecocci, Arianna Miglio, Maria Teresa Antognoni and Elisabetta Razzuoli
Animals 2020, 10(10), 1809; https://doi.org/10.3390/ani10101809 - 5 Oct 2020
Cited by 19 | Viewed by 3924
Abstract
Training has a great impact on the physiology of an athlete and, like all stressful stimuli, can trigger an innate immune response and inflammation, which is part of a wider coping strategy of the host to restore homeostasis. The Thoroughbred racehorse is a [...] Read more.
Training has a great impact on the physiology of an athlete and, like all stressful stimuli, can trigger an innate immune response and inflammation, which is part of a wider coping strategy of the host to restore homeostasis. The Thoroughbred racehorse is a valid animal model to investigate these changes thanks to its homogeneous training and highly selected genetic background. The aim of this study was to investigate modifications of the innate immune response and inflammation in young untrained Thoroughbred racehorses during the first training season through haematological and molecular investigations. Twenty-nine Thoroughbred racehorses were followed during their incremental 3-month sprint exercise schedule. Blood collection was performed at time 0 (T0; before starting the intense training period), 30 days after T0 (T30), and 90 days after T0 (T90). Haematological parameters (red and white blood cells, haemoglobin, and platelets) were evaluated and haematocrit (HCT), mean corpuscular haemoglobin concentration (MCHC), and red cells width distribution + standard deviation (RDW-SD) were calculated. Moreover, via RT-qPCR, we investigated the expression of, Interleukin 1β (IL-1β), Interleukin 4 (IL-4) Interleukin 6 (IL-6), Interleukin 2 (IL-2), Interleukin 3 (IL-3), Interleukin 5 (IL-5) Interleukin 8 (IL-8), Trasformig Growth Factor β and α (TGF-β), Tumor necrosis factor α (TNF-α), and Interferon γ (IFN-γ)genes. Main corpuscular volume (MCV) showed a significant (p = 0.008) increase at T90. Main corpuscular haemoglobin (MCH) and haemoglobin concentration (MCHC) values were significantly augmented at both T30 (p < 0.001) and T90 (p < 0.001). Basophils were significant increased at T30 (p = 0.02) and eosinophils were significantly increased at T90 (p = 0.03). Significant differences in gene expression were found for all the genes under study, with the exception of IFN-γ and TNF-α. In particular, IL-2 (T30, p = 0.011; T90, p = 0.015), IL-4 (T30, p = 0.009; T90, p < 0.001), and IL-8 (T30, p < 0.001; T90, p < 0.001) genes were significantly upregulated at both T30 and T90 with respect to T0, TGF-β was intensely downregulated at T30 (p < 0.001), IL-5 gene expression was significantly decreased at T90 (p = 0.001), while IL-1β (p = 0.005) and IL-3 (p = 0.001) expression was strongly augmented at the same time. This study highlighted long-term adjustments of O2 transport capability that can be reasonably traced back to exercise adaptation. Moreover, the observed changes of granulocyte numbers and functions and inflammatory cytokine gene expression confirm a major role of the innate immune system in the response to the complex of stressful stimuli experienced during the training period. Full article
(This article belongs to the Special Issue Immune Response to Infective and non Infective-Stressors)
Show Figures

Figure 1

19 pages, 1838 KB  
Article
Hematological and Biochemical Reference Intervals for 5 Adult Hunting Dog Breeds Using a Blood Donor Database
by Arianna Miglio, Alessandra Gavazza, Donatella Siepi, Francesco Bagaglia, Ambra Misia and Maria Teresa Antognoni
Animals 2020, 10(7), 1212; https://doi.org/10.3390/ani10071212 - 16 Jul 2020
Cited by 20 | Viewed by 6121
Abstract
Numerous studies have shown the importance of breed-related differences between hematological and biochemical results in veterinary medicine. The aim of this study is to determine hematologic and biochemical Reference Intervals (RIs) for 5 hunting dog breeds from a blood donor database, adopting an [...] Read more.
Numerous studies have shown the importance of breed-related differences between hematological and biochemical results in veterinary medicine. The aim of this study is to determine hematologic and biochemical Reference Intervals (RIs) for 5 hunting dog breeds from a blood donor database, adopting an indirect sampling method, and to compare them with laboratory established and published RIs to identify possible breed and attitude-related differences. The study analyzed the blood parameters of 445 adults (222 females and 223 male, with age ranging from 2 to 8 years, mean age 5.3 years), client-owned, clinically healthy blood donor dogs of 5 breeds: 156 Ariégeois, 52 Bleu de Gascogne, 64 Bracco italiano, 123 Segugio italiano, and 50 Briquet Griffon Vandeen. Statistical analysis was performed as recommended by the American Society of Veterinary Clinical Pathology (ASVCP) guidelines. RIs for red blood cells (RBC), hematocrit (HCT), hemoglobin (HB), main corpuscular volume (MCV), main corpuscular hemoglobin (MCH), main corpuscular hemoglobin concentration (MCHC), red distribution widht (RDW), white blood cells (WBC), and differential leukocytes count, PLT, Albumin, Total Protein, Urea, Creatinine, aspartate aminotransferase (AST), alanine aminotransferase (ALT), and alkaline phosphatase (ALP) for each of the 5 breeds were performed, and significant differences with the established RIs were detected. We found significant differences in 12 hematologic and serum biochemical analytes for which a breed-specific variation appears to be the most plausible explanation. New RIs for HCT, MCH, MCHC, RDW, PLT, Monocytes, Eosinophils, Albumin, Urea, Creatinine, AST, and ALT are provided for at least 1 breed. Breed-specific RIs for adult hunting dogs will help avoid misinterpretation of laboratory results in these breeds. Full article
(This article belongs to the Special Issue Hematology and Transfusion Medicine in Animals)
Show Figures

Figure 1

15 pages, 1509 KB  
Article
A New Method of Assessing Sheep Red Blood Cell Types from Their Morphology
by Ivona Žura Žaja, Silvijo Vince, Nina Poljičak Milas, Ingo Ralph Albin Lobpreis, Branimira Špoljarić, Ana Shek Vugrovečki, Suzana Milinković-Tur, Miljenko Šimpraga, Luka Pajurin, Tomislav Mikuš, Ksenija Vlahović, Maja Popović and Daniel Špoljarić
Animals 2019, 9(12), 1130; https://doi.org/10.3390/ani9121130 - 12 Dec 2019
Cited by 16 | Viewed by 8371
Abstract
Data concerning the morphometric parameters of sheep red blood cells (RBCs) obtained using computer-assisted image analysis have not yet been investigated, and there are no data on any analyses of ovine RBC subpopulations based on their morphometric parameters. The aims of this study [...] Read more.
Data concerning the morphometric parameters of sheep red blood cells (RBCs) obtained using computer-assisted image analysis have not yet been investigated, and there are no data on any analyses of ovine RBC subpopulations based on their morphometric parameters. The aims of this study are to determine the values of RBC haematological and morphometric size and shape parameters, to form groups according to the obtained values of haematological parameters; to determine the differences in RBC morphometric parameters between the formed groups, and to determine RBC subpopulations and their respective proportions in the formed groups. Thirty-six blood samples were collected from the jugular vein of clinically healthy Lika pramenka sheep, aged between 2 and 5 years. Haematological parameters including haemoglobin (HGB), haematocrit (HTC), mean corpuscular volume (MCV), mean corpuscular haemoglobin (MCH), mean corpuscular haemoglobin concentration (MCHC), and RBC distribution width were analysed using a haematology analyser. Haematological parameters were categorized into two groups: those with lower values or values below the physiological range (Groups 1) and groups with higher values or values above the physiological range (Groups 2). Morphometric parameters of RBCs were determined from stained blood smears using SFORM, a computer-assisted program. Significantly higher values of RBC area, outline, convex, minimal and maximal radius, as well as length and breadth were established in Groups 2 compared to Groups 1 of HGB, HCT, MCV, MCH, and MCHC, respectively. Based on the morphometric parameters of RBCs, three RBC subpopulations were obtained using principal component and cluster analysis: ES 1—the smallest and most elongated RBCs, ES 2—the biggest and most rounded RBCs, and ES 3—average size and shape RBCs. Significantly higher proportions of ES 2 and ES 3 subpopulations, as well as a significantly lower proportion of ES 1 subpopulation, were established in Groups 2 compared to Groups 1 of HGB, HTC, MCV, and MCH, respectively. It can be concluded that ovine RBC subpopulations, based on their morphometric parameters, can be obtained by using computer-assisted image analysis of RBC morphometry and multivariate statistical methods, including principal component and cluster analysis. RBC morphometry, including classification into subpopulations, could serve as a basis for future possibilities in the diagnostic interpretation of anaemic syndromes in veterinary medicine, especially in normocytic, macrocytic, and microcytic anaemias in sheep. Full article
(This article belongs to the Section Animal Physiology)
Show Figures

Figure 1

Back to TopTop