Fluorometric Detection of Five Nitrogen-Based Pharmaceuticals Based on Ion-Pairing Association with EY: DFT Calculations
Abstract
1. Introduction
2. Experimental Section
2.1. Materials and Reagents
2.1.1. Practical Steps of the Designed Method
2.1.2. Commercial Pharmaceutical Formulation Analysis
3. Results and Discussion
3.1. The Design System Spectra
3.2. Stern–Volmer and Benesi–Hildebrand Formula
3.3. The Molar Ratio N-Drugs with EY
4. Methods Validation
4.1. Linearity and Range
4.2. Accuracy and Precision
4.3. Pharmaceutical Formula
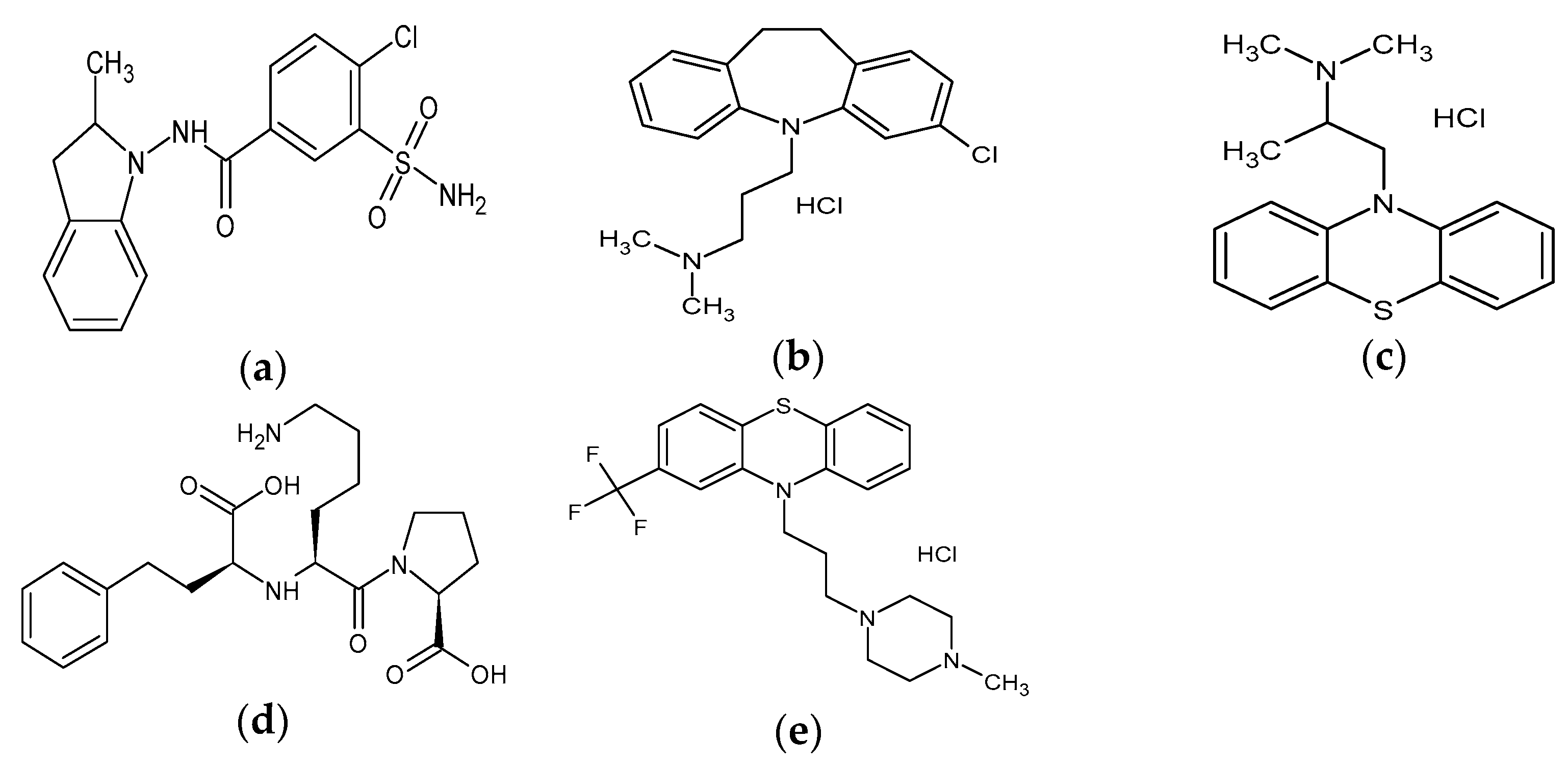
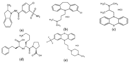
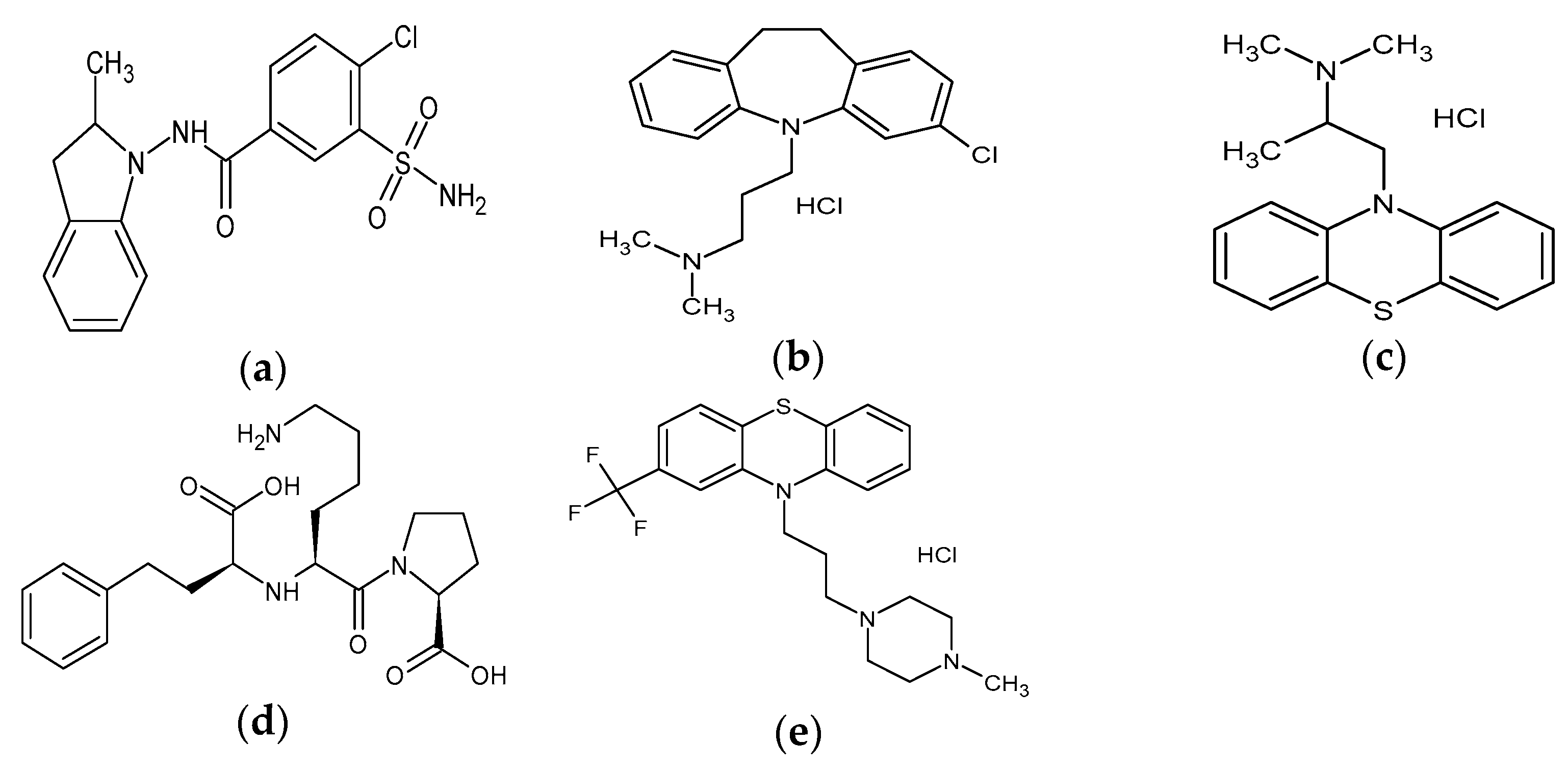
4.4. The Chemical Affinity of N-Drugs towards EY
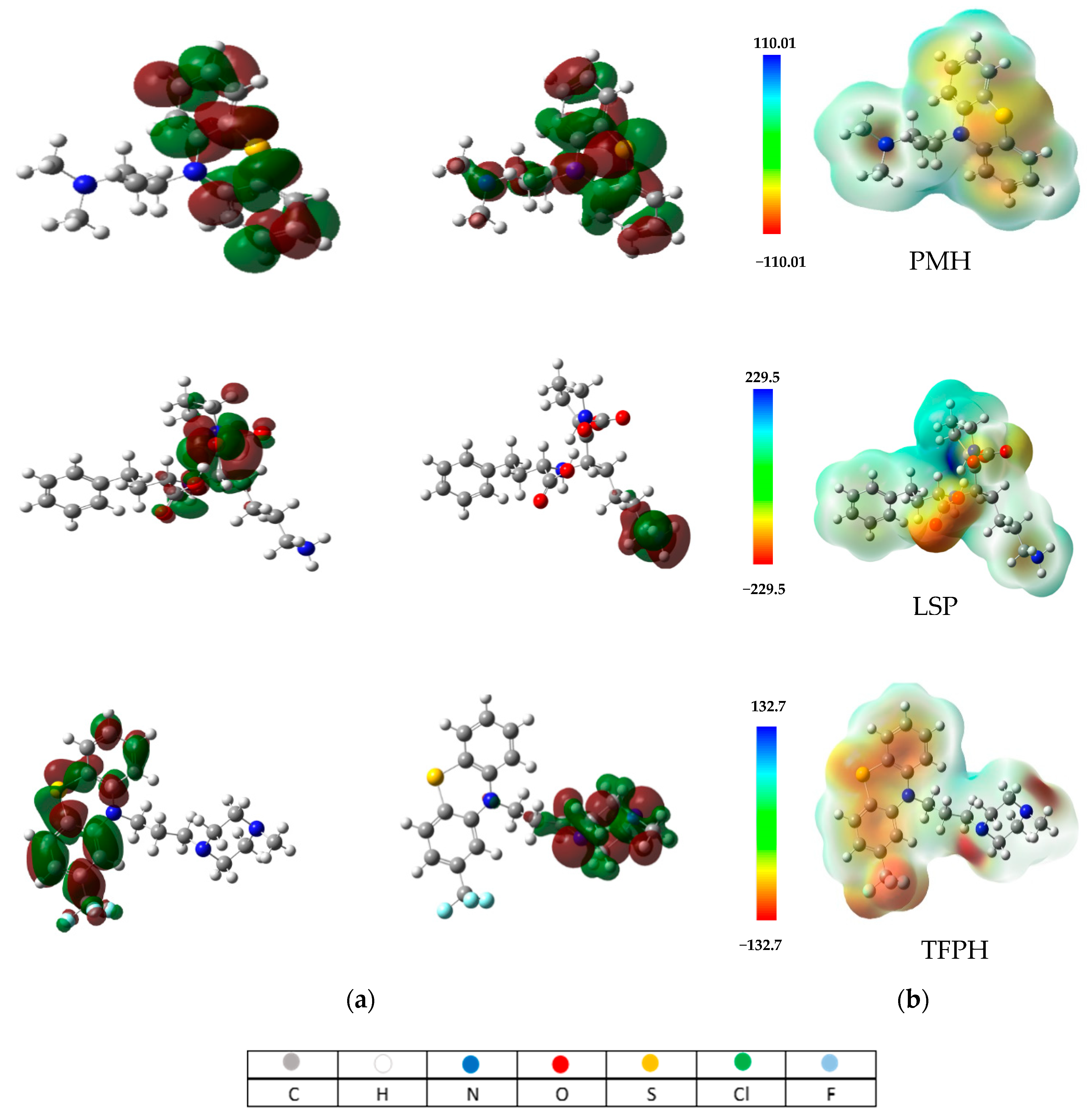
4.5. Computational Calculations
5. Conclusions
Author Contributions
Funding
Data Availability Statement
Acknowledgments
Conflicts of Interest
References
- Thomas, J.R. A review of 10 years of experience with indapamide as an antihypertensive agent. Hypertension 1985, 7, 152. [Google Scholar] [CrossRef] [PubMed]
- Goa, K.L.; Haria, M.; Wilde, M.I. Lisinopril. A review of its pharmacology and use in the management of the complications of diabetes mellitus. Drugs 1997, 53, 1081–1105. [Google Scholar] [CrossRef] [PubMed]
- Vardanyan, R.S.; Hruby, V.J. 16-Antihistamine Drugs. In Synthesis of Essential Drugs; Vardanyan, R.S., Hruby, V.J., Eds.; Elsevier: Amsterdam, The Netherlands, 2006; pp. 219–235. [Google Scholar] [CrossRef]
- Wu, M.; Douglas, A.; Ondeyka, D.; Payne, L.; Ikeler, T.; Joshua, H.; Patchett, A. Synthesis of N2-[(S)-1-carboxy-3-phenylpropyl]-L-lysyl-L-proline (lisinopril). J. Pharm. Sci. 1985, 74, 352–354. [Google Scholar] [CrossRef] [PubMed]
- Shearer, C.M.; Miller, S.M. Promethazine Hydrochloride. In Analytical Profiles of Drug Substances; Florey, K., Ed.; Academic Press: Cambridge, MA, USA, 1976; pp. 429–465. [Google Scholar] [CrossRef]
- Post, A.; Warren, R.J.; Zarembo, J.E. Trifluoperazine Hydrochloride. In Analytical Profiles of Drug Substances; Florey, K., Ed.; Academic Press: Cambridge, MA, USA, 1981; pp. 543–581. [Google Scholar] [CrossRef]
- Chaudhuri, N.K.; Sung, M.S.; Markus, B. Synthesis of clomipramine-d8. J. Label. Compd. Radiopharm. 1981, 18, 1817–1825. [Google Scholar] [CrossRef]
- Van Scheyen, J.D.; Van Kammen, D.P. Clomipramine-induced mania in unipolar depression. Arch. Gen. Psychiatry 1979, 36, 560–565. [Google Scholar] [CrossRef]
- Bahgat, E.A.; Saleh, H.; Reda, A.; Fawzy, M.G. Development and validation of eco-friendly micellar organic solvent-free HPLC method for the simultaneous determination of some antihypertensive combinations. Microchem. J. 2022, 181, 107740. [Google Scholar] [CrossRef]
- Rodina, T.; Melnikov, E.; Aksenov, A.; Belkov, S.; Sokolov, A.; Prokof’ev, A.; Ramenskaya, G. Simultaneous Determination of Dabigatran, Rivaroxaban, Apixaban, and Warfarin in Human Blood Serum by HPLC-MS/MS for Therapeutic Drug Monitoring. Pharm. Chem. J. 2022, 56, 289–293. [Google Scholar] [CrossRef]
- Bezawada, V.; Mogili, P.; Dodda, S.; Gajula, R.; Ponnada, S. Bioanalysis of Trifluoperazine in human plasma by LC-MS/MS: Application to disposition kinetics. Biomed. Chromatogr. 2022, 36, e5499. [Google Scholar] [CrossRef]
- Ermolenko, Y.; Nazarova, N.; Belov, A.; Kalistratova, A.; Ulyanova, Y.; Osipova, N.; Gelperina, S. Potential of the capillary electrophoresis method for PLGA analysis in nano-sized drug formulations. J. Drug Deliv. Sci. Technol. 2022, 70, 103220. [Google Scholar] [CrossRef]
- Budziñski, M.L.; Sokn, C.; Gobbini, R.; Ugo, B.; Antunica-Noguerol, M.; Senin, S.; Bajaj, T.; Gassen, N.C.; Rein, T.; Schmidt, M.V.; et al. Tricyclic antidepressants target FKBP51 SUMOylation to restore glucocorticoid receptor activity. Mol. Psychiatry 2022, 27, 2533–2545. [Google Scholar] [CrossRef]
- Al–Farhan, B.S.; Gahlan, A.A.; Haredy, A.M.; Fraghly, O.A. Cathodic Stripping Voltammetric Determination of Lisinopril in Dosage Forms and Biological Fluids. Egypt. J. Chem. 2022, 65, 421–428. [Google Scholar] [CrossRef]
- Raja, D.A.; Shah, M.R.; Malik, M.I. Polyethyleneimine stabilized silver nanoparticles as an efficient and selective colorimetric assay for promethazine. Anal. Chim. Acta 2022, 1223, 340216. [Google Scholar] [CrossRef] [PubMed]
- Miyoshi, H.; Otomo, M.; Takahashi, K. Clomipramine inhibits dynamin L-α-phosphatidyl-L-serine stimulated GTPase activity. J. Biochem. 2022, 174, 267–272. [Google Scholar] [CrossRef] [PubMed]
- Omar, M.A. Spectrophotometric and Spectrofluorimetric Determination of Certain Diuretics Through Ternary Complex Formation with Eosin and Lead (II). J. Fluoresc. 2010, 20, 275–281. [Google Scholar] [CrossRef]
- Molnår, J.; Földeák, S.; Nakamura, M.J.; Gaizer, F.; Gutmann, F. The influence of charge transfer complex formation on the antibacterial activity of some tricyclic drugs. Xenobiotica 1991, 21, 309–316. [Google Scholar] [CrossRef]
- Kathiravan, A.; Anbazhagan, V.; Jhonsi, M.A.; Renganathan, R. A Study on the fluorescence quenching of eosin by certain organic dyes. Z. Phys. Chem. 2008, 222, 1013–1021. [Google Scholar] [CrossRef]
- Ganguly, B.; Nath, R.K.; Hussain, S.A.; Panda, A.K. Photophysical studies of xanthene dye in alkanols and in presence of inorganic ions. Indian J. Phys. 2010, 84, 653–658. [Google Scholar] [CrossRef]
- Boaz, H.; Rollefson, G.K. The Quenching of Fluorescence. Deviations from the Stern-Volmer Law. J. Am. Chem. Soc. 1950, 72, 3435–3443. [Google Scholar] [CrossRef]
- Fleming, G.R.; Knight, A.W.E.; Morris, J.M.; Morrison, R.J.S.; Robinson, G.W. Picosecond fluorescence studies of xanthene dyes. J. Am. Chem. Soc. 1977, 99, 4306–4311. [Google Scholar] [CrossRef]
- Lakowicz, J. Principles of Fluorescence Spectroscopy, 3rd ed.; Plenum Press: New York, NY, USA, 1986. [Google Scholar] [CrossRef]
- Arık, M.; Çelebi, N.; Onganer, Y. Fluorescence quenching of fluorescein with molecular oxygen in solution. J. Photochem. Photobiol. A Chem. 2005, 170, 105–111. [Google Scholar] [CrossRef]
- Benesi, H.A.; Hildebrand, J.H. A spectrophotometric investigation of the interaction of iodine with aromatic hydrocarbons. J. Am. Chem. Soc. 1949, 71, 2703–2707. [Google Scholar] [CrossRef]
- Mabrouk, M.; Hammad, S.F.; Abdelaziz, M.A.; Mansour, F.R. Ligand exchange method for determination of mole ratios of relatively weak metal complexes: A comparative study. Chem. Cent. J. 2018, 12, 143. [Google Scholar] [CrossRef]
- Omar, M.A.; Ahmed, A.B.; Abdelwahab, N.S.; Abdelrahman, M.M.; Derayea, S.M. Spectrofluorimetric approach for determination of citicoline in the presence of co-formulated piracetam through fluorescence quenching of eosin Y. Spectrochim. Acta Part A Mol. Biomol. Spectrosc. 2020, 236, 118337. [Google Scholar] [CrossRef]
- Walfish, S. Analytical methods: A statistical perspective on the ICH Q2A and Q2B guidelines for validation of analytical methods. BioPharm Int. 2006, 19, 40–45. [Google Scholar]
- Guideline, I.H.T. Validation of Analytical Procedures: Text and Methodology Q2 (R1). In Proceedings of the International Conference on Harmonization, Geneva, Switzerland, 2 June 2005. [Google Scholar]
- Slyusareva, E.; Gerasimova, M. pH-dependence of the absorption and fluorescent properties of fluorone dyes in aqueous solutions. Russ. Phys. J. 2014, 56, 1370–1377. [Google Scholar] [CrossRef]
- Chakraborty, M.; Panda, A.K. Spectral behaviour of eosin Y in different solvents and aqueous surfactant media. Spectrochim. Acta Part A Mol. Biomol. Spectrosc. 2011, 81, 458–465. [Google Scholar] [CrossRef] [PubMed]
- Salim, M.M.; Marie, A.A.; Kamal, A.H.; Hammad, S.F.; Elkhoudary, M.M. Using of eosin Y as a facile fluorescence probe in alogliptin estimation: Application to tablet dosage forms and content uniformity testing. Spectrochim. Acta Part A Mol. Biomol. Spectrosc. 2023, 285, 121919. [Google Scholar] [CrossRef]
- Hamad, A.A.; Ali, R.; Derayea, S.M. A simple single jar “on–off fluorescence” designed system for the determination of mitoxantrone using an eosin Y dye in raw powder, vial, and human biofluids. RSC Adv. 2022, 12, 7413–7421. [Google Scholar] [CrossRef]
- Becke, A.D. A new mixing of Hartree–Fock and local density-functional theories. J. Chem. Phys. 1993, 98, 1372–1377. [Google Scholar] [CrossRef]
- Koch, W.; Holthausen, M.C. A Chemist’s Guide to Density Functional Theory; John Wiley & Sons: Hoboken, NJ, USA, 2015. [Google Scholar] [CrossRef]
- Domingo, L.R.; Ríos-Gutiérrez, M.; Pérez, P. Applications of the conceptual density functional theory indices to organic chemistry reactivity. Molecules 2016, 21, 748. [Google Scholar] [CrossRef]
- Parr, R.G.; Yang, W. Density functional approach to the frontier-electron theory of chemical reactivity. J. Am. Chem. Soc. 1984, 106, 4049–4050. [Google Scholar] [CrossRef]
- Parr, R.G.; Szentpály, L.V.; Liu, S. Electrophilicity index. J. Am. Chem. Soc. 1999, 121, 1922–1924. [Google Scholar] [CrossRef]
- Okulik, N.; Jubert, A.H. Theoretical study on the structure and reactive sites of non-steroidal anti-inflammatory drugs. J. Mol. Struct. Theochem 2004, 682, 55–62. [Google Scholar] [CrossRef]







| N-Drugs | Stern–Volmer Parameters | Benesi–Hildebrand | |||
|---|---|---|---|---|---|
| × 104 (L·mol−1) | × 1012 (L·mol−1·s−1) | R2 | × 104 | R2 | |
| INDP | 1.60 | 1.90 | 0.97 | 1.02 | 0.94 |
| CMI | 2.60 | 3.20 | 0.98 | 0.83 | 0.97 |
| PMH | 3.90 | 4.70 | 0.97 | 1.59 | 0.96 |
| LSP | 6.90 | 8.30 | 0.98 | 1.76 | 0.96 |
| TFPH | 4.35 | 4.88 | 0.98 | 1.49 | 0.96 |
| N-Drugs | LOD (µM) | LOQ (µM) |
|---|---|---|
| INDP | 2.07 | 6.30 |
| CMI | 1.36 | 4.11 |
| PMH | 3.02 | 9.20 |
| LSP | 3.32 | 10.07 |
| TFPH | 4.20 | 12.67 |
| N-drugs | Concentration Levels (µM) | Recovery% ±SD | Precision Level, RSD% | |
|---|---|---|---|---|
| Inter-Day | Intra-Day | |||
| INDP | 8.0, 15.0, 30.0 | 100.3 ± 0.78 | 0.73 | 1.68 |
| CMI | 8.0, 15.0, 30.0 | 100.36 ± 0.83 | 0.74 | 1.73 |
| PMH | 8.0, 15.0, 30.0 | 100.84 ± 1.82 | 1.66 | 1.71 |
| LSP | 8.0, 15.0, 30.0 | 100.22 ± 0.65 | 0.57 | 1.32 |
| TFPH | 8.0, 15.0, 30.0 | 100.16 ± 0.49 | 0.42 | 1.63 |
| Pharmaceuticals Formula | The Proposed Method, n = 5 | |
|---|---|---|
| % Recovery ± SD | Paired t-Value and Tabulated t * | |
| Normalix SR (1.50 mg) INDP | 100.16 ± 1.01 | 0.70 |
| Anafranil (10 mg) CMI | 99.93 ± 0.65 | 0.61 |
| PROMETIN syrup (5.0/5 mL) PMH | 99.27 ± 2.22 | 1.49 |
| Zestril (5 mg/g) LSP | 99.82 ± 1.63 | 0.48 |
| Stellasil (5 mg/g) TFPH | 99.42 ± 2.38 | 1.40 |
| Molecules | E(eV) HOMO | E(eV) LUMO | Eg (eV) | η | S | µ | ω |
|---|---|---|---|---|---|---|---|
| EY/di-anions | 1.19 | 3.68 | −2.49 | 1.24 | 0.81 | 2.44 | 2.391 |
| EY/mono (COO−) | −1.46 | 1.05 | −2.52 | 1.26 | 0.79 | −0.21 | 0.008 |
| EY/mono (-OH) | −2.06 | 0.44 | −2.50 | 1.25 | 0.80 | −0.81 | 0.262 |
| INDP | −5.4 | −1.9 | −3.4 | 1.75 | 0.57 | −3.65 | 3.776 |
| CMI | −5.3 | −0.2 | −5.1 | 2.55 | 0.39 | −2.75 | 1.495 |
| PMH | −5.1 | −0.2 | −4.9 | 2.45 | 0.41 | −2.65 | 1.433 |
| LSP | −5.6 | −0.4 | −5.2 | 2.60 | 0.38 | −3.00 | 1.730 |
| TFPH | −4.7 | −0.9 | −3.8 | 1.90 | 0.53 | −2.80 | 2.063 |
Disclaimer/Publisher’s Note: The statements, opinions and data contained in all publications are solely those of the individual author(s) and contributor(s) and not of MDPI and/or the editor(s). MDPI and/or the editor(s) disclaim responsibility for any injury to people or property resulting from any ideas, methods, instructions or products referred to in the content. |
© 2024 by the authors. Licensee MDPI, Basel, Switzerland. This article is an open access article distributed under the terms and conditions of the Creative Commons Attribution (CC BY) license (https://creativecommons.org/licenses/by/4.0/).
Share and Cite
Alkulaib, S.M.; Bakir, E.M.; Alnajjar, A.O. Fluorometric Detection of Five Nitrogen-Based Pharmaceuticals Based on Ion-Pairing Association with EY: DFT Calculations. Chemistry 2024, 6, 981-992. https://doi.org/10.3390/chemistry6050057
Alkulaib SM, Bakir EM, Alnajjar AO. Fluorometric Detection of Five Nitrogen-Based Pharmaceuticals Based on Ion-Pairing Association with EY: DFT Calculations. Chemistry. 2024; 6(5):981-992. https://doi.org/10.3390/chemistry6050057
Chicago/Turabian StyleAlkulaib, Safanah M., Esam M. Bakir, and Ahmed O. Alnajjar. 2024. "Fluorometric Detection of Five Nitrogen-Based Pharmaceuticals Based on Ion-Pairing Association with EY: DFT Calculations" Chemistry 6, no. 5: 981-992. https://doi.org/10.3390/chemistry6050057
APA StyleAlkulaib, S. M., Bakir, E. M., & Alnajjar, A. O. (2024). Fluorometric Detection of Five Nitrogen-Based Pharmaceuticals Based on Ion-Pairing Association with EY: DFT Calculations. Chemistry, 6(5), 981-992. https://doi.org/10.3390/chemistry6050057

