Sign in to use this feature.

Years

Between: -

Subjects

remove_circle_outline
remove_circle_outline
remove_circle_outline
remove_circle_outline
remove_circle_outline
remove_circle_outline

Journals

Article Types

Countries / Regions

Search Results (6)

Search Parameters:
Keywords = MBBA

Order results
Result details
Results per page
Select all
Export citation of selected articles as:
25 pages, 1608 KB  
Article
Landau–de Gennes Model for the Isotropic Phase of Nematogens: The Experimental Evidence Challenge
by Sylwester J. Rzoska, Aleksandra Drozd-Rzoska and Tushar Rajivanshi
Int. J. Mol. Sci. 2025, 26(20), 9849; https://doi.org/10.3390/ijms26209849 - 10 Oct 2025
Viewed by 262
Abstract
The Landau–de Gennes model is one of the most significant fundamental frameworks in The Physics of Liquid Crystals and Soft Matter Physics. It is validated by the universal parameterisation of the Cotton–Mouton effect, the Kerr effect, and light scattering in the isotropic phase [...] Read more.
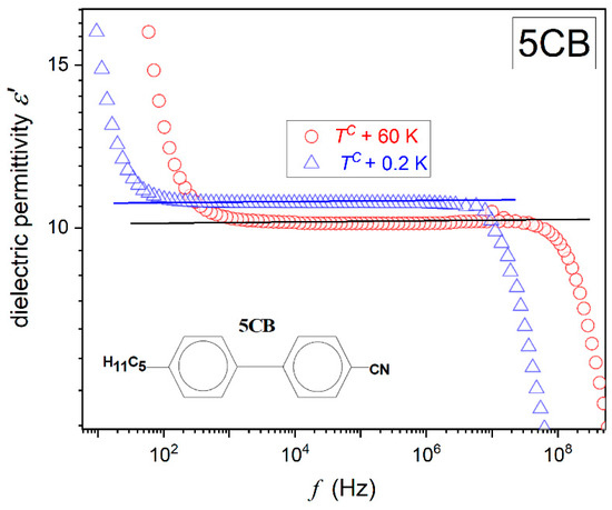
The Landau–de Gennes model is one of the most significant fundamental frameworks in The Physics of Liquid Crystals and Soft Matter Physics. It is validated by the universal parameterisation of the Cotton–Mouton effect, the Kerr effect, and light scattering in the isotropic phase of nematogens. However, as early as 1974, de Gennes identified the first two puzzling problems of this model. Over the following decades, this list has expanded. This report presents the first comprehensive analysis of these issues, with the explicit experimental reference. It focuses on the hardly coherently discussed pretransitional changes in the dielectric constant and the extension in a strong electric field, specifically the nonlinear dielectric effect (NDE). Notably, there are uniquely different pretransitional forms of pretransitional effects, depending on molecular structural features such as permanent dipole moment loci or a steric hindrance. It is tested for 5CB, 5*CB, and MBBA: nematogenic liquid crystalline materials that differ in the above features. The obtained specific pretransitional effects and the evidence for the essential importance of the interplay between observation and pretransition fluctuations time scales led to a new coherent, model-based explanation of all the discussed problems, which cannot be explained within the canonical Landau–de Gennes model. Full article
(This article belongs to the Section Physical Chemistry and Chemical Physics)
Show Figures

Graphical abstract

25 pages, 5809 KB  
Article
The Dominance of Pretransitional Effects in Liquid Crystal-Based Nanocolloids: Nematogenic 4-methoxybenzylidene-4′–butylaniline with Transverse Permanent Dipole Moment and BaTiO3 Nanoparticles
by Aleksandra Drozd-Rzoska, Joanna Łoś and Sylwester J. Rzoska
Nanomaterials 2024, 14(8), 655; https://doi.org/10.3390/nano14080655 - 9 Apr 2024
Cited by 6 | Viewed by 2172
Abstract
The report presents static, low-frequency, and dynamic dielectric properties in the isotropic liquid, nematic, and solid phases of MBBA and related nanocolloids with paraelectric BaTiO3 nanoparticles (spherical, d = 50 nm). MBBA (4-methoxybenzylidene-4′–butylaniline) is a liquid crystalline compound with a permanent dipole [...] Read more.
The report presents static, low-frequency, and dynamic dielectric properties in the isotropic liquid, nematic, and solid phases of MBBA and related nanocolloids with paraelectric BaTiO3 nanoparticles (spherical, d = 50 nm). MBBA (4-methoxybenzylidene-4′–butylaniline) is a liquid crystalline compound with a permanent dipole moment transverse to the long molecular axis. The distortions-sensitive analysis of the dielectric constant revealed its hidden pretransitional anomaly, strongly influenced by the addition of nanoparticles. The evolution of the dielectric constant in the nematic phase shows the split into two regions, with the crossover coinciding with the standard melting temperature. The ‘universal’ exponential-type behavior of the low-frequency contribution to the real part of the dielectric permittivity is found. The critical-like pretransitional behavior in the solid phase is also evidenced. This is explained by linking the Lipovsky model to the Mossotti catastrophe concept under quasi-negative pressure conditions. The explicit preference for the ‘critical-like’ evolution of the apparent activation enthalpy is worth stressing for dynamics. Finally, the long-range, ‘critical-like’ behavior of the dissipation factor (D = tgδ), covering the isotropic liquid and nematic phases, is shown. Full article
(This article belongs to the Special Issue Morphological Design and Synthesis of Nanoparticles (Second Edition))
Show Figures

Figure 1

21 pages, 5981 KB  
Article
Phase Equilibria and Critical Behavior in Nematogenic MBBA—Isooctane Monotectic-Type Mixtures
by Jakub Kalabiński, Aleksandra Drozd-Rzoska and Sylwester J. Rzoska
Int. J. Mol. Sci. 2023, 24(3), 2065; https://doi.org/10.3390/ijms24032065 - 20 Jan 2023
Cited by 7 | Viewed by 2379
Abstract
The transition from the isotropic (I) liquid to the nematic-type (N) uniaxial phase appearing as the consequence of the elongated geometry of elements seems to be a universal phenomenon for many types of suspensions, from solid nano-rods to biological particles based colloids. Rod-like [...] Read more.
The transition from the isotropic (I) liquid to the nematic-type (N) uniaxial phase appearing as the consequence of the elongated geometry of elements seems to be a universal phenomenon for many types of suspensions, from solid nano-rods to biological particles based colloids. Rod-like thermotropic nematogenic liquid crystalline (LC) compounds and their mixtures with a molecular solvent (Sol) can be a significant reference for this category, enabling insights into universal features. The report presents studies in 4′-methoxybenzylidene-4-n-butylaniline (MBBA) and isooctane (Sol) mixtures, for which the monotectic-type phase diagram was found. There are two biphasic regions (i) for the low (TP1, isotropic liquid-nematic coexistence), and (ii) high (TP2, liquid-liquid coexistence) concentrations of isooctane. For both domains, biphasic coexistence curves’ have been discussed and parameterized. For TP2 it is related to the order parameter and diameter tests. Notable is the anomalous mean-field type behavior near the critical consolute temperature. Regarding the isotropic liquid phase, critical opalescence has been detected above both biphasic regions. For TP2 it starts ca. 20 K above the critical consolute temperature. The nature of pretransitional fluctuations in the isotropic liquid phase was tested via nonlinear dielectric effect (NDE) measurements. It is classic (mean-field) above TP1 and non-classic above the TP2 domain. The long-standing problem regarding the non-critical background effect was solved to reach this result. Full article
(This article belongs to the Special Issue Water-Soluble Complexes: Catalytic and Biologic Applications 2.0)
Show Figures

Graphical abstract

8 pages, 2687 KB  
Article
Phase Transitions of N-(4-methoxybenzylidene)-4-butylaniline (MBBA) Confined within Mesoporous Silica
by Takehisa Yoshimi, Ayumi Shima, Shoko Hagiwara-Norifusa, Takayuki Sugimoto, Atsushi Nagoe and Hiroki Fujimori
Crystals 2020, 10(9), 792; https://doi.org/10.3390/cryst10090792 - 8 Sep 2020
Cited by 10 | Viewed by 7722
Abstract
We have used differential scanning calorimetry (DSC) to investigate the phase transition of a liquid crystal, N-(4-methoxybenzylidene)-4-butylaniline (MBBA), confined within porous silica materials with one- and three-dimensional pore architectures. Each phase-transition temperature of the confined MBBA linearly decreased with the inverse pore [...] Read more.
We have used differential scanning calorimetry (DSC) to investigate the phase transition of a liquid crystal, N-(4-methoxybenzylidene)-4-butylaniline (MBBA), confined within porous silica materials with one- and three-dimensional pore architectures. Each phase-transition temperature of the confined MBBA linearly decreased with the inverse pore size compared with that of bulk MBBA. However, the degree of temperature shift varied owing to differences in the pore architectures. In addition, when MBBA was confined within one-dimensional pores, the thermal anomaly associated with the phase transition from the nematic phase to the isotropic liquid phase was not observed in the DSC measurements. Full article
(This article belongs to the Special Issue Crystallography of Structural Phase Transformations)
Show Figures

Figure 1

8 pages, 1734 KB  
Article
Formation of Photo-Responsive Liquid Crystalline Emulsion by Using Microfluidics Device
by Yoshiharu Dogishi, Shun Endo, Woon Yong Sohn and Kenji Katayama
Entropy 2017, 19(12), 669; https://doi.org/10.3390/e19120669 - 6 Dec 2017
Cited by 10 | Viewed by 5704
Abstract
Photo-responsive double emulsions made of liquid crystal (LC) were prepared by a microfluidic device, and the light-induced processes were studied. The phase transition was induced from the center of the topological defect for an emulsion made of (N-(4-methoxybenzylidene)-4-butylaniline (MBBA), and strange [...] Read more.
Photo-responsive double emulsions made of liquid crystal (LC) were prepared by a microfluidic device, and the light-induced processes were studied. The phase transition was induced from the center of the topological defect for an emulsion made of (N-(4-methoxybenzylidene)-4-butylaniline (MBBA), and strange texture change was observed for an emulsion made of 4-cyano-4′-pentylbiphenyl (5CB) doped with azobenzene. The results suggest that there are defect-involved processes in the phase change of LC double emulsions. Full article
(This article belongs to the Special Issue Nonequilibrium Thermodynamics of Interfaces)
Show Figures

Figure 1

12 pages, 8982 KB  
Article
Electrochemical Aptasensor for Myoglobin-Specific Recognition Based on Porphyrin Functionalized Graphene-Conjugated Gold Nanocomposites
by Guojuan Zhang, Zhiguang Liu, Li Wang and Yujing Guo
Sensors 2016, 16(11), 1803; https://doi.org/10.3390/s16111803 - 28 Oct 2016
Cited by 32 | Viewed by 7340
Abstract
In this work, a novel electrochemical aptasensor was developed for sensitive and selective detection of myoglobin based on meso-tetra (4-carboxyphenyl) porphyrin-functionalized graphene-conjugated gold nanoparticles (TCPP–Gr/AuNPs). Due to its good electric conductivity, large specific surface area, and excellent mechanical properties, TCPP–Gr/AuNPs can act as [...] Read more.
In this work, a novel electrochemical aptasensor was developed for sensitive and selective detection of myoglobin based on meso-tetra (4-carboxyphenyl) porphyrin-functionalized graphene-conjugated gold nanoparticles (TCPP–Gr/AuNPs). Due to its good electric conductivity, large specific surface area, and excellent mechanical properties, TCPP–Gr/AuNPs can act as an enhanced material for the electrochemical detection of myoglobin. Meanwhile, it provides an effective matrix for immobilizing myoglobin-binding aptamer (MbBA). The electrochemical aptasensor has a sensitive response to myoglobin in a linear range from 2.0 × 10−11 M to 7.7 × 10−7 M with a detection limit of 6.7 × 10−12 M (S/N = 3). Furthermore, the method has the merits of high sensitivity, low price, and high specificity. Our work will supply new horizons for the diagnostic applications of graphene-based materials in biomedicine and biosensors. Full article
(This article belongs to the Special Issue Nanobiosensing for Sensors)
Show Figures

Figure 1

Back to TopTop