The Dominance of Pretransitional Effects in Liquid Crystal-Based Nanocolloids: Nematogenic 4-methoxybenzylidene-4′–butylaniline with Transverse Permanent Dipole Moment and BaTiO3 Nanoparticles
Abstract
1. Introduction
2. Materials and Methods
3. Results and Discussion
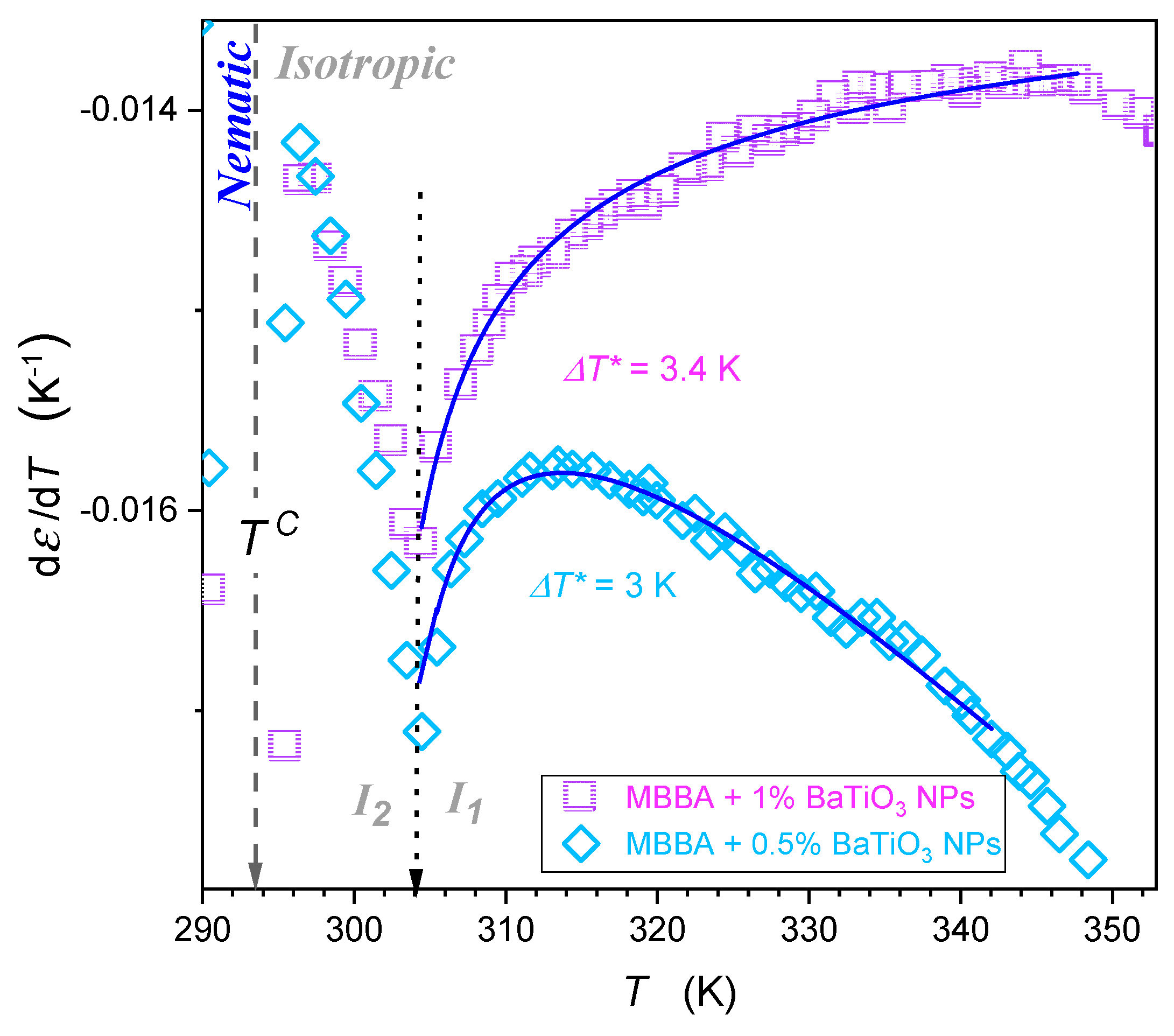
3.1. Dielectric Constant Changes in the Isotropic Liquid Phase
3.2. Dielectric Constant Changes in the Nematic Phase
3.3. Dielectric Constant Changes in the Solid Phase
3.4. Dielectric Permittivity in the Low-Frequency Domain
3.5. Dynamic Properties in MBBA and Related Nanocolloids
4. Conclusions
Author Contributions
Funding
Data Availability Statement
Conflicts of Interest
Appendix A

References
- De Gennes, P.G.; Prost, J. The Physics of Liquid Crystals; Oxford University Press: Oxford, UK, 1995. [Google Scholar]
- Anisimov, M.A. Critical Phenomena in Liquids and Liquid Crystals; Gordon and Breach: Reading, UK, 1992. [Google Scholar]
- Demus, D.; Goodby, J.; Gray, G.W.; Spiess, H.-W.; Vill, V. Handbook of Liquid Crystals: Fundamentals; Wiley-VCH: Weinheim, Germany, 1998. [Google Scholar]
- Chandrasekhar, S. Liquid Crystals; Cambridge University Press: Cambridge, UK, 1993. [Google Scholar]
- Rzoska, S.J.; Mazur, V.; Drozd-Rzoska, A. Metastable Systems under Pressure; Springer: Berlin/Heidelberg, Germany, 2010. [Google Scholar]
- Collings, P.; Goodby, J.W. Introduction to Liquid Crystals: Chemistry and Physics; CRC Press: Boca Raton, FL, USA; Routledge: London, UK, 2019. [Google Scholar]
- Kalabiński, J.; Drozd-Rzoska, A.; Rzoska, S.J. Phase equilibria and critical behavior in nematogenic MBBA-isooctane monotectic-type mixtures. Int. J. Mol. Sci. 2023, 24, 2065. [Google Scholar] [CrossRef]
- Lagerwall, J.P.F. Liquid Crystals with Nano and Microparticles; World Scientific: Singapore, 2016. [Google Scholar]
- Dierking, I. Nanomaterials in Liquid Crystals. Nanomaterials 2018, 8, 453. [Google Scholar] [CrossRef]
- Thomas, S.; Kalarikkal, N.; Abraham, A.R. Fundamentals and Properties of Multifunctional Nanomaterials (Micro and Nano Technologies); Elsevier: Amsterdam, The Netherlands, 2021. [Google Scholar]
- Tripathi, P.K.; Kumar, A.; Kumar, K.; Pandey, K. Dielectric study of multiwall carbon nanotube dispersed nematic liquid crystal mixture. Mater. Today Proc. 2018, 5, 9182–9186. [Google Scholar] [CrossRef]
- Kyrou, C.; Kralj, S.; Panagopoulou, M.; Raptis, Y.; Nounesis, G.; Lelidis, I. Impact of spherical nanoparticles on nematic order parameters. Phys. Rev. E 2018, 97, 042701. [Google Scholar] [CrossRef]
- Mukherjee, P.K. Impact of ferroelectric nanoparticles on the dielectric constant of nematic liquid crystals. Soft Mater. 2020, 19, 113–116. [Google Scholar] [CrossRef]
- Jasiurkowska-Delaporte, M.; Kolek, Ł. Nematic liquid crystals. Crystals 2020, 111, 381. [Google Scholar] [CrossRef]
- Varshney, D.; Prakash, J.; Singh, G. Indium tin oxide nanoparticles induced molecular rearrangement in nematic liquid crystal material. J. Mol. Liq. 2023, 387, 122578. [Google Scholar] [CrossRef]
- Ambrožič, M.; Pal, K.; Kralj, S.; Hölbl, A. Nanoparticle controlled nematic macroscopic properties. J. Mol. Struct. 2021, 1230, 129878. [Google Scholar] [CrossRef]
- Vafaie, R.; Vahedi, A.; Zakerhamidi, M.S.; Tajalli, H. Dielectric and electro-optical properties of 6CHBT nematic liquid crystals doped with MgO nanoparticles. Liq. Cryst. 2021, 48, 1417–1428. [Google Scholar] [CrossRef]
- Kyrou, C.; Ambrozic, M.; Tsiourvas, D.; Kralj, S.; Atata, S.B.; Lelidis, I. Effect of quantum dots on the phase behavior and order of 8CB liquid crystals. J. Mol. Liq. 2023, 387, 122568. [Google Scholar] [CrossRef]
- Ranjkesh, A.; Ebrahimpour, N.; Zakerhamidi, M.S.; Seyedahmadian, S.M. Temperature-dependent dielectric property of a nematic liquid crystal doped with two differently–shaped tungsten oxide (W18O49) nanostructures. J. Mol. Liq. 2022, 348, 118024. [Google Scholar] [CrossRef]
- Zid, M.; Cordoyiannis, G.; Kutnjak, Z.; Kralj, S. Criticality controlling mechanisms in nematic liquid crystals. Nanomaterials 2024, 14, 320. [Google Scholar] [CrossRef]
- Okutan, M.; Öztürk, M.; Yeşilot, G.; Yalçın, O.; Bolívar, P.H. Fullerene C60: Dielectric and elastic properties of E8 nematic liquid crystal. Physica B Cond. Matter 2024, 673, 1417–1428. [Google Scholar] [CrossRef]
- Derbali, M.; Guesmi, A.; Ben Hamadi, N.; Soltani, T. Dielectric, electrooptic and viscoelastic properties in cybotactic nematic phase doped with ferroelectric nanoparticles. J. Mol. Liq. 2020, 319, 113768. [Google Scholar] [CrossRef]
- Nasri, R.; Missaoui, T.R.; Hbibi, A.; Soltani, T. Enhanced dielectric properties of nematic liquid crystal doped with ferroelectric nanoparticles. Liq. Cryst. 2021, 48, 1429–1437. [Google Scholar] [CrossRef]
- Rastogi, A.; Mishra, A.; Pandey, F.P.; Manohar, R.; Parmar, A.S. Enhancing physical characteristics of thermotropic nematic liquid crystals by dispersing in various nanoparticles and their potential applications. Emergent Mater. 2023, 6, 101–136. [Google Scholar] [CrossRef]
- The Authors’ Search in the Google Scholar Base. Available online: https://scholar.google.com/ (accessed on 9 March 2024).
- Rzoska, S.J.; Starzonek, S.; Drozd-Rzoska, A.; Czupryński, K.; Chmiel, K.; Gaura, G.; Michulec, A.; Szczypek, B.; Walas, W. The impact of BaTiO3 nanonoparticles on pretransitional effects in liquid crystalline dodecylcyanobiphenyl. Phys. Rev. E 2016, 93, 534. [Google Scholar] [CrossRef] [PubMed]
- Starzonek, S.; Rzoska, S.J.; Drozd-Rzoska, A.; Czupryński, K.; Kralj, S. Impact of ferroelectric and superparaelectric nanoparticles on phase transitions and dynamics in nematic liquid crystals. Phys. Rev. E 2017, 96, 022705. [Google Scholar] [CrossRef] [PubMed]
- Drozd-Rzoska, A.; Starzonek, S.; Rzoska, S.J.; Kralj, S. Nanoparticle-controlled glassy dynamics in nematogen-based nanocolloids. Phys. Rev. E 2019, 99, 052703. [Google Scholar] [CrossRef] [PubMed]
- Rzoska, S.J.; Starzonek, S.; Łoś, J.; Drozd-Rzoska, A.; Kralj, S. Dynamics and pretransitional effects in C60 fullerene nanoparticles and liquid crystalline dodecylcyanobiphenyl (12CB) hybrid system. Nanomaterials 2020, 10, 2343. [Google Scholar] [CrossRef] [PubMed]
- Łoś, J.; Drozd-Rzoska, A.; Rzoska, S.J.; Starzonek, S.; Czupryński, K. Fluctuations-driven dielectric properties of liquid crystalline octyloxycyanobiphenyl and its nanocolloids. Soft Matter 2022, 18, 4502–4512. [Google Scholar] [CrossRef] [PubMed]
- Łoś, J.; Drozd-Rzoska, A.; Rzoska, S.J.; Czupryński, K. The impact of ionic contribution to dielectric permittivity in 11CB liquid crystal and its colloids with BaTiO3 nanoparticles. Eur. Phys. J. E 2022, 45, 74. [Google Scholar] [CrossRef]
- Łoś, J.; Drozd-Rzoska, A.; Rzoska, S.J. Critical-like behavior of low-frequency dielectric properties in compressed liquid crystalline octyloxycyanobiphenyl (8OCB) and its nanocolloid with paraelectric BaTiO3. J. Mol. Liq. 2023, 377, 121555. [Google Scholar] [CrossRef]
- Łoś, J.; Drozd-Rzoska, A.; Rzoska, S.J.; Starzonek, S.; Czupryński, K.; Mukherjee, P.K. Near-continuous isotropic—Nematic transition in compressed rod-like liquid crystal based nanocolloid. J. Mol. Liq. 2023, 382, 121884. [Google Scholar] [CrossRef]
- Drozd-Rzoska, A.; Rzoska, S.J.; Zioło, J. Critical behaviour of dielectric permittivity in the isotropic phase of nematogens. Phys. Rev. E 1996, 54, 6452–6456. [Google Scholar] [CrossRef]
- Drozd-Rzoska, A.; Pawlus, S.; Rzoska, S.J. Pretransitional behavior of dielectric permittivity on approaching a clearing point in mixture of nematogens with antagonistic configurations of dipoles. Phys. Rev. E 2001, 64, 051701. [Google Scholar] [CrossRef]
- Chang, R. Pretransition and critical phenomena in the nematic phase of MBBA. Solid State Comm. 1974, 14, 403–406. [Google Scholar] [CrossRef]
- Cummins, P.G.; Dunmur, D.A.; Jessup, N.E. The Dielectric properties of nematic MBBA in the presence of electric and magnetic fields. In Liquid Crystals and Ordered Fluids; Johnson, J.F., Porter, R.S., Eds.; Springer: Boston, MA, USA, 1974. [Google Scholar]
- Park, J.W.; Labes, M.M. Dielectric, elastic, and electro-optic properties of a liquid crystalline molecular complex. J. Appl. Phys. 1977, 48, 22–24. [Google Scholar] [CrossRef]
- Vertogen, G.; de Jeu, W.H. Thermotropic Liquid Crystals, Fundamentals; Springer Series in Chemical Physics; Springer: Berlin/Heidelberg, Germany, 1986. [Google Scholar]
- Massalska-Arodz, M. Dynamics of the molecules in solid phases of few chosen Schiff bases compounds. Acta Phys. Polon. A 2003, 105, 467–470. [Google Scholar]
- Takikawa, Y.; Kaneko, K.; Odani, S.; Ikemura, T.; Iwata, M. Dielectric anisotropy in PCPB/MBBA mixtures showing the dual frequency characteristic. Jpn. J. Appl. Phys. 2020, 59, SDDB05. [Google Scholar] [CrossRef]
- Beigmohammadi, M.; Khadem Sadigh, M.; Poursamad, J. Dielectric anisotropy changes in MBBA liquid crystal doped with barium titanate by a new method. Sci. Rep. 2024, 14, 5756. [Google Scholar] [CrossRef] [PubMed]
- Skripov, V.P.; Faizulin, M.Z. Crystal-Liquid-Gas Phase Transitions and Thermodynamic Similarity; Wiley-VCH: Berlin, Germany, 2006. [Google Scholar]
- Mei, Q.S.; Lu, K. Melting and superheating of crystalline solids: From bulk to nanocrystals. Prog. Mater. Sci. 2007, 5, 1175–1262. [Google Scholar] [CrossRef]
- Lawson, A.C. Physics of the Lindemann rule. Phil. Mag. 2009, 89, 1757–1770. [Google Scholar] [CrossRef]
- Samanta, A.; Tuckerman, M.E.; Yu, T.-Q.; Ee, W. Microscopic mechanisms of equilibrium melting of a solid. Science 2014, 345, 729–732. [Google Scholar] [CrossRef] [PubMed]
- Riegler, H.; Köhler, R. How pre-melting on surrounding interfaces broadens solid–liquid phase transitions. Nat. Phys. 2007, 3, 890–894. [Google Scholar] [CrossRef]
- Pogatscher, S.; Leutenegger, D.; Schawe, J.E.K.; Uggowitzer, P.J.; Löffler, J.F. Solid—Solid phase transitions via melting in metals. Nat. Commun. 2016, 7, 11113. [Google Scholar] [CrossRef] [PubMed]
- Pocheć, M.; Niu, H.; Ren, L.; Bai, S.; Orzechowski, K. Premelting phenomena in n-alcohols from nonanol to dodecanol. J. Phys. Chem. C 2020, 124, 21013–21017. [Google Scholar] [CrossRef]
- Pocheć, M.; Orzechowski, K.; Rutkowski, K. Indicators of premelting in 1-decanol and 1-nonanol studied by FTIR spectroscopy. Surf. Interfaces 2022, 28, 101676. [Google Scholar] [CrossRef]
- Lee, S.H.; Kim, H.S.; Pak, H. A molecular dynamics simulation study on nematic–isotropic phase transition of rod-like molecules in NpT ensemble. J. Chem. Phys. 1992, 97, 6933–6941. [Google Scholar] [CrossRef]
- Goodby, J.W.; Cowling, S.J. Conception, discovery, invention, serendipity and consortia: Cyanobiphenyls and beyond. Crystals 2022, 12, 825. [Google Scholar] [CrossRef]
- Barium Titanate BaTiO3 Nanoparticles/Nanopowder (BaTiO3, 99.9%, 50 nm, Cubic). Available online: https://www.us-nano.com/inc/sdetail/532 (accessed on 23 January 2024).
- Gharbi, I.; Palacio-Betancur, V.; Ayeb, H.; Demaille, D.; de Pablo, J.J.; Kamien, R.D.; Lacaze, E. Liquid crystal films as active substrates for nanoparticle control. ACS Appl. Nano Mater. 2021, 4, 6700–6708. [Google Scholar] [CrossRef]
- Glinchuk, M.D.; Eliseev, E.A.; Morozovska, A.N. Superparaelectric phase in the ensemble of noninteracting ferroelectric nanoparticles. Phys. Rev. B 2008, 78, 134107. [Google Scholar] [CrossRef]
- Eliseev, E.A.; Glinchuk, M.D.; Khist, V.; Skorokhod, V.V.; Blinc, R.; Morozovska, A.N. Linear magnetoelectric coupling and ferroelectricity induced by the flexomagnetic effect in ferroics. Phys. Rev. B 2011, 84, 174112. [Google Scholar] [CrossRef]
- Dhara, S.; Madhusudana, N.V. Effect of high electric fields on the nematic to isotropic transition in a material exhibiting large negative dielectric anisotropy. Eur. Phys. J. E 2007, 22, 139–149. [Google Scholar] [CrossRef]
- Chen, Y.; Peng, F.; Yamaguchi, T.; Song, X.; Wu, S.-T. High performance negative dielectric anisotropy liquid crystals for display applications. Crystals 2013, 3, 483–503. [Google Scholar] [CrossRef]
- Yang, Y.; Asta, M.; Laird, B.B. Solid-liquid interfacial premelting. Phys. Rev. Lett. 2013, 110, 096102. [Google Scholar] [CrossRef] [PubMed]
- Toledano, Ó.; Pancorbo, M.; Alvarellos, J.E.; Gálvez, Ó. Melting in two-dimensional systems: Characterizing continuous and first-order transition. Phys. Rev. B 2021, 103, 094107. [Google Scholar] [CrossRef]
- Drozd-Rzoska, A.; Rzoska, S.J.; Imre, A.R. On the pressure evolution of the melting temperature and the glass transition temperature. J. Non-Cryst. Solids 2007, 353, 3915–3923. [Google Scholar] [CrossRef]
- Kryuchkov, N.P.; Dmitryuk, N.A.; Li, W.; Ovcharov, P.V.; Han, Y.; Sapelkin, A.V.; Yurchenko, S.O. Mean-field model of melting in superheated crystals based on a single experimentally evolution measurable order parameter. Sci. Rep. 2021, 11, 17963. [Google Scholar] [CrossRef]
- Xian, X.-L.; Zhao, Y.-H.; Peng, D.-W.; Guo, Q.-W.; Guo, Z.; Hou, H. Phase-field crystal simulation of liquid pools in grain boundary pre-melting regions. Trans. Nonferrous Met. Soc. China 2021, 31, 1175–1188. [Google Scholar]
- Kalabiński, J.; Drozd-Rzoska, A.; Rzoska, S.J. Giant premelting effects for solid-liquid discontinuous transition in nitrobenzene under compression. Crystals 2023, 13, 247. [Google Scholar] [CrossRef]
- Drozd-Rzoska, A.; Rzoska, S.J.; Łoś, J. Supercriticality, glassy dynamics, and the new insight into melting/freezing discontinuous transition in linseed oil. Biophysica 2024, 4, 34–57. [Google Scholar] [CrossRef]
- Lipowsky, R. Critical surface phenomena at first-order bulk transitions. Phys. Rev. Lett. 1982, 49, 1575–1578. [Google Scholar] [CrossRef]
- Lipowsky, R. Melting at grain boundaries and surfaces. Phys. Rev. Lett. 1986, 57, 2876–2880. [Google Scholar] [CrossRef] [PubMed]
- Lipovsky, R. Surface critical phenomena at first-order phase transition. Ferroelectrics 1987, 73, 69–81. [Google Scholar] [CrossRef]
- Mossotti, O.F. Discussione analitica sull’influenza che l’azione di un mezzo dielettrico ha sulla distribuzione dell’elettricità alla superficie di più corpi elettrici disseminati. Mem. Mat. Fis. Soc. Ital. Sci. Resid. Modena 1850, 24, 49–74. [Google Scholar]
- Clausius, R. Die Mechanische Behandlung der Electricität; Vieweg + Teubner Verlag: Wiesbaden, Germany, 1878. [Google Scholar]
- Böttcher, C.J.F. Theory of Electric Polarization; Elsevier: Amsterdam, The Netherlands, 1973. [Google Scholar]
- Chełkowski, A. Dielectric Physics; PWN-Elsevier: Warsaw, Poland, 1990. [Google Scholar]
- von Hippel, A. Dielectrics and Waves; Artech House: New York, NY, USA, 1954. [Google Scholar]
- Raju, G.G. Dielectric in Electric Field; CRC Press: Boca Raton, FL, USA, 2018. [Google Scholar]
- Talebian, E.; Talebian, M. A general review on the derivation of Clausius–Mossotti relation. Optik 2013, 124, 2324–2326. [Google Scholar] [CrossRef]
- Trainer, M. Ferroelectrics and the Curie–Weiss law. Eur. J. Phys. 2000, 21, 459–464. [Google Scholar] [CrossRef]
- Rzoska, S.J.; Drozd-Rzoska, A.; Bulejak, W.; Łoś, J.; Starzonek, S.; Szafran, M.; Gao, F. Critical insight into pretransitional behavior and dielectric tunability of relaxor ceramics. Materials 2023, 16, 7634. [Google Scholar] [CrossRef]
- Drozd-Rzoska, A.; Rzoska, S.J.; Imre, A.R. Liquid–liquid phase equilibria in nitrobenzene–hexane critical mixture under negative pressure. Phys. Chem. Chem. Phys. 2004, 6, 2291–2294. [Google Scholar] [CrossRef]
- Adrjanowicz, K.; Kaminski, K.; Koperwas, K.; Paluch, M. Negative pressure vitrification of the isochorically confined liquid in nanopores. Phys. Rev. Lett. 2015, 115, 265702. [Google Scholar] [CrossRef] [PubMed]
- Tarnacka, M.; Wycliffe, K.; Kaminska, E.; Pawlus, S.; Kaminski, K.; Paluch, M. Interplay between core and interfacial mobility and its impact on the measured glass transition: Dielectric and calorimetric studies. Phys. Chem. Chem. Phys. 2016, 18, 23709–23714. [Google Scholar] [CrossRef] [PubMed]
- Dolganov, V.K.; Pocsik, I.; Rosta, L. A study of dynamics and phase transitions in solid MBBA. Liq. Cryst. 1993, 14, 1895–1900. [Google Scholar] [CrossRef]
- Yasuda, N.; Fujimoto, S.; Funado, S.; Tanaka, K. Dielectric properties of metastable solid MBBA under pressure. J. Phys. D Appl. Phys. 1984, 17, 1283. [Google Scholar] [CrossRef]
- Pathmanathan, K.; Dissado, L.A.; Hill, R.M. A Dielectric Study of the Solid Phases of MBBA. Mol. Cryst. Liq. Cryst. 1986, 135, 65–91. [Google Scholar] [CrossRef]
- Agarwal, V.K.; Arora, V.P.; Mansingh, A. Dielectric studies in solid phase MBBA. J. Chem. Phys. 1977, 66, 2817–2820. [Google Scholar] [CrossRef]
- Moscicki, J.K. Dielectric properties of the metastable and stable solid phase modifications of p-methoxy benzylidene p-n-butyl aniline (MBBA). Solid State Comm. 1976, 20, 481–483. [Google Scholar] [CrossRef]
- Janik, J.; Mayer, J.; Ściesinska, E.; Ściesinski, J.; Twardowski, J.; Waluga, T.; Witko, W. Calorimetric and infra-red study of the phase situation in solid MBBA. J. Physique Colloq. 1975, 36, C158–C159. [Google Scholar] [CrossRef][Green Version]
- Drozd-Rzoska, A.; Rzoska, S.J.; Zioło, J.; Jadżyn, J. Quasicritical behavior of the low-frequency dielectric permittivity in the isotropic phase of liquid crystalline materials. Phys. Rev. E 2001, 63, 052701. [Google Scholar] [CrossRef]
- Nhan Tran, T.; Le, T. Microscopic approach for low-frequency dielectric constant of liquid water. Phys. Chem. Liq. 2021, 59, 53–61. [Google Scholar] [CrossRef]
- Woodward, W.H.H.; Pasztor, A.J., Jr.; Chatterjee, T.A.; Nakatani, I. On a different approach toward low-frequency dielectric spectroscopy measurements of conductive liquids. Rev. Sci. Instrum. 2013, 84, 085109. [Google Scholar] [CrossRef]
- Thoen, J.; Kindt, R.; van Dael, W.; Merabet, M.; Bose, T.K. Low-frequency dielectric dispersion and electric conductivity near the consolute point in some binary liquid mixtures. Phys. A Stat. Mech. Appl. 1989, 156, 92–113. [Google Scholar] [CrossRef]
- Sidambarompoulé, X.; Notingher, P.; Paillat, T.; Laurentie, J.-C.; Leblanc, P. Study of electrical properties and estimation of average mobility and diffusion coefficients in several insulating liquids by dielectric spectroscopy. Int. J. Plasma Environ. Sci. Technol. 2020, 14, e03006. [Google Scholar]
- Mada, H.; Ryuzaki, M. Ion influence on nematic liquid crystal cell impedance at low frequency. Jpn. J. Appl. Phys. 1995, 34, L1134. [Google Scholar] [CrossRef]
- Mada, H.; Endoh, S.H.; Fukuro, M. Time dependence of impedance characteristic of nematic liquid crystal cell. Jpn. J. Appl. Phys. Part 2 1996, 35, L1114. [Google Scholar] [CrossRef]
- Sawada, A.; Tarumi, K.; Naemura, S. Novel characterization method of ions in liquid crystal materials by complex dielectric constant measurements. Jpn. J. Appl. Phys. 1999, 38, 1423–1428. [Google Scholar] [CrossRef]
- Sawada, A.; Nakazono, Y.; Tarumi, K.; Naemura, S. Complex dielectric constant of liquid crystal materials containing ionic impurities in low frequency region. Mol. Cryst. Liq. Cryst. 1998, 318, 225–242. [Google Scholar] [CrossRef]
- Mada, H.; Nishikawa, A. Dielectric properties of n-pentyl-p-n-cyanobiphenyl in wide frequency range. Jpn. J. Appl. Phys. 1993, 32, L1009–L1011. [Google Scholar] [CrossRef]
- Garbivskiy, Y.; Glushchenko, I. Nano-objects and ions in liquid crystals: Ion trapping effect and related phenomena. Crystals 2015, 5, 501–533. [Google Scholar] [CrossRef]
- Khodaee, M.; Dalir, N.; Feghhi, F.; Ansari, N.; Mohammadimasoudi, M.; Goudarzi, A.; Nasiri, A.F.; Kolahdouz, M.; Mohseni, S.M. Enhancement in electrical conductivity of liquid crystals by graphene metal oxide composites. Sci. Rep. 2023, 11, 11688. [Google Scholar] [CrossRef]
- Iwamoto, S.; Kumagai, H. Analysis of the dielectric relaxation of a gelatin solution. Biosci. Biotechnol. Biochem. 1998, 62, 1381–1387. [Google Scholar] [CrossRef][Green Version]
- Yu, J.; Ma, E.; Ma, T. Harvesting energy from low-frequency excitations through alternate contacts between water and two dielectric materials. Sci. Rep. 2017, 7, 17145. [Google Scholar] [CrossRef]
- Schönhals, F.; Kremer, A. Broadband Dielectric Spectroscopy; Springer: Berlin/Heidelberg, Germany, 2003. [Google Scholar]
- Drozd-Rzoska, A. Universal behavior of the apparent fragility in ultraslow glass forming systems. Sci. Rep. 2019, 9, 6816. [Google Scholar] [CrossRef] [PubMed]
- Hill, R. Characterisation of dielectric loss in solids and liquids. Nature 1978, 275, 96–99. [Google Scholar] [CrossRef]
- Kim, T.; Yong, H.; Kim, B.; Kim, D.; Choi, D.; Park, Y.T.; Lee, S. Energy-loss return gate via liquid dielectric polarization. Nat. Commun. 2018, 9, 1437. [Google Scholar] [CrossRef] [PubMed]
- Morsalin, S.; Phung, T.B.; Danikas, M.; Mawad, D. Diagnostic challenges in dielectric loss assessment and interpretation: A review. IET Sci. Meas. Technol. 2019, 13, 767–782. [Google Scholar] [CrossRef]
- Huang, Z.; Wang, F.; Wang, Q.; Yao, W.; Sun, K.; Zhang, R.; Zahao, J.; Lou, Z.; Li, J. Significantly enhanced electrical performances of eco-friendly dielectric liquids for harsh conditions with fullerene. Nanomaterials 2019, 9, 989. [Google Scholar] [CrossRef] [PubMed]
- Nadolny, Z. Determination of dielectric losses in a power transformer. Energies 2022, 15, 993. [Google Scholar] [CrossRef]
- Havran, P.; Cimbala, R.; Kurimský, J.; Dolník, B.; Kolcunová, I.; Medved, D.; Király, J.; Kohanmm, V.; Šárpataky, L. Dielectric properties of electrical insulating liquids for high voltage electric devices in a time-varying electric field. Energies 2022, 15, 391. [Google Scholar] [CrossRef]
















| System: MBBA + NPs | ||
|---|---|---|
| MBBA (x%, ϕ% = 0) | 314.4 | 271.2 |
| +0.01% (x%); +0.17 (ϕ%) | 306.3 | 276.5 |
| +0.05% (x%); +0.008% (ϕ%) | 303.3 | 276.1 |
| +0.1% (x%); +0.017% (ϕ%) | 296.6 | 269.1 |
| +0.5% (x%): +0.088% (ϕ%) | 292.9 | 275.1 |
| +1%(x%): +0.17% (ϕ%) | 293.7 | 276.6 |
| System | α | |||
|---|---|---|---|---|
| MBBA | −0.0101 | 9.14 × 10−4 | 0.8 | |
| +0.01% | −0.0117 | 3.13 × 10−3 | 1.3 | |
| +0.5% | −0.011 | −6.91 × 10−3 | 3.0 | |
| +1% | −0.013 | −6.12 × 10−3 | 3.4 |
Disclaimer/Publisher’s Note: The statements, opinions and data contained in all publications are solely those of the individual author(s) and contributor(s) and not of MDPI and/or the editor(s). MDPI and/or the editor(s) disclaim responsibility for any injury to people or property resulting from any ideas, methods, instructions or products referred to in the content. |
© 2024 by the authors. Licensee MDPI, Basel, Switzerland. This article is an open access article distributed under the terms and conditions of the Creative Commons Attribution (CC BY) license (https://creativecommons.org/licenses/by/4.0/).
Share and Cite
Drozd-Rzoska, A.; Łoś, J.; Rzoska, S.J. The Dominance of Pretransitional Effects in Liquid Crystal-Based Nanocolloids: Nematogenic 4-methoxybenzylidene-4′–butylaniline with Transverse Permanent Dipole Moment and BaTiO3 Nanoparticles. Nanomaterials 2024, 14, 655. https://doi.org/10.3390/nano14080655
Drozd-Rzoska A, Łoś J, Rzoska SJ. The Dominance of Pretransitional Effects in Liquid Crystal-Based Nanocolloids: Nematogenic 4-methoxybenzylidene-4′–butylaniline with Transverse Permanent Dipole Moment and BaTiO3 Nanoparticles. Nanomaterials. 2024; 14(8):655. https://doi.org/10.3390/nano14080655
Chicago/Turabian StyleDrozd-Rzoska, Aleksandra, Joanna Łoś, and Sylwester J. Rzoska. 2024. "The Dominance of Pretransitional Effects in Liquid Crystal-Based Nanocolloids: Nematogenic 4-methoxybenzylidene-4′–butylaniline with Transverse Permanent Dipole Moment and BaTiO3 Nanoparticles" Nanomaterials 14, no. 8: 655. https://doi.org/10.3390/nano14080655
APA StyleDrozd-Rzoska, A., Łoś, J., & Rzoska, S. J. (2024). The Dominance of Pretransitional Effects in Liquid Crystal-Based Nanocolloids: Nematogenic 4-methoxybenzylidene-4′–butylaniline with Transverse Permanent Dipole Moment and BaTiO3 Nanoparticles. Nanomaterials, 14(8), 655. https://doi.org/10.3390/nano14080655

