Sign in to use this feature.

Years

Between: -

Subjects

remove_circle_outline
remove_circle_outline
remove_circle_outline
remove_circle_outline
remove_circle_outline
remove_circle_outline

Journals

Article Types

Countries / Regions

Search Results (41)

Search Parameters:
Keywords = Lisinopril

Order results
Result details
Results per page
Select all
Export citation of selected articles as:
13 pages, 867 KB  
Article
Association Between Common Systemic Medications and the Presence and Severity of Furcation Involvement: A Cross-Sectional Study
by Georgios S. Chatzopoulos and Larry F. Wolff
Healthcare 2025, 13(22), 2930; https://doi.org/10.3390/healthcare13222930 - 16 Nov 2025
Viewed by 456
Abstract
Background/Objectives: While furcation involvement is a known predictor for tooth loss, the role of systemic medications is understudied. This study aimed to investigate the association between common systemic medications and both the presence and severity of furcation involvement in a large patient cohort. [...] Read more.
Background/Objectives: While furcation involvement is a known predictor for tooth loss, the role of systemic medications is understudied. This study aimed to investigate the association between common systemic medications and both the presence and severity of furcation involvement in a large patient cohort. Methods: This retrospective cross-sectional study analyzed electronic health records from 15,881 patients within the BigMouth Dental Data Repository. The association between demographics, medication use (ACE inhibitors, statins, anti-coagulants, antidepressants, bisphosphonates, proton pump inhibitors), and the presence of furcation involvement was assessed using Chi-Square tests and multivariate logistic regression. The statistically significant relationship between medications and furcation severity (Grades 1–4) was analyzed using multinomial logistic regression. Results: Being male (OR: 1.34) and of non-Hispanic ethnicity (OR: 1.36) were significant demographic predictors for furcation involvement. After adjusting for demographics, use of ACE inhibitors (OR: 1.40), anti-coagulants (OR: 1.19), and statins (OR: 1.14) were significantly associated with higher odds of furcation involvement. Specifically, Lisinopril (OR: 1.48), Enalapril (OR: 1.83), and Atorvastatin (OR: 1.27) were significant predictors. Furthermore, patients taking Lisinopril, Aspirin, Atorvastatin, or Simvastatin had approximately 1.5 times the odds of having Grade 3 involvement compared to Grade 1 (p ≤ 0.001). Conclusions: The use of certain systemic medications, particularly for cardiovascular conditions, is independently associated with both a higher likelihood and increased severity of furcation involvement, highlighting the critical need for dental professionals to consider a patient’s medication profile as an integral part of periodontal risk assessment. Full article
(This article belongs to the Special Issue Dental Research and Innovation: Shaping the Future of Oral Health)
Show Figures

Figure 1

18 pages, 1097 KB  
Review
Pharmacokinetic Alterations in Patients with Chronic Heart Failure: A Systematic Review
by Olga Butranova, Sergey Zyryanov and Yury Kustov
Int. J. Mol. Sci. 2025, 26(19), 9495; https://doi.org/10.3390/ijms26199495 - 28 Sep 2025
Viewed by 1418
Abstract
(1) Chronic heart failure (CHF) is a typical component of the polymorbid profile of an elderly patient. The aim of this systematic review was to search for data from pharmacokinetic (PK) studies of any drugs in patients with CHF to systematize information on [...] Read more.
(1) Chronic heart failure (CHF) is a typical component of the polymorbid profile of an elderly patient. The aim of this systematic review was to search for data from pharmacokinetic (PK) studies of any drugs in patients with CHF to systematize information on changes in PK parameters depending on the physicochemical properties (PCPs) of the drug and route of its administration. (2) A systematic review of PK studies in patients with CHF was performed using Elibrary.ru, United States National Library of Medicine (PubMed), China National Knowledge Infrastructure (CNKI), and Directory of Open Access Journals (DOAJ). The final number of included articles was 106. A descriptive and correlation analysis of PK data and PCPs of drugs included in the study was carried out. Inclusion criteria: PK study, available PK parameters, demographic data, and diagnosed CHF. Risk of bias was assessed using ROBINS-I. (3) Evaluation of correlations between PCPs of drugs and their PK revealed a link between (i) plasma protein binding (PPB) and volume of distribution for lipophilic drugs; (ii) PCPs, half-life, and clearance for drugs with high PPB; and (iii) PPB and clearance for hydrophilic and amphiphilic drugs. (4) Hypoalbuminemia associated with CHF may lead to an increased volume of distribution of lipophilic drugs; lipophilic drugs used in CHF patients may be associated with prolongation of the half-life period and reduction in clearance; highly protein-bound drugs may manifest with reduced clearance. PK characteristics identified in this review should guide modifications to dosing regimens in CHF patients receiving medications from different groups. Full article
(This article belongs to the Special Issue Advanced Molecular Research on Chronic Heart Failure)
Show Figures

Figure 1

15 pages, 2072 KB  
Review
Angiotensin-Converting Enzyme Inhibitors and Metabolic Aging: A Drosophila Perspective
by Denise Vecchie’, Victoria G. Faber, Patricia Jumbo-Lucioni, Robert R. H. Anholt, Trudy F. C. Mackay and Maria De Luca
Biomolecules 2025, 15(10), 1378; https://doi.org/10.3390/biom15101378 - 28 Sep 2025
Viewed by 814
Abstract
Aging is characterized by a progressive decline in physiological function that impairs performance and increases vulnerability to disease and mortality. Delaying this deterioration is key to promoting healthy aging. Age-associated functional decline is closely linked to alterations in intermediary metabolism, including disrupted lipid [...] Read more.
Aging is characterized by a progressive decline in physiological function that impairs performance and increases vulnerability to disease and mortality. Delaying this deterioration is key to promoting healthy aging. Age-associated functional decline is closely linked to alterations in intermediary metabolism, including disrupted lipid metabolism and impaired mitochondrial function. Counteracting these metabolic changes, particularly those affecting basal metabolic rate and energy utilization, may be a feasible strategy to extend healthspan. The Renin-Angiotensin System (RAS), which controls blood pressure through Angiotensin II, an octapeptide hormone generated from Angiotensin I by Angiotensin-Converting Enzyme (ACE), has been identified as a potential target for aging therapies. ACE inhibitors, such as the commonly prescribed vasodilator lisinopril, have been shown to exert beneficial effects on healthspan. Disentangling their systemic effects from direct cellular actions on intermediary metabolism is challenging in humans but can be pursued in model organisms. Drosophila melanogaster expresses two ortholog of mammalian ACE, Ance and Acer, which have diverged to acquire different functions. Since fundamental cellular processes are evolutionarily conserved and flies have an open circulatory system, Drosophila provides a versatile model for translational studies on ACE inhibition and aging. Recent studies in Drosophila reveal sex-, age-, and genetic background-specific effects of lisinopril on metabolic rates and aging-related organismal phenotypes. Integrating preclinical findings from Drosophila with clinical studies will be essential to define the therapeutic potential of RAS inhibition in extending lifespan and delaying aging. Full article
(This article belongs to the Special Issue Drosophila as a Model System to Study Metabolism)
Show Figures

Figure 1

18 pages, 1504 KB  
Article
Angiotensin-Converting Enzyme Inhibition and/or Angiotensin Receptor Blockade Modulate Cytokine Profiles and Improve Clinical Outcomes in Experimental COVID-19 Infection
by Yasmin da Silva-Santos, Roberta Liberato Pagni, Thais Helena Martins Gamon, Marcela Santiago Pacheco de Azevedo, Maria Laura Goussain Darido, Danielle Bruna Leal de Oliveira, Edson Luiz Durigon, Maria Cecília Rui Luvizotto, Hans Christian Ackerman, Claudio Romero Farias Marinho, Leonardo José de Moura Carvalho and Sabrina Epiphanio
Int. J. Mol. Sci. 2025, 26(16), 7663; https://doi.org/10.3390/ijms26167663 - 8 Aug 2025
Viewed by 1440
Abstract
The regulation of angiotensin-converting enzyme 2 (ACE2) expression by medications such as ACE inhibitors (ACEis) and angiotensin receptor blockers (ARBs) has raised critical questions regarding their potential benefits and risks during COVID-19. ACE2, a regulator of blood pressure through the renin–angiotensin system (RAS), [...] Read more.
The regulation of angiotensin-converting enzyme 2 (ACE2) expression by medications such as ACE inhibitors (ACEis) and angiotensin receptor blockers (ARBs) has raised critical questions regarding their potential benefits and risks during COVID-19. ACE2, a regulator of blood pressure through the renin–angiotensin system (RAS), is the primary receptor for SARS-CoV-2. ACEis and ARBs can modulate ACE2 expression, potentially exacerbating viral load. However, the risks of higher viral load could be mitigated by favorable anti-inflammatory responses associated with ACEi and ARB use, highlighting the complexity of their impact on viral replication and disease outcomes. This study investigates the effects of sustained Losartan monotherapy (ARB) and combination Losartan + Lisinopril (ARB + ACEi) on viral replication, inflammation, lung function, and clinical measures of disease severity in a murine model of severe COVID-19 involving humanized ACE2 transgenic mice infected with SARS-CoV-2 Wuhan strain. Both ARB and ARB + ACEi treatments led to increased ACE2 expression in the lungs and higher viral load post-infection. Despite this, the ARB + ACEi combination improved clinical scores, reduced weight loss and inflammatory cytokine levels, and preserved lung function, though it did not improve survival. Overall, the results of these controlled experiments provide insight into the complex dynamics of ACEi and ARB use in COVID-19; while these drugs induce expression of the ACE2 receptor and increase viral load, they provide compensatory modulation of the inflammatory response that appears to diminish severity of the infection. Full article
(This article belongs to the Special Issue Renin-Angiotensin System in Health and Diseases)
Show Figures

Figure 1

13 pages, 1285 KB  
Article
Aminopeptidase A Effect on Angiotensin Peptides and Their Blood Pressure Action
by Peter Forster, Jan Wysocki, Yasemin Abedini, Tilman Müller, Minghao Ye, Carlos M. Ferrario and Daniel Batlle
Int. J. Mol. Sci. 2025, 26(14), 6990; https://doi.org/10.3390/ijms26146990 - 21 Jul 2025
Viewed by 1303
Abstract
Aminopeptidase A (APA) cleaves a single aspartate residue from the amino terminus of peptides within the renin angiotensin system (RAS). Since several RAS peptides contain an N-terminal aspartate, we developed an assay to evaluate the effect of recombinant APA on the cleavage of [...] Read more.
Aminopeptidase A (APA) cleaves a single aspartate residue from the amino terminus of peptides within the renin angiotensin system (RAS). Since several RAS peptides contain an N-terminal aspartate, we developed an assay to evaluate the effect of recombinant APA on the cleavage of Ang I, Ang II, Ang-(1-7), Ang-(1-9), and Ang-(1-12). The latter peptide has been proposed to be a functional Ang II-forming substrate with a hypertensive action attributable to the formed Ang II acting on AT1 receptors. Here we investigated the following: (a) the hydrolytic action of APA on Ang-(1-12), Ang I (1-10), Ang-(1-9), Ang II and Ang-(1-7) and (b) whether Ang-(1-12) pressor activity is altered by recombinant APA (r-APA) or genetic APA deficiency. We found that (a) r-APA cleaves the N-terminal aspartate of not only Ang II but also [Ang-(1-12), Ang I (1-10), Ang-(1-9)] and [Ang-(1-7)]; (b) the pressor activity of Ang-(1-12) was abolished in the presence of Lisinopril or Telmisartan; (c) r-APA significantly attenuated the pressor activities of infused Ang I and Ang II but not Ang-(1-12); and (d) r-ACE2 also did not attenuate the pressor effect of infused Ang-(1-12). Thus, in addition to increasing blood pressure indirectly via the formation of Ang II, Ang-(1-12) increases blood pressure by an Ang II-independent mechanism. We conclude that APA has an antihypertensive effect attributable to rapid degradation of Ang II, and this action may have a therapeutic potential in forms of hypertension that are Ang II-dependent. In addition, APA metabolizes Ang-(1-12), a peptide that has a prohypertensive action, in part, as a source of Ang II formation but also by a yet to be determined action independent of Ang II. Full article
(This article belongs to the Special Issue The Angiotensin in Human Health and Diseases)
Show Figures

Figure 1

16 pages, 2859 KB  
Article
Beneficial Effects of White Grape Pomace in Experimental Dexamethasone-Induced Hypertension
by Raluca Maria Pop, Paul-Mihai Boarescu, Corina Ioana Bocsan, Mădălina Luciana Gherman, Veronica Sanda Chedea, Elena-Mihaela Jianu, Ștefan Horia Roșian, Ioana Boarescu, Floricuța Ranga, Maria Doinița Muntean, Maria Comșa, Sebastian Armean, Ana Uifălean, Alina Elena Pârvu and Anca Dana Buzoianu
Diseases 2025, 13(5), 132; https://doi.org/10.3390/diseases13050132 - 24 Apr 2025
Cited by 1 | Viewed by 984
Abstract
Background: Grape pomace (GP), a by-product of winemaking, is a rich source of bioactive polyphenols known for their antioxidant and anti-inflammatory properties. While the cardiovascular benefits of red grape pomace have received significant scientific attention, the therapeutic potential of white grape pomace remains [...] Read more.
Background: Grape pomace (GP), a by-product of winemaking, is a rich source of bioactive polyphenols known for their antioxidant and anti-inflammatory properties. While the cardiovascular benefits of red grape pomace have received significant scientific attention, the therapeutic potential of white grape pomace remains largely unexplored, particularly in glucocorticoid-induced hypertension. Given the rising prevalence of hypertension and the oxidative-inflammatory mechanisms underlying its progression, this study investigates the effects of white GP on blood pressure regulation, oxidative stress, and pro-inflammatory cytokine expression in an experimental model of dexamethasone (DEXA)-induced hypertension (HTN). By focusing on white GP, this research addresses a significant gap in current knowledge and proposes a novel, sustainable approach to managing hypertension through valorising winemaking by-products. Methods: The first concentration used, GP1, was 795 mg polyphenols/kg bw, while the second concentration, GP2, was 397.5 mg polyphenols/kg bw. Results: White GP polyphenols extract in the DEXA_GP1 group had reduced systolic and diastolic blood pressure. The extract with a higher content of polyphenols (GP1) prevented the elevation of serum levels of total oxidative stress (TOS), malondialdehyde (MDA), and oxidative stress index (OSI), while the extract with a lower content of polyphenols (GP2) slightly reduced serum levels of MDA. Both concentrations of GP increased serum levels of NO and Total Thiols, significantly higher (p < 0.05) than in the group treated with lisinopril. The serum levels of tumour necrosis factor-alpha (TNF-α) increased in all groups where HTN was induced. Both doses of GP extract prevented the elevation of TNF-α. Heart tissue levels of the studied cytokines (TNF-α, interleukin (IL)-1β, and IL-6 were not influenced (p > 0.05) by either the HTN induction or the treatment administered. Conclusions: These findings suggest that grape pomace may serve as a promising nutraceutical intervention for hypertension management, particularly in conditions associated with oxidative stress. Full article
Show Figures

Figure 1

14 pages, 12664 KB  
Case Report
Drug-Induced Complete Atrioventricular Block in an Elderly Patient: A Case Report Highlighting Digoxin-Beta Blocker Interactions and a Paradoxical State
by Cristiana Bustea, Andrei-Flavius Radu, Cosmin Mihai Vesa, Ada Radu, Teodora Maria Bodog, Ruxandra Florina Bodog, Paula Bianca Maghiar and Adrian Marius Maghiar
Life 2025, 15(2), 215; https://doi.org/10.3390/life15020215 - 31 Jan 2025
Cited by 1 | Viewed by 6618
Abstract
Complete atrioventricular (AV) block is a severe conduction abnormality caused by intrinsic cardiac disease, ischemia, electrolyte imbalances, or drug interactions. Elderly patients on multiple medications are particularly vulnerable to polypharmacy-related interactions. This case report describes an 82-year-old female presenting to the emergency department [...] Read more.
Complete atrioventricular (AV) block is a severe conduction abnormality caused by intrinsic cardiac disease, ischemia, electrolyte imbalances, or drug interactions. Elderly patients on multiple medications are particularly vulnerable to polypharmacy-related interactions. This case report describes an 82-year-old female presenting to the emergency department with fatigue, syncope, and disorientation. Her medical history included atrial fibrillation, hypertension, and heart failure, with a medication regimen of digoxin 0.25 mg given daily 5 days out of 7, metoprolol 50 mg twice daily, lisinopril 10 mg daily, furosemide 40 mg daily, and spironolactone 50 mg daily. Clinical examination revealed bradycardia and a holosystolic murmur in the mitral valve area, while the electrocardiogram showed complete AV block at a ventricular rate of 35 bpm. Laboratory results indicated mild hyperkalemia (4.9 mmol/L). Suspecting a digoxin–beta-blocker interaction, antiarrhythmic therapy was discontinued. Within three days, the AV block resolved, transitioning to atrial fibrillation with a high ventricular rate. Bisoprolol was introduced for rate control, and hemodynamic stability was achieved. The patient was discharged with a revised medication regimen and showed no recurrence of AV block. This case emphasizes the importance of recognizing drug interactions as a reversible cause of AV block and using drug interaction checkers to manage polypharmacy, especially in elderly patients with multiple comorbidities. It also highlights the rare and paradoxical combination of atrial flutter and complete AV block. Full article
Show Figures

Figure 1

15 pages, 4932 KB  
Article
The Impact of the Angiotensin-Converting Enzyme Inhibitor Lisinopril on Metabolic Rate in Drosophila melanogaster
by Denise Vecchie’, Julia M. Wolter, Jesse Perry, Patricia Jumbo-Lucioni and Maria De Luca
Int. J. Mol. Sci. 2024, 25(18), 10103; https://doi.org/10.3390/ijms251810103 - 20 Sep 2024
Cited by 3 | Viewed by 1776
Abstract
Evidence suggests that angiotensin-converting enzyme inhibitors (ACEIs) may increase metabolic rate by promoting thermogenesis, potentially through enhanced fat oxidation and improved insulin. More research is, however, needed to understand this intricate process. In this study, we used 22 lines from the Drosophila Genetic [...] Read more.
Evidence suggests that angiotensin-converting enzyme inhibitors (ACEIs) may increase metabolic rate by promoting thermogenesis, potentially through enhanced fat oxidation and improved insulin. More research is, however, needed to understand this intricate process. In this study, we used 22 lines from the Drosophila Genetic Reference Panel to assess the metabolic rate of virgin female and male flies that were either fed a standard medium or received lisinopril for one week or five weeks. We demonstrated that lisinopril affects the whole-body metabolic rate in Drosophila melanogaster in a genotype-dependent manner. However, the effects of genotypes are highly context-dependent, being influenced by sex and age. Our findings also suggest that lisinopril may increase the Drosophila metabolic rate via the accumulation of a bradykinin-like peptide, which, in turn, enhances cold tolerance by upregulating Ucp4b and Ucp4c genes. Finally, we showed that knocking down Ance, the ortholog of mammalian ACE in Malpighian/renal tubules and the nervous system, leads to opposite changes in metabolic rate, and that the effect of lisinopril depends on Ance in these systems, but in a sex- and age-specific manner. In conclusion, our results regarding D. melanogaster support existing evidence of a connection between ACEI drugs and metabolic rate while offering new insights into this relationship. Full article
(This article belongs to the Special Issue Drosophila: A Versatile Model in Biology and Medicine)
Show Figures

Figure 1

12 pages, 2755 KB  
Article
Fluorometric Detection of Five Nitrogen-Based Pharmaceuticals Based on Ion-Pairing Association with EY: DFT Calculations
by Safanah M. Alkulaib, Esam M. Bakir and Ahmed O. Alnajjar
Chemistry 2024, 6(5), 981-992; https://doi.org/10.3390/chemistry6050057 - 10 Sep 2024
Cited by 1 | Viewed by 2114
Abstract
Fluorometric method for detecting of five nitrogen-based drugs concentration based on inhibition of emission Eosin Y (EY). The selection of N-drugs comprised indapamide (INDP), clomipramine hydrochloride (CMI), promethazine hydrochloride (PMH), lisinopril (LSP), and trifluoperazine hydrochloride (TFPH). The Stern–Volmer style was plotted between relative [...] Read more.
Fluorometric method for detecting of five nitrogen-based drugs concentration based on inhibition of emission Eosin Y (EY). The selection of N-drugs comprised indapamide (INDP), clomipramine hydrochloride (CMI), promethazine hydrochloride (PMH), lisinopril (LSP), and trifluoperazine hydrochloride (TFPH). The Stern–Volmer style was plotted between relative emissions of EY vs. N-drugs concentration. The standard curves were linear over the concentration range of 5–50 µg mL−1 with R2 > 0.9, and the LOD for INDP, CMI, PMH, LSP, and TFPH were 2.07, 1.36, 3.02, 3.52, and 2.09 µmol·L−1, respectively. The binding constant Kapp for LSP was greater than other N-drugs. Furthermore, the suggested method was hence applied for the routine detection of the concentration of N-drugs in bulk and tablet or syrup dosage forms. FTIR analysis and the electron-mapping density provided the chemical affinity of N-drugs towards EY. Full article
(This article belongs to the Section Medicinal Chemistry)
Show Figures

Figure 1

12 pages, 1229 KB  
Article
Effects of Angiotensin-Converting Enzyme Inhibition on the Recurrence and Internal Structure of Chronic Subdural Hematomas
by Michael Veldeman, Hani Ridwan, Mohamed Alzaiyani, Rastislav Pjontek, Benedikt Kremer, Anke Hoellig, Hans Clusmann and Hussam Hamou
J. Clin. Med. 2024, 13(16), 4591; https://doi.org/10.3390/jcm13164591 - 6 Aug 2024
Cited by 1 | Viewed by 1686
Abstract
Background/Objectives: Chronic subdural hematoma (cSDH) is a common disease of growing significance due to the increasing use of antithrombotic drugs and population aging. There exists conflicting observational evidence that previous treatment with angiotensin-converting enzyme (ACE) inhibitors reduces the rate of cSDH recurrence. This [...] Read more.
Background/Objectives: Chronic subdural hematoma (cSDH) is a common disease of growing significance due to the increasing use of antithrombotic drugs and population aging. There exists conflicting observational evidence that previous treatment with angiotensin-converting enzyme (ACE) inhibitors reduces the rate of cSDH recurrence. This study assesses the hypothesis that ACE inhibitors may affect recurrence rates by altering hematoma membrane formation. Methods: All patients with chronic subdural hematoma who were operated upon in a single university hospital between 2015 and 2020 were considered for inclusion. Hematomas were classified according to their structural appearance in computed tomography (CT) imaging into one of eight subtypes. Patients’ own medication, prior to hospitalization for cSDH treatment, was noted, and the use of ACI-inhibitors was identified. Results: Of the included 398 patients, 142 (35.9%) were treated with ACE inhibitors before admission for cSDH treatment. Of these, 115 patients (81.0%) received ramipril, 13 received patients lisinopril (11.3%), and 11 patients (9.6%) received enalapril. Reflecting cardiovascular comorbidity, patients on ACE inhibitors were more often simultaneously treated with antithrombotics (63.4% vs. 42.6%; p ≤ 0.001). Hematomas with homogenous hypodense (OR 11.739, 95%CI 2.570 to 53.612; p = 0.001), homogenous isodense (OR 12.204, 95%CI 2.669 to 55.798; p < 0.001), and homogenous hyperdense (OR 9.472, 95%CI 1.718 to 52.217; p < 0.001) architectures, as well as the prior use of ACE inhibitors (OR 2.026, 95%CI 1.214 to 3.384; p = 0.007), were independently associated with cSDH recurrence. Conclusions: Once corrected for hematoma architecture, type of surgery, and use of antithrombotic medication, preoperative use of ACE inhibitors was associated with a twofold increase in the likelihood of hematoma recurrence. Full article
(This article belongs to the Section Brain Injury)
Show Figures

Figure 1

21 pages, 8158 KB  
Article
Clinical Significance and Patterns of Potential Drug–Drug Interactions in Cardiovascular Patients: Focus on Low-Dose Aspirin and Angiotensin-Converting Enzyme Inhibitors
by Nina D. Anfinogenova, Vadim A. Stepanov, Alexander M. Chernyavsky, Rostislav S. Karpov, Elena V. Efimova, Oksana M. Novikova, Irina A. Trubacheva, Alla Y. Falkovskaya, Aleksandra S. Maksimova, Nadezhda I. Ryumshina, Tatiana A. Shelkovnikova, Wladimir Y. Ussov, Olga E. Vaizova, Sergey V. Popov and Alexei N. Repin
J. Clin. Med. 2024, 13(15), 4289; https://doi.org/10.3390/jcm13154289 - 23 Jul 2024
Cited by 1 | Viewed by 4331
Abstract
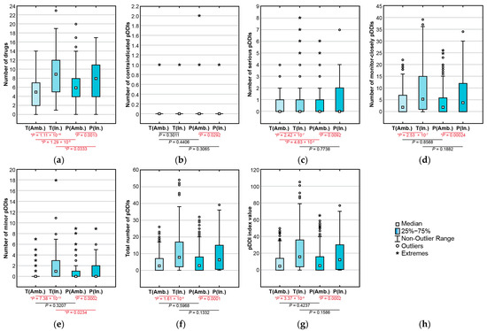
Objective: This study assessed the patterns and clinical significance of potential drug–drug interactions (pDDIs) in patients with diseases of the cardiovascular system. Methods: Electronic health records (EHRs), established in 2018–2023, were selected using the probability serial nested sampling method (n [...] Read more.
Objective: This study assessed the patterns and clinical significance of potential drug–drug interactions (pDDIs) in patients with diseases of the cardiovascular system. Methods: Electronic health records (EHRs), established in 2018–2023, were selected using the probability serial nested sampling method (n = 1030). Patients were aged 27 to 95 years (65.0% men). Primary diagnosis of COVID-19 was present in 17 EHRs (1.7%). Medscape Drug Interaction Checker was used to characterize pDDIs. The Mann–Whitney U test and chi-square test were used for statistical analysis. Results: Drug numbers per record ranged from 1 to 23 in T-List and from 1 to 20 in P-List. In T-List, 567 drug combinations resulted in 3781 pDDIs. In P-List, 584 drug combinations resulted in 5185 pDDIs. Polypharmacy was detected in 39.0% of records in T-List versus 65.9% in P-List (p-value < 0.05). The rates of serious and monitor-closely pDDIs due to ‘aspirin + captopril’ combinations were significantly higher in P-List than in T-List (p-value < 0.05). The rates of serious pDDIs due to ‘aspirin + enalapril’ and ‘aspirin + lisinopril’ combinations were significantly lower in P-List compared with the corresponding rates in T-List (p-value < 0.05). Serious pDDIs due to administration of aspirin with fosinopril, perindopril, and ramipril were detected less frequently in T-List (p-value < 0.05). Conclusions: Obtained data may suggest better patient adherence to ‘aspirin + enalapril’ and ‘aspirin + lisinopril’ combinations, which are potentially superior to the combinations of aspirin with fosinopril, perindopril, and ramipril. An abundance of high-order pDDIs in real-world clinical practice warrants the development of a decision support system aimed at reducing pharmacotherapy-associated risks while integrating patient pharmacokinetic, pharmacodynamic, and pharmacogenetic information. Full article
(This article belongs to the Section Epidemiology & Public Health)
Show Figures

Figure 1

21 pages, 3302 KB  
Article
Proteomic Analysis of Human Macrophages Overexpressing Angiotensin-Converting Enzyme
by Delia Oosthuizen, Tariq A. Ganief, Kenneth E. Bernstein and Edward D. Sturrock
Int. J. Mol. Sci. 2024, 25(13), 7055; https://doi.org/10.3390/ijms25137055 - 27 Jun 2024
Cited by 1 | Viewed by 2206
Abstract
Angiotensin converting enzyme (ACE) exerts strong modulation of myeloid cell function independently of its cardiovascular arm. The success of the ACE-overexpressing murine macrophage model, ACE 10/10, in treating microbial infections and cancer opens a new avenue into whether ACE overexpression in human macrophages [...] Read more.
Angiotensin converting enzyme (ACE) exerts strong modulation of myeloid cell function independently of its cardiovascular arm. The success of the ACE-overexpressing murine macrophage model, ACE 10/10, in treating microbial infections and cancer opens a new avenue into whether ACE overexpression in human macrophages shares these benefits. Additionally, as ACE inhibitors are a widely used antihypertensive medication, their impact on ACE expressing immune cells is of interest and currently understudied. In the present study, we utilized mass spectrometry to characterize and assess global proteomic changes in an ACE-overexpressing human THP-1 cell line. Additionally, proteomic changes and cellular uptake following treatment with an ACE C-domain selective inhibitor, lisinopril–tryptophan, were also assessed. ACE activity was significantly reduced following inhibitor treatment, despite limited uptake within the cell, and both RNA processing and immune pathways were significantly dysregulated with treatment. Also present were upregulated energy and TCA cycle proteins and dysregulated cytokine and interleukin signaling proteins with ACE overexpression. A novel, functionally enriched immune pathway that appeared both with ACE overexpression and inhibitor treatment was neutrophil degranulation. ACE overexpression within human macrophages showed similarities with ACE 10/10 murine macrophages, paving the way for mechanistic studies aimed at understanding the altered immune function. Full article
(This article belongs to the Special Issue The Biology and Therapeutic Potential of Metalloproteases)
Show Figures

Figure 1

14 pages, 611 KB  
Review
Five-Membered Nitrogen Heterocycles Angiotensin-Converting Enzyme (ACE) Inhibitors Induced Angioedema: An Underdiagnosed Condition
by Niki Papapostolou, Stamatios Gregoriou, Alexander Katoulis and Michael Makris
Pharmaceuticals 2024, 17(3), 360; https://doi.org/10.3390/ph17030360 - 10 Mar 2024
Cited by 1 | Viewed by 3608
Abstract
Angiotensin-converting enzyme (ACE) inhibitors are used primarily in the treatment of hypertension, heart failure, and in the acute phase of myocardial infarction. Lisinopril [N2-[(1S)-1-car-boxy-3-phenylpropyl]-L-lysyl-L-proline], enalapril [(S)-1-[N-[1-(ethoxycarbonyl)-3-phenylpropyl]-L-alanyl]-L-proline] and ramipril [2-aza-bicyclo-[3.3.0]-octane-3-carboxylic acid] are all five-membered heterocycles and three of the most prevalent ACE [...] Read more.
Angiotensin-converting enzyme (ACE) inhibitors are used primarily in the treatment of hypertension, heart failure, and in the acute phase of myocardial infarction. Lisinopril [N2-[(1S)-1-car-boxy-3-phenylpropyl]-L-lysyl-L-proline], enalapril [(S)-1-[N-[1-(ethoxycarbonyl)-3-phenylpropyl]-L-alanyl]-L-proline] and ramipril [2-aza-bicyclo-[3.3.0]-octane-3-carboxylic acid] are all five-membered heterocycles and three of the most prevalent ACE inhibitors in clinical use worldwide. ACE inhibitor-induced angioedema (AE) is clinically characterized by self-limited edema of the dermis and subcutaneous lipid tissue, localized on face skin, oral mucosa and tongue in most cases. However, severe episodes of intestinal AE misdiagnosed as acute appendicitis and laryngeal AE requiring incubation have been reported. The pathophysiology of ACE inhibitor-induced angioedema is attributed to the accumulation of bradykinin, which is a potent vasodilator with proinflammatory activity that is normally degraded by angiotensin-converting enzyme (ACE) and aminopeptidase P; however, a small proportion of treated patients is affected. Given that patients do not respond to anti-H1 antihistamines and steroids, early clinical recognition and discontinuation of the ACE inhibitors are the treatments of choice for the long-term management of ACE inhibitor- induced angioedema. The search period of the present review was set up until November 2023, and its aim is to shed light on the broader context of ACE inhibitor-induced angioedema, exploring aspects such as clinical presentation, pathophysiology, and therapeutic considerations in this potentially life-threatening condition. The exploration of alternative drug options such as angiotensin II receptor blockers, the potential association of coadministration of DPP-4 inhibitors with ACE inhibitors, the presentation of angioedema and the significant clinical importance of this condition are also discussed. By focusing on the chemical structure of ACE inhibitors, specifically their nitrogen-based heterocycles—an attribute shared by over 880 drugs approved by the FDA within the pharmaceutical industry—this review emphasizes the pivotal role of nitrogen scaffolds in drug design and underscores their relevance in ACE inhibitor pharmacology. Full article
(This article belongs to the Special Issue Nitrogen Containing Scaffolds in Medicinal Chemistry 2023)
Show Figures

Figure 1

13 pages, 1276 KB  
Article
Enalapril Is Superior to Lisinopril in Improving Endothelial Function without a Difference in Blood–Pressure–Lowering Effects in Newly Diagnosed Hypertensives
by Attila Nagy, Réka Májer, Judit Boczán, Sándor Sipka, Attila Szabó, Enikő Edit Enyedi, Ottó Tatai, Miklós Fagyas, Zoltán Papp, László Csiba and Attila Tóth
Biomedicines 2023, 11(12), 3323; https://doi.org/10.3390/biomedicines11123323 - 15 Dec 2023
Cited by 6 | Viewed by 15415
Abstract
Angiotensin–converting enzyme (ACE) inhibitors are the primarily chosen drugs to treat various cardiovascular diseases, such as hypertension. Although the most recent guidelines do not differentiate among the various ACE inhibitory drugs, there are substantial pharmacological differences. Goal: Here, we tested if lipophilicity affects [...] Read more.
Angiotensin–converting enzyme (ACE) inhibitors are the primarily chosen drugs to treat various cardiovascular diseases, such as hypertension. Although the most recent guidelines do not differentiate among the various ACE inhibitory drugs, there are substantial pharmacological differences. Goal: Here, we tested if lipophilicity affects the efficacy of ACE inhibitory drugs when used as the first therapy in newly identified hypertensives in a prospective study. Methods: We tested the differences in the cardiovascular efficacy of the hydrophilic lisinopril (8.3 ± 3.0 mg/day) and the lipophilic enalapril (5.5 ± 2.3 mg/day) (n = 59 patients). The cardiovascular parameters were determined using sonography (flow-mediated dilation (FMD) in the brachial artery, intima-media thickness of the carotid artery), 24 h ambulatory blood pressure monitoring (peripheral arterial blood pressure), and arteriography (aortic blood pressure, augmentation index, and pulse wave velocity) before and after the initiation of ACE inhibitor therapy. Results: Both enalapril and lisinopril decreased blood pressure. However, lisinopril failed to improve arterial endothelial function (lack of effects on FMD) when compared to enalapril. Enalapril-mediated improved arterial endothelial function (FMD) positively correlated with its blood–pressure–lowering effect. In contrast, there was no correlation between the decrease in systolic blood pressure and FMD in the case of lisinopril treatment. Conclusion: The blood–pressure–lowering effects of ACE inhibitor drugs are independent of their lipophilicity. In contrast, the effects of ACE inhibition on arterial endothelial function are associated with lipophilicity: the hydrophilic lisinopril was unable to improve, while the lipophilic enalapril significantly improved endothelial function. Moreover, the effects on blood pressure and endothelial function did not correlate in lisinopril-treated patients, suggesting divergent mechanisms in the regulation of blood pressure and endothelial function upon ACE inhibitory treatment. Full article
(This article belongs to the Special Issue Renin-Angiotensin System in Cardiovascular Biology)
Show Figures

Figure 1

13 pages, 17127 KB  
Article
Utilizing Proteomic Approaches to Uncover the Neuroprotective Effects of ACE Inhibitors: Implications for Alzheimer’s Disease Treatment
by Ming-Hui Yang, Tzu-Chuan Ho, Chin-Chuan Chang, Yuh-Shan Su, Cheng-Hui Yuan, Kuo-Pin Chuang and Yu-Chang Tyan
Molecules 2023, 28(16), 5938; https://doi.org/10.3390/molecules28165938 - 8 Aug 2023
Cited by 7 | Viewed by 2563
Abstract
Two types of angiotensin-converting enzyme (ACE) inhibitors, lisinopril and benazepril HCl, were tested in neuroblastoma cells and found to upregulate low-density lipoprotein-receptor-related protein 1B (LRP1B) and 14-3-3 protein zeta/delta. Additionally, benazepril HCl was found to increase the expression of calreticulin. The upregulation of [...] Read more.
Two types of angiotensin-converting enzyme (ACE) inhibitors, lisinopril and benazepril HCl, were tested in neuroblastoma cells and found to upregulate low-density lipoprotein-receptor-related protein 1B (LRP1B) and 14-3-3 protein zeta/delta. Additionally, benazepril HCl was found to increase the expression of calreticulin. The upregulation of these proteins by ACE inhibitors may contribute to the amelioration of cognitive deficits in Alzheimer’s disease/dementia, as well as the clinically observed deceleration of functional decline in Alzheimer’s patients. This discovery suggests that the supplementation of ACE inhibitors may promote neuronal cell survival independently of their antihypertensive effect. Overall, these findings indicate that ACE inhibitors may be a promising avenue for developing effective treatments for Alzheimer’s disease. Full article
(This article belongs to the Special Issue Mass Spectrometry in Biomarkers Discovery)
Show Figures

Figure 1

Back to TopTop